Depolarizing Chipless Tags with Polarization Insensitive Capabilities
Abstract
1. Introduction
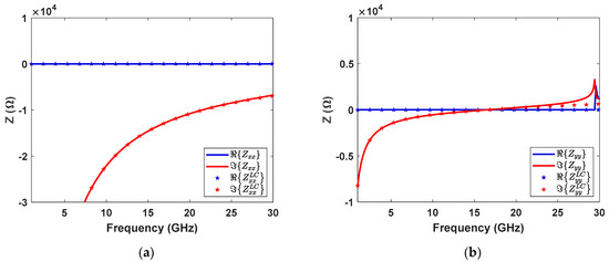
2. Formulation
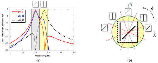
3. Polarization Sensitive Chipless Tag
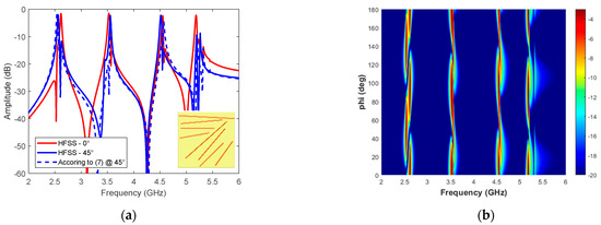
4. Polarization Insensitive Chipless Tag
5. Experimental Results
6. Increasing Number of Bits
7. Conclusions
Author Contributions
Funding
Informed Consent Statement
Conflicts of Interest
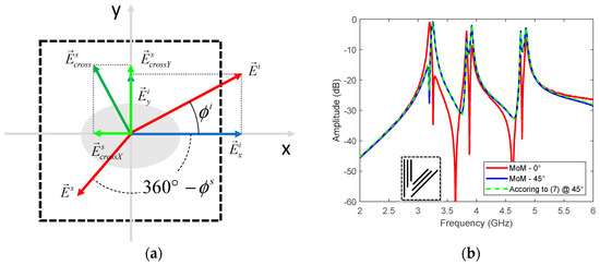
Appendix A. Field Reconstruction on a Generic Azimuth Plane

References
- Costa, F.; Borgese, M. Metamaterials, Metasurfaces and Applications. In Compendium on Electromagnetic Analysis; World Scientific: Singapore, 2020; pp. 89–169. ISBN 978-981-327-029-9. [Google Scholar] [CrossRef]
- Costa, F.; Genovesi, S.; Monorchio, A. A Chipless RFID Based on Multiresonant High-Impedance Surfaces. IEEE Trans. Microw. Theory Tech. 2013, 61, 146–153. [Google Scholar] [CrossRef]
- Tedjini, S.; Karmakar, N.; Perret, E.; Vena, A.; Koswatta, R.; E-Azim, R. Hold the Chips: Chipless Technology, an Alternative Technique for RFID. IEEE Microw. Mag. 2013, 14, 56–65. [Google Scholar] [CrossRef]
- Costa, F.; Genovesi, S.; Monorchio, A.; Manara, G. A Robust Differential-Amplitude Codification for Chipless RFID. IEEE Microw. Wirel. Components Lett. 2015, 25, 832–834. [Google Scholar] [CrossRef]
- Genovesi, S.; Costa, F.; Monorchio, A.; Manara, G. Chipless RFID Tag Exploiting Multifrequency Delta-Phase Quantization Encoding. IEEE Antennas Wirel. Propag. Lett. 2016, 15, 738–741. [Google Scholar] [CrossRef]
- Balbin, I.; Karmakar, N.C. Phase-Encoded Chipless RFID Transponder for Large-Scale Low-Cost Applications. IEEE Microw. Wirel. Components Lett. 2009, 19, 509–511. [Google Scholar] [CrossRef]
- Vena, A.; Perret, E.; Tedjini, S. Chipless RFID Tag Using Hybrid Coding Technique. IEEE Trans. Microw. Theory Tech. 2011, 59, 3356–3364. [Google Scholar] [CrossRef]
- Brinker, K.R.; Zoughi, R. Corner Reflector Based Misalignment-Tolerant Chipless RFID Tag Design Methodology. IEEE J. Radio Freq. Identif. 2020, 1. [Google Scholar] [CrossRef]
- Costa, F.; Borgese, M.; Gentile, A.; Buoncristiani, L.; Genovesi, S.; Dicandia, F.A.; Bianchi, D.; Monorchio, A.; Manara, G. Robust Reading Approach for Moving Chipless RFID Tags by Using ISAR Processing. IEEE Trans. Microw. Theory Tech. 2017, 66, 2442–2451. [Google Scholar] [CrossRef]
- Borgese, M.; Genovesi, S.; Manara, G.; Costa, F. Radar Cross Section of Chipless RFID tags and BER Performance. IEEE Trans. Antennas Propag. 2020, 1. [Google Scholar] [CrossRef]
- Ramirez, R.A.; Rojas-Nastrucci, E.A.; Weller, T.M. UHF RFID Tags for On-/Off-Metal Applications Fabricated Using Additive Manufacturing. IEEE Antennas Wirel. Propag. Lett. 2017, 16, 1635–1638. [Google Scholar] [CrossRef]
- Terranova, S.; Costa, F.; Manara, G.; Genovesi, S. Three-Dimensional Chipless RFID Tags: Fabrication through Additive Manufacturing. Sensors 2020, 20, 4740. [Google Scholar] [CrossRef]
- Li, Q.; Chen, J.; Zhao, L. Research on an Improved Metal Surface Defect Detection Sensor Based on a 3D RFID Tag Antenna. J. Sens. 2020, 2020, 1–13. [Google Scholar] [CrossRef]
- Herrojo, C.; Muela, F.J.; Mata-Contreras, J.; Paredes, F.; Martin, F. High-Density Microwave Encoders for Motion Control and Near-Field Chipless-RFID. IEEE Sens. J. 2019, 19, 3673–3682. [Google Scholar] [CrossRef]
- Vena, A.; Perret, E.; Tedjini, S. A Depolarizing Chipless RFID Tag for Robust Detection and Its FCC Compliant UWB Reading System. IEEE Trans. Microw. Theory Tech. 2013, 61, 2982–2994. [Google Scholar] [CrossRef]
- Costa, F.; Genovesi, S.; Monorchio, A. Chipless RFIDs for Metallic Objects by Using Cross Polarization Encoding. IEEE Trans. Antennas Propag. 2014, 62, 4402–4407. [Google Scholar] [CrossRef]
- Genovesi, S.; Costa, F.; Dicandia, F.A.; Borgese, M.; Manara, G. Orientation-Insensitive and Normalization-Free Reading Chipless RFID System Based on Circular Polarization Interrogation. IEEE Trans. Antennas Propag. 2019, 68, 2370–2378. [Google Scholar] [CrossRef]
- Costa, F.; Gentile, A.; Genovesi, S.; Buoncristiani, L.; Lazaro, A.; Villarino, R.; Girbau, D. A Depolarizing Chipless RF Label for Dielectric Permittivity Sensing. IEEE Microw. Wirel. Components Lett. 2018, 28, 371–373. [Google Scholar] [CrossRef]
- Khaliel, M.; El-Awamry, A.; Megahed, A.F.; Kaiser, T. A Novel Design Approach for Co/Cross-Polarizing Chipless RFID Tags of High Coding Capacity. IEEE J. Radio Freq. Identif. 2017, 1, 135–143. [Google Scholar] [CrossRef]
- Genovesi, S.; Costa, F.; Borgese, M.; Dicandia, F.A.; Monorchio, A.; Manara, G. Chipless RFID sensor for rotation monitoring. In Proceedings of the 2017 IEEE International Conference on RFID Technology & Application (RFID-TA), Warsaw, Poland, 20–22 September 2017; pp. 233–236. [Google Scholar]
- Genovesi, S.; Costa, F.; Borgese, M.; Dicandia, F.A.; Manara, G. Chipless Radio Frequency Identification (RFID) Sensor for Angular Rotation Monitoring. Technologies 2018, 6, 61. [Google Scholar] [CrossRef]
- Rance, O.; Barbot, N.; Perret, E. Design of Planar Resonant Scatterer With Roll-Invariant Cross Polarization. IEEE Trans. Microw. Theory Tech. 2020, 68, 4305–4313. [Google Scholar] [CrossRef]
- Barbot, N.; Rance, O.; Perret, E. Chipless RFID Reading Method Insensitive to Tag Orientation. IEEE Trans. Antennas Propag. 2020, 1. [Google Scholar] [CrossRef]
- Costa, F.; Monorchio, A.; Manara, G. Efficient Analysis of Frequency-Selective Surfaces by a Simple Equivalent-Circuit Model. IEEE Antennas Propag. Mag. 2012, 54, 35–48. [Google Scholar] [CrossRef]
- Mittra, R.; Chan, C.; Cwik, T. Techniques for analyzing frequency selective surfaces-a review. Proc. IEEE 1988, 76, 1593–1615. [Google Scholar] [CrossRef]













Publisher’s Note: MDPI stays neutral with regard to jurisdictional claims in published maps and institutional affiliations. |
© 2021 by the authors. Licensee MDPI, Basel, Switzerland. This article is an open access article distributed under the terms and conditions of the Creative Commons Attribution (CC BY) license (http://creativecommons.org/licenses/by/4.0/).
Share and Cite
Borgese, M.; Costa, F.; Genovesi, S.; Manara, G. Depolarizing Chipless Tags with Polarization Insensitive Capabilities. Electronics 2021, 10, 478. https://doi.org/10.3390/electronics10040478
Borgese M, Costa F, Genovesi S, Manara G. Depolarizing Chipless Tags with Polarization Insensitive Capabilities. Electronics. 2021; 10(4):478. https://doi.org/10.3390/electronics10040478
Chicago/Turabian StyleBorgese, Michele, Filippo Costa, Simone Genovesi, and Giuliano Manara. 2021. "Depolarizing Chipless Tags with Polarization Insensitive Capabilities" Electronics 10, no. 4: 478. https://doi.org/10.3390/electronics10040478
APA StyleBorgese, M., Costa, F., Genovesi, S., & Manara, G. (2021). Depolarizing Chipless Tags with Polarization Insensitive Capabilities. Electronics, 10(4), 478. https://doi.org/10.3390/electronics10040478

