Stable, Low Power and Bit-Interleaving Aware SRAM Memory for Multi-Core Processing Elements
Abstract
:1. Introduction
- We propose a bit-interleaving aware 12T SRAM cell;
- Positive feedback in introducing SRAM cell to increase the stability;
- Selective word line is proposed to increase the write performance;
- We propose a butterfly-based SRAM architecture to increase the performance and reduce the power dissipation;
- We compare the result with the state-of-the-art design.
2. Proposed SRAM Cell
2.1. Read and Write Operation
2.2. Bit-Interleaving Analysis
2.3. SRAM Cell Area Analysis
3. Proposed SRAM Architecture
4. Simulation Result and Analysis
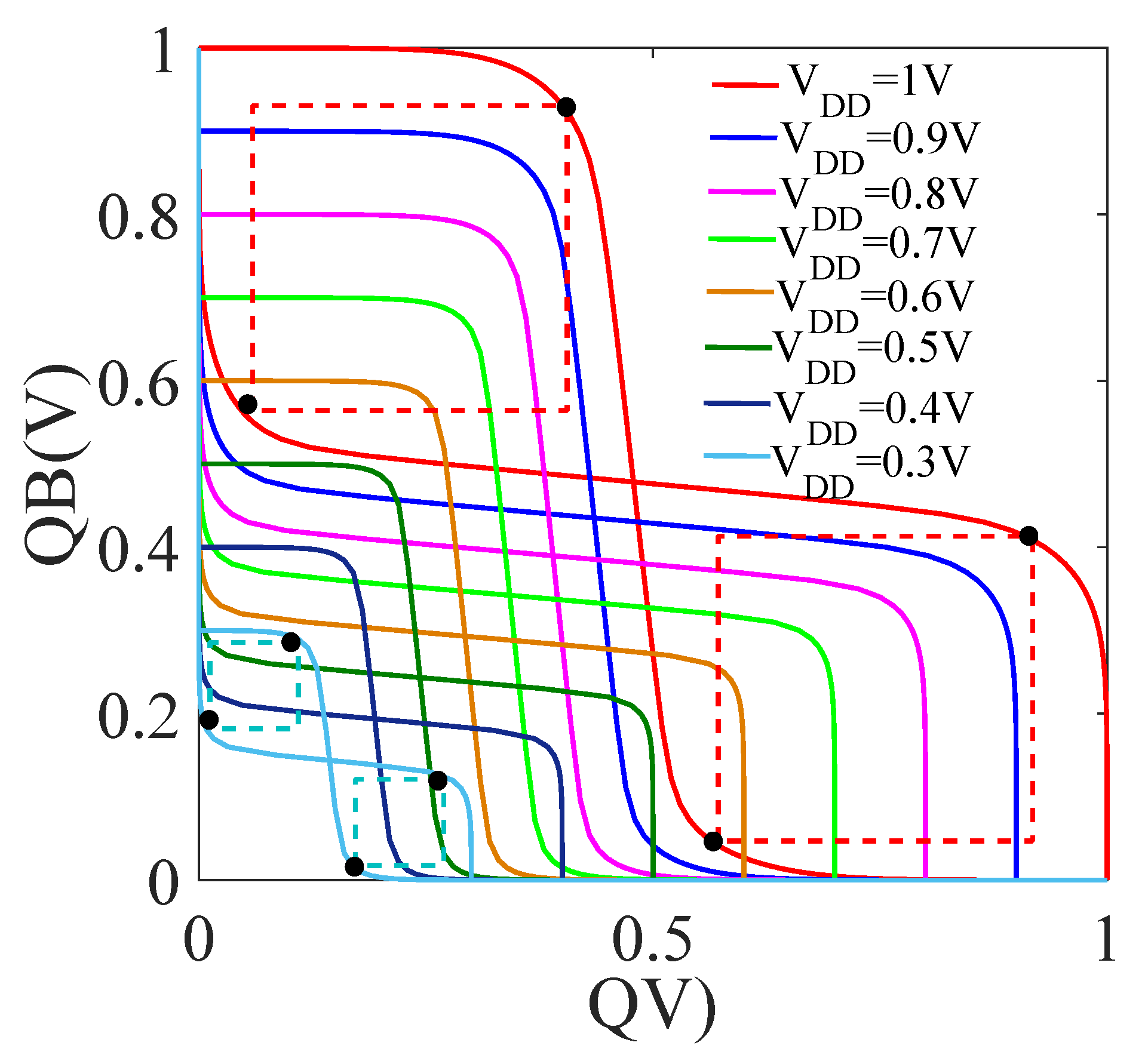
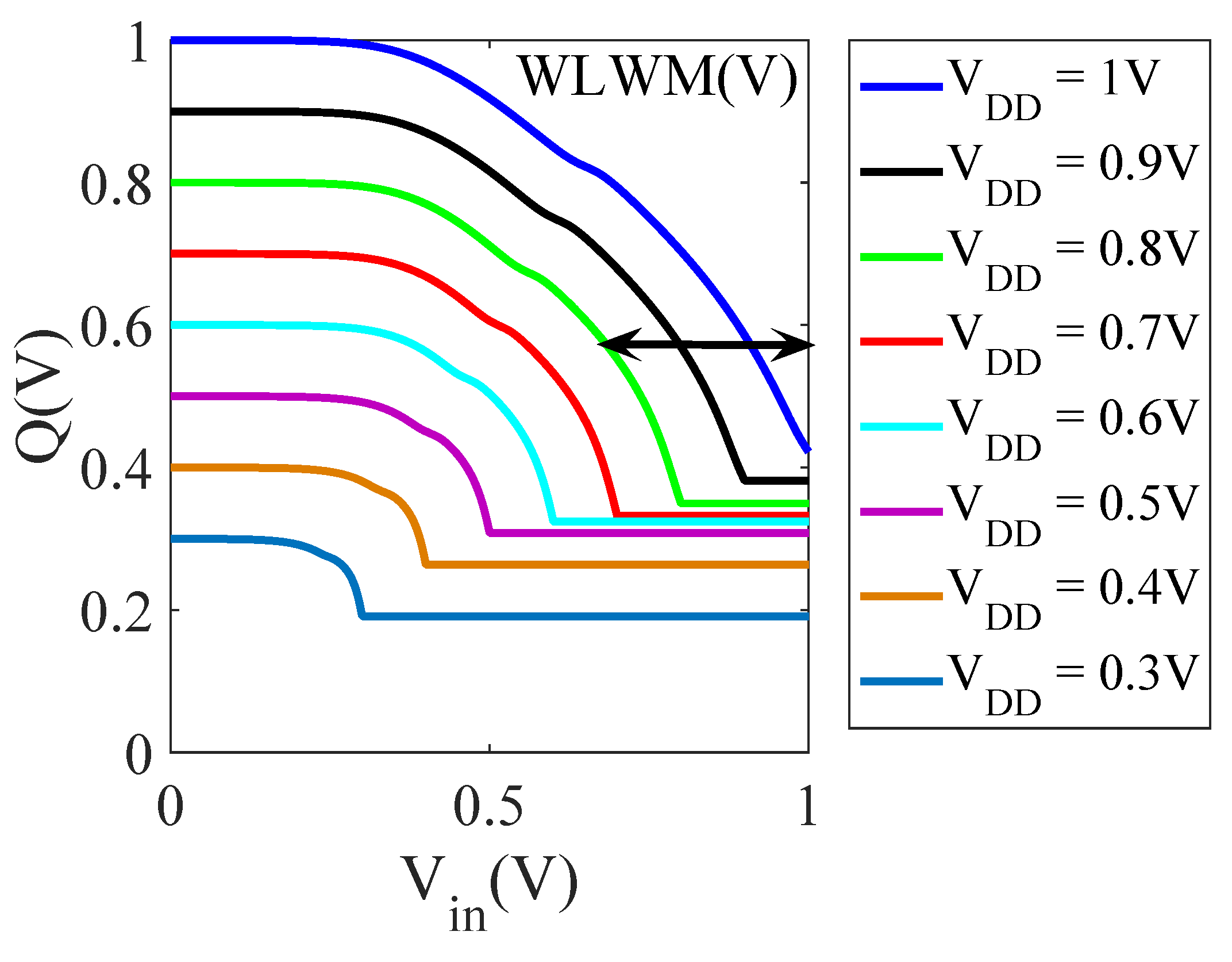
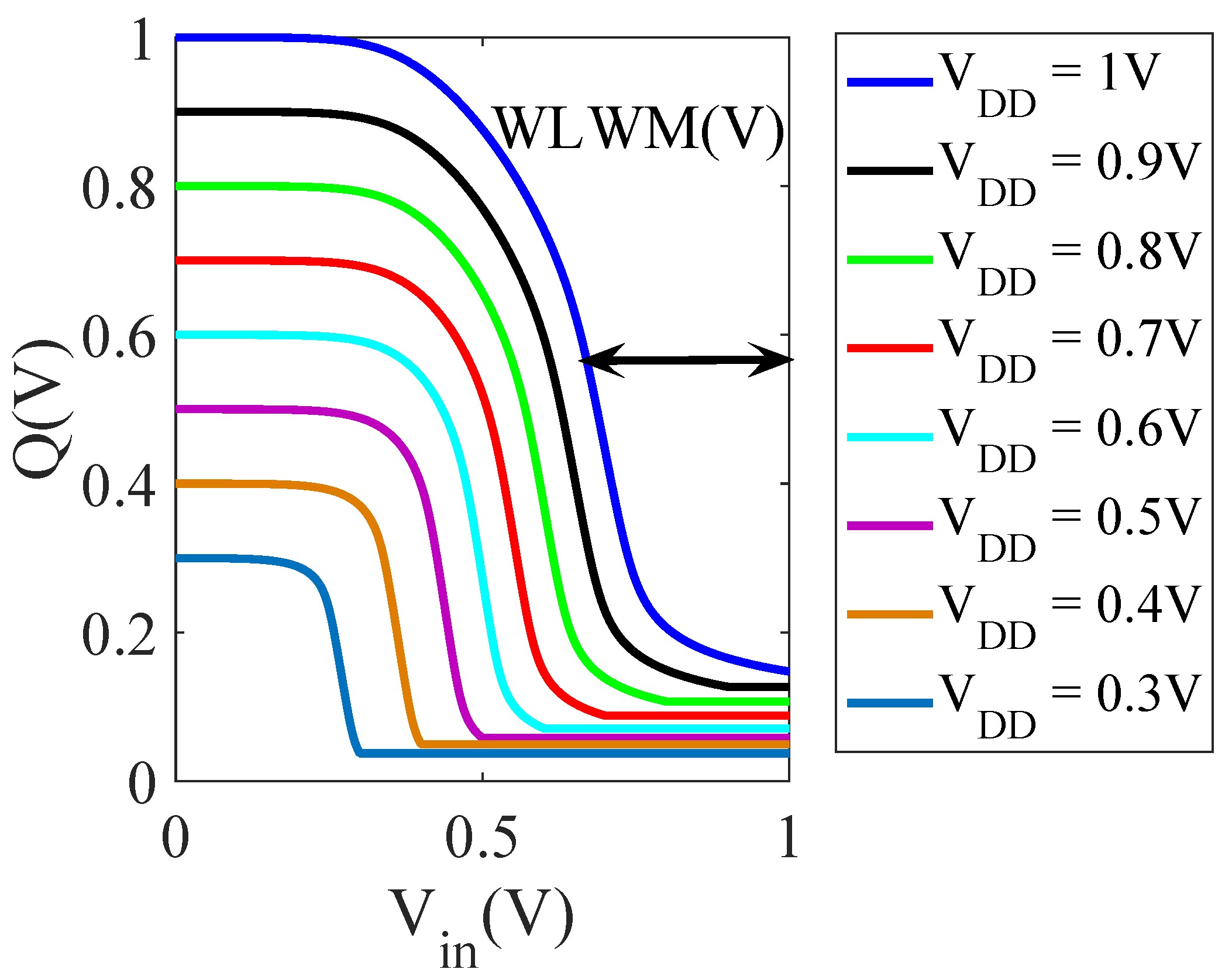
4.1. Stability Analysis
4.2. Performance Analysis
4.3. Power Dissipation
5. Conclusions
Author Contributions
Funding
Institutional Review Board Statement
Informed Consent Statement
Acknowledgments
Conflicts of Interest
References
- Von Neumann, J.; Kurzweil, R. The Computer and the Brain; Yale University Press: New Haven, CT, USA, 2012. [Google Scholar]
- Jaiswal, A.; Chakraborty, I.; Agrawal, A.; Roy, K. 8T SRAM Cell as a Multibit Dot-Product Engine for Beyond Von Neumann Computing. IEEE Trans. Very Large Scale Integr. Syst. 2019, 27, 2556–2567. [Google Scholar] [CrossRef] [Green Version]
- Jia, H.; Valavi, H.; Tang, Y.; Zhang, J.; Verma, N. A Programmable Heterogeneous Microprocessor Based on Bit-Scalable In-Memory Computing. IEEE J. Solid-State Circuits 2020, 55, 2609–2621. [Google Scholar] [CrossRef]
- Ranganathan, K.; Foster, I. Decoupling computation and data scheduling in distributed data-intensive applications. In Proceedings of the 11th IEEE International Symposium on High Performance Distributed Computing, Edinburgh, UK, 24–26 July 2002; pp. 352–358. [Google Scholar]
- Jiang, W.; Yu, H.; Zhang, J.; Wu, J.; Luo, S.; Ha, Y. Optimizing energy efficiency of CNN-based object detection with dynamic voltage and frequency scaling. J. Semicond. 2020, 41, 022406. [Google Scholar] [CrossRef]
- Moon, S.; Shin, J.; Shin, C. Understanding of Polarization-Induced Threshold Voltage Shift in Ferroelectric-Gated Field Effect Transistor for Neuromorphic Applications. Electronics 2020, 9, 704. [Google Scholar] [CrossRef]
- Pedretti, G.; Ielmini, D. In-Memory Computing with Resistive Memory Circuits: Status and Outlook. Electronics 2021, 10, 1063. [Google Scholar] [CrossRef]
- Dong, Q.; Jeloka, S.; Saligane, M.; Kim, Y.; Kawaminami, M.; Harada, A.; Miyoshi, S.; Yasuda, M.; Blaauw, D.; Sylvester, D. A 4 + 2T SRAM for Searching and In-Memory Computing with 0.3-V VDDmin. IEEE J. Solid-State Circuits 2017, 53, 1006–1015. [Google Scholar] [CrossRef]
- Almeida, R.B.; Marques, C.; Butzen, P.F.; Silva, F.; Reis, R.A.; Meinhardt, C. Analysis of 6 T SRAM cell in sub-45 nm CMOS and FinFET technologies. Microelectron. Reliab. 2018, 88, 196–202. [Google Scholar] [CrossRef]
- Yadav, N.; Shah, A.P.; Vishvakarma, S.K. Stable, reliable, and bit-interleaving 12T SRAM for space applications: A device circuit co-design. IEEE Trans. Semicond. Manuf. 2017, 30, 276–284. [Google Scholar] [CrossRef]
- Patel, P.K.; Malik, M.; Gupta, T.K. A novel high-density dual threshold GNRFET SRAM design with improved stability. Microprocess. Microsyst. 2020, 73, 102956. [Google Scholar] [CrossRef]
- Chhabra, A.; Srivastava, M.; Gupta, P.R.; Dhori, K.J.; Triolet, P.; Di Gilio, T.; Bansal, N.; Sujatha, B. Temperature-based adaptive memory sub-system in 28 nm UTBB FDSOI. In Proceedings of the 2016 IEEE International Symposium on Circuits and Systems (ISCAS), Montreal, QC, Canada, 22–25 May 2016; pp. 1018–1021. [Google Scholar]
- Pal, S.; Islam, A. Variation tolerant differential 8T SRAM cell for ultralow power applications. IEEE Trans. Comput. Aided Des. Integr. Syst. 2015, 35, 549–558. [Google Scholar] [CrossRef]
- Yang, Y.; Park, J.; Song, S.C.; Wang, J.; Yeap, G.; Jung, S.O. Single-ended 9T SRAM cell for near-threshold voltage operation with enhanced read performance in 22-nm FinFET technology. IEEE Trans. Very Large Scale Integr. Syst. 2014, 23, 2748–2752. [Google Scholar] [CrossRef]
- Verma, N.; Chandrakasan, A.P. A 256 kb 65 nm 8T subthreshold SRAM employing sense-amplifier redundancy. IEEE J. Solid-State Circuits 2008, 43, 141–149. [Google Scholar] [CrossRef]
- Kim, T.H.; Liu, J.; Keane, J.; Kim, C.H. A 0.2 V, 480 kb subthreshold SRAM with 1 k cells per bitline for ultra-low-voltage computing. IEEE J. Solid-State Circuits 2008, 43, 518–529. [Google Scholar] [CrossRef]
- Moradi, F.; Wisland, D.T.; Aunet, S.; Mahmoodi, H.; Cao, T.V. 65 nm sub-threshold 11t-sram for ultra low voltage applications. In Proceedings of the 2008 IEEE International SOC Conference, Newport Beach, CA, USA, 17–20 September 2008; pp. 113–118. [Google Scholar]
- Ahmad, S.; Gupta, M.K.; Alam, N.; Hasan, M. Single-ended Schmitt-trigger-based robust low-power SRAM cell. IEEE Trans. Very Large Scale Integr. Syst. 2016, 24, 2634–2642. [Google Scholar] [CrossRef]
- Ataei, S.; Stine, J.E.; Guthaus, M.R. A 64 kb differential single-port 12T SRAM design with a bit-interleaving scheme for low-voltage operation in 32 nm SOI CMOS. In Proceedings of the 2016 IEEE 34th International Conference on Computer Design (ICCD), Scottsdale, AZ, USA, 2–5 October 2016; pp. 499–506. [Google Scholar]
- Chiu, Y.W.; Hu, Y.H.; Tu, M.H.; Zhao, J.K.; Chu, Y.H.; Jou, S.J.; Chuang, C.T. 40 nm bit-interleaving 12T subthreshold SRAM with data-aware write-assist. IEEE Trans. Circuits Syst. Regul. Pap. 2014, 61, 2578–2585. [Google Scholar] [CrossRef]
- Jiang, J.; Xu, Y.; Zhu, W.; Xiao, J.; Zou, S. Quadruple cross-coupled latch-based 10T and 12T SRAM bit-cell designs for highly reliable terrestrial applications. IEEE Trans. Circuits Syst. Regul. Pap. 2018, 66, 967–977. [Google Scholar] [CrossRef]
- Gupta, P.; Sharma, P.; Mitra, S. Leakage Immune Modified Cross Coupled Inverter Based MI-12T SRAM in Sub-Threshold Regime. In Proceedings of the 2019 International Conference on Computing, Electronics & Communications Engineering (ICCECE), London, UK, 22–23 August 2019; pp. 11–15. [Google Scholar]
- Sheu, Y.M.; Su, K.W.; Tian, S.; Yang, S.J.; Wang, C.C.; Chen, M.J.; Liu, S. Modeling the well-edge proximity effect in highly scaled MOSFETs. IEEE Trans. Electron Devices 2006, 53, 2792–2798. [Google Scholar] [CrossRef]
- FreePDK45:Contents. Available online: https://www.eda.ncsu.edu/wiki/FreePDK45:Contents (accessed on 4 November 2021).
- Hodges, D.A.; Jackson, H.G. Analysis Furthermore, Design of Digital Integrated Circuits. In Deep Submicron Technology (Special Indian Edition); Tata McGraw-Hill Education: New York, NY, USA, 2005. [Google Scholar]
- Reniwal, B.S.; Vijayvargiya, V.; Singh, P.; Yadav, N.K.; Vishvakarma, S.K.; Dwivedi, D. An Auto-Calibrated Sense Amplifier with Offset Prediction Approach for Energy-Efficient SRAM. Circuits Syst. Signal Process. 2019, 38, 1482–1505. [Google Scholar] [CrossRef]
- Kang, M.; Park, H.; Wang, J.; Yeap, G.; Jung, S. Asymmetric independent-gate MOSFET SRAM for high stability. IEEE Trans. Electron Devices 2011, 58, 2959–2965. [Google Scholar] [CrossRef]
- Zhao, Q.; Peng, C.; Chen, J.; Lin, Z.; Wu, X. Novel Write-Enhanced and Highly Reliable RHPD-12T SRAM Cells for Space Applications. IEEE Trans. Very Large Scale Integr. Syst. 2020, 28, 848–852. [Google Scholar] [CrossRef]






























| WL | WWL | BL | BLB | Operation |
|---|---|---|---|---|
| 0 | 0 | 1 | 1 | Hold |
| 0 | 1 | 1 | 1 | Hold |
| 1 | 0 | 1 | 1 | Read |
| 1 | 1 | 1/0 | 0/1 | Write |
| Supply | RS12T | RSWA12T | RSWA12T2 | Existing 12T [20] | ||||
|---|---|---|---|---|---|---|---|---|
| Read Time (s) | Write Time (s) | Read Time (s) | Write Time (s) | Read Time (s) | Write Time (s) | Read Time (s) | Write Time (s) | |
| 1 | 7.61 × 10 | 7.39 × 10 | 1.26 × 10 | 4.67 × 10 | 1.21 × 10 | 4.49 × 10 | 6.97 × 10 | 9.21 × 10 |
| 0.9 | 9.79 × 10 | 8.72 × 10 | 1.57 × 10 | 5.46 × 10 | 1.59 × 10 | 5.26 × 10 | 6.97 × 10 | 1.27 × 10 |
| 0.8 | 1.21 × 10 | 1.05 × 10 | 2.01 × 10 | 6.71 × 10 | 2.00 × 10 | 6.59 × 10 | 7.00 × 10 | 2.08 × 10 |
| 0.7 | 1.81 × 10 | 1.37 × 10 | 2.97 × 10 | 8.67 × 10 | 2.93 × 10 | 8.14 × 10 | 7.02 × 10 | 3.93 × 10 |
| 0.6 | 1.93 × 10 | 1.98 × 10 | 2.78 × 10 | 1.22 × 10 | 2.84 × 10 | 1.18 × 10 | 7.02 × 10 | 9.23 × 10 |
| 0.5 | 3.91 × 10 | 3.67 × 10 | 6.10 × 10 | 2.17 × 10 | 6.10 × 10 | 2.13 × 10 | 7.04 × 10 | 1.55 × 10 |
| 0.4 | 1.39 × 10 | 1.15 × 10 | 2.21 × 10 | 8.28 × 10 | 2.07 × 10 | 8.00 × 10 | 7.10 × 10 | 1.86 × 10 |
| Proposed SRAM | Existing | |||||||||||||
|---|---|---|---|---|---|---|---|---|---|---|---|---|---|---|
| RS12T | RSWA12T | RSWA12T2 | 6T | Existing 12T [20] | Existing 12T [21] | Existing 12T [22] | ||||||||
| RNM(V) | SNM(V) | RNM(V) | SNM(V) | RNM(V) | SNM(V) | RNM(V) | SNM(V) | RNM(V) | SNM(V) | RNM(V) | SNM(V) | RNM(V) | SNM(V) | |
| 1.0 | 0.3434 | 0.3470 | 0.3178 | 0.3470 | 0.3178 | 0.3470 | 0.1875 | 0.3617 | 0.3371 | 0.3371 | 0.1895 | 0.3354 | ||
| 0.9 | 0.3232 | 0.3300 | 0.3041 | 0.3300 | 0.3041 | 0.3300 | 0.1787 | 0.3428 | 0.3235 | 0.3235 | - | - | - | - |
| 0.8 | 0.2990 | 0.3050 | 0.2819 | 0.3050 | 0.2819 | 0.3050 | 0.1655 | 0.3151 | 0.3006 | 0.3006 | - | - | - | - |
| 0.7 | 0.2694 | 0.2721 | 0.2548 | 0.2721 | 0.2548 | 0.2721 | 0.1476 | 0.2794 | 0.2716 | 0.2716 | - | - | - | - |
| 0.6 | 0.2284 | 0.2344 | 0.2187 | 0.2344 | 0.2187 | 0.2344 | 0.1263 | 0.2397 | 0.2341 | 0.2341 | - | - | - | - |
| 0.5 | 0.1894 | 0.1903 | 0.1795 | 0.1903 | 0.1795 | 0.1903 | 0.1031 | 0.1974 | 0.1937 | 0.1937 | - | - | - | - |
| 0.4 | 0.1463 | 0.1487 | 0.1383 | 0.1487 | 0.1383 | 0.1487 | 0.0784 | 0.1524 | 0.1498 | 0.1498 | - | - | 0.1700 | 0.0544 |
| 0.3 | 0.0999 | 0.1051 | 0.0920 | 0.1051 | 0.0920 | 0.1051 | 0.0527 | 0.1061 | 0.1042 | 0.1044 | - | - | - | - |
Publisher’s Note: MDPI stays neutral with regard to jurisdictional claims in published maps and institutional affiliations. |
© 2021 by the authors. Licensee MDPI, Basel, Switzerland. This article is an open access article distributed under the terms and conditions of the Creative Commons Attribution (CC BY) license (https://creativecommons.org/licenses/by/4.0/).
Share and Cite
Yadav, N.; Kim, Y.; Li, S.; Choi, K.K. Stable, Low Power and Bit-Interleaving Aware SRAM Memory for Multi-Core Processing Elements. Electronics 2021, 10, 2724. https://doi.org/10.3390/electronics10212724
Yadav N, Kim Y, Li S, Choi KK. Stable, Low Power and Bit-Interleaving Aware SRAM Memory for Multi-Core Processing Elements. Electronics. 2021; 10(21):2724. https://doi.org/10.3390/electronics10212724
Chicago/Turabian StyleYadav, Nandakishor, Youngbae Kim, Shuai Li, and Kyuwon Ken Choi. 2021. "Stable, Low Power and Bit-Interleaving Aware SRAM Memory for Multi-Core Processing Elements" Electronics 10, no. 21: 2724. https://doi.org/10.3390/electronics10212724
APA StyleYadav, N., Kim, Y., Li, S., & Choi, K. K. (2021). Stable, Low Power and Bit-Interleaving Aware SRAM Memory for Multi-Core Processing Elements. Electronics, 10(21), 2724. https://doi.org/10.3390/electronics10212724

