Fully Integrated High Gain S-Band Triangular Slot Antenna for CubeSat Communications
Abstract
1. Introduction
2. S-Band Slot Antennas: Antenna Design and Parametric Analysis
2.1. S-Band Slot Antenna 1
2.2. S-Band Slot Antenna 2
2.3. S-Band Slot Antenna 3
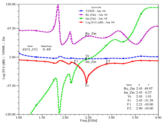
2.4. S-Band Slot Antenna 4
3. Full Satellite: CPW-Fed Slot Antenna 4 + 3U CubeSat
4. Result Synthesis and Discussion
5. Comparative Study: Brief Comparison with Literature Works
5.1. Comparison with S-Band Metasurfaced/Metamaterial Antennas
5.2. Comparison with S-Band Antenna Designs of Six International Collaborative CubeSat Missions
6. Conclusions
Author Contributions
Funding
Acknowledgments
Conflicts of Interest
Appendix A. Moroccan CubeSat One (MaSat 1) of Sidi Mohamed Ben Abdellah University, City of Fez, Morocco

Appendix B. List of Parameters Used in Designing the Proposed Antennas
| Parameter | Behavior |
|---|---|
| L1 | Long distance between the antenna corner and the excitation source |
| W0 | Antenna physical width/antenna physical length |
| Lb | Diagonal distance between the antenna center and the excitation source. |
| Lc | Length of the CPW-fed line |
| Wc | Width of the CPW-fed line |
| Lf | Length of the transition line |
| Wf | Width of the transition line |
| Ha | Air gap distance between the antenna dielectric and the CubeSat chassis |
| D, d0, d1, | Distances between the triangular edge and the ground plane |
| Rg, Rg0, Rg1 | Radius of the circular slot-ground plane |
| dg, dg0, dg1 | Distance between the CPW-Fed line and the ground plane |
| x | Antenna position along X-axis |
| y | Antenna position along Y-axis |
| x | Antenna position along Z-axis |
Appendix C. QNM Program

References
- Valenzuela, A.; Sandau, R.; Roeser, H.-P. Small Satellite Missions for Earth Observation: New Developments and Trends; Springer Science & Business media: Berlin/Heidelberg, Germany, 2010. [Google Scholar]
- Tubbal, F.E.; Raad, R.; Chin, K.-W. A survey and study of planar antennas for pico-satellites. IEEE Access 2015, 3, 2590–2612. [Google Scholar] [CrossRef]
- Rodríguez-Osorio, R.M.; Ramírez, E.F. A Hands-On Education Project: Antenna Design for Inter-CubeSat Communications [Education Column]. IEEE Antennas Propag. Mag. 2012, 54, 211–224. [Google Scholar] [CrossRef]
- Swartwout, M. The First One Hundred CubeSats, A Statistical Look. JoSS 2013, 2, 213–233. [Google Scholar]
- Shiroma, W.A.; Martin, L.K.; Akagi, J.M.; Akagi, J.T.; Wolfe, B.L.; Fewell, B.A. CubeSats: A bright future for nanosatellites. Cent. Eur. J. Eng. 2011, 1, 9–15. [Google Scholar] [CrossRef]
- Dahbi, S.; Aziz, A.; Zouggar, S.; El hafyan, M.; Hanafi, A.; Karim, M.; Latachi, I.; Rachidi, T. Power Budget Analysis for a LEO polar orbiting Nano-satellite. In Proceedings of the 3rd International Conference on Advanced Technologies for Signal and Image Processing (ATSIP’2017), Fez, Morocco, 22–24 May 2017; pp. 1–6. [Google Scholar]
- Suari, J.P.; Turner, C.; Ahlgren, W. Development of the standard CubeSat Deployer and a CubeSat class picosatellite. In Proceedings of the 2001 IEEE Aerospace Conference Proceedings (cat. No. 01TH8542), Big Sky, MT, USA, 11–17 March 2001; Volume 1, pp. 1347–1353. [Google Scholar]
- El Bakkali, M. Planar Antennas with Parasitic Elements and Metasurface Superstrate Structure for 3U CubeSats. Ph.D. Thesis, Sidi Mohamed Ben Abdellah University, Fez, Morocco, July 2020. [Google Scholar]
- Tubbal, F.E.; Raad, R.; Chin, K.-W. A wideband F-shaped patch antenna for S-band CubeSats communications. In Proceedings of the 10th International Conference on Signal Processing and Communication Systems, ICSPCS 2016, Surfers Paradise, Australia, 19–21 December 2016. [Google Scholar]
- Tabakh, I.; Jorio, M.; El Idrissi, N.E.A. MPA radiation characteristics evolution through a DGS size reduction study. In Proceedings of the 2016 International Conference on Wireless Networks and Mobile Communications, Fez, Morocco, 26–29 October 2016. [Google Scholar]
- Tabakh, I.; Jorio, M.; El Idrissi, N.A. 1*2 RFID-Reader Array Antenna for Narrowband Indoor Positioning Applications. J. Eng. Sci. Technol. Rev. 2019, 12, 167–172. [Google Scholar] [CrossRef]
- Chaimool, S.; Rakluea, C.; Akkaraekthali, P. Mu-near-zero metasurface for microstrip-fed slot antennas. Appl. Phys. A 2013, 112, 669–675. [Google Scholar]
- Yuan, Y.; Zhang, K.; Ratni, B.; Song, Q.; Ding, X.; Wu, Q.; Burokur, S.N.; Genevet, P. Independent phase modulation for quadruplex polarization channels enabled by chirality-assisted geometric-phase metasurfaces. Nat. Commun. 2020, 11, 4186. [Google Scholar] [CrossRef] [PubMed]
- Yuan, Y.; Sun, S.; Chen, Y.; Zhang, K.; Ding, X.; Ratni, B.; Wu, Q.; Burokur, S.N.; Qiu, C.-W. A Fully Phase-Modulated Metasurface as An Energy-Controllable Circular Polarization Router. Adv. Sci. 2020, 7, 2001437. [Google Scholar] [CrossRef] [PubMed]
- Zhang, K.; Yuan, Y.; Ding, X.; Ratni, B.; Burokur, S.N.; Wu, Q. High-Efficiency Metalenses with Switchable Functionalities in Microwave Region. ACS Appl. Mater. Interfaces 2019, 11, 28423–28430. [Google Scholar] [CrossRef] [PubMed]
- Yao, Y.; Liao, S.; Wang, J.; Xue, K.; Balfour, E.A.; Luo, Y. A new patch antenna designed for CubeSat: Dual feed, l/s dual-band stacked, and circularly polarized. IEEE Antennas Propag. Mag. 2016, 58, 16. [Google Scholar] [CrossRef]
- Pittella, E.; Pisa, S.; Pontani, M.; Nascetti, A.; D’Atanasio, P.; Zambotti, A.; Hadi, H. Reconfigurable S-band patch antenna system for CubeSat satellites. IEEE Aerosp. Electron. Syst. Mag. 2016, 31, 6–13. [Google Scholar] [CrossRef]
- ANSYS HFSS Simulator. Available online: http://www.ansys.com/products/electronics/ansys (accessed on 12 October 2020).
- Liu, X.; Jackson, D.R.; Chen, J.; Liu, J.; Fink, P.W.; Lin, G.Y.; Neveu, N. Transparent and Nontransparent Microstrip Antennas on a CubeSat: Novel low-profile antennas for CubeSats improve mission reliability. IEEE Antennas Propag. Mag. 2017, 59, 59–68. [Google Scholar] [CrossRef]
- Paiva, J.L.S.; Silva, J.P.; Campos, A.L.P.S.; Andrade, H.D. Using metasurface structures as signal polarisers in microstrip antennas. IET Microw. Antennas Propag. 2018, 13, 23–27. [Google Scholar] [CrossRef]
- Chaimool, S.; Hongnara, T.; Rakluea, C.; Akkaraekthalin, P.; Zhao, Y. Design of a PIN Diode-Based Reconfigurable Metasurface Antenna for Beam Switching Applications. Int. J. Antennas Propag. 2019, 2019, 7216324. [Google Scholar] [CrossRef]
- Naqvi, A.H.; Lim, S. Microfluidically Polarization-Switchable Metasurfaced Antenna. IEEE Antennas Wirel. Propag. Lett. 2017, 17, 2255–2259. [Google Scholar] [CrossRef]
- Cao, Y.F.; Cheung, S.W.; Yuk, T.I. Performance Enhancement of Circular Polarization Reconfigurable Monopole Antenna Using Metasurface. In Proceedings of the 2016 10th European Conference on Antennas and Propagation (EuCAP), Davos, Switzerland, 10–15 April 2016. [Google Scholar]
- El Bakkali, M.; Tubbal, F.; Gaba, G.S.; Kansal, L.; El Idrissi, N.E.A. S-Band CPW-Fed Slot Antenna with 2D Metamaterials for CubeSat Communications. In Communications in Computer and Information Science; Springer: Singapore, 2019; Volume 1076, pp. 344–356. [Google Scholar] [CrossRef]
- Sitompul, P.P.; Sumantyo, J.T.S.; Kurniawan, F.; Nasucha, M. Axial Ratio and Gain Enhancement of a Circular-Ring Slot Antenna Using a Pair of Asymmetrical Rectangular Slots and a Parasitic Patch for a Radio Beacon on a Nanosatellite. Aerospace 2019, 6, 39. [Google Scholar] [CrossRef]
- French South African Institute of Technology (F’SATI), CPUT (Cape Peninsula University of Technology). Available online: http://www.cput.ac.za/blogs/fsati/zacube-2/ (accessed on 19 October 2020).
- Earth Observation Portal, Satellite Missions: ZACUBE-2 (South African CubeSat-2). Available online: https://directory.eoportal.org/web/eoportal/satellite-missions/v-w-x-y-z/zacube-2 (accessed on 19 October 2020).
- Squadrito, P.; Livreri, P.; Donato, L.D.; Squadrito, C.; Sorbello, G. A Telemetry, Tracking, and Command Antennas System for Small-Satellite Applications. Electronics 2019, 8, 689. [Google Scholar] [CrossRef]
- Babuscia, A. Telecommunication Systems for Small Satellites Operating at High Frequencies: A Review. Information 2020, 11, 258. [Google Scholar] [CrossRef]
- Shah, S.I.H.; Lim, S. A Dual Band Frequency Reconfigurable Origami Magic Cube Antenna for Wireless Sensor Network Applications. Sensors 2017, 17, 2675. [Google Scholar] [CrossRef] [PubMed]
- Alam, T.; Islam, M.T.; Ullah, M.A.; Cho, M. A Solar Panel-Integrated Modified Planner Inverted F Antenna for Low Earth Orbit Remote Sensing Nanosatellite Communication System. Sensors 2018, 18, 2480. [Google Scholar] [CrossRef] [PubMed]



























| W | L | Rg0 | Wf0 | Dg0 |
| 90 mm | 78.77 mm | 43 mm | 2 mm | |
| Lb | H | D0 | Wt0 | 1 mm |
| 55.7 mm | 1.6 mm | 9.65 mm | 66.69 mm |
| W0 | L1 | Rg | Wf0 | D | Wt | Dg |
|---|---|---|---|---|---|---|
| 90 mm | 78.77 mm | 42 mm | 2 mm | 13.55 mm | 56.88 mm | 1 mm |
| W1 | L1 | Rg1 | Wf | Dg1 |
| 90 mm | 78.77 mm | 42 mm | 1.8 mm | |
| Lc | Wc | D1 | Wt1 | 1 mm |
| 12 mm | 0.7 mm | 13.55 mm | 56.88 mm |
| W0 | L1 | Rg1 | Wf1 | Lc1 | Wc1 |
| 90 mm | 78.77 mm | 42 mm | 1.8 mm | 12 mm | |
| Ds | Ls | La | Wt1 | Dg1 | 0.7 mm |
| 2.9 mm | 48.5 mm | 26.93 mm | 56.88 mm | 1 mm |
| Antenna Performances | X-Axis | Y-Axis | Z-Axis |
|---|---|---|---|
| Log|S11| < −10 dB | −7.5 cm; −6 cm; −3 cm; 5.5 cm; 4 cm | 0.46 mm to 5 mm | 15 mm to 16 mm; 16.5 mm to 17 mm |
| VSWR < 2 | −7.83 cm to −7.12 cm; −6 cm; −3 cm; 3.37 cm to 6.04 cm | 0.77 mm to 5 mm | 15.6 mm to 15.96 mm; 16.61 mm to 17 mm |
| Re(Zin) ~ 50 Ω | −7.5 cm; 5.5 cm | 2.5 mm to 5 mm | 15.7 mm to 15.9 mm; 16.7 mm to 17 mm |
| Optimal Solution | X = −7.5 cm: Log|S11|= −22.36 dB VSWR = 1.16 Re(Zin) = 53.23 Ω Gain = 8.2 dBi Directivity = 8.4 dBi Unidirectional RP Beamwidth = 150° Efficiency ~ 97% | Y = 5 mm: Log|S11|= −22.36 dB VSWR = 1.16 Re(Zin) = 53.23 Ω Gain = 8.2 dBi Directivity = 8.4 dBi Unidirectional RP Beamwidth = 150° Efficiency ~ 97% | Z = 16.8 mm: Log|S11|= −22.36 dB VSWR = 1.16 Re(Zin) = 53.23 Ω Gain = 8.2 dBi Directivity = 8.4 dBi Unidirectional RP Beamwidth = 150° Efficiency ~ 97% |
| Conclusions | Low reflection coefficient; high gain; good impedance matching; unidirectional radiations; wide coverage; very high efficiency | ||
| Proprieties | Antenna 1 | Antenna 2 | Antenna 3 | Antenna 4 | Full Satellite | |
|---|---|---|---|---|---|---|
| Full area | 90 mm × 90 mm | 90 mm × 90 mm | 90 mm × 90 mm | 90 mm × 90 mm | 90 mm × 90 mm | |
| Feeding System | 50 Ω strip line | 50 Ω strip line | 50 Ω CPW Fed line | 50 Ω CPW Fed line | 50 Ω CPW Fed line | |
| Operating Frequency | 2450 MHz | 2450 MHz | 2450 MHz | 2580 MHz | 2450 MHz | 2450 MHz |
| Log|S11| | −9.87 Db | −12.16 dB | −18.39 dB | −40.68 dB | −51.39 dB | −22.36 dB |
| VSWR | 1.95 | 1.65 | 1.27 | 1.02 | 1.01 | 1.16 |
| Re(Zin) | 92.23 Ω | ~61 Ω | ~50 Ω | ~50 Ω | ~53 Ω | |
| Gain | - | - | ~6.2 dBi | ~6.2 dBi | ~6.2 dBi | 8.20 dBi |
| RP | Bidirectional | Bidirectional | Bidirectional | Bidirectional | Bidirectional | Unidirectional |
| Reflected power | √ | √ | √ | × | × | × |
| Back lobes | √ | √ | √ | √ | √ | × |
| Advantages | Lightweight, low-cost, size suitable for all CubeSat configurations | Lightweight, low-cost, size suitable for all CubeSat configurations | Lightweight, low-cost, size suitable for all CubeSat configurations; acceptable gain | Lightweight, low-cost, size suitable for all CubeSat configurations; acceptable gain; good impedance matching | Lightweight; low-cost; size suitable for all CubeSat configurations; high gain; good impedance matching; unidirectional radiations | |
| Drawbacks | Power losses and interferences | Power losses and interferences | Power losses and interferences | Interferences | × | |
| Suggestions | Notches; CPW-Feed line; Cavity reflector | Notches; CPW-Feed line; Cavity reflector | Notches; Cavity reflector | Cavity reflector | √ | |
| Reference | Frequency | Dielectric mat. | Feeding Syst. | Volume/Size | Gain | CubeSat |
|---|---|---|---|---|---|---|
| [20] | 2460 MHz | Rogers RO4350 | Microstrip line | 96.5 × 96.5 × 20 mm3 | 5.69 dBi | 3U |
| [21] | 2450 MHz | FR-4 | Controlled dipole | 80 × 80 × 11 mm3 | ~6.0 dBi | 6U |
| [22] | 2510 MHz | FR4, Rogers 3003 | microfluid injection | 120 × 120 × 21 mm3 | 5.86 dBi | 6U |
| [23] | 1580 MHz | Rogers 3003 | Phase shifters | 71 × 92 × 20.4mm3 | 6.6 dBi | 3U |
| [24] | 2450 MHz | FR-4 | 50 Ω CPW | 54 × 62 × 10.4 mm3 | 5.4 dBi | 3U |
| Our work | 2450 MHz | FR-4 | 50 Ω CPW | 90 × 90 × 1.6 mm3 | 8.2 dBi | 3U |
| Reference | [25] | [26,27] | [28] | [29] | [30] | [31] | Our Work |
|---|---|---|---|---|---|---|---|
| Country | China Japan | South Africa | Europe | USA | South Korea | Malaysia | Morocco |
| Frequency | 2180 MHz | 2420 MHz | 2150 MHz | 2250 MHz | 900 MHz; 2200 MHz | 450 MHz | 2450 MHz |
| Dielectric mat. | (ɛr = 2.17; tanδ = 0.005; h = 1.6 mm | Air (metal antenna) | Rogers TMM4; Rogers RO4003 | - | Paper substrate | Solar panel/Air | FR-4 |
| Feeding Syst. | Microstrip line | Coaxial Feed | Coaxial Feed | Coaxial Feed | Microstrip line | Coaxial Feed | 50-Ω CPW |
| Volume/Size | 100 × 95 × 1.6 mm3 | ~100 × 100 mm2 | 66 × 66 × 25.5 mm3 | 82 × 82 × 12 mm3 | 50 × 50 × 50 mm3 | 80 × 90 × 0.5 mm3 | 90 × 90 × 1.6 mm3 |
| Gain | 4.66 dBic | ~ 7.0 dBi | ~7.0 dBi | ~7.0 dBi | 1.11 dBi; 2.32 dBi | 0.6 dBi | 8.2 dBi |
| Log|S11| | <−50 dB | <−15 dB | ~−7.0 dB | - | ~−16 dB; ~−18 dB | ~−16 dB | −22.36 dB |
| Solar Integration Facility | Yes | Yes | No | No | No | Yes | Yes |
| Cost | Medium | High | High | Medium | Low | High | Low |
| CubeSat | 3U | 3U | 3U | 3U | 3U | 1U; 2U; 3U | 1U; 2U; 3U |
Publisher’s Note: MDPI stays neutral with regard to jurisdictional claims in published maps and institutional affiliations. |
© 2021 by the authors. Licensee MDPI, Basel, Switzerland. This article is an open access article distributed under the terms and conditions of the Creative Commons Attribution (CC BY) license (http://creativecommons.org/licenses/by/4.0/).
Share and Cite
El Bakkali, M.; El Bekkali, M.; Gaba, G.S.; Guerrero, J.M.; Kansal, L.; Masud, M. Fully Integrated High Gain S-Band Triangular Slot Antenna for CubeSat Communications. Electronics 2021, 10, 156. https://doi.org/10.3390/electronics10020156
El Bakkali M, El Bekkali M, Gaba GS, Guerrero JM, Kansal L, Masud M. Fully Integrated High Gain S-Band Triangular Slot Antenna for CubeSat Communications. Electronics. 2021; 10(2):156. https://doi.org/10.3390/electronics10020156
Chicago/Turabian StyleEl Bakkali, Mohamed, Moulhime El Bekkali, Gurjot Singh Gaba, Josep M. Guerrero, Lavish Kansal, and Mehedi Masud. 2021. "Fully Integrated High Gain S-Band Triangular Slot Antenna for CubeSat Communications" Electronics 10, no. 2: 156. https://doi.org/10.3390/electronics10020156
APA StyleEl Bakkali, M., El Bekkali, M., Gaba, G. S., Guerrero, J. M., Kansal, L., & Masud, M. (2021). Fully Integrated High Gain S-Band Triangular Slot Antenna for CubeSat Communications. Electronics, 10(2), 156. https://doi.org/10.3390/electronics10020156

