Parametric Analysis of Linear Periodic Arrays Generating Flat-Top Beams
Abstract
:1. Introduction
2. Formulation of the Problem
3. Maximum Sidelobe Level vs. Design Parameters
3.1. Case of Equality between Main Beam Width and Side Lobe Region Width
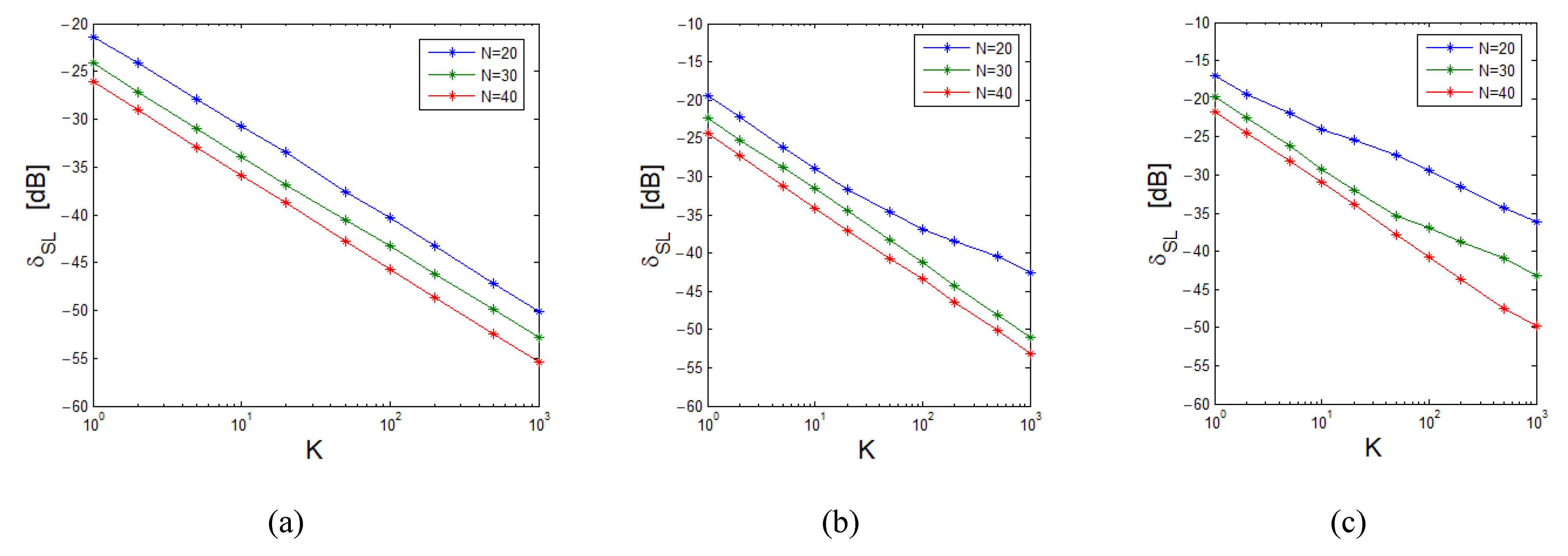
3.2. Dependence on
3.3. Dependence on
3.4. Dependence on
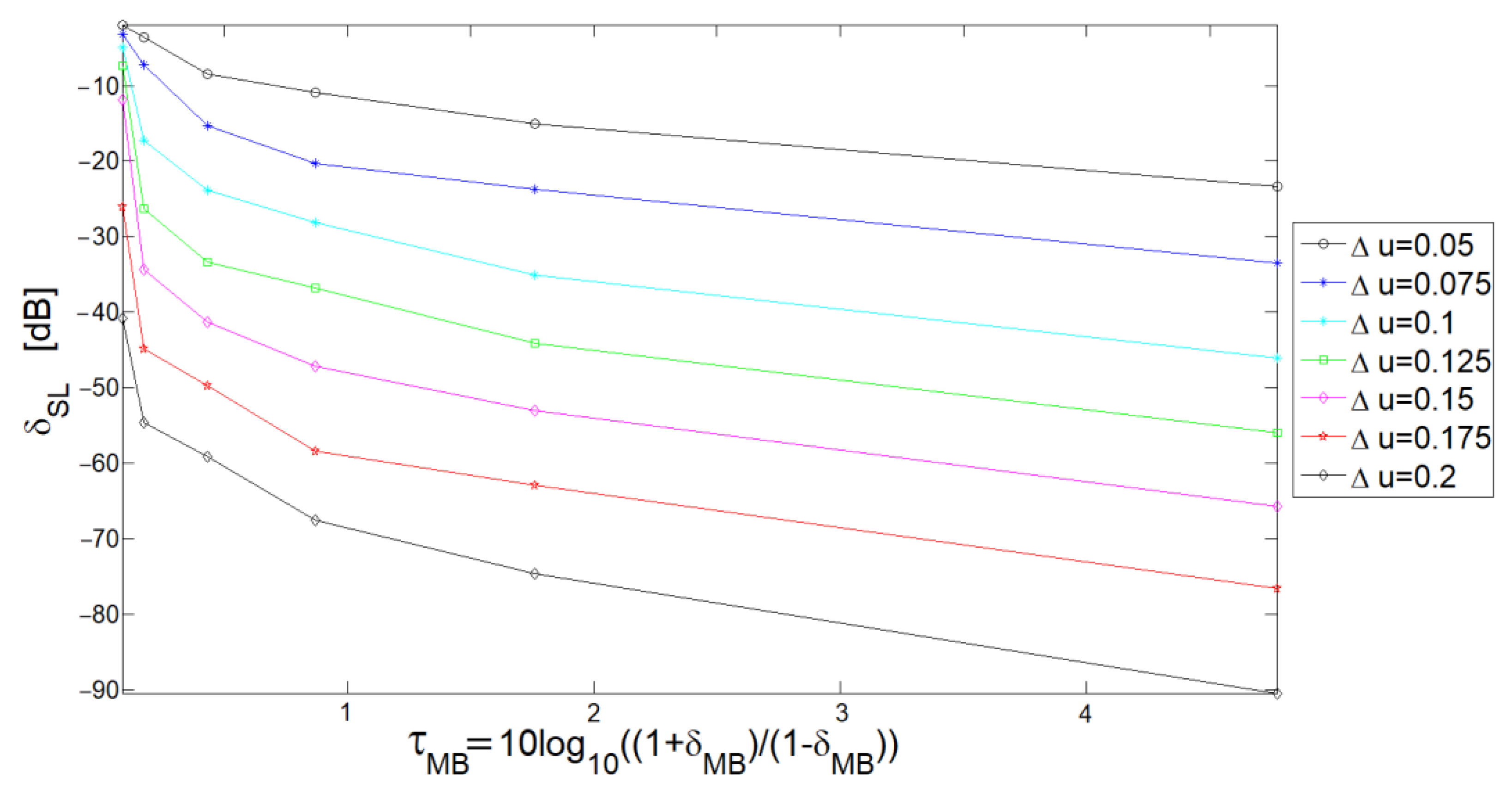
3.5. Dependence on
3.6. Dependence on
3.7. Asymptotical Analysis
4. Examples
4.1. First Example: Case of Equality between Main Beam Width and Side Lobe Region Width
4.2. Second Example: Estimation of the Number of Elements
4.3. Third Example: Estimation of the Width of the Transition Region
4.4. Result Comparison
5. Conclusions
Author Contributions
Funding
Conflicts of Interest
References
- Dunbar, A.S. On the Theory of Antenna Beam Shaping. J. Appl. Phys. 1952, 23, 847–853. [Google Scholar] [CrossRef]
- Woodward, P.M. A Method for Calculating the Field Over a Plane Aperture Required to Produce a Given Polar Diagram. J. Inst. Electr. Eng. Part IIIA Radiolocat. 1946, 93, 1554–1558. [Google Scholar] [CrossRef]
- Woodward, P.M.; Lawson, J.D. The theoretical precision with which an arbitrary radiation pattern may be obtained from a source of a finite size. J. Inst. Electr. Eng. Part III Radio Commun. Eng. 1948, 95, 363–370. [Google Scholar]
- Butterworth, S. On the theory of filter amplifiers. Exp. Wirel. 1930, 7, 536–541. [Google Scholar]
- Ksienski, A. Maximally flat and quasi-smooth sector beams. IRE Trans. Antennas Propag. 1960, 8, 476–484. [Google Scholar] [CrossRef]
- Petrolati, D.; Angeletti, P.; Toso, G. Linear arrays with Maximally Flat Beams. In Proceedings of the Fourth European Conference on Antennas and Propagation, Barcelona, Spain, 12–16 April 2010. [Google Scholar]
- Angeletti, P.; Buttazzoni, G.; Toso, G.; Vescovo, R. Parametric analysis of flat top beam patterns generated by linear periodic arrays. In Proceedings of the 2016 10th European Conference on Antennas and Propagation (EuCAP), Davos, Switzerland, 10–15 April 2016; pp. 1–2. [Google Scholar]
- Rabiner, L.R. Linear program design of finite impulse response (FIR) digital filters. IEEE Trans. Audio Electroacoust. 1972, 20, 280–288. [Google Scholar] [CrossRef]
- Rabiner, L.R. The design of finite impulse response digital filters using linear programming techniques. Bell Syst. Tech. J. 1972, 51, 1177–1198. [Google Scholar] [CrossRef]
- Isernia, T.; Bucci, O.M.; Fiorentino, N. Shaped beam antenna synthesis problems: Feasibility criteria and new strategies. J. Electromagn. Waves Appl. 1998, 12, 103–138. [Google Scholar] [CrossRef]
- Karmarkar, N. A new polynomial-time algorithm for linear programming. Combinatorica 1984, 4, 373–395. [Google Scholar] [CrossRef]
- Bucci, O.M.; D’Elia, G.; Mazzarella, G.; Panariello, G. Antenna pattern synthesis: A new general approach. Proc. IEEE 1994, 82, 358–371. [Google Scholar] [CrossRef]
- Quijano, J.L.A.; Vecchi, G. Alternating adaptive projections in antenna synthesis. IEEE Trans. Antennas Propag. 2010, 58, 727–737. [Google Scholar] [CrossRef]
- Buttazzoni, G.; Vescovo, R. An efficient and versatile technique for the synthesis of 3D copolar and crosspolar patterns of phase-only reconfigurable conformal arrays with DRR and near-field control. IEEE Trans. Antennas Propag. 2014, 62, 1640–1651. [Google Scholar] [CrossRef]
- Isernia, T.; Morabito, A.F. Mask-constrained power synthesis of linear arrays with even excitations. IEEE Trans. Antennas Propag. 2016, 64, 3212–3217. [Google Scholar] [CrossRef]
- Comisso, M.; Buttazzoni, G.; Vescovo, R. Reconfigurable antenna arrays with multiple requirements: A versatile 3D approach. Int. J. Antennas Propag. 2017, 2017, 6752108. [Google Scholar] [CrossRef]
- Johnson, J.M.; Rahmat-Samii, Y. Genetic algorithms in engineering electromagnetics. IEEE Antennas Propag. Mag. 1997, 39, 7–21. [Google Scholar] [CrossRef] [Green Version]
- Haupt, R.L. Antenna design with a mixed integer genetic algorithm. IEEE Trans. Antennas Propag. 2007, 55, 577–582. [Google Scholar] [CrossRef]
- Yang, S.; Gan, Y.B.; Khiang, T.P. A new technique for power-pattern synthesis in time-modulated linear arrays. IEEE Antennas Wirel. Propag. Lett. 2003, 2, 285–287. [Google Scholar] [CrossRef]
- Zhou, R.; Sun, J.; Wei, S.; Wang, J. Synthesis of conformal array antenna for hypersonic platform SAR using modified particle swarm optimization. IET Radar Sonar Navig. 2017, 11, 1235–1242. [Google Scholar] [CrossRef]












Publisher’s Note: MDPI stays neutral with regard to jurisdictional claims in published maps and institutional affiliations. |
© 2021 by the authors. Licensee MDPI, Basel, Switzerland. This article is an open access article distributed under the terms and conditions of the Creative Commons Attribution (CC BY) license (https://creativecommons.org/licenses/by/4.0/).
Share and Cite
Angeletti, P.; Buttazzoni, G.; Toso, G.; Vescovo, R. Parametric Analysis of Linear Periodic Arrays Generating Flat-Top Beams. Electronics 2021, 10, 2452. https://doi.org/10.3390/electronics10202452
Angeletti P, Buttazzoni G, Toso G, Vescovo R. Parametric Analysis of Linear Periodic Arrays Generating Flat-Top Beams. Electronics. 2021; 10(20):2452. https://doi.org/10.3390/electronics10202452
Chicago/Turabian StyleAngeletti, Piero, Giulia Buttazzoni, Giovanni Toso, and Roberto Vescovo. 2021. "Parametric Analysis of Linear Periodic Arrays Generating Flat-Top Beams" Electronics 10, no. 20: 2452. https://doi.org/10.3390/electronics10202452
APA StyleAngeletti, P., Buttazzoni, G., Toso, G., & Vescovo, R. (2021). Parametric Analysis of Linear Periodic Arrays Generating Flat-Top Beams. Electronics, 10(20), 2452. https://doi.org/10.3390/electronics10202452

