Next Article in Journal
Design of a 94 GHz Millimeter-Wave Four-Way Power Combiner Based on Circular Waveguide Structure
Previous Article in Journal
A New 4D Hyperchaotic System and Its Analog and Digital Implementation
 
 
Font Type:
Arial Georgia Verdana
Font Size:
Aa Aa Aa
Line Spacing:
Column Width:
Background:
Article

Robust Tracker of Hybrid Microgrids by the Invariant-Ellipsoid Set

1
Department of Electrical Technology, Faculty of Technology and Education, Helwan University, El-Sawah, Cairo 11813, Egypt
2
Energy and Renewable Energy Department, Egyptian Chinese University, Cairo 11724, Egypt
3
Department of Electrical Power Engineering, Faculty of Engineering, Cairo University, Cairo 12613, Egypt
4
Department of Engineering, Niccolò Cusano University, 00166 Roma, Italy
*
Author to whom correspondence should be addressed.
Electronics 2021, 10(15), 1794; https://doi.org/10.3390/electronics10151794
Submission received: 3 June 2021 / Revised: 5 July 2021 / Accepted: 5 July 2021 / Published: 26 July 2021
(This article belongs to the Special Issue Power Electronics for Smart Grids)

Abstract

:
This paper introduces a new ellipsoidal-based tracker design to control a grid-connected hybrid direct current/alternating current (DC/AC) microgrid (MG). The proposed controller is robust against both parameters and load variations. The studied hybrid MG is modelled as a nonlinear dynamical system. A linearized model around an operating point is developed. The parameter changes are modelled as norm-bounded uncertainties. We apply the new extended version of the attractive (or invariant) ellipsoid for this tracking problem. Convex optimization is used to obtain the region’s minimal size where the tracking error between the state trajectories and the reference states converges. The sufficient conditions for stability are derived and solved based on linear matrix inequalities (LMIs). The proposed controller’s validity is shown via simulating the hybrid MG with various operational scenarios. In each scenario, the performance of the controller is compared with a recently proposed sliding mode controller. The comparison clearly illustrates the superiority of the developed controller in terms of transient and steady-state responses.

1. Introduction

Technology advances in power generation, control, computer hardware, and software have led to the spread of microgrids (MGs). Industrial customers aiming to reduce the cost and increase their reliability and resilience have driven the MGs’ evolution. As a result, the MGs are currently the primary power source for many commercial and residential applications [1].
Locality, independence, and intelligence are the key characteristics of the MG. The MG’s locality provides an optimal solution to the power losses issue of a typical power system structure, reaching up to 40% of the generated power. In many cases, the MG is the only solution to the power supply of remote areas where the public grid is inaccessible or does not exist [2].
MGs’ independence is attributed to their ability to supply the total load demand in the outage of the utility services or the existence of severe disturbances. The MG can operate synchronously with the utility grid or in isolated mode. When isolated, it can completely control its voltage and frequency, thanks to the dedicated power converters and their advanced control schemes [3].
Embedded sensors, communications channels, innovative software, and powerful controllers have instigated MG’s intelligence. Intelligence in this context implies the capability of self-monitoring, evaluation, and decision-making to optimally utilize and operate the available energy resources in addition to the energy-management system [4].
MG’s installation and commissioning are soaring. For instance, in 2019 (second half only), there were 4475 projects adding up to 27 GW of installed capacity [5]. California State, USA, has demonstrated great impetus to obtain 50% of its electricity via MGs and renewable sources by 2030 [6]. MGs’ development in the European Union Nations, Japan, Korea, Australia, and North America is reported in [7], showing explicitly that the implementations are growing rapidly.
Based on the integration level into the primary grid, the MGs are classified into a remote-, facility- and utility-MG, ordered by their impact on the power system from low to high. The MG can be a direct current (DC), alternating current (AC), or hybrid system. Figure 1a displays a layout example of an AC MG, and Figure 1b depicts an outline of a DC MG. Statistically, the AC-MG system configuration is still dominant due to mainly two factors: AC-load availability and ease of protection [8]. However, some factors push the DC MG to compete with the AC MG, such as the DC-based renewable system’s spread and ease of control. A hybrid MG aims to merge the merits of both systems [9,10]. Figure 2 displays one possible layout of a hybrid MG.
The hybrid MG provides a comprehensive solution to common issues like the suitability of sources and loads. It can integrate both DC and AC types of energy source and customer loads with the minimal (or zero) conversion stages. As shown in Figure 2, the interlinking inverter facilitates the power flow between the DC and AC MG and the main utility via the appropriate controllers. Thus, a hybrid MG’s autonomous operational capability is significantly higher than only DC- or AC-MG.
The MG’s control is either centralized or decentralized. Centralized control systems have the following advantages: (1) the main objectives are identified and realized; (2) they can offer global optimal decisions/solutions; (3) their synchronization to the main utility is relatively easy, and they can efficiently be operated online. On the other hand, decentralized control systems have the advantages: (1) they are appropriate for quickly changing infrastructures; (2) they can be easily expanded due to high capabilities of plug and play operation; (3) their reliability is high; (4) their communication and computational cost are relatively low [11,12]. Both centralized and decentralized controllers have been realized by many control algorithms such as H∞ [13], LQR [14], sliding mode [15], model-predictive control [16] and artificial intelligence techniques including fuzzy logic [5,17], neural networks [6], and genetic algorithms [18].
Remark 1.
It should be emphasized that [14] solves the problem of severe transients that occur during the transition between the connected and islanded modes of microgrids (which affect the voltage and frequency responses). The seamless transition is achieved by the linear quadratic regulators LQR with a simple pole placement method to select the weighting matrices Q and R. The bumpless transition is not considered in the present manuscript. The adaptive sliding control given in [15] achieves fast bus voltage tracking without additional sensors in addition to system scalability and maintaining the plug-and-play operation of the Distribution Generation units (DGs). By using the proposed method [15] to estimate the uncertainty and external disturbance, the system parameters and switching function can be adjusted in time to weaken the chattering. However, the control of [15] is non-linear, has some chattering, and is applied to only DC microgrids. The model-predictive control [16] is a time-varying tracker and requires significant computational time. The methods [5,6,18] also require extensive training and computational burdens.
Furthermore, decentralized control techniques manage, organize, and control an efficient short alteration from grid-connected mode to islanded mode [19]. It introduces and allows recent interlinking converter circuits to be used as quasi-Z-source converters [19]. The interlinking converter could be connected in series or parallel to enhance the hybrid MGs’ power quality. The series interlinking converter is used to improve the hybrid MGs, and the parallel voltage quality interlinking converter compensates for the harmonic voltage generated by the non-linear loads. In [20], a new circuit combination is anticipated for the interlinking converter to improve power quality indices. The interlinking converter is divided into two parts: parallel and series interlinking converter.
This paper introduces a control algorithm using invariant ellipsoids. The presented control technique avoids the complexity of selecting the weights of H∞ and the chattering issues of the sliding mode control. Moreover, it handles the parameter’s uncertainties and loads variations effectively. The contribution of the paper is:
(1)
A novel theorem, based on the linear matrix inequalities, is introduced to guarantee the optimal trackers’ solvability, in which the outputs follow the desired inputs and achieve external disturbance rejection.
(2)
A new simple controller is designed based on the invariant sets (approximated and bounded by invariant ellipsoids) is introduced. The proposed controller is fast, with a very low overshoot, and there is no chattering, unlike the sliding mode approach. It is also robust against load changes and system parameters uncertainties.
(3)
The need to add a feedforward path (to enhance the DGs’ controllers’ performance) is eliminated [21].
The paper is structured as follows. Section 2 presents the model of the investigated hybrid MG and the statement of the research problem. In Section 3, the control design is presented and described in detail. The results are displayed in Section 4. Finally, the conclusions are presented in Section 5.
Facts
Fact1:
M Δ t N + < ϵ M M + ϵ 1 N N
The time-varying uncertainty ∆(t) can be removed using this fact
Fact 2 (Schur complements)
For a matrix M composed of
M = M 1 M 3 M 2
where M 1 = M 1   , M 2 = M 2 > 0 implies that M > 0 if and only if
M 1 M 3 M 2 1 M 3 > 0
The last nonlinear matrix inequality can be linearized using this fact.

2. Model of the Hybrid Microgrid (MG) and Problem Statement

The model used in this paper is adapted from reference [19]. The studied hybrid MG consists of two DC sources, DC-DG1 and DC-DG2, as displayed in Figure 3. There are two AC sources, AC-DG1 and AC-DG2, and an inter-linking inverter. Details of the sources and inverters are depicted in Figure 4. DC-DG1 is a Photovoltaic (PV) system driven by a boost converter, as illustrated in Figure 4a. DC-DG2 is a Lithium-ion battery operated by a two-quadrant buck-boost converter. The AC-DG1 and AC-DG2 are PV and wind-turbine systems, respectively. They are controlled by three-phase voltage source converters, as shown in Figure 4b. Also, the inter-linking inverter is realized by a voltage source converter (Figure 4c). AC sources and the inter-linking converter are linked via Resistor-Inductor (RL) series filters. Referring to Figure 5, the AC side can be described by Equation (1).
L ac d d t i a = R ac i a v a + u a v dc L ac d d t i b = R ac i b v b + u b v dc L ac d d t i c = R ac i c v c + u c v dc
where ua, ub, and uc are the modulation indices for three-phase a, b, and c, respectively. Transforming (1) to the dq-reference frame yields Equations (2) and (3).
L ac d d t i d = R ac i d + ω L ac i q v d + u d v dc
L ac d d t i q = ω L ac i d R ac i q v q + u q v dc
ud and uq, are d and the q-components of the modulation index of the inter-linking inverter, respectively. For the DC-DG1 and DC-DG2 sources, the following equations apply.
C s d d t v pv = i L 1 + i pv
L 1 d d t i L 1 = v dc 1 u 1   +   v pv
L 2 d d t i L 2 = u 2 v dc + v bat
u1 and u2, are the switching functions of DC-DG1 and DC-DG2, defined as follows.
u 1 = 1 S 1   is   on 0 S 1   is   off   and   u 2 = 1 S 2   is   on 0 S 2   is   off
The DC-link voltage changes according to the difference between the ac-side powers (currents) and the dc-side powers (currents). Looking from DC-DG1, the vdc state is expressed in Equation (7).
C d 1 d d t v dc = i L 1 u 1 i L 1 i dc 1
Looking from the DC-DG2 side, the vdc state is given in Equation (8).
C d 2 d d t v dc = u 2 i L 2 i dc 2
Looking from the AC side, the vdc state is represented as in Equation (9).
C dc d d t v dc = u d i d u q i q i dc
Choosing Cd1 and Cd2 to be equal to Cdc and adding Equations (7)–(9) yields:
3 C dc d d t v dc = i L 1 1 u 1   +   u 2 i L 2 u d i d u q i q     i dc + i dc 1 + i dc 2
Equations (2)–(6) and (10) provide the hybrid MG’s model, with the states.
x = i d i q v pv i L 1 i L 2 v dc
The model is nonlinear due to the product of the switching signals and their associated variables. To design the controller, this model should be linearized around an operating point. Here, the operating point is assumed as the voltages and currents’ nominal values. Then a perturbation is allowed around such an operating point. For instance, id is considered as: i d = I d + Δ i d . Id is the id’s value at the operating point (a quiescent value), and Δid is the perturbation.

Linearized Model

Substituting each state by its sum of a quiescent value and a perturbation in the Equations from (2) to (6), and (10), and neglecting the 2nd order terms, we get:
Δ i d ˙ = R ac Δ i d + ω L ac Δ i q Δ v d + U d Δ v dc + V dc Δ u d L ac Δ i q ˙ = ω L ac Δ i d R ac Δ i q Δ v q + U q Δ v dc + V dc Δ u q L ac Δ v pv ˙ = Δ i L 1 + Δ i pv C s Δ i L 1 ˙ = Δ v dc 1 U 1 + v dc Δ u 1 + Δ v pv L 1 Δ i L 1 ˙ = U 2 Δ v dc V dc Δ u 2 + v bat L 2 Δ v dc ˙ = 1 U 1 Δ i L 1 + U 2 Δ i L 2 I L 1 Δ u 1 + I L 2 Δ u 2 U d Δ i d I d Δ u d U q Δ i q I q Δ u q Δ i dc + Δ i dc 1 + Δ i dc 2 3 C dc
where Δ x ˙ denotes the first derivative of x, and capital letters designate quiescent values. Thus, in state-space form, the model in Equation (11) is represented as in Equation (12).
Δ x ˙ = A Δ x + B Δ u + Dw Δ y = C Δ x Δ x = Δ i d Δ i q Δ v pv Δ i L 1 Δ i L 2 Δ v dc Δ u = Δ u d Δ u q Δ u 1 Δ u 2 w = Δ v d Δ v q Δ i pv Δ v bat Δ i dc Δ i dc 1 Δ i dc 2 Δ y = Δ i d Δ i q Δ v pv Δ v dc
where x n , u p , y l , and w m are the state, control, output for feedback, and external disturbance vectors, respectively. Also,
A =   R ac L ac ω 0 0 0 U d L ac ω R ac L ac 0 0 0 U q L ac 0 0 0 1 C s 0 0 0 0 1 L 1 0 0 1 U 1 L 1 0 0 0 0 0 U 2 L 2 U d 3   C d U q 3   C d 0 1 U 1 3   C d U 2 3   C d 0
B =     V dc L ac 0 0 0 0 V dc L ac 0 0 0 0 0 0 0 0 V dc L 1 0 0 0 0 V dc L 2 I d 3   C dc I q 3   C dc I L 1 3   C dc I L 2 3   C dc
D = 1 L ac 0 0 0 0 0 0 0 1 L ac 0 0 0 0 0 0 0 1 C s 0 0 0 0 0 0 0 0 0 0 0 0 0 0 1 L 2 0 0 0 0 0 0 0 1 3 C dc 1 3 C dc 1 3 C dc
C   = 1 0 0 0 0 0 0 1 0 0 0 0 0 0 1 0 0 0 0 0 0 0 0 1
To find the operating point, all the derivatives in equations from Equations (2)–(6) and (10) are set to zero. Then, by substituting all the variables by their values, a function of nine unknowns is formed as in Equation (13). Here is an example to illustrate the steps of obtaining Equation (13). Going back to Equation (2).
L ac d d t i d = R ac i d + ω L ac i q v d + u d v dc
Setting the derivative term to zero gives.
0 = R ac i d + ω L ac i q v d + u d v dc
Then idId, iqIq, vdVd, udUd, and vdcVdc, yield: −Rac Id + ωLIqVd + UdVdc = 0. This is the first row in Equation (13).
f x   = R ac I d + ω L I q V d + U d V dc R ac I q ω L I d V d + U q V dc I L 1 +   I pv V dc 1 U 1 + V pv U 2   V dc + V bat I L 1 U d I d U q I q U 1 I L 1 + U 2 I L 2 + I dc + I dc 1 + I dc 2 = 0
The knowns are Iq, Idc, Ud, Uq, U1, U2, IL1, IL2, and Vdc. The parameters in (13) are listed in Table 1 and Table 2, with their used values.
In Equation (13), it is noticed that the number of equations is less than the number of unknowns. Thus, the damped least square (Levenberg–Marquardt algorithm, via the function fsolve in Matlab) is used to solve it with an initial guess:
x   =   [ 0 ,   18 ,   1 ,   1 ,   1 ,   1 ,   7.5 ,   7.5 ,   700 ] .
Table 3 shows the solution results for the nine unknowns in (13), noting that the values of U1, U2, Ud, Uq are dimensionless.
After getting the operation point, these values are substituted in Equation (12) to obtain the linearized hybrid MG model.
The problem can be stated as follows. It is required to design a controller based on the linearized model for the studied hybrid MG. The controller has to be robust against parameter variations modelled as norm-bounded uncertainty. The proposed controller is to be tested on the original non-linear model of the hybrid MG.

3. Controller Design

3.1. The Invariant (or Attractive) Ellipsoid Set

The attractive (or invariant) ellipsoid design has recently been developed in robust control of linear and non-linear systems [22]. Moreover, the ellipsoidal design is successfully applied in many applications, e.g., automatic generation control [23], piezoelectric actuators [24], car active suspension [25], islanded AC microgrids [26,27].
The basic idea of the ellipsoidal design is as follows. For an initial state vector outside the ellipsoid, the state trajectory must be attracted to a small ellipsoidal region, including the origin (attracting ellipsoid). When the trajectory reaches the ellipsoid, it will not leave it (invariant ellipsoid) [28]. The linear time-invariant (LTI) system (12) is rewritten, removing the ∆ for simplicity, as follows:
x ˙ = Ax + Bu + Dw , y = Cx , z = C z x + B 2 u
The vector z is the output to be optimized (the effect of disturbance w on z must be minimized). The term B 2 u is added to z to avoid obtaining controller with large gains, challenging to implement in practice. It is assumed that C z = C .

3.2. Design Procedure

There are two control problems: (1) regulator (for constant reference), (2) tracking (for time-varying reference). The output must track the desired time-varying reference with zero steady-state error in the hybrid microgrid control. Therefore, an integrator must be inserted, as will be seen later.

3.3. Regulator Ellipsoidal Design

The LTI system (14) assumes that the pair (A, B) is controllable, and the pair (A, C) is observable under a bounded external disturbance Dw . The disturbance is subject to the following constraint:
w t   1 ,       t 0
Note that the constraint in Equation (15) can be realized by scaling the matrix D.
Consider an ellipsoid E with origin as the centre given by the following equation:
E = x P 1 x 1 ,     P > 0
The ellipsoid also represents a Lyapunov function V x = x P 1 x , if the initial state vector x 0 lies outside the ellipsoid, V does not increase outside this ellipsoid. In other words, V ˙ x     0   for   all   x t   subject   to   V x     1 , i.e., the state trajectory x t is attracted to the ellipsoid. When the trajectory of x t reaches the ellipsoid, it will not leave it for the future time (time-invariant). The ellipsoid is thus attractive and invariant.
Remark 2.
For an initial state vector x(0) starting outside the ellipsoid  V x = x P 1 x , the proposed design is based on attracting the state trajectories to the ellipsoid by requiring  V ˙ x     0   for   all   x t   subject   to   V x     1 . Once the trajectories x(t) arrive at the ellipsoid, it will not leave it for the future time. This constraint and the disturbance norm constraint Equation (15) are cast in one matrix inequality Equation (17) using Schur complements, Fact 2.
It is shown in [28] that E is invariant (and attracting) for the system (14) if and only if there exists a scalar α > 0 ,   and   a   symmetric   matrix   P > 0 solutions to the following non-linear matrix equation:
AP + BY +   +   α P D α I     0
where Y = KP . The source of non-linearity is the product term α P . The disturbance effect on the trajectory x can be rejected by minimizing the ellipsoid volume as follows:
m i n i m i z e   t r P
where tr(P) is the trace function (the sum of the diagonal elements of P), selected due to its linearity, which provides a semidefinite program (SDP) that can be easily solved by Matlab convex optimization, as will be seen later.
To find the effect of the disturbance on the output to optimize z =   C + B 2 K x , the ellipsoid in Equation (16) is replaced by:
E z = z ( C + B 2 K P C + B 2 K ) 1 z 1
The effect of the disturbance on z is minimized by:
m i n i m i z e   t r C + B 2 K P C + B 2 K
The proposed controller, which reduces (or rejects) the disturbance effect on the output z, is obtained by the following theorem.
Theorem 1
[28]. Consider the LTI system (14), subject to the disturbance described in (15). Then, a state feedback regulator can stabilize the system:
u = Kx
is equivalent to:
m i n i m i z e   t r CPC   +   CY B 2 +   +   B 2 ZB 2
subject to the constraints:
AP + BY +   +   α P D α I     0 , α > 0 Z     Y     P     0 ,   P > 0
where Y = K P and the minimization is carried out to the variables α,  P = P R n × n , Y R p × n  and  Z = Z R p × p . Let  Y = K P . Then the regulator is given by the Equation (24).
K = YP 1
Fixing  α  in the nonlinear matrix Equation (23) results in an LMI. The objective function is iteratively minimized by fixing  α  for every iteration. Therefore SDP in one-dimensional convex optimization is obtained and easy to solve by the LMI toolbox.

3.4. Tracker Ellipsoidal Design

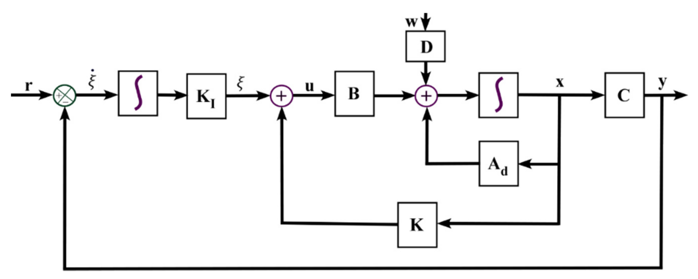
The above theorem can be generalized to the tracking problem by inserting an integral part between the plant’s error signal and the plant, as shown in Figure 5.
State feedback plus integral control is proposed in the form:
u = K   x + K i   ξ = K K i x ξ   ,   ξ ˙ = r C   x
Therefore, the augmented system is:
x ˙ ξ ˙ = A 0 C 0 x ξ + B 0 u + D 0 w + 0 I r ,   z = C 0 x ξ + B 2 u
or
x ˙ ξ ˙ =   A ^ x ξ +   B ^   u +   D ^   w + 0 I r , z =   C ^ x ξ + B 2 u
where the augmented matrices are:
A ^ = A 0 C 0 ,   B ^ = B 0 ,   D ^ = D 0   C ^ = C 0
The design of regulators via the ellipsoidal sets, Theorem 1, can be generalized to the problem of the tracker’s design. The suggested controller must be robust against the parameters uncertainties and load variations of the hybrid MG. Thus, Equation (28) is adapted to:
x ˙ ξ ˙ =   A ^ + Δ A ^ x ξ +   B ^ + Δ   B ^ u + D ^ + Δ D ^ w + 0 I r ,   z = C ^ x ξ + B 2 u
where the following norm-bounded model represents the uncertainties:
Δ A ^     M Δ t N ,   Δ t     1 ;   Δ B ^     M B Δ B t N B ,   Δ B t   1 Δ D ^     M D Δ D t N D ,   Δ D t     1
The norm-bounded form can be obtained using the singular value decomposition (decomposing a matrix into the multiplication of three matrices). Finally, Theorem 2 is developed to determine the controller without any trial and error.
Theorem 2.
Assume that the system (29) is controllable  ( A ^ , B ^ ) , and observable  ( A ^ , C ^ ) , under L-bounded exogenous disturbances. Then, the robust disturbance-rejection state feedback plus integral controller  u = K K i x ξ  is obtained by solving:  m i n i m i z e   t r C ^ P ^ C ^ + C ^ Y ^ B 2 + + B 2 Z B 2 , subject to the following constraints:
φ D ^   P ^ N 0 Y ^ N B α I 0 N D 0 ϵ I 0 0 ρ I 0 π I 0 , α , ϵ , ρ , π > 0 Where   φ =   A ^   P ^ +   B ^ Y ^ +   +   α   P ^ + ϵ M M + ρ M D M D + μ M B M B Z Y ^ P ^ 0 ,   P ^ > 0
where Y ^ = K ^ P ^ , K ^ = K K i . The minimization is carried out to the variables  ε , ρ , μ ,   P = P R n + l · n + l ,  Y ^   R p · n + l . Note that this theorem does not impose the matching condition  Δ A ^ Δ B ^ Δ D ^ = M Δ t N N B N D .
Proof. 
For the tracking problem, the matrices in (14) are replaced by the augmented system matrices. Thus, Equation (17) becomes:
A ^ P ^ +   B ^ Y ^   +   + α P ^ D ^ α I     0 , α   > 0
To tackle the load variations in the hybrid MG, A ^   is   substituted   by   A ^ +   Δ A ^ ,   B ^   by   B ^ + Δ B ^ ,   and   D ^   by   D ^ + Δ D ^ in Equation (32), resulting in:
A ^ + Δ A ^ P ^ + B ^ + Δ B ^ Y ^ + + α P ^ D ^ + Δ D ^ α I 0 ,   α > 0
Substituting for the norm-bounded uncertainty Equation (30), one obtains:
A ^ + M Δ N P ^ + B ^ + M B Δ B N B Y ^ + + α P ^ D ^ + M D Δ D N D α I 0 ,   α > 0
Separating the uncertainty terms, we obtain:
A ^ P ^ +   B ^ Y ^   +   + α P ^ D ^ α I + M 0 Δ N P ^ 0 + + M B 0 Δ B N B Y ^ 0 + + M D 0 Δ D 0 N D Y ^ + 0
Using Fact 1 to eliminate Δ A t ,   Δ B t ,   and   Δ D t , (33) is fulfilled if the following matrix equation is satisfied:
A ^   P ^ + B ^ Y ^ + + α P ^ D ^ α I + ϵ M 0 M 0 + ϵ 1 P ^ N 0 P ^ N 0
+ μ M B 0 M B 0 + μ 1 Y ^ N B 0 Y ^ N B 0 + ρ M D 0 M D 0 + ρ 1 0 N D 0 N D 0 , α , ϵ , ρ , μ > 0
Using Fact 2, Theorem 2 is proved. □

3.5. Gain Matrices

Solving the above LMI (31) yields the following gain matrices of the proposed controller.
K = [−905.75, −0.00312130.455490.74613 −0.35706 1623.9
−0.22601−906.7−0.21299−0.22843 0.1109−504.42
116.631.30252819.2 97.073−59.0512.6869 × 105
1096.12.2905879.07 1178.7 −559.742.5753 × 106]
Ki = [−116.8127.98121.1237.791
67.158−306.96−277.58−188.36
−242.35985.24341.2−341.89
35,95215,082−7324.515,313]

4. Simulation Results

The hybrid MG system shown in Figure 3 and Figure 4 was studied, tested, and implemented using Matlab/Simulink Power Library. The ellipsoid tracking control algorithm was assessed with two different sets of the MG parameters provided in Table 4. Table 2 provides further specifications of the proposed MG.
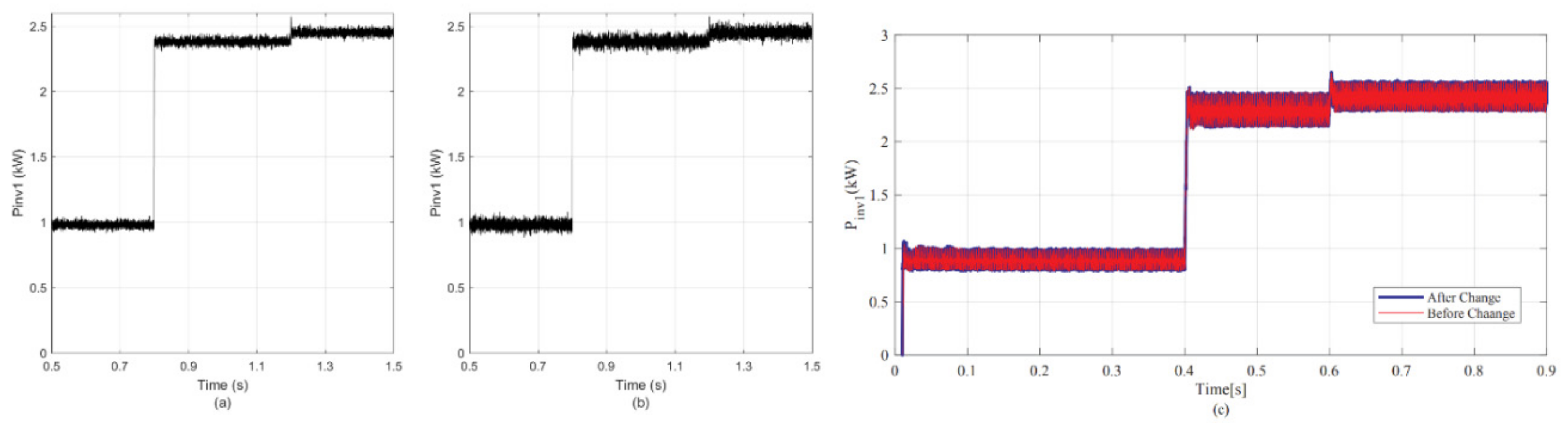
The DGs on the AC MG provide their local load demands. When the CB1 is closed, the load connected to the AC-DG1 (wind turbine system) is changed at t = 0.8 s, increased by 1.25 kW and 1.0 kVAR. Moreover, when the CB2 is closed, the load connected to AC-DG2 (PV inverter 2) is changed at t = 1.2 s, increased by 2.2 kW and 1.5 kVAR. Both cases will happen under two different sets of the MG parameters, as illustrated in Table 4. The proposed control technique was compared with the sliding mode controller used in [19]. The comparison between both techniques is shown in all figures from Figure 6, Figure 7, Figure 8, Figure 9 and Figure 10 and Figures 12–17.
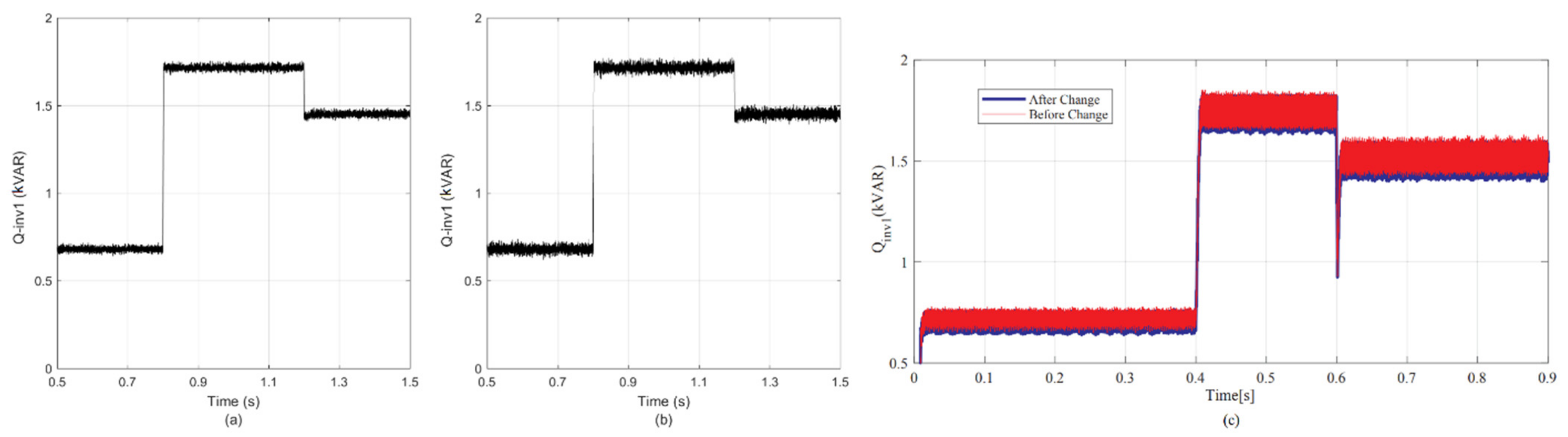
The changes of power (active and reactive) in the AC MG are given in Figure 6 and Figure 7. At t = 0.8 s, changes in active power (Delta P) are shown in Figure 6a and Figure 7a for the first and second parameters sets, respectively. The changes in reactive power (Delta Q) are displayed in Figure 6b and Figure 7b for the first and second parameter sets, respectively. Furthermore, Figure 6c and Figure 7c show the sliding mode technique [19] results for this case. The proposed technique is fast, with low spikes, and has no chattering compared to the sliding mode technique used in [19].
The transient and steady-state responses of the DC, AC-MG state variables, and power-sharing of the hybrid MG using the proposed technique is tested, verified, and compared to the sliding mode technique used in [19] in the following subsections.

4.1. Direct Current (DC) Side State Variables

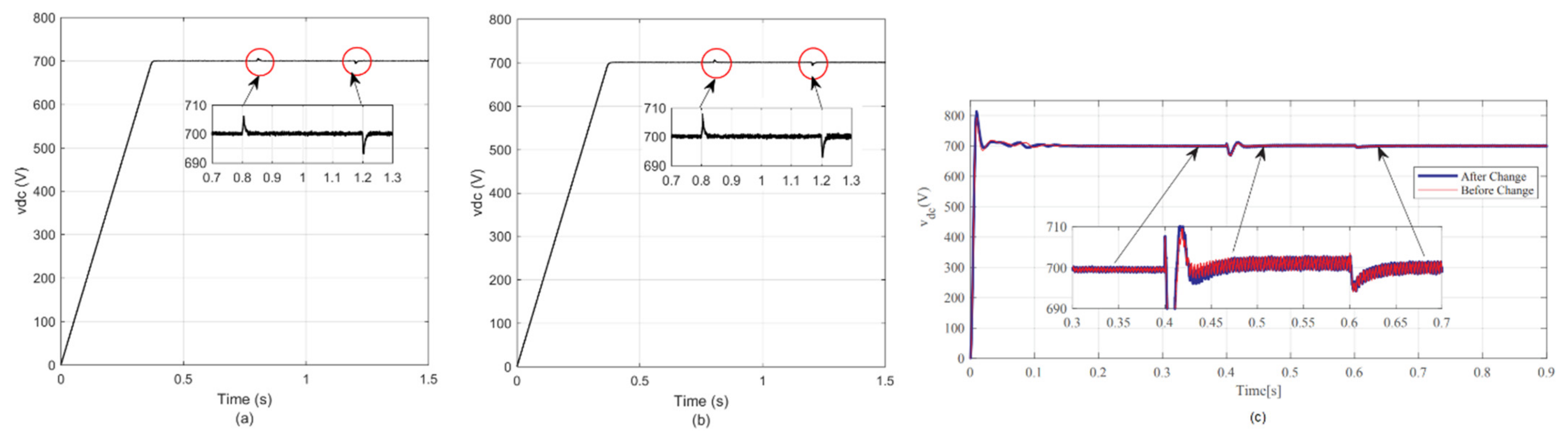
The DC-link voltage of the inter-linking converter is illustrated in Figure 8. In Figure 8a,b, the DC-link as a dc state variable is assessed with the two different sets of the MG parameters (Table 4). The DC-link voltage responses with these two sets of parameters and added loads in the AC side during t = 0.8 s and t = 1.2 s respond perfectly with a difference between the spikes rates that is too small. Therefore, vdc with a stable steady-state and dynamic response is accomplished. Figure 8c shows the DC-link voltage response for the sliding mode control technique [19]. The comparison between both techniques shows that the DC-link voltage response’s proposed technique is a bit slower. Nonetheless, it rejects the load disturbance efficiently without the high chattering in the sliding-mode control technique [19].
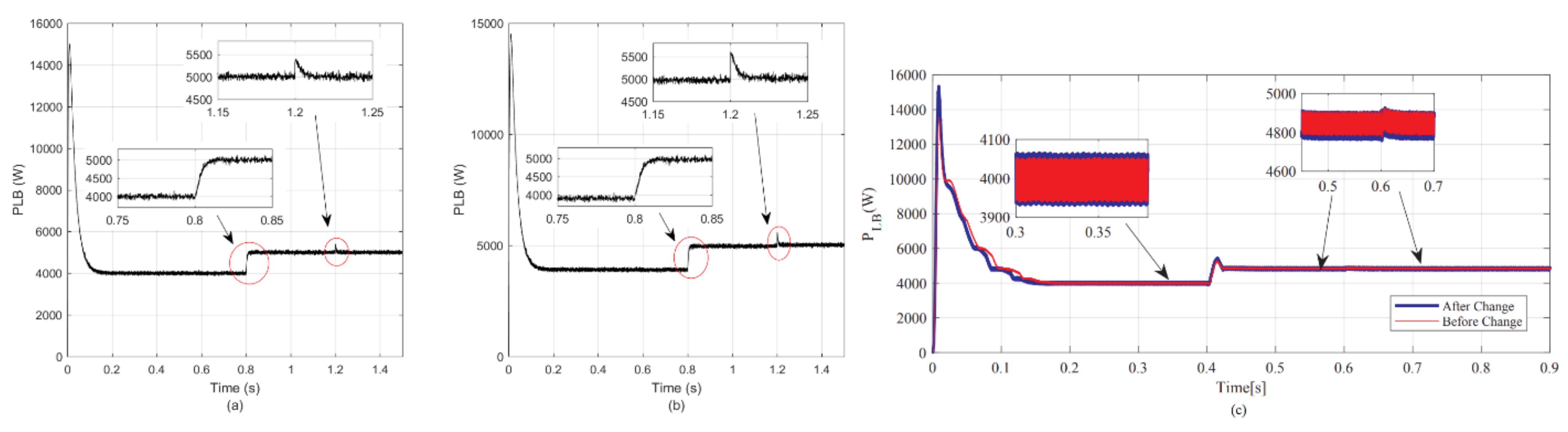
The output power of the DC/DC converter of the DC-DG2 and the bidirectional buck-boost DC/DC converter of the DC-DG2 (LB) are shown in Figure 9 and Figure 10, respectively. Both figures prove that the proposed technique effectively forces both converters to partially generate the power demanded during AC-side load changes.
In Figure 9a,b, the performance of the proposed controller with the two sets of the hybrid MG is depicted, while, in Figure 9c, the performance of the sliding-mode technique used in [19] is illustrated with small fluctuations detected in the output power of DCDG1 when the second set of parameters is applied. In Figure 10a,b, the proposed controller in the DCDG1 (LB) within the two sets of the hybrid MG is operated successfully with a dead-beat response. In Figure 10c, the sliding-mode technique used in [19] run with more significant overshoot and sluggish transient response with the second parameter’s set.
Remark 3.
The significant reduction of chattering (high-frequency signal resulting from the inverters switching) using the proposed design compared with [19] is due to utilizing the integral control in the outer loop. The swiftness and external disturbance attenuation of the proposed control is due to minimizing the ellipsoid’s volume.

4.2. Utility Grid State Variables

To test the proposed controller’s robustness, we have to evaluate all utility grid state variables’ responses. It is recommended to attain a unity-power factor in the utility grid. Figure 11 shows that the a-phase voltage and current are in phase. Both waveforms are sinusoidal, specifying that the power factor between the voltage and current in phase a is approximately unity. In Figure 12 and Figure 13, the utility grid frequency and magnitude of a-phase voltage under two sets of the hybrid MG system are obtained. The proposed control technique is shown in Figure 12a,b and Figure 13a,b can accurately enforce the inter-linking DC/AC power converter to preserve both grid voltage magnitude and frequency stability with an acceptable transient response. In Figure 13c and Figure 14c, the sliding-mode technique is used in [19]. The grid voltages in Figure 13c approach their desired values with more steady and dynamic errors, but they are within an acceptable range for the second set of parameters.

4.3. Power-Sharing between Converters

The inter-linking DC/AC converter must deliver a share of load power and the AC side’s uncompensated power, as demonstrated in Figure 14 and Figure 15. Based on these figures, the inter-linking DC/AC converter’s power can successfully track its desired value with less steady-state error and a swift dynamic for both sets of hybrid MGs parameters given in Table 4. Figure 14c and Figure 15c show the inter-linking DC/AC converter power-sharing of grid-connected load power for the sliding-mode technique used in [19]. The proposed technique is faster, with a dead-beat response and less chattering.
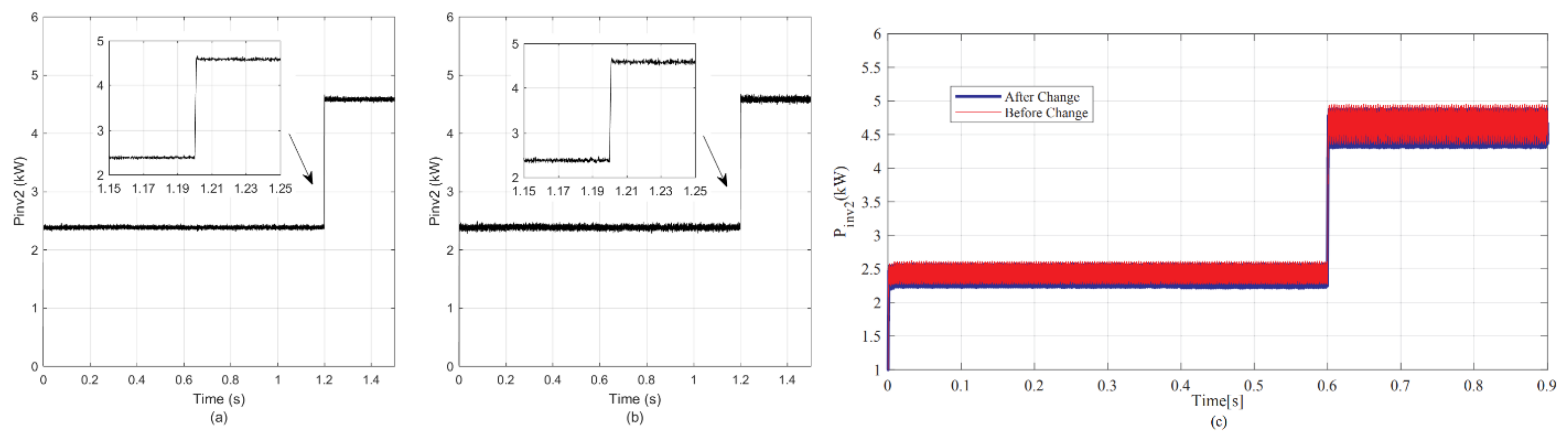
In the AC MG, the PV-inverter 1 is endorsed to provide the active and reactive power necessary for its associated local loads increased at t = 1.2 s. In Figure 16a,b and Figure 17a,b, the proposed control technique can afford stable responses for both the active and reactive power of PV-inverter 2 under both load and parameter changes. While in Figure 16c and Figure 17c, the active and reactive power of PV-inverter 2 with the sliding-mode control used in [19] are shown. The proposed technique is faster, with a dead-beat response and less chattering.
Note that the proposed controller based on the linearized model is tested on the original non-linear system in the above simulation. The proposed design is based on satisfying a set of LMIs. It guarantees the stability and disturbance rejection of the linearized model. The stability of the original non-linear system is also guaranteed according to the Lyapunov theorem. This states that the performance of both the linearized and the original non-linear system is the same (both stable or unstable) provided that the linearized model has no eigenvalues on the imaginary axis.

5. Conclusions

The paper has introduced a robust and disturbance-rejection control for hybrid MGs. The hybrid MG model is obtained and linearized. The proposed state feedback plus integral control is based on a novel sufficient condition in terms of LMIs. The design exploited the invariant ellipsoidal set. The MG model is simulated using Matlab/Simulink for different operational scenarios to verify the proposed controller’s validity. All the results are compared with a recent controller for the same model in the literature. The results confirm that the proposed algorithm, although it has a marginally slower response to the DC-link voltage, is superior in disturbance rejection, power-sharing, and power-factor correction.

Author Contributions

Investigation, Validation, and original draft, H.A.; Methodology, Software, Visualization, Writing, review and editing E.H.E.B.; Methodology, Supervision, Validation, Writing review and editing, H.M.S.; Reviewing and editing, M.D.S. All authors have read and agreed to the published version of the manuscript.

Funding

This research received no external funding.

Conflicts of Interest

The authors declare no conflict of interest.

Nomenclature

Symbol(s)Interpretation
(.)′transpose of a matrix or a vector
*, in matrixsymmetric part of the matrix. For instance, the block M + N + * represents the block M + N + M’ + N’.
0zero matrix
Cd1output capacitance of DC-DG1
Cd2output capacitance of DC-DG2
Cdc2dc-link capacitance of DC-DG2
Cssource capacitance of DC-DG1
DC-DG1 and DC-DG2dc-side distributed generators
En-dimensional ellipsoid
Iidentity matrix
ia, ib, and icinstantaneous values of the utility grid current
id and iqd-and the q-components of the grid current
iL1 and iL2inductor current of DC-DG1 and DC-DG2, respectively
Kstate-feedback gain matrix
Kiintegral gain matrix
L1 and L2inductances of DC-DG1 and DC-DG2, respectively
P > 0 or P < 0symmetric positive definite or negative definite matrix
Rac and Lacresistance and inductance of the ac-side linking filters
mset of vectors of dimensions m × 1
rxqset of real matrices of dimensions r × q
u1 and u2switching functions of DC-DG1 and DC-DG2
ua, ub, and ucmodulation indices for three-phase a, b, and c, respectively
ud and uqd-and the q-components of the modulation index
V(x)Lyapunov function
va, vb, and vcinstantaneous values of the utility grid voltages
vdcdc-side voltage
va, vb, and vcinstantaneous values of the utility grid voltage
vd and vqd-and the q-components of the grid voltage
vpvoutput voltage of PV plant
vpvbatoutput voltage of PV plant lithium-ion battery
ωfrequency of the utility grid in rad/s
wdisturbance vector
xstate vector
youtput vector
zaccessed/measured states
α, ϵ, and ρscalars

References

  1. Hossain, M.A.; Pota, H.R.; Hossain, M.J.; Blaabjerg, F. Evolution of microgrids with converter-interfaced generations: Challenges and opportunities. Int. J. Electr. Power Energy Syst. 2019, 109, 160–186. [Google Scholar] [CrossRef]
  2. Akinyele, D.; Belikov, J.; Levron, Y. Challenges of microgrids in remote communities: A STEEP model application. Energies 2018, 11, 432. [Google Scholar] [CrossRef] [Green Version]
  3. Wang, C.; Mi, Y.; Fu, Y.; Wang, P. Frequency control of an isolated micro-grid using double sliding mode controllers and disturbance observer. IEEE Trans. Smart Grid 2018, 9, 923–930. [Google Scholar] [CrossRef]
  4. Baloch, S.; Muhammad, M.S. An Intelligent Data Mining-Based Fault Detection and Classification Strategy for Microgrid. IEEE Access 2021, 9, 22470–22479. [Google Scholar] [CrossRef]
  5. Deshmukh, R.R.; Ballal, M.S.; Suryawanshi, H.M. A Fuzzy Logic Based Supervisory Control for Power Management in Multibus DC Microgrid. IEEE Trans. Ind. Appl. 2020, 56, 6174–6185. [Google Scholar] [CrossRef]
  6. Samuel, O.; Javaid, N.; Khalid, A.; Khan, W.Z.; Aalsalem, M.Y.; Afzal, M.K.; Kim, B.S. Towards Real-Time Energy Management of Multi-Microgrid Using a Deep Convolution Neural Network and Cooperative Game Approach. IEEE Access 2020, 8, 161377–161395. [Google Scholar] [CrossRef]
  7. Ustun, T.S.; Ozansoy, C.; Zayegh, A. Recent developments in microgrids and example cases around the world-A review. Renew. Sustain. Energy Rev. 2011, 15, 4030–4041. [Google Scholar] [CrossRef]
  8. Ullah, S.; Haidar, A.M.A.; Zen, H. Assessment of technical and financial benefits of AC and DC microgrids based on solar photovoltaic. Electr. Eng. 2020, 102, 1297–1310. [Google Scholar] [CrossRef]
  9. Aljohani, T.M.; Ebrahim, A.F.; Mohammed, O. Hybrid microgrid energy management and control based on metaheuristic-driven vector-decoupled algorithm considering intermittent renewable sources and electric vehicles charging lot. Energies 2020, 13, 3423. [Google Scholar] [CrossRef]
  10. Alhasnawi, B.N.; Jasim, B.H.; Esteban, M.D. A new robust energy management and control strategy for a hybrid microgrid system based on green energy. Sustainability 2020, 12, 5724. [Google Scholar] [CrossRef]
  11. Hidalgo-Rodriguez, D.I.; Myrzik, J. Optimal operation of interconnected home-microgrids with flexible thermal loads: A comparison of decentralized, centralized, and hierarchical-distributed model predictive control. In Proceedings of the 20th Power Systems Computation Conference, PSCC, Dublin, Ireland, 11–15 June 2018; Institute of Electrical and Electronics Engineers Inc.: Piscataway, NJ, USA, 2018. [Google Scholar]
  12. Wang, G.; Wang, X.; Wang, F.; Han, Z. Research on hierarchical control strategy of AC/DC hybrid microgrid based on power coordination control. Appl. Sci. 2020, 10, 7603. [Google Scholar] [CrossRef]
  13. Sedhom, B.E.; El-Saadawi, M.M.; Elhosseini, M.A.; Saeed, M.A.; Abd-Raboh, E.E. A harmony search-based H-infinity control method for islanded microgrid. ISA Trans. 2020, 99, 252–269. [Google Scholar] [CrossRef]
  14. Das, D.; Gurrala, G.; Jayachandra Shenoy, U. Linear quadratic regulator-based bumpless transfer in microgrids. IEEE Trans. Smart Grid 2018, 9, 416–425. [Google Scholar] [CrossRef]
  15. Zhang, D.; Wang, J. Adaptive Sliding-Mode Control in Bus Voltage for an Islanded DC Microgrid. Math. Probl. Eng. 2017, 2017, 8962086. [Google Scholar] [CrossRef] [Green Version]
  16. Long, B.; Liao, Y.; Chong, K.T.; Rodriguez, J.; Guerrero, J.M. MPC-Controlled Virtual Synchronous Generator to Enhance Frequency and Voltage Dynamic Performance in Islanded Microgrids. IEEE Trans. Smart Grid 2020, 12, 953–964. [Google Scholar] [CrossRef]
  17. Asghar, F.; Talha, M.; Kim, S.H. Robust frequency and voltage stability control strategy for standalone AC/DC hybrid microgrid. Energies 2017, 10, 760. [Google Scholar] [CrossRef] [Green Version]
  18. Krishnan, A.R.; Vijaya Chandrakala, K.R.M. Genetic algorithm tuned load frequency controller for hydro plant integrated with AC microgrid. In Proceedings of the 2019 International Conference on Intelligent Computing and Control Systems, ICCS, Secunderabad, India, 27–28 June 2019; Institute of Electrical and Electronics Engineers Inc.: Piscataway, NJ, USA, 2019; pp. 491–494. [Google Scholar]
  19. Amirkhan, S.; Radmehr, M.; Rezanejad, M.; Khormali, S. A robust control technique for stable operation of a DC/AC hybrid microgrid under parameters and loads variations. Int. J. Electr. Power Energy Syst. 2020, 117, 105659. [Google Scholar] [CrossRef]
  20. Tabatabaei, S.H.; Najafi, H.; Eliasi, H.; Jalilian, A. Presenting a new structure for interlinking converter in hybrid AC-DC microgrids to improve voltage quality. Res. Artic. J. Energy Manag. Technol. 2020, 4, 1. [Google Scholar] [CrossRef]
  21. Fang, F.; Li, Y.W.; Li, X. High Performance Unified Control for Interlinking Converter in Hybrid AC/DC Microgrid. In Proceedings of the 2018 IEEE Energy Conversion Congress and Exposition, ECCE, Portland, OR, USA, 23–27 September 2018; Institute of Electrical and Electronics Engineers Inc.: Piscataway, NJ, USA, 2018; pp. 3784–3791. [Google Scholar]
  22. Poznyak, A.; Polyakov, A.; Azhmyakov, V. Attractive Ellipsoids in Robust Control; Systems & Control: Foundations & Applications; Springer International Publishing: Berlin/Heidelberg, Germany, 2014; ISBN 978-3-319-09209-6. [Google Scholar]
  23. Soliman, H.M.; Al-Hinai, A. Robust automatic generation control with saturated input using the ellipsoid method. Int. Trans. Electr. Energy Syst. 2018, 28, 2483. [Google Scholar] [CrossRef]
  24. Soliman, H.M.; Saleem, A. Ellipsoidal design of robust tracking controller for large-stroke piezoelectric actuators. Smart Mater. Struct. 2020, 29, 075031. [Google Scholar] [CrossRef]
  25. Soliman, H.M.; El-Metwally, K.; Soliman, M. Invariant Sets in Saturated and Robust Vehicle Suspension Control. Arab. J. Sci. Eng. 2020, 45, 7055–7064. [Google Scholar] [CrossRef]
  26. Bayoumi, E.; Soliman, M.; Soliman, H.M. Disturbance-rejection voltage control of an isolated microgrid by invariant sets. IET Renew. Power Gener. 2020, 14, 2331–2339. [Google Scholar] [CrossRef]
  27. Soliman, H.M.; Bayoumi, E.; Al-Hinai, A.; Soliman, M. Robust decentralized tracking voltage control for islanded microgrids by invariant ellipsoids. Energies 2020, 13, 5756. [Google Scholar] [CrossRef]
  28. Nazin, S.A.; Polyak, B.T.; Topunov, M.V. Rejection of bounded exogenous disturbances by the method of invariant ellipsoids. Autom. Remote Control 2007, 68, 467–486. [Google Scholar] [CrossRef]
Figure 1. Layouts of alternating current (AC) microgrid (MG) (a) and direct current (DC) MG (b).
Figure 1. Layouts of alternating current (AC) microgrid (MG) (a) and direct current (DC) MG (b).
Electronics 10 01794 g001
Figure 2. Layouts of hybrid MG.
Figure 2. Layouts of hybrid MG.
Electronics 10 01794 g002
Figure 3. The layout of modelled hybrid MG.
Figure 3. The layout of modelled hybrid MG.
Electronics 10 01794 g003
Figure 4. Details of hybrid MG.
Figure 4. Details of hybrid MG.
Electronics 10 01794 g004
Figure 5. Block diagram of the control system.
Figure 5. Block diagram of the control system.
Electronics 10 01794 g005
Figure 6. Variation of the active power of AC-MG compensated by inverter 2, (a) with the first set of MG parameters, (b) with the second set of MG parameters, and (c) with two various sets of MG parameters in reference [19].
Figure 6. Variation of the active power of AC-MG compensated by inverter 2, (a) with the first set of MG parameters, (b) with the second set of MG parameters, and (c) with two various sets of MG parameters in reference [19].
Electronics 10 01794 g006
Figure 7. Variation of reactive power of AC-MG compensated by inverter 2, (a) with the first set of MG parameters, (b) with the second set of MG parameters, and (c) with two different sets of hybrid MG parameters in reference [19].
Figure 7. Variation of reactive power of AC-MG compensated by inverter 2, (a) with the first set of MG parameters, (b) with the second set of MG parameters, and (c) with two different sets of hybrid MG parameters in reference [19].
Electronics 10 01794 g007
Figure 8. The DC-link voltage under two different sets of hybrid MG parameters, (a) under the first set, (b) under the second set, (c) under two different sets of MG parameters in ref [19].
Figure 8. The DC-link voltage under two different sets of hybrid MG parameters, (a) under the first set, (b) under the second set, (c) under two different sets of MG parameters in ref [19].
Electronics 10 01794 g008
Figure 9. Injected power by DG-DC1 (PV1) with two different sets of MG parameters, (a) with the first set, (b) under the second set, (c) with two different sets of MG parameters in ref [19].
Figure 9. Injected power by DG-DC1 (PV1) with two different sets of MG parameters, (a) with the first set, (b) under the second set, (c) with two different sets of MG parameters in ref [19].
Electronics 10 01794 g009
Figure 10. Injected power by DGDC2 (lithium battery) with two different parameter sets of MG, (a) with the first set, (b) with the second set, (c) under two different sets of MG parameters in ref [19].
Figure 10. Injected power by DGDC2 (lithium battery) with two different parameter sets of MG, (a) with the first set, (b) with the second set, (c) under two different sets of MG parameters in ref [19].
Electronics 10 01794 g010
Figure 11. The utility grid voltage and current in phase a.
Figure 11. The utility grid voltage and current in phase a.
Electronics 10 01794 g011
Figure 12. Frequency of grid with two different sets of MG parameters, (a) under the first set, (b) under the second set, (c) under two different sets of MG parameters in reference [19].
Figure 12. Frequency of grid with two different sets of MG parameters, (a) under the first set, (b) under the second set, (c) under two different sets of MG parameters in reference [19].
Electronics 10 01794 g012
Figure 13. The grid voltage magnitudes under two different sets of MG parameters, (a) phase a voltage magnitude under the first set, (b) phase a voltage magnitude under the second set, (c) three-phase voltage magnitudes under two different sets of MG parameters in ref [19].
Figure 13. The grid voltage magnitudes under two different sets of MG parameters, (a) phase a voltage magnitude under the first set, (b) phase a voltage magnitude under the second set, (c) three-phase voltage magnitudes under two different sets of MG parameters in ref [19].
Electronics 10 01794 g013
Figure 14. Active power of inter-linking inverter (inv1) under two different sets of MG parameters, (a) under first set, (b) under the second set, (c) under two different sets of MG parameters in reference [19].
Figure 14. Active power of inter-linking inverter (inv1) under two different sets of MG parameters, (a) under first set, (b) under the second set, (c) under two different sets of MG parameters in reference [19].
Electronics 10 01794 g014
Figure 15. Reactive power of inter-linking inverter (inv1) under two different sets of MG parameters, (a) under first set, (b) under the second set, (c) under two different sets of MG parameters in reference [19].
Figure 15. Reactive power of inter-linking inverter (inv1) under two different sets of MG parameters, (a) under first set, (b) under the second set, (c) under two different sets of MG parameters in reference [19].
Electronics 10 01794 g015
Figure 16. Active power of ACDG1 inverter (inv2) under two different sets of MG parameters, (a) under first set, (b) under the second set, (c) under two different sets of MG parameters in reference [19].
Figure 16. Active power of ACDG1 inverter (inv2) under two different sets of MG parameters, (a) under first set, (b) under the second set, (c) under two different sets of MG parameters in reference [19].
Electronics 10 01794 g016
Figure 17. Reactive power of ACDG1 inverter (inv2) under two different sets of MG parameters, (a) under first set, (b) under the second set, (c) under two different sets of MG parameters in reference [19].
Figure 17. Reactive power of ACDG1 inverter (inv2) under two different sets of MG parameters, (a) under first set, (b) under the second set, (c) under two different sets of MG parameters in reference [19].
Electronics 10 01794 g017
Table 1. Hybrid MG parameters [19].
Table 1. Hybrid MG parameters [19].
ParameterSymbolValueUnit
AC-side ResistanceRac0.30Ω
AC-side InductanceLac3.0mH
Input Capacitance of DC-DG1Cs110.0μF
DC-side Capacitance of DC-DG1Cdc60.0μF
Inductance of DC-DG1L18.0mH
Inductance of DC-DG2L28.0mH
Table 2. Hybrid MG nominal values [19].
Table 2. Hybrid MG nominal values [19].
VariableSymbolValueUnit
Fundamental Frequencyω100πrad/s
AC-side VoltageVa220.0V
DC voltage of DC-DG1 and DC-DG2 Vpv,Vbat600.0V
DC-link VoltageVdc700.0V
Battery Capacity, DC-DG2Cbat22.0Ah
AC-side Active PowerPac12.0kW
AC-side Reactive PowerQac10.0kVAr
MPPT PV powerPpv4.50kW
Switching Frequencyfsw10.0kHz
Table 3. Operating point: solution of Equation (13).
Table 3. Operating point: solution of Equation (13).
VariableValue
Iq−6.7239 A
Idc5.3584 A
Ud0.3311
Uq0.0216
U10.1429
U20.8571
IL16.0775 A
IL219.3244 A
Vdc700.0219 V
Table 4. Two different sets of MG parameters.
Table 4. Two different sets of MG parameters.
ParameterFirst SetSecond Set
AC-side Resistance (Rac)100%115%
AC-side Inductance (Lac)100%90%
Input Capacitance of DC-DG1 (Cs) 100%85%
DC-side Equivalent Capacitance of DC-DG1 (Cdc) 100%110%
Inductance of DC-DG1 (L1)100%85%
Inductance of DC-DG2 (L2)100%85%
Publisher’s Note: MDPI stays neutral with regard to jurisdictional claims in published maps and institutional affiliations.

Share and Cite

MDPI and ACS Style

Awad, H.; Bayoumi, E.H.E.; Soliman, H.M.; De Santis, M. Robust Tracker of Hybrid Microgrids by the Invariant-Ellipsoid Set. Electronics 2021, 10, 1794. https://doi.org/10.3390/electronics10151794

AMA Style

Awad H, Bayoumi EHE, Soliman HM, De Santis M. Robust Tracker of Hybrid Microgrids by the Invariant-Ellipsoid Set. Electronics. 2021; 10(15):1794. https://doi.org/10.3390/electronics10151794

Chicago/Turabian Style

Awad, Hilmy, Ehab H. E. Bayoumi, Hisham M. Soliman, and Michele De Santis. 2021. "Robust Tracker of Hybrid Microgrids by the Invariant-Ellipsoid Set" Electronics 10, no. 15: 1794. https://doi.org/10.3390/electronics10151794

APA Style

Awad, H., Bayoumi, E. H. E., Soliman, H. M., & De Santis, M. (2021). Robust Tracker of Hybrid Microgrids by the Invariant-Ellipsoid Set. Electronics, 10(15), 1794. https://doi.org/10.3390/electronics10151794

Note that from the first issue of 2016, this journal uses article numbers instead of page numbers. See further details here.

Article Metrics

Back to TopTop