Multidimensional CNN-LSTM Network for Automatic Modulation Classification
Abstract
:1. Introduction
- (1)
- To the best of our knowledge, this is the first time a multidimensional CNN (MD-CNN) module is proposed to exploit the relationship between individual and interactive features for feature compensation.
- (2)
- A hierarchical multifeature fusion (HMF) scheme is proposed for enhanced feature diversity, where IQ componets and the biquadrate higher order statistics are utilized as two parallel branches of input, and MD-CNN outputs are fed into an LSTM layer for further exploitation of temporal characteristics.
- (3)
- The effectiveness of the proposed method is verified by an abundant series of experiments, including discussions about hyperparameter configuration, enhanced feature diversity, and performance comparison with different classifiers and varieties. Better performance compared with sate-of-the-art works is presented.
2. Related Work
2.1. Signal Model
2.2. Higher Order Statistics
2.3. Deep Network in AMC
3. The Proposed Method
3.1. Multidimensional CNN Module for Feature Compensation
3.2. The Proposed Hierarchical Multifeature Fusion Scheme
3.3. Classifier
4. Experiments and Result Analysis
4.1. Datasets and Experimental Settings
4.1.1. Datasets
4.1.2. Training and Testing Settings
4.2. Hyperparameter Configuration
4.3. Enhanced Feature Presentation of HMF
4.3.1. Feature Compensations Between Two Streams in MD-CNN
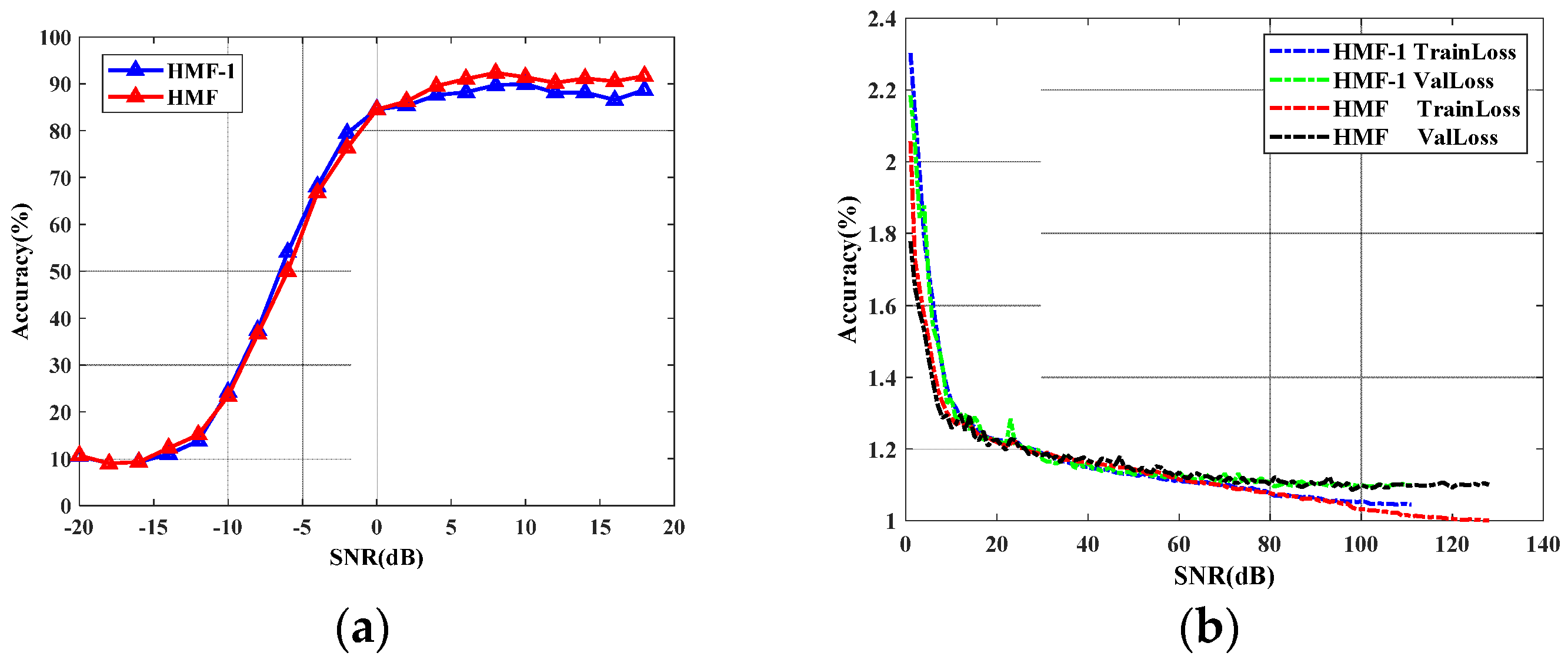
4.3.2. Performance Comparison of Variants of HMF
4.4. Comparison With Different Classifiers
4.5. Comparison With State-of-the-Art Results
5. Conclusions
Author Contributions
Funding
Data Availability Statement
Conflicts of Interest
References
- Dobre, O.A.; Abdi, A.; Bar-Ness, Y.; Su, W. Survey of automatic modulation classification techniques: Classical approaches and new trends. IET Commun. 2007, 1. [Google Scholar] [CrossRef] [Green Version]
- Wen, W.; Mendel, J.M. Maximum-likelihood classification for digital amplitude-phase modulations. IEEE Trans. Commun. 2000, 48, 189–193. [Google Scholar] [CrossRef]
- Panagiotou, P.; Anastasopoulos, A.; Polydoros, A. Likelihood ratio tests for modulation classification. In Proceedings of the Military Communications Conference, Los Angeles, CA, USA, 22–25 October 2000; Volume 2, pp. 670–674. [Google Scholar]
- Hameed, F.; Dobre, O.; Popescu, D. On the likelihood-based approach to modulation classification. IEEE Trans. Wirel. Commun. 2009, 8, 5884–5892. [Google Scholar] [CrossRef]
- Xie, L.; Wan, Q. Cyclic Feature-Based Modulation Recognition Using Compressive Sensing. IEEE Wirel. Commun. Lett. 2017, 6, 402–405. [Google Scholar] [CrossRef]
- Han, L.; Gao, F.; Li, Z.; Han, L.; Gao, F.; Li, Z.; Dobre, O.A. Low Complexity Automatic Modulation Classification Based on Order-Statistics. IEEE Trans. Wirel Commun. 2017, 16, 400–411. [Google Scholar] [CrossRef]
- Huang, S.; Yao, Y.; Wei, Z.; Feng, Z.; Zhang, P. Automatic Modulation Classification of Overlapped Sources Using Multiple Cumulants. IEEE Trans. Veh. Technol. 2017, 66, 6089–6101. [Google Scholar] [CrossRef]
- Swami, A.; Sadler, B.M. Hierarchical Digital Modulation Classification Using Cumulants. IEEE Trans. Commun. 2000, 48, 416–429. [Google Scholar] [CrossRef]
- Boutte, D.; Santhanam, B. A Hybrid ICA-SVM Approach to Continuous Phase Modulation Recognition. IEEE Signal. Process. Lett. 2009, 16, 402–405. [Google Scholar] [CrossRef]
- LeCun, Y.; Bengio, Y.; Hinton, G. Deep learning. Nature 2015, 521, 436–444. [Google Scholar] [CrossRef]
- He, K.; Zhang, X.; Ren, S.; Sun, J. Deep Residual Learning for Image Recognition. In Proceedings of the 2016 IEEE Conference on Computer Vision and Pattern Recognition (CVPR), Las Vegas, NV, USA, 27–30 June 2016; pp. 770–778. [Google Scholar]
- Voulodimos, A.; Doulamis, N.; Doulamis, A.; Protopapadakis, E. Deep Learning for Computer Vision: A Brief Review. Comput. Intell. Neurosci. 2018, 2018, 7068349. [Google Scholar] [CrossRef] [PubMed]
- Eliasmith, Y.T.C. Deep networks for robust visual recognition. In Proceedings of the International Conference on International Conference on Machine Learning, Haifa, Israel, 21–24 June 2010; pp. 1055–1062. [Google Scholar]
- Young, T.; Hazarika, D.; Poria, S.; Cambria, E. Recent Trends in Deep Learning Based Natural Language Processing [Review Article]. IEEE Comput. Intell. Mag. 2018, 13, 55–75. [Google Scholar] [CrossRef]
- Hinton, G.; Deng, L.; Yu, D.; Dahl, G.; Mohamed, A.-R.; Jaitly, N.; Senior, A.; Vanhoucke, V.; Nguyen, P.; Sainath, T.; et al. Deep Neural Networks for Acoustic Modeling in Speech Recognition: The Shared Views of Four Research Groups. IEEE Signal. Process. Mag. 2012, 29, 82–97. [Google Scholar] [CrossRef]
- Dahl, G.E.; Dong, Y.; Li, D.; Acero, A. Context-Dependent Pre-Trained Deep Neural Networks for Large-Vocabulary Speech Recognition. IEEE Trans. Audio, Speech, Lang. Process. 2012, 20, 30–42. [Google Scholar] [CrossRef] [Green Version]
- O’Shea, T.J.; Corgan, J.; Clancy, T.C. Convolutional Radio Modulation Recognition Networks. In Proceedings of the International Conference on Engineering Applications of Neural Networks; Springer: Cham, Switzerland, 2016. [Google Scholar]
- O’Shea, T.; Hoydis, J. An Introduction to Deep Learning for the Physical Layer. IEEE Trans. Cogn. Commun. Netw. 2017, 3, 563–575. [Google Scholar] [CrossRef] [Green Version]
- West, N.E.; O’Shea, T. Deep architectures for modulation recognition. In Proceedings of the 2017 IEEE International Symposium on Dynamic Spectrum Access Networks (DySPAN), Baltimore, MD, USA, 6–9 March 2017; pp. 1–6. [Google Scholar]
- O’Shea, T.J.; Roy, T.; Clancy, T.C. Over-the-Air Deep Learning Based Radio Signal Classification. IEEE J. Sel. Top. Signal. Process. 2018, 12, 168–179. [Google Scholar] [CrossRef] [Green Version]
- Liu, Y.; Liu, Y.; Yang, C. Modulation Recognition With Graph Convolutional Network. IEEE Wirel. Commun. Lett. 2020, 9, 624–627. [Google Scholar] [CrossRef]
- Zhang, Z.; Luo, H.; Wang, C.; Gan, C.; Xiang, Y. Automatic Modulation Classification Using CNN-LSTM Based Dual-Stream Structure. IEEE Trans. Veh. Technol. 2020, 69, 13521–13531. [Google Scholar] [CrossRef]
- Zhang, M.; Zeng, Y.; Han, Z.; Gong, Y. Automatic Modulation Recognition Using Deep Learning Architectures. In Proceedings of the 2018 IEEE 19th International Workshop on Signal Processing Advances in Wireless Communications (SPAWC), Kalamata, Greece, 25–28 June 2018; pp. 1–5. [Google Scholar]
- Krzyston, J.; Bhattacharjea, R.; Stark, A. Complex-Valued Convolutions for Modulation Recognition using Deep Learning. In Proceedings of the 2020 IEEE International Conference on Communications Workshops (ICC Workshops), Dubin, Ireland, 7–11 June 2020; pp. 1–6. [Google Scholar]
- Teng, C.-F.; Chou, C.-Y.; Chen, C.-H.; Wu, A.-Y. Accumulated Polar Feature-Based Deep Learning for Efficient and Lightweight Automatic Modulation Classification With Channel Compensation Mechanism. IEEE Trans. Veh. Technol. 2020, 69, 15472–15485. [Google Scholar] [CrossRef]
- Liao, F.; Wei, S.; Zou, S. Deep Learning Methods in Communication Systems: A Review. J. Phys. Conf. Ser. 2020, 1617. [Google Scholar] [CrossRef]
- Zhang, J.; Cabric, D.; Wang, F.; Zhong, Z. Cooperative Modulation Classification for Multipath Fading Channels via Expectation-Maximization. IEEE Trans. Wirel. Commun. 2017, 16, 6698–6711. [Google Scholar] [CrossRef]
- Zeng, Y.; Zhang, M.; Han, F.; Gong, Y.; Zhang, J. Spectrum Analysis and Convolutional Neural Network for Automatic Modulation Recognition. IEEE Wirel. Commun. Lett. 2019, 8, 929–932. [Google Scholar] [CrossRef]
- Liu, M.; Liao, G.; Zhao, N.; Song, H.; Gong, F. Data-Driven Deep Learning for Signal Classification in Industrial Cognitive Radio Networks. IEEE Trans. Ind. Inform. 2021, 17, 3412–3421. [Google Scholar] [CrossRef]
- Peng, S.; Jiang, H.; Wang, H.; Alwageed, H.; Zhou, Y.; Sebdani, M.M.; Yao, Y.D. Modulation Classification Based on Signal Constellation Diagrams and Deep Learning. IEEE Trans. Neural. Netw. Learn. Syst. 2019, 30, 718–727. [Google Scholar] [CrossRef]
- Huang, S.; Jiang, Y.; Gao, Y.; Feng, Z.; Zhang, P. Automatic Modulation Classification Using Contrastive Fully Convolutional Network. IEEE Wirel. Commun. Lett. 2019, 8, 1044–1047. [Google Scholar] [CrossRef]
- Kumar, Y.; Sheoran, M.; Jajoo, G.; Yadav, S.K. Automatic Modulation Classification Based on Constellation Density Using Deep Learning. IEEE Commun. Lett. 2020, 24, 1275–1278. [Google Scholar]
- Wang, Y.; Liu, M.; Yang, J.; Gui, G. Data-Driven Deep Learning for Automatic Modulation Recognition in Cognitive Radios. IEEE Trans. Veh. Technol. 2019, 68, 4074–4077. [Google Scholar] [CrossRef]
- Wang, Q.; Du, P.; Yang, J.; Wang, G.; Lei, J.; Hou, C. Transferred deep learning based waveform recognition for cognitive passive radar. Signal. Process. 2019, 155, 259–267. [Google Scholar] [CrossRef]
- Bu, K.; He, Y.; Jing, X.; Han, J. Adversarial Transfer Learning for Deep Learning Based Automatic Modulation Classification. IEEE Signal. Process. Lett. 2020, 27, 880–884. [Google Scholar] [CrossRef]
- Xu, Y.; Li, D.; Wang, Z.; Guo, Q.; Xiang, W. A deep learning method based on convolutional neural network for automatic modulation classification of wireless signals. Wirel. Netw. 2018, 25, 3735–3746. [Google Scholar] [CrossRef]
- Reichert, J. Automatic classification of communication signals using higher order statistics. In Proceedings of the [Proceedings] ICASSP-92: 1992 IEEE International Conference on Acoustics, Speech, and Signal Processing, San Francisco, CA, USA, 23–26 March 1992; Volume 5, pp. 221–224. [Google Scholar]
- Xie, L. Research on Communication Signal Modulation Recognition Based on Compressive Sensing. Ph.D. Dissertation, School of Information and Communication Engineering, Chengdu, China, 2018. [Google Scholar]
- Nie, J.; Zhang, Y.; He, Z.; Chen, S.; Gong, S.; Zhang, W. Deep Hierarchical Network for Automatic Modulation Classification. IEEE Access 2019, 7, 94604–94613. [Google Scholar] [CrossRef]
- Ma, H.; Xu, G.; Meng, H.; Wang, M.; Yang, S.; Wu, R.; Wang, W. Cross Model Deep Learning Scheme for Automatic Modulation Classification. IEEE Access 2020, 8, 78923–78931. [Google Scholar] [CrossRef]
- Martin, K.W. Complex Signal Processing is Not Complex. IEEE Trans. Circuits Syst. I Regul. Pap. 2004, 51, 1823–1836. [Google Scholar] [CrossRef]
- O’Shea, T.J.; West, N. Radio machine learning dataset generation with GNU radio. In Proceedings of the GNU Radio Conference, Boulder, CO, USA, 12–16 September 2016; Volume 1. [Google Scholar]
- Ba, D.P.K.A.J. Adam: A Method Forstochastic optimization. In Proceedings of the International Conference for Learning Representations, San Diego, CA, USA, 7–9 May 2015. [Google Scholar]
- Chang, C.C.; Lin, J. Libsvm: A Library for Support Vector Machines. Acm Trans. Intell. Syst. Technol. 2011, 2, 1–27. [Google Scholar] [CrossRef]












| Networks | No. of Learnt Parameters | Training Time (in second) | Average Accuracy (in percentage) |
|---|---|---|---|
| HMF-I | 229733 | 24.220 | 59.65% |
| HMF | 376183 | 42.380 | 60.40% |
| Method | AMDSB | WBFM | QAM16 | QAM64 | AVG. |
|---|---|---|---|---|---|
| CLDNN 100 | 72.83% | 72.12% | 43.94% | 67.94% | 86.01% |
| HMF-1 | 98.91% | 38.05% | 87.88% | 64.59% | 88.69% |
| HMF | 95.41% | 40.71% | 90.91% | 84.21% | 90.70% |
Publisher’s Note: MDPI stays neutral with regard to jurisdictional claims in published maps and institutional affiliations. |
© 2021 by the authors. Licensee MDPI, Basel, Switzerland. This article is an open access article distributed under the terms and conditions of the Creative Commons Attribution (CC BY) license (https://creativecommons.org/licenses/by/4.0/).
Share and Cite
Wang, N.; Liu, Y.; Ma, L.; Yang, Y.; Wang, H. Multidimensional CNN-LSTM Network for Automatic Modulation Classification. Electronics 2021, 10, 1649. https://doi.org/10.3390/electronics10141649
Wang N, Liu Y, Ma L, Yang Y, Wang H. Multidimensional CNN-LSTM Network for Automatic Modulation Classification. Electronics. 2021; 10(14):1649. https://doi.org/10.3390/electronics10141649
Chicago/Turabian StyleWang, Na, Yunxia Liu, Liang Ma, Yang Yang, and Hongjun Wang. 2021. "Multidimensional CNN-LSTM Network for Automatic Modulation Classification" Electronics 10, no. 14: 1649. https://doi.org/10.3390/electronics10141649
APA StyleWang, N., Liu, Y., Ma, L., Yang, Y., & Wang, H. (2021). Multidimensional CNN-LSTM Network for Automatic Modulation Classification. Electronics, 10(14), 1649. https://doi.org/10.3390/electronics10141649

