Abstract
A sub-/super-synchronous interaction (sub-/super-SCI) can occur between a voltage source converter-based high-voltage direct current (VSC-HVDC) and the permanent magnet synchronous generator (PMSG)-based wind farms with long AC transmission lines. However, the influencing factors have not been properly analyzed. In this paper, these are deconstructed and mathematically analyzed from detailed small-signal impedance equations in the dq-frame and the corresponding Bode stability criterion. Distinguishing conclusions from existing papers are obtained by studying the controllers’ bandwidths instead of their coefficients. The impacts of AC line impedance on system stability are also investigated. From the analysis of their compositions in impedance structure, the VSC-HVDC bandwidths and the wind farm phase-locked loop (PLL) bandwidth and power ratio, and the AC line impedance have various influences on the system stability. Meanwhile, the wind farm outer DC voltage and inner current control bandwidths have little impact on system stability. The results of these studies show that the magnitude in the axes q-axes impedance interaction is the essential factor for system instability. Our studies also show system stability is more sensitive to the HVDC bandwidths than the wind converter PLL bandwidth. The simulation results verify our theory conclusions.
1. Introduction
In response to the development of large-scale onshore and offshore wind farms, PMSG wind turbines have been gaining popularity for their ease of maintenance and dynamic performance in grid voltage fault ride through []. In addition to being used for long-distance power transmission, HVDC is becoming increasingly popular for its economic advantages []. Due to the requirement for HVDC as a voltage source mode in the HVDC-based wind farm dedicated transmission line system, VSC-HVDC plays a prominent role in this application scenario. It is available in two-level [], multilevel, and modular multilevel converter types []. Power electronics converters make up this system, which lacks the inertia offered by strong grids and synchronized generators []. As a result, sub-synchronous oscillations and super-synchronous oscillations pose a challenge. These oscillations are multi-frequency and time-varying []. The mechanism of these oscillations, unlike conventional power systems which comes from passive inducive and capacitive, needs to be explained by new methods [].
The first case of sub-synchronous oscillations occurred in Texas, USA, in 2009. Paper [] yields these by means of controlled interactions for the first time. The first case of sub-synchronous oscillations in China in 2012 was studied by paper []. Researchers have conducted many works and studies after these cases. In paper [], the mechanisms of low frequency oscillation in the VSC-HVDC with doubly fed induction generator (DFIG) wind farm system was investigated. The system instability was due to the negative damping brought about by phase-locked loop (PLL) in RLC equivalent models. Paper [] demonstrated the role of the rotor-side converter (RSC) in low frequency oscillation in the VSC-HVDC with DFIG wind farm system. In paper [,], low frequency oscillation current components at the positive and negative sequence were analyzed. The frequency relationship between low frequency oscillation current components and rotor side current and DC side voltage was revealed. However, all these articles concern the DFIG wind farm. Paper [] presents a PMSG based wind farm and VSC-HVDC sequence impedance model by the harmonic linearization method. Paper [] focuses on the impact of different power converter models’ application on the VSC-HVDC with PMSG wind farm. In paper [], circulating current control of the VSC-HVDC system was studied as a significant effect on the stability of the VSC-HVDC with PMSG wind farm system. Paper [] built a dq-frame-based impedance models. These papers indicate that the mechanism of sup/sub-SCI is the interaction between the controls of the VSC-HVDC and controls of the wind farm. However, all these papers lack a study of system stability influencing factors. Analysis of controller parameters in [,] showed that increasing control proportion of the wind farm’s inner current control loop could increase system instability risk. Nonetheless, these papers examined each controller’s coefficient individually, without introducing concepts based on closed-loop models for bandwidth. Moreover, our research has different conclusions from these two papers when studying the impacts of the PMSG wind converter current control loop bandwidth instead of its controller. Paper [] also investigated the impact of controllers of the VSC-HVDC and PMSG-based wind farm on system instability. However, this paper focuses on damping methods to suppress the oscillation. The paper [] analyzed the impact of power ratio and controllers on system stability. However, it was not explained in terms of impedance structure and mathematics, which gave insufficient understanding of the root causes of the influence. Furthermore, the existing literature still lacks VSC-HVDC impedance models which consider the filter capacitor current control, thus reducing the accuracy of VSC-HVDC impedance models. Moreover, the general Nyquist criterion (GNC) application in these papers considers the unstable conditions of both d-axes and q-axes impedance together. This limits system instability factors’ analysis from phase and magnitude aspects in d-axes and q-axes separately. Consequently, existing research has failed to provide an in-depth analysis of the influencing factors on supra/sub-SCI, that would take into account the tuning process of the real controllers and the AC line impedance, and mathematically evaluate the role the influences play in impedance structures.
This paper investigates a dedicated wind farm transmission line system, in which a PMSG-based wind farm transmits power to the main AC grid through a two-level VSC-HVDC. Small signal models in dq-frame are built and an impedance-based bode criterion is introduced. Impedance on the q-axes is an essential element for stable criterion due to its impedance characteristics. Low frequency interactions between wind farm impedance and HVDC sending terminal impedance could lead to oscillations.
Compared to existing studies, the contributions of this paper are as following:
- (1)
- Detailed analytical expressions of d-axes and q-axes impedance of PMSG wind farm and VSC-HVDC are present. These expressions contain all possible influencing factors on system stability, such as wind farm power ratios (current), AC line impedance, and controllers’ parameters. Compared with formatting the impedance expressions in matrix form, as seen in existing surveys, the detailed analytical expressions are more conducive to analysis of the influencing factors’ impacts, both structurally and mathematically.
- (2)
- Compared with existing papers, this paper gives a study of the controllers impacts on system stability from the perspective of bandwidth. Impedance equations are reconstructed for their contained bandwidths. To follow the tuning process of PI controllers’ processes, the proportional relationship of inner and outer control bandwidths is kept. By varying the bandwidths, their impacts and sensitivity are identified. The reasons why the different bandwidths affect system stability in markedly different ways are explained.
- (3)
- A method of enhancing system stability using bandwidth modification is also discussed in this paper. Based on the acceptable range, the more sensitive factors are selected for the shaping of the impedance for system stability improvement.
The rest of this paper is organized as follows: Section 2 gives a small signal impedance model of the system controllers in the dq-frame, including the PMSG-based wind farm and VSC-HVDC sending terminal. Section 3 presents the impedance-based system stability analysis. Power ratio, line impedance, and the bandwidths of all controllers are theoretically analyzed using detailed impedance expressions and the Bode criterion. In Section 4, simulation results and stability improvements by bandwidth adjustments and their sensitivities are presented. Finally, Section 5 presents the conclusions and discussion.
2. VSC-HVDC Sending Terminal and PSMG-Wind Farm Impedance Modeling
2.1. System Description
Figure 1 introduces a PMSG-based wind farm with a two terminal VSC-based HVDC system. The wind power grid side converter works as an AC current source, which is connected to the point of common coupling (PCC) through a transformer and AC transmission line. The HVDC sending terminal works as an AC voltage source to support the PCC. The HVDC receiving terminal is connected to the main power grid by a transformer. To simplify this system, the wind power generator side converters are considered as a DC current source, and a DC-link of HVDC is a constant DC voltage source. Consequently, for wind farms, only DC-link and grid side converters will be modelled. Meanwhile, the HVDC receiving terminal and the main power grid will be neglected in the following analysis.

Figure 1.
Schematic diagram of PMSG-based wind farm and VSC-HVDC system.
2.2. VSC-HVDC Sending Terminal Control Bandwidths
Figure 2 shows the HVDC schematic circuit. The inductance, resistance and capacitance of the HVDC sending terminal converter LC filter are given by Rs, Ls and Cs, where the subscript ‘s’ denotes the HVDC sending terminal. The equivalent inductance of the transformer is given by Lst, and Vsdc represents the HVDC DC-link equivalent voltage. The valve voltage of the converter Us is considered as an ideal controllable three-phase voltage source.

Figure 2.
VSC-HVDC sending terminal schematic circuit.
All models in this paper were built in a dq synchronization reference frame to correspond to the normal PI controller application in the converter. For a HVDC sending terminal, the d-axes aligned with the voltage vector es (the Cs voltage), and the q-axes leads the d-axes by π/2.
Figure 3 shows the dual-loop control loop schematic diagram of the HVDC sending terminal [], where esd, esq, usd, usq are the Cs voltage and HVDC converter valve side voltages in the dq-frame, denoted by the subscript ‘d’ and ‘q’, respectively. The corresponding Ls currents are isLd and isLq.

Figure 3.
VSC-HVDC sending terminal control schematic.
A closed-current control loop Cscc is given in Equation (1), which describes the current dynamic performance in both the d and q-axes. The transfer function of the current controller is given by Gscc = kspcc + ksicc/s.
Equation (1) is modified to a first-order form by setting kspcc = ωsccLs and ksicc = ωsccRs as Equation (2), where ωscc is the bandwidth of the closed current loop.
A closed AC voltage control loop can be expressed as Equation (3), where Gsec = kspec + ksiec/s is the AC voltage PI controller.
The closed-loop is written in a second-order form as Equation (4) by letting kspec = 2ςsecωsnecCs and ksiec = Cs, where ςsec is the damping of the voltage control loop, and ωsnec is its natural frequency.
Defining the AC voltage closed-loop bandwidth ωsec when |Tsec| = 0.707, the relationship between the bandwidth ωsec and the natural frequency ωsnec can be calculated using Equation (5).
2.3. VSC-HVDC Sending Terminal Impedance Modeling
To build the impedance model, the expression of a matrix form ΔU = ZΔI should be calculated [], where Z is a 2 × 2 matrix impedance, and ΔU and ΔI are small signal voltage and current matrices of size 2 × 1 in the dq-frame. The bold letters represent matrix in this paper.
The VSC-HVDC sending terminal impedance in the dq-frame can be written as Zs0, which is given as follows in Equation (6):
where
2.4. PMSG-Wind Converter Control Bandwidths
A type IV wind turbine with L filter connected to the PCC through a transformer and a cable is shown in Figure 4. An ideal converter model is used regardless of the PWM harmonic effect.

Figure 4.
PMSG-based wind system equivalent schematic circuit.
Figure 5 shows the outer DC-link voltage and inner current control loop schematic diagram of the grid side converter. The subscript ‘t’ stands for the wind turbine.

Figure 5.
PMSG-based wind converter control schematic.
A current closed-loop in the d and q-axes can be obtained with Equation (7), where Gtcc = ktpcc + kticc/s is the current PI controller, and Lt and Rt are the inductor and resistance of L filter, respectively.
Equation (7) can be modified as a typical first-order transfer function as Equation (8) by ktpcc = ωtccLt and kticc = ωtccRt, where ωtcc is the bandwidth of the closed current loop.
The DC-link voltage closed-loop is given by Equation (9), where Gtdcc = ktpdcc + ktidcc/s is the DC-link voltage PI controller, and Ctdc is the DC-link capacitor. Setting ktpdcc = 2ςtdccωtndccCtdc and ktidcc = Ctdc, Equation (9) can be modified as a typical second-order transfer function through Equation (10), where the damping ratio and natural frequency are given by ςtdcc and ωtndcc, respectively. Introducing the DC-link voltage closed loop bandwidth which makes |Ttdcc| = 0.707, Equation (11) give the relationship between ωtndcc and ωtdcc.
Figure 6 illustrates the block diagram of a common PLL, where the three-phase grid voltage eabc is needed as the input, and the grid voltage phase θ is the output.

Figure 6.
PMSG-based wind system equivalent schematic current.
From paper [], the closed PLL control loop is given as Equation (12), where Gtpllc = ktppll + ktipll/s is a PLL PI controller, and etx is the grid voltage without perturbation.
The closed PLL control loop can be re-expressed as Ttpll by setting ktppll = 2ςtpllcωtnpll/etd and ktppll = /etx.
By defining the bandwidth when |Ttpll| = 0.707, the relationship between the PLL bandwidth and the natural frequency is shown by Equation (14).
2.5. PMSG-Wind Converter Impedance
Based on the outer DC-link voltage control loop and the inner current and PLL control loops, the impedance of the PMSG wind grid side converter can be derived from Equation (15); the detailed impedance-built process can be found in paper []. The subscript ‘x’ and ‘y’ stands for the system frame x-axes and y-axes, which are defined as the same as dq-frame when there is no perturbance in grid voltage. etx and ety and itx and ity are the grid side voltage and current in x-axes and y-axes.
where
3. Impedance-Based System Stability Analysis
3.1. Basic Theory of the Impedance-Based System Stability Criterion
To employ the impedance stability criterion, the wind farm system with HVDC is divided into two interconnected parts by the PCC as shown in Figure 7. The impedance of the HVDC sending terminal is given by Zs and its transformer impedance is Zst. Meanwhile, Zt contains the impedance of the remaining parts that include wind grid side converters, step up transformer’s impedance Ztt and AC transmission line impedance Ztl. The expressions Zs and Zt are given by Equations (16) and (17), respectively.

Figure 7.
PMSG-wind farm with VSC-HVDC system impedance division.
The transformer ratios of the HVDC and wind converter sides are given by Nst and Ntt, respectively. Nt is the number of grid-connected wind power grid side converters.
Both Zs and Zt are size 2 × 2 matrices, and the GNC can be used for system stability analysis. The minor loop gain of the equal feedback control system is given as:
which is also a 2 × 2 matrix. The minor loop gain matrix is defined as:
Generally, G(s)H(s) is asymptotically stable if and only if the characteristic loci for the eigenvalues of G(s)H(s), λ1(s) and λ2(s) taken together, do not encircle −1 for s = jω, and −∞ < ω < ∞ [], where:
If the off-diagonal elements Zdq and Zqd are relatively low in gain compared with the diagonal elements Zdd and Zqq, the eigenvalues of G(s)H(s) can be simplified to an approximate form with negligible impact on the system stability analysis [,].
Because the Bode plots of Zdd and Zqq correspond to their Nyquist plot, the Bode criterion has the same function as the GNC, which will be explained later. Furthermore, the bode criterion can be used to easily observe individual magnitude and phase stability tendency. Therefore, the Bode criterion is used as the main system stability criterion.
Additionally, before using the impedance stability criterion, the two parts from the PPC shown in Figure 7 should be individually stable. This requires the HVDC sending terminal to be stable when unloaded due to its voltage source working mode. Meanwhile, the wind power converter should be kept stable when connected to an ideal voltage source due to its current source working mode. All the cases in this study satisfied these two conditions.
3.2. Impedance Characters Analysis and Impact of Power Ratio on System Stability
To analyze the sub-/super-synchronous phenomenon by using the impedance criterion, detailed expression of Zs and Zt should be formulated. To apply the unity power factor control to wind power converters, the voltage and current in the q-axes are all considered to be equal to zero in the stable state. In addition, the wind grid side converter valve side voltage utd and utq can be replaced by the grid voltage and current in the d-axes as utd = etd − Rtitd and utq = −ωLtitd in the expression for the wind farm impedance in Equation (17). The off-diagonal elements in Equation (17) can also be neglected due to the unity power factor control [,,]. Therefore, the minor loop gain can be simplified to an approximate form as λ1(s) = Zsdd/Ztdd and λ2(s) = Zsqq/Ztqq. The PWM delay and the voltage and current sample delays can also be neglected due to their small impact on the frequency band this paper is concerned with.
Based on the above conditions, the diagonal element expressions are given in Equations (18)–(20), where Zsdd and Zsqq represent HVDC sending terminal impedance on d and q-axes, respectively, Ztdd and Ztqq are the wind farm impedance in the d and q-axes, respectively.
According to Equation (18), Zsdd is equal to Zsqq, because the HVDC sending terminal impedance does not contain coupling items and nonlinear parts such as PLL. Both Zsdd and Zsqq are independent of stable state points such as voltage and current. On the other hand, the inner current controller Gscc, outer AC voltage controller Gsec and LCL-filter parameters influence the HVDC impedance.
In contrast, according to Equations (19) and (20), the wind farm impedance Zsdd and Zsqq depend on stable state points such as etd, itd and vtdc. Both Ztdd and Ztqq include the inner current controller Gtcc and L filter parameters. Moreover, the Ztdd contains the DC voltage controller Gtdc because the DC voltage controller acts only on the d-axes, while Ztqq has the PLL Gtpll for it acts only on the q-axes.
Figure 8 shows the Zdd and Zqq Nyquist plot of the HVDC and wind farm impedance interaction in increasing power ratios based on the system parameters in Table 1. Case I, Case II and Case III represent impedance based on a power ratio of 0.1 pu, 0.6 pu and 2 pu. For Zdd, the three curves close in but are still far away from encircling the point (−1,j0), which means Zdd is stable under these power ratios conditions. On the contrary, for Zqq, the curves close in and finally in Case III the curve encircles the point (−1,j0) clockwise. Therefore, Zqq is unstable under the highest power ratio. According to the GNC, the system is unstable if either Zdd or Zqq satisfies the instability criterion.

Figure 8.
Nyquist plot of Zdd and Zqq with increasing power ratio.

Table 1.
VSC-HVDC and equivalent wind farm system parameters.
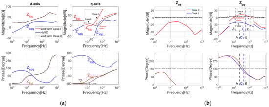
Figure 9a shows the corresponding Bode plots, which show that as the active current itd increases, the HVDC impedance Zsdd,sqq remains the same due to the independence of itd. Meanwhile, the magnitude of wind farm impedance (Ztdd and Ztqq) decreases, as shown by the arrow. The Ztqq in Case III reaches and crosses Zsqq within 100 Hz. This tendency can be inferred by Equations (19) and (20), in which the active current itd is the denominator of Ztdd and Ztqq.

Figure 9.
System impedance interaction considering increased power ratio. (a) Bode plot of HVDC and wind farm impedance in d and q-axes. (b) Bode plot of Zdd and Zqq for system stability criterion.
The magnitude and phase change trends are demonstrated in the Bode plots of Zdd and Zqq in Figure 9b. The power ratios have small impact on the phases of Zdd and Zqq. The Zdd phases cross at π on the frequency marked ‘C’. The Zqq magnitudes for Cases I and II have no crossover at 0 dB. Case III goes up to 0 dB at frequency A and then down to 0 dB on frequency B. If the frequency C is between A and B, Zqq is unstable for Case III. This is the application of the Bode criterion, which corresponds to encircling the point (−1,j0) in Figure 8. On the other hand, the magnitudes of Zdd have no crossover point, which demonstrates their stability.
The above discussion shows that the crossover points of magnitude are necessary for system instability, which is also the key reason for the sub/sup-SCI between the HVDC and wind farm system. To increase system stability, it is reasonable to avoid the crossover points by increasing the magnitudes of Ztdd and Ztqq, and decreasing those of Zsdd and Zsqq in the low range frequency.
Based on Equations (19) and (20), the number of grid-connected wind grid side converters Nt has an impact on the magnitude of wind farm impedance that is similar to that of the power ratio. It is obvious that the worst-case scenario occurs when the whole wind farm delivers its rated power. The following analysis will be based on this extreme condition.
3.3. Impact of Line Impedance on System Stability
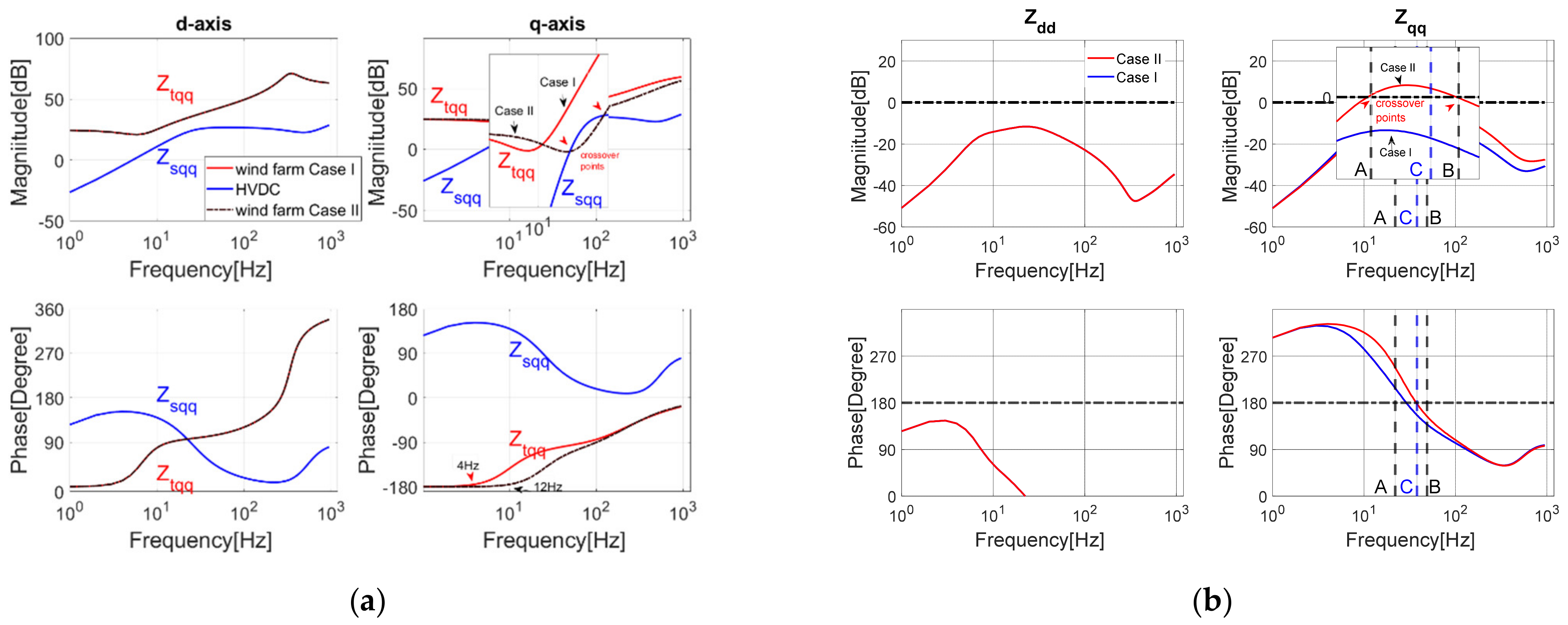
To analyze the line impedance impact on the system stability, Ztdd and Ztqq are studied without line impedance and with 100 mH line impedance.
The HVDC and wind farm impedance interactions without and with line impedance are shown in Figure 10a. The phase part of Ztdd shows that it is a positive resistive-inductive load for very low frequency range (between 0 Hz and about 30 Hz), as the phase is between 0 and 90 degrees. Between 30 Hz and about 310 Hz, the Ztdd impedance is a negative resistive-inductive load, when its phase is between π/2 and π. This is the main phase characteristic of Ztdd in the frequency domain.

Figure 10.
System impedance interaction considering line impedance. (a) Bode plot of HVDC and wind farm impedance on the dq-axis. (b) Bode plots of Zdd and Zqq for system stability criterion.
As the inductive line impedance is added, the magnitudes of Ztdd increase for frequencies between 0 Hz and around 310 Hz, as shown in Figure 10a. This increases the magnitude difference between the HVDC and wind farm on the d-axes and eliminates the possibilities of crossover. Based on the previous system stability analysis, the increased line impedance decreased the risk of Ztdd instability.
On the contrary, the Ztqq impedance has a negative resistive-capacitive load when the frequency is between 0 Hz and around 30 Hz, with its phase between −π and −π/2. The impedance turns to a positive resistive-capacitive load for frequencies between 30 Hz and more than 100 Hz. Consequently, the amplitude of Ztqq decreases with the added line inductance impedance. This increased the possibility of HVDC and wind farm magnitude crossover points. Based on the previous system stability analysis, it can be stated that the line impedance increases the risk of Ztqq instability. As the Bode plots of interactions in the q-axes show, with the 100 mH line impedance, the magnitude of wind farm has crossover points with the HVDC magnitude, which will lead to system stability.
Figure 10b shows the Bode plots of Zdd and Zqq considering line impedance. Zdd magnitudes do not have crossover points with the 0 dB line, which indicates their stability. Meanwhile, the line impedance causes crossover points for Zqq magnitude with 0 dB. With the phase conditions and based on the Bode criterion mentioned previously, Zqq with line impedance is unstable. This proves theoretically that a certain line impedance can cause system instability.
3.4. Impact of Control Loop Bandwidths on Stability
According to the previous interpretation, the impedance models contain PI controllers, which are designed by considering control loop bandwidth and the damping ratio (set to 0.707). Therefore, it is more reasonable to investigate the relationship between system stability and control loop bandwidths, rather than the individual proportional or integral coefficients.
The controllers can be redefined as follows, by replacing the proportional and integral coefficients by their bandwidth for each PI controller in Equations (3)–(5), and (7)–(14) where the defined damping ratios are equal to 0.707.
It is more specific to study the impact of bandwidth on stability by inserting these controllers into Equations (18)–(20) and obtaining Equations (21)–(23) below:
3.4.1. Impact of HVDC Controller Loop Bandwidths
Due to the inner and outer control loops design principle, the bandwidth of the inner current control loop should be set as 10 times that of the outer AC voltage control loop. Therefore, it is logical to keep the relationship between the two bandwidths fixed when discussing the impact of bandwidths on impedance.
From Equation (21), it is clear that the highest orders of the current control loop bandwidth ωscc and the AC voltage control loop bandwidth ωsec in the denominator are two and four, respectively, which are double those in their respective numerators. This signifies that the reduction in ωscc and ωsec will increase Bode plots magnitudes, which raises the stability risk.
Figure 11a shows the Ztdd and Ztqq Bode plots under different bandwidths in proportional change. In the presence of the wind farm impedance, the current bandwidth is reduced from 10 pu (500 Hz) (Case I) to 9 pu (450 Hz) (Case II), while the outer AC voltage control loop bandwidth is reduced from 1 pu (50 Hz) (Case I) to 0.9 pu (45 Hz) (Case II), and the magnitude of Ztqq rose and crosses the wind farm impedance.

Figure 11.
System impedance interaction considering reduced HVDC control loop bandwidths. (a) Bode plots of HVDC and wind farm impedance on the dq-axis. (b) Bode plots of Zdd and Zqq for system stability criterion.
In Figure 11b, the Bode plots of Zdd and Zqq can show this variation from a stable to unstable condition. The magnitude of Case I in the q-axes has no crossover points with the 0 dB line. The magnitude of Case II in the q-axes has a crossover up to the 0 dB line before its phase crosses down to the π line, and subsequently crosses back down to 0 dB after the phase crosses down to π. This indicates that Zqq changes from stable to unstable when the bandwidths change. Although the magnitude of Zdd also increases, it is too small and the phase of Zdd will not affect the system stability.
3.4.2. Impact of Wind Grid Side Controller Loop Bandwidths
According to Ztdd in Equation (22), ωtdcc exists only in the denominator. Therefore, the bandwidths and Ztdd magnitude are inversely proportional. It can be observed from Equations (22) and (23), that ωtcc exists in the form of s/ωtcc + 1 the in numerators of both equations. Due to its relatively higher value compared to 1, ωtcc has a small impact on the magnitudes of Ztdd and Ztqq.
Figure 12 compares Ztdd and Ztqq for different values of ωtcc and ωtdcc. Firstly, only ωtcc increases from 4 pu (200 Hz) (Case I) to 8 pu (400 Hz) (Case II), while the ωtdcc is fixed at 0.8 pu (40 Hz). These two cases show little impact on either Ztdd or Ztqq in magnitude or phase. Secondly, in Case III, ωtdcc changes from 0.4 pu (20 Hz) (Case I) up to 0.8 pu (40 Hz), while ωtcc is kept fixed at 4 pu (200 Hz). The magnitude of Ztdd decreases while that of Ztqq remains stable. The lowest magnitude points of Ztdd move closer to those of Zsdd, which indicates the rising risk of instability, but considering the phase conditions, it is hard for Ztdd to lead to system instability.

Figure 12.
System impedance interaction considering reduced wind converter control loop bandwidth.
It can be observed from Equation (23) that the ωtpll is part of Ztqq denominator in a form of second-order function. Therefore, when the ωtpll increases, the Ztqq magnitude in the increased bandwidth area will decrease rapidly and rest frequency areas almost remain the same.
Figure 13a shows the Ztqq with ωtpll from 20 Hz (Case I) to 50 Hz (Case II). The magnitude falls to have crossover with Zsqq. The range of phase near −π are extended from 4 to 12 Hz, which increased the possibility of phase instability. However, because ωtpll has no impacts on Zsdd as mentioned before, Zsdd remains the same.

Figure 13.
System impedance interaction considering increased wind converter PLL bandwidths. (a) Bode plot of HVDC and wind farm impedance on the dq-axis. (b) Bode plots of Zdd and Zqq for system stability criterion.
Figure 13b is the Bode plot of Zqq and shows that Zqq becomes unstable from an originally stable condition.
3.5. Impacts of Wind Grid Side Converter Switching Frequency
Considering the switching losses and limitations of the switching devices, the switching frequency for a wind power converter is in the range of 1–2 kHz. This limits its bandwidths, such as ωdcc, ωtcc, and ωtpll. Developments in power switching devices, such as SiC and the multilevel topology application, have enabled the wind grid side converters to have a higher switching frequency, such as 3 kHz and more. Consequently, wider bandwidths are allowed, especially for ωtpll. Therefore, the higher switching frequency may have the same impact on system stability as the increased ωtpll.
4. Simulation Results and Stability Improvement by Bandwidth Modification
In this section, case studies will be presented to verify the previous conclusions by Matlab/Simulation. Subsequently, stability improvements by means of modifying the bandwidths will be proposed. Table 2 shows the VSC-HVDC and equivalent wind farm control bandwidths for a stable system.

Table 2.
VSC-HVDC and equivalent wind farm system control bandwidths.
Figure 14 shows the PCC phase voltage and current in the abc-frame under free line impedance, and Table 3 shows their FFT spectra. This figure and table show that the system only contains voltage and current at a frequency of 50 Hz. Therefore, the system operates in a stable condition.

Figure 14.
PCC three phase instantaneous voltage and current (pu) in stable condition.

Table 3.
FFT spectra of PCC voltage and current under stable condition.
4.1. Simulations on the Line Impedance Impact
Figure 15a shows the Bode plots of Zdd and Zqq when the line impedance is 100 mH. The plot of Zqq shows that the system becomes unstable. Figure 15b shows the PCC instantaneous voltage and current, and Table 4 shows their FFT spectra. Both the voltages and currents have low frequency oscillations at around 8 Hz, 108 Hz, 21 Hz and 79 Hz. This proves that line impedance can lead to system instability.

Figure 15.
Unstable conditions by line impedance. (a) Bode plots of Zdd and Zqq for system instability criterion. (b) Instantaneous PCC voltage and current (pu).

Table 4.
FFT spectra of voltage and current under unstable conditions caused by line impedance.
4.2. Simulation on the Bandwidths Impact
Figure 16a shows the Bode plots of Zdd and Zqq where ωscc and ωsec are 6 pu (300 Hz) and 0.6 pu (30 Hz), respectively, which are reduced from the original 7 pu (350 Hz) and 0.7 pu (35 Hz), respectively. It shows that the system becomes unstable in Zqq. The unstable simulation results of the three phases’ voltage and current and their FFT spectra are provided in Figure 16b and Table 5, respectively. The table shows that the oscillation frequency is around 24.5 and 75.5 Hz, respectively. Compared with the three phases’ voltage and current in Figure 14, the reductions in ωscc and ωsec are the reasons for this system instability.

Figure 16.
System instability conditions caused by decreasing HVDC bandwidths. (a) Bode plots of Zdd and Zqq for system. (b) Instantaneous PCC voltage and current (pu).

Table 5.
FFT spectra of voltage and current under unstable conditions caused by decreased HVDC bandwidths.
Figure 17a shows the Bode plots of Zdd and Zqq when the ωtpll changes from 45 Hz to 68 Hz. The Zqq is unstable according to the Bode criterion. Figure 17b shows its three-phase voltage and current, in which the oscillation occurs. Table 6 shows that the voltage and current oscillation frequencies are about 15 Hz and 85 Hz. The increased ωtpll could cause the system to become unstable.

Figure 17.
Unstable system caused increased wind farm PLL bandwidth. (a) Bode plots of Zdd and Zqq. (b) Instantaneous PCC voltage and current (pu).

Table 6.
FFT spectra of voltage and current under unstable conditions caused by increased wind farm PLL bandwidth.
To validate the previous analysis about the inner current and outer DC voltage control loop bandwidth impact, simulations that double the bandwidths ωtcc and ωtdcc from the original 300 Hz and 30 Hz to 600 Hz and 60 Hz were carried out. The system is still stable, the three-phase voltage and current similar to those in Figure 14. This shows these two bandwidths have little impact on system stability as indicated by the previous study.
4.3. Stability Improvement by Bandwidth Modification
The simulations shown earlier serve as proof of the previous theoretical study. Based on this, there are two ways to improve the system stability by bandwidth modification: (1) reduce the ωtpll of wind grid side converters; (2) enlarge the HVDC bandwidths.
The following simulations compare two methods of system stability improvement by bandwidth modification. Figure 18 shows the Bode plots of Zdd and Zqq for three cases. Case I is the unstable system, which is the same as that shown in Figure 14 with 150 mH line impedance. Case II reduces the ωtpll from the original 0.9 pu (45 Hz) to 0.4 pu (20 Hz), while Case III extends the ωscc and ωsec from the original 7 pu (350 Hz) and 0.7 pu (35 Hz) to 10.7 pu (535 Hz) and 1.07 pu (53.5 Hz).

Figure 18.
System stability improvement by wind farm bandwidths and HVDC bandwidths.
The magnitude of Zqq in Case I has crossover points with 0 dB, which is the key condition causing instability. Previous simulation has ready shown its unstable result. Both Cases II and III reduce the magnitude of Zqq, which avoids the crossover points. In Cases II and III the system become stable by the Bode criterion. Simulations validate the impact of bandwidth modification methods.
Based on the observation that in Cases II and III that the magnitude reaches Zqq the same level, it can be gathered that the changes in ωscc, ωsec and ωtpll have an equivalent function. Therefore, the relationship between ωscc, ωsec and ωtpll can be found to have a similar impact on Zqq magnitude within a certain range. In Figure 19, the original point is (45, 35), which means ωtpll = 45 Hz and ωsec = 0.1ωsee = 35 Hz. The point (40, 36.7) in the curve in Figure 19 signified that a 5 Hz reduction in ωtpll and a 1.7 Hz increment in ωsec (a 17 Hz increment of ωscc) can reduce the Zqq magnitude to the same degree. Based on this figure, it can be concluded that generally the Zqq magnitude is more sensitive to ωsec (ωscc) than ωtpll within certain a bandwidth range.

Figure 19.
Equivalent relationship between wind farm PLL bandwidth and HVDC bandwidths.
However, the LVRT and HVRT require the wind grid side converters to have a fast response, which needs the ωtpll to be set to a high value. Meanwhile, the HVDC needs to limit its bandwidths to take into consideration the possible disturbance. Consequently, the ability to enhance the system stability by bandwidth modification is effective but has limited utility.
By techno-economic and risk analysis (TERA), bandwidths’ modification to enhance the system stability is an economical method compared with using oscillation suppression devices. The economic losses in sub/sup-synchronous interaction events are also significant. Between only September 2015 and September 2016, there were over 111 cases recorded in China. Each time the lost wind power was at least 50 MW; sometimes it could be up to 300 MW. The approved sub/sup-synchronous interaction depression method application is expected to avoid these losses with minor expense.
5. Discussion and Conclusions
This paper presented an analysis of sub/super-SCI in a VSC-HVDC and PMSG-based wind farm system with AC transmission line. After simplifying the impedance equations, a Bode criterion for system stability was used, which showed the unstable magnitude and phase conditions more clearly than the GNC. The wind farm impedance phase on the q-axes easily satisfied the instability condition due to the negative resistive-capacitive chrematistics. Therefore, the q-axes magnitude crossover points between the wind farm and HVDC were essential for system stability. The mathematical relations between the impedance magnitude and elements were demonstrated explicitly according to the detailed impedance expression. The results suggested that increasing the power ratio and line impedance helped form the crossover point by reducing the wind farm q-axes impedance magnitude. It was also discovered that the reduction in the HVDC and extension of the wind farm PLL control loop bandwidths affected the system stability in a similar manner. The outer DC voltage control loop bandwidth and inner current control loop of the wind converters had a negligible impact on q-axes magnitude and phase.
It is possible to improve system stability by reducing the PLL bandwidth and extending the bandwidths of HVDC, and simulation results supported this analysis. However, the limitations of this improvement approach were also discussed. It was found that the magnitude was more sensitive to HVDC bandwidth than that of the PLL; therefore, it was better to modify the HVDC bandwidth. Thus, the stability was optimized to a certain degree by bandwidth adjustments.
Compared with the oscillation suppression device installations, the approach this paper provided, which offered guidance to redesign the relevant controllers’ bandwidths, was easy to access in application in a low-cost way. However, this method only increased the magnitude margin of Zqq. The unstable phase condition of Zqq was hard to change. As a consequence, accurate parameters for impedance models were required and robustness of this approach was reduced.
Author Contributions
Conceptualization, X.T. and C.W.; methodology, Y.Z. and H.C.; software, Y.Z.; validation, X.T. and H.C.; writing—original draft preparation, Y.Z.; writing—review and editing, Y.Z., X.T. and H.C. All authors have read and agreed to the published version of the manuscript.
Funding
This research was funded by the National Natural Science Foundation of China under Grant No. 51577187 and the Fundamental Research Funds for the Central Universities grant number 2021YJSJD15.
Data Availability Statement
All data used in this research is available upon requirement.
Conflicts of Interest
The authors declare on conflict of interest.
References
- Mahela, O.P.; Gupta, N.; Khosravy, M.; Patel, N. Comprehensive Overview of Low Voltage Ride through Methods of Grid Integrated Wind Generator. IEEE Access 2019, 7, 99299–99326. [Google Scholar] [CrossRef]
- Dos Santos, M.L.; Jardini, J.A.; Casolari, R.P.; Vasquez-Arnez, R.L.; Saiki, G.Y.; Sousa, T.; Nicola, G.L.C. Power Transmission Over Long Distances: Economic Comparison Between HVDC and Half-Wavelength Line. IEEE Trans. Power Deliv. 2014, 29, 502–509. [Google Scholar] [CrossRef]
- Li, R.; Yu, L.; Xu, L.; Adam, G.P. Coordinated Control of Parallel DR-HVDC and MMC-HVDC Systems for Offshore Wind Energy Transmission. IEEE J. Emerg. Sel. Top. Power Electron. 2020, 8, 2572–2582. [Google Scholar] [CrossRef]
- Flourentzou, N.; Agelidis, V.G.; Demetriades, G.D. VSC-Based HVDC Power Transmission Systems: An Overview. IEEE Trans. Power Electron. 2009, 24, 592–602. [Google Scholar] [CrossRef]
- Wang, Y.; Zhao, C.; Guo, C.; Rehman, A.U. Dynamics and Small Signal Stability Analysis of PMSG-Based Wind Farm with an MMC-HVDC System. CSEE J. Power Energy Syst. 2020, 6, 226–235. [Google Scholar]
- Wang, Y.; Wang, L.; Jiang, Q. Impact of Synchronous Condenser on Sub/Super-Synchronous Oscillations in Wind Farms. IEEE Trans. Power Deliv. 2020, 36, 2075–2084. [Google Scholar] [CrossRef]
- Ebrahimzadeh, E.; Blaabjerg, F.; Wang, X.; Bak, C.L. Reducing Harmonic Instability and Resonance Problems in PMSG-Based Wind Farms. IEEE J. Emerg. Sel. Top. Power Electron. 2018, 6, 73–83. [Google Scholar] [CrossRef]
- Adams, J.; Carter, C.; Huang, S.-H. ERCOT Experience with sub-synchronous control interaction and proposed remediation. In Proceedings of the PES T D 2012, Orlando, FL, USA, 7–10 May 2012; pp. 1–5. [Google Scholar]
- Wang, L.; Xie, X.; Jiang, Q.; Liu, H.; Li, Y.; Liu, H. Investigation of SSR in Practical DFIG-Based Wind Farms Connected to a Series-Compensated Power System. IEEE Trans. Power Syst. 2015, 30, 2772–2779. [Google Scholar] [CrossRef]
- Sun, K.; Yao, W.; Fang, J.; Ai, X.; Wen, J.; Cheng, S. Impedance Modeling and Stability Analysis of Grid-Connected DFIG-Based Wind Farm With a VSC-HVDC. IEEE J. Emerg. Sel. Top. Power Electron. 2020, 8, 1375–1390. [Google Scholar] [CrossRef]
- Zhu, L.; Zhong, D.; Wang, B.; Lin, R.; Xu, M. Understanding Subsynchronous Oscillation in DFIG-Based Wind Farms with Rotor-Side Converter Control Based on the Equivalent RLC Model. IEEE Access 2020, 8, 65371–65382. [Google Scholar] [CrossRef]
- Lv, J.; Dong, P.; Shi, G.; Cai, X.; Rao, H.; Chen, J. Subsynchronous oscillation of large DFIG-based wind farms integration through MMC-Based HVDC. In Proceedings of the 2014 International Conference on Power System Technology, Chengdu, China, 20–22 October 2014; pp. 2401–2408. [Google Scholar]
- Lv, J.; Dong, P.; Shi, G.; Cai, X.; Li, X. Subsynchronous Oscillation and Its Mitigation of MMC-Based HVDC with Large Doubly-Fed Induction Generator-Based Wind Farm Integration. Proc. CSEE 2015, 35, 4852–4860. [Google Scholar]
- Hanchao, L.; Jian, S. Voltage Stability and Control of Offshore Wind Farms with AC Collection and HVDC Transmission. IEEE J. Emerg. Sel. Top. Power Electron. 2014, 2, 1181–1189. [Google Scholar] [CrossRef]
- Sowa, I.; Domínguez-García, J.L.; Gomis-Bellmunt, O. Impedance-Based Analysis of Harmonic Resonances in HVDC Connected Offshore Wind Power Plants. Electr. Power Syst. Res. 2019, 166, 61–72. [Google Scholar] [CrossRef]
- Lv, J.; Cai, X.; Zhang, Z.; Chi, Y. Impedance Modeling and Stability Analysis of MMC-based HVDC for Offshore Wind Farms. Proc. CSEE 2016, 36, 3771–3781. [Google Scholar]
- Amin, M.; Molinas, M. Understanding the Origin of Oscillatory Phenomena Observed Between Wind Farms and HVdc Systems. IEEE J. Emerg. Sel. Top. Power Electron. 2017, 5, 378–392. [Google Scholar] [CrossRef] [Green Version]
- Xie, X.; Liu, H.; He, J.; Zhang, C.; Qiao, Y. Mechanism and Characteristics of Subsynchronous Oscillation Caused by the Interaction between Full-converter Wind Turbines and AC Systems. Proc. CSEE 2016, 36, 2366–2372. [Google Scholar]
- Lv, J.; Cai, X. Controller Parameters Optimization Design for Enhancing the Stability of Wind Farm With VSC-HVDC System. Proc. CSEE 2018, 38, 431–434. [Google Scholar]
- Amin, M.; Molinas, M.; Lyu, J. Oscillatory phenomena between wind farms and HVDC systems: The impact of control. In Proceedings of the 2015 IEEE 16th Workshop on Control and Modeling for Power Electronics (COMPEL), Vancouver, BC, Canada, 12–15 July 2015; pp. 1–8. [Google Scholar]
- Lyu, J.; Cai, X.; Amin, M.; Molinas, M. Sub-synchronous Oscillation Mechanism and Its Suppression in MMC-based HVDC Connected Wind Farms. IET Gener. Transm. Amp Distrib. 2018, 12, 1021–1029. [Google Scholar] [CrossRef] [Green Version]
- Qoria, T.; Gruson, F.; Colas, F.; Guillaud, X.; Debry, M.-S.; Prevost, T. Tuning of cascaded controllers for robust grid-forming voltage source converter. In Proceedings of the 2018 Power Systems Computation Conference (PSCC), Dublin, Ireland, 11–15 June 2018; pp. 1–7. [Google Scholar]
- Wang, X.; Harnefors, L.; Blaabjerg, F. Unified Impedance Model of Grid-Connected Voltage-Source Converters. IEEE Trans. Power Electron. 2018, 33, 1775–1787. [Google Scholar] [CrossRef] [Green Version]
- Wen, B.; Boroyevich, D.; Burgos, R.; Mattavelli, P.; Shen, Z. Analysis of D-Q Small-Signal Impedance of Grid-Tied Inverters. IEEE Trans. Power Electron. 2016, 31, 675–687. [Google Scholar] [CrossRef]
- Harnefors, L. Modeling of Three-Phase Dynamic Systems Using Complex Transfer Functions and Transfer Matrices. IEEE Trans. Ind. Electron. 2007, 54, 2239–2248. [Google Scholar] [CrossRef]
- Burgos, R.; Boroyevich, D.; Wang, F.; Karimi, K.; Francis, G. On the Ac stability of high power factor three-phase rectifiers. In Proceedings of the 2010 IEEE Energy Conversion Congress and Exposition, Atlanta, GA, USA, 12–16 September 2010; pp. 2047–2054. [Google Scholar]
- Wen, B.; Boroyevich, D.; Burgos, R.; Mattavelli, P.; Shen, Z. Inverse Nyquist Stability Criterion for Grid-Tied Inverters. IEEE Trans. Power Electron. 2017, 32, 1548–1556. [Google Scholar] [CrossRef]
- Fan, L.; Miao, Z. Admittance-Based Stability Analysis: Bode Plots, Nyquist Diagrams or Eigenvalue Analysis? IEEE Trans. Power Syst. 2020, 35, 3312–3315. [Google Scholar] [CrossRef]
Publisher’s Note: MDPI stays neutral with regard to jurisdictional claims in published maps and institutional affiliations. |
© 2021 by the authors. Licensee MDPI, Basel, Switzerland. This article is an open access article distributed under the terms and conditions of the Creative Commons Attribution (CC BY) license (https://creativecommons.org/licenses/by/4.0/).