A Short Review on the Machine Learning-Guided Oxygen Uptake Prediction for Sport Science Applications
Abstract
:1. Introduction
2. Oxygen Uptake ()
2.1. Oxygen Uptake Measurements and Kinetics
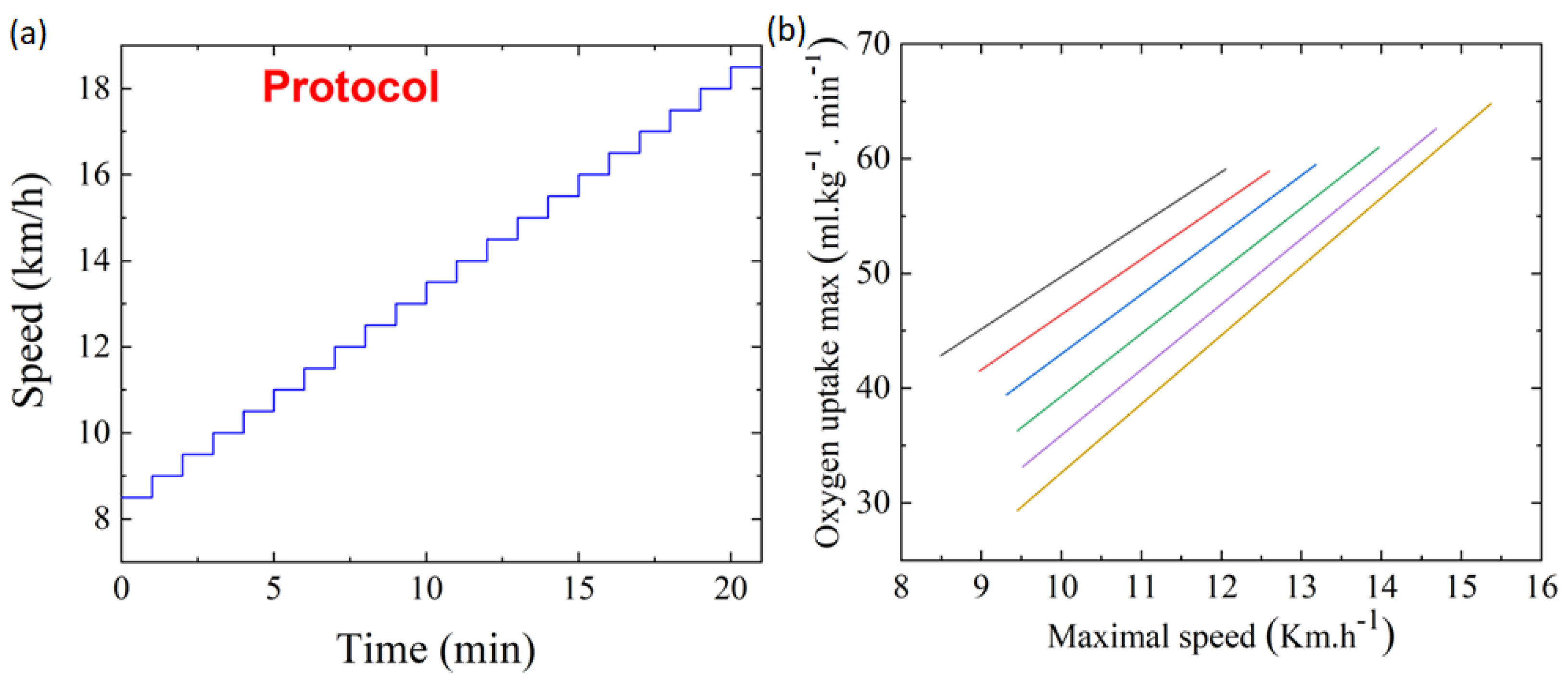
2.2. Oxygen Uptake in Sport Science Applications
3. How Machine Learning Avails of Sports Science?
4. Oxygen Uptake Prediction Based on Machine Learning Algorithms
4.1. Exercise-Based Models
4.2. Non-Exercise-Based and Hybrid Models
5. The Latest Update on the Oxygen Uptake Predictions Guided by ML
6. Future Trends
7. Conclusions
Author Contributions
Funding
Acknowledgments
Conflicts of Interest
Appendix A
| Ref. | Type | Algorithm | Metric | ||||
|---|---|---|---|---|---|---|---|
| R2 | R | SE (mL·kg−1·min−1) | EMES (mL·kg−1·min−1)2 | RMSE (mL·kg−1·min−1) | |||
| [16] | Exercise | Multiple linear regression | 0.89 | 4.56 | |||
| [17] | Exercise | Support vector machine | 4.2 | ||||
| [19] | Exercise | Multiple linear regression | 0.88 | ||||
| [20] | Exercise | Multiple linear regression | 6.43 | ||||
| [21] | Exercise | Multiple linear regression | 0.91 | 3.73 | |||
| [21] | Exercise | Support vector machine | 0.88 | 4.82 | |||
| [21] | Exercise | Generalized regression neural network | 0.79 | 5.39 | |||
| [22] | Exercise | Artificial neural network | 0.94 | ||||
| [23] | Exercise | Artificial neural network | 0.90 | ||||
| [24] | Exercise | Ensemble regression | 0.64 | 4.3 | |||
| [25] | Exercise | Random forest | 0.87 | ||||
| [28] | Non-exercise | Multiple linear regression | 0.91 | 3.63 | |||
| [29] | Non-exercise | Support vector machine | 0.93 | 3.55 | |||
| [29] | Non-exercise | Multilayer feedforward neural networks | 0.90 | 3.23 | |||
| [34] | Non-exercise | Multiple linear regression | 0.90 | 3.56 | |||
| [15] | Hybrid | Support vector machine | 0.94 | 2.97 | |||
| [15] | Hybrid | Multiple linear regression | 0.93 | 3.18 | |||
| [15] | Hybrid | Tree boost | 0.92 | 3.42 | |||
References
- Jones, A.M.; Poole, D.C. Oxygen Uptake Kinetics in Sport, Exercise and Medicine; Routledge: London, UK, 2013. [Google Scholar] [CrossRef] [Green Version]
- Killer, S.C.; Svendsen, I.S.; Gleeson, M. The influence of hydration status during prolonged endurance exercise on salivary antimicrobial proteins. Eur. J. Appl. Physiol. 2015, 115, 1887–1895. [Google Scholar] [CrossRef] [Green Version]
- Leddy, J.J.; Baker, J.G.; Kozlowski, K.; Bisson, L.; Willer, B. Reliability of a graded exercise test for assessing recovery from concussion. Clin. J. Sport Med. 2011, 21, 89–94. [Google Scholar] [CrossRef] [Green Version]
- Abut, F.; Fatih Akay, M. Machine learning and statistical methods for the prediction of maximal oxygen uptake: Recent advances. Med. Devices Evid. Res. 2015, 8, 369–379. [Google Scholar] [CrossRef] [Green Version]
- Sargent, C.; Scroop, G.C.; Nemeth, P.M.; Burnet, R.B.; Buckley, J.D. Maximal oxygen uptake and lactate metabolism are normal in chronic fatigue syndrome. Med. Sci. Sports Exerc. 2002, 34, 51–56. [Google Scholar] [CrossRef]
- Paradisis, G.P.; Zacharogiannis, E.; Mandila, D.; Smirtiotou, A.; Argeitaki, P.; Cooke, C.B. Multi-stage 20-m shuttle run fitness test, maximal oxygen uptake and velocity at maximal oxygen uptake. J. Hum. Kinet. 2014, 41, 81–87. [Google Scholar] [CrossRef] [PubMed] [Green Version]
- Arena, R.; Myers, J.; Abella, J.; Pinkstaff, S.; Brubaker, P.; Moore, B.; Kitzman, D.; Peberdy, M.A.; Bensimhon, D.; Chase, P.; et al. Determining the preferred percent-predicted equation for peak oxygen consumption in patients with heart failure. Heart Fail. 2009, 2, 113–120. [Google Scholar] [CrossRef] [PubMed] [Green Version]
- Karahan, M. The effect of skill-based maximal intensity interval training on aerobic and anaerobic performance of female futsal players. Biol. Sport 2012, 29, 223–227. [Google Scholar] [CrossRef]
- Kotsiantis, S.B.; Zaharakis, I.D.; Pintelas, P.E. Machine learning: A review of classification and combining techniques. Artif. Intell. Rev. 2006, 26, 159–190. [Google Scholar] [CrossRef]
- Carleo, G.; Cirac, I.; Cranmer, K.; Daudet, L.; Schuld, M.; Tishby, N.; Vogt-Maranto, L.; Zdeborová, L. Machine learning and the physical sciences. Rev. Mod. Phys. 2019, 91, 45002. [Google Scholar] [CrossRef] [Green Version]
- Mȩyk, E.; Unold, O. Machine learning approach to model sport training. Comput. Hum. Behav. 2011, 27, 1499–1506. [Google Scholar] [CrossRef]
- Chau, V.H.; Vo, A.T.; Le, B.T. The effects of age and body weight on powerlifters: An analysis model of powerlifting performance based on machine learning. Int. J. Comput. Sci. Sport 2019, 18, 89–99. [Google Scholar] [CrossRef] [Green Version]
- Chatterjee, P.; Banerjee, A.K.; Das, P.; Debnath, P. A regression equation for the estimation of maximum oxygen uptake in Nepalese adult females. Asian J. Sports Med. 2010, 1, 41–45. [Google Scholar] [CrossRef] [PubMed] [Green Version]
- Akay, M.F.; Zayid, E.I.M.; Aktürk, E.; George, J.D. Artificial neural network-based model for predicting VO2max from a submaximal exercise test. Expert Syst. Appl. 2011, 38, 2007–2010. [Google Scholar] [CrossRef]
- Abut, F.; Akay, M.F.; George, J. Developing new VO2max prediction models from maximal, submaximal and questionnaire variables using support vector machines combined with feature selection. Comput. Biol. Med. 2016, 79, 182–192. [Google Scholar] [CrossRef] [PubMed]
- Swank, A.M.; Serapiglia, L.; Funk, D.; Adams, K.J.; Durham, M.; Berning, J.M. Development of a Branching Submaximal treadmill test for predicting VO2max. J. Strength Cond. Res. 2001, 15, 302. [Google Scholar] [CrossRef] [PubMed]
- Su, S.W.; Celler, B.G.; Savkin, A.V.; Nguyen, H.T.; Cheng, T.M.; Guo, Y.; Wang, L. Portable sensor based dynamic estimation of human oxygen uptake via nonlinear multivariable modelling. In Proceedings of the 2008 30th Annual International Conference of the IEEE Engineering in Medicine and Biology Society, Vancouver, BC, Canada, 14 October 2008; IEEE: Piscataway, NJ, USA, 2008; pp. 2431–2434. [Google Scholar] [CrossRef] [Green Version]
- Chatterjee, P.; Banerjee, A.K.; Das, P.; Debnath, P.; Chatterjee, P. A regression equation to predict VO2 max of trainee badminton players. Biomedicine 2006, 26, 47–52. [Google Scholar]
- Bandyopadhyay, A. Validity of 20 m multi-stage shuttle run test for estimation of maximum oxygen uptake in female university students. Indian J. Physiol. Pharmacol. 2013, 57, 77–83. [Google Scholar] [CrossRef]
- Mahar, M.T.; Guerieri, A.M.; Hanna, M.S.; Kemble, C.D. Estimation of Aerobic Fitness from 20-m Multistage Shuttle Run Test Performance. Am. J. Prev. Med. 2011, 41, S117–S123. [Google Scholar] [CrossRef]
- Aktürk, E.; Mfann, S.A.; Vektör, D.; Svr, R. Performance comparison of different regression methods for VO2max estimation. In Proceedings of the 2013 21st Signal Processing and Communications Applications Conference (SIU), Haspolat, Turkey, 24–26 April 2013; IEEE: Piscataway, NJ, USA, 2013; pp. 6–9. [Google Scholar] [CrossRef]
- Beltrame, T.; Amelard, R.; Villar, R.; Shafiee, M.J.; Wong, A.; Hughson, R.L. Estimating oxygen uptake and energy expenditure during treadmill walking by neural network analysis of easy-to-obtain inputs. J. Appl. Physiol. 2016, 121, 1226–1233. [Google Scholar] [CrossRef] [PubMed] [Green Version]
- Borror, A.; Mazzoleni, M.; Coppock, J.; Jensen, B.C.; Wood, W.A.; Mann, B.; Battaglini, C.L. Predicting oxygen uptake responses during cycling at varied intensities using an artificial neural network. Biomed. Hum. Kinet. 2019, 11, 60–68. [Google Scholar] [CrossRef] [Green Version]
- Shandhi, M.M.H.; Bartlett, W.H.; Heller, J.; Etemadi, M.; Young, A.; Ploetz, T.; Inan, O. Estimation of Instantaneous Oxygen Uptake during Exercise and Daily Activities using a Wearable Cardio-Electromechanical and Environmental Sensor. J. Biomed. Health Inform. 2020, 2194, 634–646. [Google Scholar] [CrossRef] [PubMed]
- Beltrame, T.; Amelard, R.; Wong, A.; Hughson, R.L. Prediction of oxygen uptake dynamics by machine learning analysis of wearable sensors during activities of daily living. Sci. Rep. 2017, 7, 1–8. [Google Scholar] [CrossRef] [Green Version]
- Zhao, J.; Zhu, P.; Lu, X. On the power-law of the internet and the prediction of BGP convergence. In Proceedings of the International Conference on Internet Surveillance and Protection (ICISP’06), Cote d’Azur, France, 26–29 August 2006. [Google Scholar] [CrossRef]
- Matheson, L.N.; Matheson, M.L.; Grant, J. Development of a measure of perceived functional ability. J. Occup. Rehabil. 1993, 3, 15–30. [Google Scholar] [CrossRef]
- Bradshaw, D.I. An Accurate VO2max Non-exercise Regression Model for 18 to 65 Year Old Adults. Res. Q. Exerc. Sport 2003, 76, 426–432. [Google Scholar] [CrossRef] [Green Version]
- Akay, M.F.; Inan, C.; Bradshaw, D.I.; George, J.D. Support vector regression and multilayer feed forward neural networks for non-exercise prediction of VO2max. Expert Syst. Appl. 2009, 36, 10112–10119. [Google Scholar] [CrossRef]
- Jang, T.W.; Park, S.G.; Kim, H.R.; Kim, J.M.; Hong, Y.S.; Kim, B.G. Estimation of maximal oxygen uptake without exercise testing in Korean healthy adult workers. Tohoku J. Exp. Med. 2012, 227, 313–319. [Google Scholar] [CrossRef]
- Burton, N.W.; Turrell, G. Occupation, hours worked and leisure-time physical activity. Prev. Med. 2000, 31, 673–681. [Google Scholar] [CrossRef]
- White, R.L.; Bennie, J.; Abbott, G.; Teychenne, M. Work-related physical activity and psychological distress among women in different occupations: A cross-sectional study. BMC Public Health 2020, 20, 1007. [Google Scholar] [CrossRef] [PubMed]
- Henriques, J.; Carvalho, P.; Rocha, T.; Paredes, S.; Cabiddu, R.; Trimer, R.; Mendes, R.; Borghi-Silva, A.; Kaminsky, L.; Ashley, E.; et al. A non-exercise based V02max prediction using FRIEND dataset with a neural network. In Proceedings of the 2017 39th Annual International Conference of the IEEE Engineering in Medicine and Biology Society (EMBC), Jeju, Korea, 11 July 2017; IEEE: Piscataway, NJ, USA, 2017; pp. 4203–4206. [Google Scholar] [CrossRef]
- Nielson, D.E.; George, J.D.; Vehrs, P.R.; Hager, R.L.; Webb, C.V. Predicting VO2max in college-aged participants using cycle ergometry and perceived functional ability. Meas. Phys. Educ. Exerc. Sci. 2010, 14, 252–264. [Google Scholar] [CrossRef]
- Zignoli, A.; Fornasiero, A.; Ragni, M.; Pellegrini, B.; Schena, F.; Biral, F.; Laursen, P.B. Estimating an individual’s oxygen uptake during cycling exercise with a recurrent neural network trained from easy-to-obtain inputs: A pilot study. PLoS ONE 2020, 15, e0229466. [Google Scholar] [CrossRef] [PubMed] [Green Version]
- Jensen, K.; Frydkjær, M.; Jensen, N.M.B.; Bannerholt, L.M.; Gam, S. A maximal rowing ergometer protocol to predict maximal oxygen uptake. Int. J. Sports Physiol. Perform. 2021, 16, 382–386. [Google Scholar] [CrossRef]
- Deka, P.; Pozehl, B.J.; Pathak, D.; Williams, M.; Norman, J.F.; Alonso, W.W.; Jaarsma, T. Predicting maximal oxygen uptake from the 6 min walk test in patients with heart failure. ESC Heart Fail. 2021, 8, 47–54. [Google Scholar] [CrossRef] [PubMed]
- Liu, F.; Tsang, R.C.C.; Jones, A.Y.M.; Zhou, M.; Xue, K.; Chen, M.; Wang, Y. Cardiodynamic variables measured by impedance cardiography during a 6-min walk test are reliable predictors of peak oxygen consumption in young healthy adults. PLoS ONE 2021, 16, e0252219. [Google Scholar] [CrossRef]








Publisher’s Note: MDPI stays neutral with regard to jurisdictional claims in published maps and institutional affiliations. |
© 2021 by the authors. Licensee MDPI, Basel, Switzerland. This article is an open access article distributed under the terms and conditions of the Creative Commons Attribution (CC BY) license (https://creativecommons.org/licenses/by/4.0/).
Share and Cite
Alzamer, H.; Abuhmed, T.; Hamad, K. A Short Review on the Machine Learning-Guided Oxygen Uptake Prediction for Sport Science Applications. Electronics 2021, 10, 1956. https://doi.org/10.3390/electronics10161956
Alzamer H, Abuhmed T, Hamad K. A Short Review on the Machine Learning-Guided Oxygen Uptake Prediction for Sport Science Applications. Electronics. 2021; 10(16):1956. https://doi.org/10.3390/electronics10161956
Chicago/Turabian StyleAlzamer, Haneen, Tamer Abuhmed, and Kotiba Hamad. 2021. "A Short Review on the Machine Learning-Guided Oxygen Uptake Prediction for Sport Science Applications" Electronics 10, no. 16: 1956. https://doi.org/10.3390/electronics10161956
APA StyleAlzamer, H., Abuhmed, T., & Hamad, K. (2021). A Short Review on the Machine Learning-Guided Oxygen Uptake Prediction for Sport Science Applications. Electronics, 10(16), 1956. https://doi.org/10.3390/electronics10161956

