Miniaturization and Electromagnetic Reliability of Wearable Textile Antennas
Abstract
1. Introduction
2. Materials, Design and Experimental
2.1. Materials
2.2. Fabrication of Antennas
2.3. Antenna Performance Test
3. Results and Discussion
3.1. Design of The Slotted Antenna
3.2. The Prototype of the Slotted Antenna
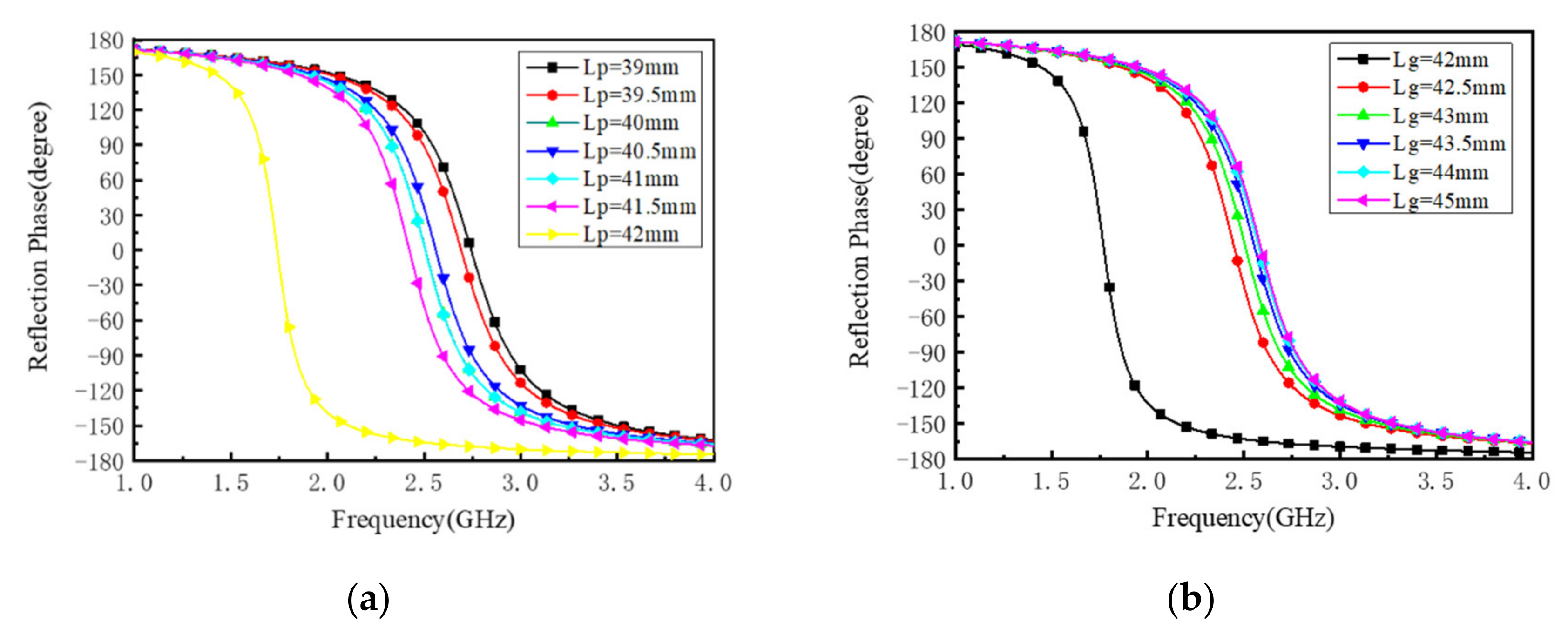
3.3. Design and Loading of the AMC on the Antenna
3.4. The Performance of Textile Slotted Microstrip Antenna
4. Conclusions
Author Contributions
Funding
Conflicts of Interest
References
- Manna, S.; Bose, T.; Bera, R. Wearable antennas for medical application: A review. In Advances in Electronics, Communication and Computing; Springer: Berlin, Germany, 2018; pp. 115–130. [Google Scholar]
- Yan, S.; Soh, P.J.; Vandenbosch, G.A.E. Wearable ultrawideband technology-a review of ultrawideband antennas. Propagation channels, and applications in wireless body area networks. IEEE Access 2018, 6, 42177–42185. [Google Scholar] [CrossRef]
- Abbas, S.M.; Esselle, K.P.; Matekovits, L.; Rizwan, M.; Ukkonen, L. On-body Antennas: Design considerations and challenges. In Proceedings of the 2016 Ursi International Symposium on Electromagnetic Theory, Espoo, Finland, 14–18 August 2016; IEEE: New York, NY, USA, 2016; pp. 109–110. [Google Scholar]
- Guo, X.; Liao, W.; Zhang, Q.; Chen, Y. A dual-band embedded inverted t-slot circular microstrip patch antenna. In Proceedings of the 2016 IEEE 5th Asia-Pacific Conference on Antennas and Propagation, Kaohsiung, China, 26–29 July 2016; pp. 151–152. [Google Scholar]
- Dwivedi, A.D.; Garg, M.K.; Katariya, P.S.; Gautam, D.; Singh, S. C band, X band and Ku band corner arc microstrip patch antenna with t-slot on partial ground plane. In Proceedings of the 2017 International Conference on Innovations in Control, Communication and Information Systems, Noida, India, 12–13 August 2017; pp. 41–44. [Google Scholar]
- Murugan, S.; Rohini, B.; Muthumari, P.; Priya, M.P. Multi-Frequency t-slot loaded elliptical patch antenna for wireless applications. Appl. Comput. Electromagn. Soc. J. 2018, 33, 247–250. [Google Scholar]
- Xie, Z.; Avila, R.; Huang, Y.; Rogers, J.A. Flexible and stretchable antennas for biointegrated electronics. Adv. Mater. 2019, 32, e1902767. [Google Scholar] [CrossRef] [PubMed]
- Stoppa, M.; Chiolerio, A. Wearable electronics and smart textiles: A critical review. IEEE Access 2014, 14, 11957–11992. [Google Scholar] [CrossRef] [PubMed]
- Kavitha, A.; Swaminathan, J.N. Design of flexible textile antenna using FR4, jeans cotton and teflon substrates. Microsyst. Technol. Micro Nanosyst. Inf. Storage Process. Syst. 2019, 25, 1311–1320. [Google Scholar] [CrossRef]
- Nesar, M.S.B.; Chakma, N.; Muktadir, M.A.; Biswas, A. Design of a miniaturized slotted t-shaped microstrip patch antenna to detect and localize brain tumor. In Proceedings of the 2018 International Conference on Innovations in Science, Engineering and Technology (ICISET), Chittagong, Bangladesh, 27–28 October 2018; pp. 157–162. [Google Scholar]
- Zhu, S.; Langley, R. Dual-Band wearable textile antenna on an EBG substrate. IEEE Trans. Antennas Propag. 2009, 57, 926–935. [Google Scholar] [CrossRef]
- Raad, H.R.; Abbosh, A.I.; Al-Rizzo, H.M.; Rucker, D.G. Flexible and compact AMC based antenna for telemedicine applications. IEEE Trans. Antennas Propag. 2013, 61, 524–531. [Google Scholar] [CrossRef]
- Soh, P.J.; Giman, F.N.; Jamlos, M.F.; Lago, H.; Al-Hadi, A.A. A c-slotted dual band textile antenna for WBAN applications. In Proceedings of the 2016 Ursi Asia-Pacific Radio Science Conference, Seoul, Korea, 21–25 August 2016; pp. 1621–1624. [Google Scholar]
- Ashyap, A.Y.I.; Abidin, Z.Z.; Dahlan, S.H.; Majid, H.A.; Shah, S.M.; Kamarudin, M.R.; Alomainy, A. Compact and low-profile textile EBG-based antenna for wearable medical applications. IEEE Antennas Wirel. Propag. Lett. 2017, 16, 2253–2550. [Google Scholar] [CrossRef]
- Paracha, K.N.; Rahim, S.K.A.; Soh, P.J.; Khalily, M. Wearable antennas: A review of material,s, structures, and innovative features for autonomous communication and sensing. IEEE Access 2019, 7, 56694–56712. [Google Scholar] [CrossRef]
- Mohamadzade, B.; Hashmi, R.M.; Simorangkir, R.B.V.B.; Gharaei, R.; Rehman, S.U.; Abbasi, Q.H. Recent advances in fabrication methods for flexible antennas in wearable devices: State of the art. Sensors 2019, 19, 2312. [Google Scholar] [CrossRef] [PubMed]
- Shi, J.; Liu, S.; Zhang, L.; Yang, B.; Shu, L.; Yang, Y.; Ren, M.; Wang, Y.; Chen, J.; Chen, W.; et al. Smart textile-integrated microelectronic systems for wearable applications. Adv. Mater. 2020, 32, 1901958. [Google Scholar] [CrossRef] [PubMed]
- Sievenpiper, D.; Zhang, L. High-impedance electromagnetic surfaces with a forbidden frequency band. IEEE Trans. Microw. Theory Tech. 1999, 47, 2059–2074. [Google Scholar] [CrossRef]
- Alemaryeen, A.; Noghanian, S. On-Body low-profile textile antenna with artificial magnetic conductor. IEEE Trans. Antennas Propag. 2019, 67, 3649–3656. [Google Scholar] [CrossRef]
- Paracha, K.N.; Rahim, S.K.A.; Soh, P.J.; Chatha, H.T.; Misran, M.H.; Lokman, A.H. A dual band stub-loaded AMC design for the gain enhancement of a planar monopole antenna. Microw. Opt. Technol. Lett. 2018, 60, 2108–2112. [Google Scholar] [CrossRef]
- Alemaryeen, A.; Noghanian, S. Crumpling effects and specific absorption rates of flexible AMC integrated antennas. IET Microw. Antennas Propag. 2018, 12, 627–635. [Google Scholar] [CrossRef]
- Yang, F.R.; Ma, K.P.; Qian, Y.X.; Itoh, T. A uniplanar compact photonic-bandgap (UC-PBG) structure and its applications for microwave circuits. IEEE Trans. Microw. Theory Tech. 1999, 47, 1509–1514. [Google Scholar] [CrossRef]
- Abbas, S.M.; Esselle, K.P.; Ranga, Y.; Antennas, I.; Propagat, S. A printed antenna with a ground plane and electromagnetically coupled feed for 2.45 GHz body area networks. In Proceedings of the 2013 IEEE Antennas and Propagation Society International Symposium, Orlando, FL, USA, 7–13 July 2013; pp. 2143–2144. [Google Scholar]















| Parameter (mm) | Parameter (mm) | Parameter (mm) | Parameter (mm) | ||||
|---|---|---|---|---|---|---|---|
| Wa | 70 | L2 | 1 | L7 | 14 | L12 | 18 |
| La | 70 | L3 | 10 | L8 | 1 | L13 | 0.8 |
| Wb | 43 | L4 | 1 | L9 | 1 | L14 | 14 |
| Lb | 43 | L5 | 10 | L10 | 16 | h | 3 |
| L1 | 16 | L6 | 10 | L11 | 12 | ||
| Tissues | Conductivity (S/m) | Relative Permittivity | Loss Tangent |
|---|---|---|---|
| Skin | 1.464 | 38.007 | 0.28262 |
| Fat | 0.10452 | 5.2801 | 0.14524 |
| Muscle | 1.7388 | 52.729 | 0.24194 |
Publisher’s Note: MDPI stays neutral with regard to jurisdictional claims in published maps and institutional affiliations. |
© 2021 by the authors. Licensee MDPI, Basel, Switzerland. This article is an open access article distributed under the terms and conditions of the Creative Commons Attribution (CC BY) license (https://creativecommons.org/licenses/by/4.0/).
Share and Cite
Yao, L.; Li, E.; Yan, J.; Shan, Z.; Ruan, X.; Shen, Z.; Ren, Y.; Yang, J. Miniaturization and Electromagnetic Reliability of Wearable Textile Antennas. Electronics 2021, 10, 994. https://doi.org/10.3390/electronics10090994
Yao L, Li E, Yan J, Shan Z, Ruan X, Shen Z, Ren Y, Yang J. Miniaturization and Electromagnetic Reliability of Wearable Textile Antennas. Electronics. 2021; 10(9):994. https://doi.org/10.3390/electronics10090994
Chicago/Turabian StyleYao, Lan, Erhong Li, Jiangshan Yan, Zhiyong Shan, Xinyi Ruan, Zhiyi Shen, Yueying Ren, and Jiahua Yang. 2021. "Miniaturization and Electromagnetic Reliability of Wearable Textile Antennas" Electronics 10, no. 9: 994. https://doi.org/10.3390/electronics10090994
APA StyleYao, L., Li, E., Yan, J., Shan, Z., Ruan, X., Shen, Z., Ren, Y., & Yang, J. (2021). Miniaturization and Electromagnetic Reliability of Wearable Textile Antennas. Electronics, 10(9), 994. https://doi.org/10.3390/electronics10090994
