Herniated Lumbar Disc Generation and Classification Using Cycle Generative Adversarial Networks on Axial View MRI
Abstract
1. Introduction
2. Overview of GANs in Medical Images
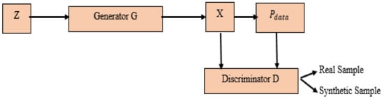
3. Generative Adversarial Networks
4. Proposed Approach
4.1. System Based on CycleGAN
4.2. Evaluation Metrics
- (1)
- Predicted bounding boxes from our model.
- (2)
- Ground truth bounding boxes.
4.3. Dataset
4.4. Results
5. Discussion
6. Conclusions
Author Contributions
Funding
Conflicts of Interest
References
- Mbarki, W.; Bouchouicha, M.; Frizzi, S.; Tshibasu, F.; Ben Farhat, L.; Sayadi, M. A novel method based on deep learning for herniated lumbar disc segmentation. In Proceedings of the 2020 4th International Conference on Advanced Systems and Emergent Technologies (IC_ASET), Hammamet, Tunisia, 15–18 December 2020; Institute of Electrical and Electronics Engineers (IEEE): Piscataway, NJ, USA, 2020; pp. 394–399. [Google Scholar]
- Chwialkowski, M.P.; Shile, P.E.; Peshock, R.M.; Pfeifer, D.; Parkey, R.W. Automated detection and evaluation of lumbar discs in MR images. In Proceedings of the Images of the Twenty-First Century. Proceedings of the Annual International Engineering in Medicine and Biology Society, Seattle, WA, USA, 9–12 November 1989; Institute of Electrical and Electronics Engineers (IEEE): Piscataway, NJ, USA, 2003; pp. 571–572. [Google Scholar]
- Tsai, M.-D.; Yeh, Y.-D.; Hsieh, M.-S.; Tsai, C.-H. Automatic spinal disease diagnoses assisted by 3D unaligned transverse CT slices. Comput. Med. Imaging Graph. 2004, 28, 307–319. [Google Scholar] [CrossRef] [PubMed]
- Haq, R.; Aras, R.; Besachio, D.A.; Borgie, R.C.; Audette, M.A. 3D lumbar spine intervertebral disc segmentation and compression simulation from MRI using shape-aware models. Int. J. Comput. Assist. Radiol. Surg. 2014, 10, 45–54. [Google Scholar] [CrossRef] [PubMed]
- AlOmari, R.S.; Corso, J.J.; Chaudhary, V.; Dhillon, G. Automatic diagnosis of lumbar disc herniation with shape and appearance features from MRI. In Medical Imaging 2010: Computer-Aided Diagnosis; International Society for Optics and Photonics: Bellingham, WA, USA, 2010; Volume 7624, p. 76241A. [Google Scholar]
- Michopoulou, S. Image Analysis for the Diagnosis of MR Images of the Lumbar Spine. Ph.D. Thesis, UCL (University College London), London, UK, 2011. [Google Scholar]
- Cuckler, J.M.; Bernini, P.; Wiesel, S.W.; Booth, R.E., Jr.; Rothman, R.H.; Pickens, G.T. The use of epidural steroids in the treat-ment of lumbar radicular pain. A prospective, randomized, double-blind study. J. Bone Jt. Surg. 1985, 67, 63–66. [Google Scholar] [CrossRef]
- Hoad, C.L.; Martel, A.L. Segmentation of MR images for computer-assisted surgery of the lumbar spine. Phys. Med. Biol. 2002, 47, 3503–3517. [Google Scholar] [CrossRef]
- Ghosh, S.; Chaudhary, V. Supervised methods for detection and segmentation of tissues in clinical lumbar MRI. Comput. Med. Imaging Graph. 2014, 38, 639–649. [Google Scholar] [CrossRef]
- Chen, Y.; Shi, F.; Christodoulou, A.G.; Xie, Y.; Zhou, Z.; Li, D. Efficient and Accurate MRI Super-Resolution Using a Generative Adversarial Network and 3D Multi-level Densely Connected Network. In International Conference on Medical Image Computing and Computer-Assisted Intervention; Metzler, J.B., Ed.; Springer: Cham, Switzerland, 2018; pp. 91–99. [Google Scholar]
- Jiang, J.; Hu, Y.-C.; Tyagi, N.; Zhang, P.; Rimner, A.; Mageras, G.S.; Deasy, J.O.; Veeraraghavan, H. Tumor-Aware, Adversarial Domain Adaptation from CT to MRI for Lung Cancer Segmentation. In International Conference on Medical Image Computing and Computer-Assisted Intervention; Metzler, J.B., Ed.; Springer: Cham, Switzerland, 2018; Volume 11071, pp. 777–785. [Google Scholar]
- Ebrahimzadeh, E.; Fayaz, F.; Ahmadi, F.; Nikravan, M. A machine learning-based method in order to diagnose lumbar disc herniation disease by MR image processing. MedLife Open Access 2018, 1, 1. [Google Scholar]
- Chevrefils, C.; Chériet, F.; Grimard, G.; Aubin, C.-E. Watershed Segmentation of Intervertebral Disk and Spinal Canal from MRI Images. In International Conference Image Analysis and Recognition; Springer: Berlin/Heidelberg, Germany, 2007; pp. 1017–1027. [Google Scholar]
- Alawneh, K.; Al-Dwiekat, M.; Alsmirat, M.; Al-Ayyoub, M. Computer-aided diagnosis of lumbar disc herniation. In Proceedings of the 2015 6th International Conference on Information and Communication Systems (ICICS), Amman, Jordan, 7–9 April 2015; Institute of Electrical and Electronics Engineers (IEEE): Piscataway, NJ, USA, 2015; pp. 286–291. [Google Scholar]
- Marquardt, G.; Bruder, M.; Theuss, S.; Setzer, M.; Seifert, V. Ultra-long-term outcome of surgically treated far-lateral, extraforaminal lumbar disc herniations: A single-center series. Eur. Spine J. 2011, 21, 660–665. [Google Scholar] [CrossRef]
- Creswell, A.; White, T.; Dumoulin, V.; Arulkumaran, K.; Sengupta, B.; Bharath, A.A. Generative ad-versarial networks: An overview. IEEE Signal Process. Mag. 2018, 35, 53–65. [Google Scholar] [CrossRef]
- Baur, C.; Albarqouni, S.; Navab, N. Generating Highly Realistic Images of Skin Lesions with GANs. In Lecture Notes in Computer Science; Metzler, J.B., Ed.; Springer: Cham, Switzerland, 2018; pp. 260–267. [Google Scholar]
- Wolterink, J.M.; Kamnitsas, K.; Ledig, C.; Išgum, I. Generative adversarial networks and ad-versarial methods in biomedical image analysis. arXiv 2018, arXiv:1810.10352. [Google Scholar]
- Yu, S.; Dong, H.; Yang, G.; Slabaugh, G.; Dragotti, P.L.; Ye, X.; Guo, Y. Deep de-aliasing for fast compressive sensing mri. arXiv 2017, arXiv:1705.07137. [Google Scholar]
- Yang, G.; Yu, S.; Dong, H.; Slabaugh, G.; Dragotti, P.L.; Ye, X.; Firmin, D. Dagan: Deep de-aliasing generative adversarial networks for fast compressed sensing mri recon-struction. IEEE Trans. Med. Imaging 2017, 37, 1310–1321. [Google Scholar] [CrossRef]
- Seitzer, M.; Yang, G.; Schlemper, J.; Oktay, O.; Würfl, T.; Christlein, V.; Wong, T.; Mohiaddin, R.; Firmin, D.; Keegan, J.; et al. Adversarial and perceptual refinement for compressed sensing mri reconstruction. In International Conference on Medical Image Computing and Computer-Assisted Intervention; Springer: Cham, Switzerland, 2018; pp. 232–240. [Google Scholar]
- Quan, T.M.; Nguyen-Duc, T.; Jeong, W.K. Compressed sensing mri reconstruction with cyclic loss in genera-tive adversarial networks. arXiv 2017, arXiv:1709.00753. [Google Scholar]
- Sánchez, I.; Vilaplana, V. Brain mri super-resolution using 3d generative adversarial networks. arXiv 2018, arXiv:1812.11440. [Google Scholar]
- Li, Z.; Wang, Y.; Yu, J. Reconstruction of Thin-Slice Medical Images Using Generative Adversarial Network. In Tools and Algorithms for the Construction and Analysis of Systems; Springer Science and Business Media LLC: Berlin/Heidelberg, Germany, 2017; Volume 10541, pp. 325–333. [Google Scholar]
- Mardani, M.; Gong, E.; Cheng, J.Y.; Vasanawala, S.S.; Zaharchuk, G.; Xing, L.; Pauly, J.M. Deep Generative Adversarial Neural Networks for Compressive Sensing MRI. IEEE Trans. Med. Imaging 2019, 38, 167–179. [Google Scholar] [CrossRef]
- Shitrit, O.; Raviv, T.R. Accelerated Magnetic Resonance Imaging by Adversarial Neural Network. In Lecture Notes in Computer Science; Metzler, J.B., Ed.; Springer: Cham, Switzerland, 2017; pp. 30–38. [Google Scholar]
- Mahapatra, D.; Bozorgtabar, B.; Hewavitharanage, S.; Garnavi, R. Image Super Resolution Using Generative Adversarial Networks and Local Saliency Maps for Retinal Image Analysis. In International Conference on Medical Image Computing and Computer-Assisted Intervention; Metzler, J.B., Ed.; Springer: Cham, Switzerland, 2017; pp. 382–390. [Google Scholar]
- Han, L.; Yin, Z. A Cascaded Refinement GAN for Phase Contrast Microscopy Image Super Resolution. In International Conference on Medical Image Computing and Computer-Assisted Intervention; Metzler, J.B., Ed.; Springer: Cham, Switzerland, 2018; pp. 347–355. [Google Scholar]
- Ravì, D.; Szczotka, A.B.; Pereira, S.P.; Vercauteren, T. Adversarial training with cycle con-sistency for unsupervised super-resolution in endomicroscopy. Med. Image Anal. 2019, 53, 123–131. [Google Scholar] [CrossRef]
- Schlegl, T.; Seeböck, P.; Waldstein, S.M.; Schmidt-Erfurth, U.; Langs, G. Unsupervised Anomaly Detection with Generative Adversarial Networks to Guide Marker Discovery. In International Conference on Information Processing in Medical Imaging; Springer: Cham, Switzerland, 2017; pp. 146–157. [Google Scholar]
- Chen, X.; Konukoglu, E. Unsupervised detection of lesions in brain mri using constrained adversarial au-to-encoders. arXiv 2018, arXiv:1806.04972. [Google Scholar]
- Kohl, S.; Bonekamp, D.; Schlemmer, H.P.; Yaqubi, K.; Hohenfellner, M.; Hadaschik, B.; Radtke, J.P.; Maier-Hein, K. Adversarial networks for the detection of aggressive prostate cancer. arXiv 2017, arXiv:1702.08014. [Google Scholar]
- Udrea, A.; Mitra, G.D. Generative Adversarial Neural Networks for Pigmented and Non-Pigmented Skin Lesions Detection in Clinical Images. In Proceedings of the 2017 21st International Conference on Control Systems and Computer Science (CSCS), Bucharest, Romania, 29–31 May 2017; Institute of Electrical and Electronics Engineers (IEEE): Piscataway, NJ, USA, 2017; pp. 364–368. [Google Scholar]
- Tuysuzoglu, A.; Tan, J.; Eissa, K.; Kiraly, A.P.; Diallo, M.; Kamen, A. Deep adversarial con-text-aware landmark detection for ultrasound imaging. In International Conference on Medical Image Computing and Computer-Assisted Intervention; Springer: Berlin/Heidelberg, Germany, 2018; pp. 151–158. [Google Scholar]
- Yi, X.; Babyn, P. Sharpness-Aware Low-Dose CT Denoising Using Conditional Generative Adversarial Network. J. Digit. Imaging 2018, 31, 655–669. [Google Scholar] [CrossRef]
- Wolterink, J.M.; Leiner, T.; Viergever, M.A.; Isgum, I. Generative Adversarial Networks for Noise Reduction in Low-Dose CT. IEEE Trans. Med. Imaging 2017, 36, 2536–2545. [Google Scholar] [CrossRef]
- Wang, J.; Zhao, Y.; Noble, J.H.; Dawant, B.M. Conditional Generative Adversarial Networks for Metal Artifact Reduction in CT Images of the Ear. In International Conference on Medical Image Computing and Computer-Assisted Intervention; Metzler, J.B., Ed.; Springer: Cham, Switzerland, 2018; pp. 3–11. [Google Scholar]
- Yang, S.; Wang, J.; Hao, X.; Li, H.; Wei, X.; Deng, B.; Loparo, K.A. BiCoSS: Toward Large-Scale Cognition Brain with Multigranular Neuromorphic Architecture. IEEE Trans. Neural Netw. Learn. Syst. 2021, 1–15. [Google Scholar] [CrossRef]
- Yang, S.; Wang, J.; Zhang, N.; Deng, B.; Pang, Y.; Azghadi, M.R. CerebelluMorphic: Large-Scale Neuromorphic Model and Architecture for Supervised Motor Learning. IEEE Trans. Neural Netw. Learn. Syst. 2021, 1–15. [Google Scholar] [CrossRef]
- Yang, S.; Deng, B.; Wang, J.; Liu, C.; Li, H.; Lin, Q.; Fietkiewicz, C.; Loparo, K.A. Design of Hidden-Property-Based Variable Universe Fuzzy Control for Movement Disorders and Its Efficient Reconfigurable Implementation. IEEE Trans. Fuzzy Syst. 2019, 27, 304–318. [Google Scholar] [CrossRef]
- Yang, S.; Deng, B.; Wang, J.; Li, H.; Lu, M.; Che, Y.; Wei, X.; Loparo, K.A. Scalable Digital Neuromorphic Architecture for Large-Scale Biophysically Meaningful Neural Network With Multi-Compartment Neurons. IEEE Trans. Neural Netw. Learn. Syst. 2020, 31, 148–162. [Google Scholar] [CrossRef] [PubMed]
- Zhang, L.; Yang, H.; Jiang, Z. Imbalanced biomedical data classification using self-adaptive multilayer ELM com-bined with dynamic GAN. Biomed. Eng. Online 2018, 17, 181. [Google Scholar] [CrossRef] [PubMed]
- Larrañeta, E.; Henry, M.; Irwin, N.J.; Trotter, J.; Perminova, A.A.; Donnelly, R.F. Synthesis and characterization of hyaluronic acid hydrogels crosslinked using a solvent-free process for potential biomedical applications. Carbohydr. Polym. 2018, 181, 1194–1205. [Google Scholar] [CrossRef] [PubMed]
- Zhang, P.; Wang, F.; Xu, W.; Li, Y. Multi-channel Generative Adversarial Network for Parallel Magnetic Resonance Image Reconstruction in K-space. In International Conference on Medical Image Computing and Computer-Assisted Intervention; Metzler, J.B., Ed.; Springer: Cham, Switzerland, 2018; pp. 180–188. [Google Scholar]
- Yang, S.; Gao, T.; Wang, J.; Deng, B.; Lansdell, B.; Linares-Barranco, B. Efficient Spike-Driven Learning with Den-dritic Event-Based Processing. Front. Neurosci. 2021, 15, 97. [Google Scholar] [CrossRef] [PubMed]
- Roy, K.; Jaiswal, A.; Panda, P. Towards spike-based machine intelligence with neuromorphic computing. Nature 2019, 575, 607–617. [Google Scholar] [CrossRef]
- Yang, S.; Wang, J.; Deng, B.; Liu, C.; Li, H.; Fietkiewicz, C.; Loparo, K.A. Real-Time Neuromorphic System for Large-Scale Conductance-Based Spiking Neural Networks. IEEE Trans. Cybern. 2019, 49, 2490–2503. [Google Scholar] [CrossRef]
- Kazeminia, S.; Baur, C.; Kuijper, A.; van Ginneken, B.; Navab, N.; Albarqouni, S.; Mukhopadhyay, A. GANs for medical image analysis. Artif. Intell. Med. 2020, 109, 101938. [Google Scholar] [CrossRef]
- Wolterink, J.M.; Dinkla, A.M.; Savenije, M.H.; Seevinck, P.R.; van den Berg, C.A.; Isgum, I. Deep MR to CT synthesis using unpaired data. In International Workshop on Simulation and Synthesis in Medical Imaging; Springer: Cham, Switzerland, 2017; pp. 14–23. [Google Scholar]
- Yan, P.; Xu, S.; Rastinehad, A.R.; Wood, B.J. Adversarial Image Registration with Application for MR and TRUS Image Fusion. In Lecture Notes in Computer Science; Metzler, J.B., Ed.; Springer: Cham, Switzerland, 2018; pp. 197–204. [Google Scholar]
- Baumgartner, C.F.; Koch, L.M.; Tezcan, K.C.; Ang, J.X.; Konukoglu, E. Visual Feature Attribution Using Wasserstein GANs. In Proceedings of the 2018 IEEE/CVF Conference on Computer Vision and Pattern Recognition; Institute of Electrical and Electronics Engineers (IEEE): Piscataway, NJ, USA, 2018; pp. 8309–8319. [Google Scholar]
- Ren, J.; Hacihaliloglu, I.; Singer, E.A.; Foran, D.J.; Qi, X. Adversarial Domain Adaptation for Classification of Prostate Histopathology Whole-Slide Images. In International Conference on Medical Image Computing and Computer-Assisted Intervention; Metzler, J.B., Ed.; Springer: Cham, Switzerland, 2018; Volume 11071, pp. 201–209. [Google Scholar]
- Son, J.; Park, S.J.; Jung, K.-H. Retinal vessel segmentation in fundoscopic images with generative adversarial networks. arXiv 2017, arXiv:1706.09318. [Google Scholar]









| Ref | Method | Architecture | Loss | Modality | Dataset | Performance |
|---|---|---|---|---|---|---|
| [19] | cGAN, U-Net | cGAN, U-Net | Adv | MRI | IXI | PSNR = 39.53 ± 4.12 |
| [20] | cGAN, U-Net | cGAN, U-Net | Adv | MRI | IXI | PSNR = 40.20 ± 4.07 |
| [21] | cGAN, U-Net | cGAN, U-Net | Adv, feature matching, Perceptual, penalty | MRI | Train: 3000 3D test: 1200 | PSNR = 31.82 ± 2.28 |
| [22] | GAN chain, ResNet | GAN chain, ResNet | Adv, Cyclic | MRI | Brain: IXI | PSNR = 38.71 ± 2.5 |
| [23] | SRGAN, subpixel-NN | SRGAN, subpixel-NN | LSGAN, GDL | MRI (Brain) | ADNI (Train: 470, Test: 119) | PSNR = 39.28, 33.58 |
| [24] | ResNet, GAN | ResNet, GAN | Adv | MRI | MRI (Brain) | PSNR = 24.2 |
| [10] | DenseNet, WGAN | DenseNet, WGAN | MSE, WGAN | MRI | Unknown (Train: 891, Test: 111) | PSNR = 35.88 |
| [25] | ResNet, LSGAN | ResNet, LSGAN | Adv & MRI (Chest) | MRI | MRI abdomen pediatric | PSNR = 37.95 |
| [26] | ResNet, GAN | ResNet, GAN | Adv | MRI | Unknown (Train: 1560, Test: 346) | PSNR = 37.95 |
| [27] | ResNet, GAN | ResNet | Adv, CNN saliency | Retinal Funduscopy | Unknown (5000 data)) | PSNR = 44.3, 39 |
| [28] | GAN | GAN | Adv, Perceptual | Microscopy (Cell) | Unknown (Train: 11,000, Test: 500) | PSNR = 27.8591 |
| [29] | GAN, Cyclic | GAN, Cyclic | Adv, Regular | Endo-microscopy | Train: 202, Test: 36 | SSIM = 0.87 |
| [30] | DCGAN | DCGAN | Adv | SD-OCT scans | Unknown (Train: 270, Test: 20) | Precision = 0.8834 |
| [31] | AnoGAN, WGAN-GP | AnoGAN, WGAN-GP | WGAN-GP, Regular | MRI | MRI (brain) | AUC = 0.92 |
| [32] | WGAN, U-Net | WGAN, U-Net | Adv | MRI | MRI (brain) | NCC = 0.27 |
| [33] | U-Net, GAN | U-Net, GAN | MSE | MRI | (NCT) Heidelberg | Specificity = 0.98 ± 0.14 |
| [34] | cGAN, U-net | cGAN, U-net | Adv | Natural skin | Natural skin | Correct detect = 0.914 |
| [35] | GAN | GAN | Adv, Local, Contour | Ultra-sound (prostate) | Ultra-sound (prostate) | DSC = 0.92 ± 0.3 |
| [36] | CNN, GAN | CNN, GAN | CNN, Adv | CT (phantom) | CT (phantom) | Agatston score: Median = 20.7, Min = 6.1, Max = 145.1 |
| [37] | U-net | U-net | Adv, L1 | CT (ear) | - | P2PEs: Median = 0.409, STD = 0.133, Max = 0.912 |
| [38] | MGAN, ResNet | MGAN, ResNet | Pixel-wise, MGAN | CT | - | PSNR = 26.77 |
| Architecture | IoU Results |
|---|---|
| Medium Gaussian SVM | 66% |
| Segnet | 58% |
| U-net | 93.3% |
| CycleGAN | 97.2% |
| A | P | R | AP | |
|---|---|---|---|---|
| Foraminal | 93.4 | 85.5 | 56 | 43 |
| Median | 94.6 | 97.5 | 93.6 | 89.9 |
Publisher’s Note: MDPI stays neutral with regard to jurisdictional claims in published maps and institutional affiliations. |
© 2021 by the authors. Licensee MDPI, Basel, Switzerland. This article is an open access article distributed under the terms and conditions of the Creative Commons Attribution (CC BY) license (https://creativecommons.org/licenses/by/4.0/).
Share and Cite
Mbarki, W.; Bouchouicha, M.; Tshienda, F.T.; Moreau, E.; Sayadi, M. Herniated Lumbar Disc Generation and Classification Using Cycle Generative Adversarial Networks on Axial View MRI. Electronics 2021, 10, 982. https://doi.org/10.3390/electronics10080982
Mbarki W, Bouchouicha M, Tshienda FT, Moreau E, Sayadi M. Herniated Lumbar Disc Generation and Classification Using Cycle Generative Adversarial Networks on Axial View MRI. Electronics. 2021; 10(8):982. https://doi.org/10.3390/electronics10080982
Chicago/Turabian StyleMbarki, Wafa, Moez Bouchouicha, Frederick Tshibasu Tshienda, Eric Moreau, and Mounir Sayadi. 2021. "Herniated Lumbar Disc Generation and Classification Using Cycle Generative Adversarial Networks on Axial View MRI" Electronics 10, no. 8: 982. https://doi.org/10.3390/electronics10080982
APA StyleMbarki, W., Bouchouicha, M., Tshienda, F. T., Moreau, E., & Sayadi, M. (2021). Herniated Lumbar Disc Generation and Classification Using Cycle Generative Adversarial Networks on Axial View MRI. Electronics, 10(8), 982. https://doi.org/10.3390/electronics10080982

