An Intrinsically Switched Tunable CABW/CFBW Bandpass Filter
Abstract
1. Introduction
2. Filter Design and Analysis
2.1. Transmission Line Model Analysis
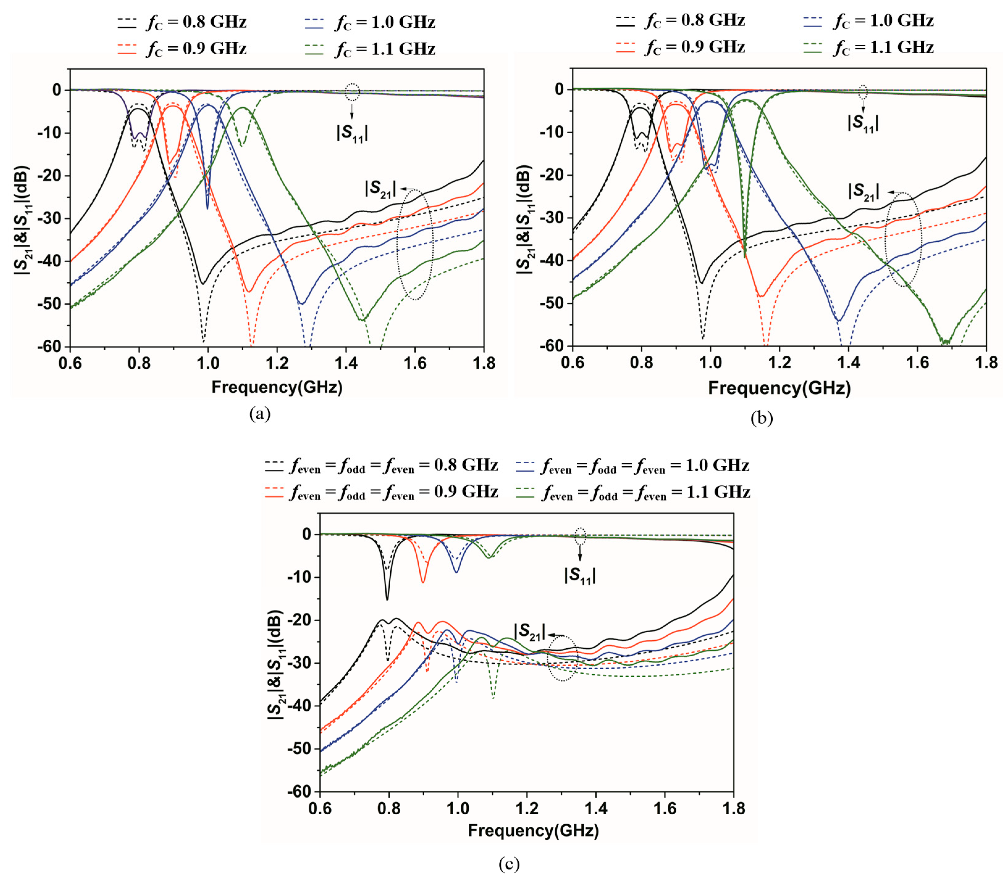
2.2. Analysis of fC, BW and Qe
2.3. Current Density Distribution Analysis
2.4. Designing Produce
3. Experimental Verification
4. Conclusions
Author Contributions
Funding
Conflicts of Interest
References
- Liu, X. Tunable RF and microwave filters. In Proceedings of the 2015 IEEE 16th Annual Wireless and Microwave Technology Conference (WAMICON), Cocoa Beach, FL, USA, 13–15 April 2015; pp. 1–5. [Google Scholar]
- Psychogiou, D.; Peroulis, D. Reconfigurable bandpass filter with center frequency and bandwidth control. Microw. Opt. Technol. Lett. 2013, 55, 2745–2750. [Google Scholar] [CrossRef]
- Chi, P.L.; Yang, T.; Tsai, T.Y. A Fully tunable two-pole bandpass filter. IEEE Microw. Wirel. Compon. Lett. 2015, 25, 292–294. [Google Scholar] [CrossRef]
- Kumar, N.; Singh, Y.K. Compact constant bandwidth tunable wideband BPF with second harmonic suppression. IEEE Microw. Wirel. Compon. Lett. 2016, 26, 870–872. [Google Scholar] [CrossRef]
- Cai, J.; Chen, J.X.; Zhang, X.F.; Yang, Y.J.; Bao, Z.H. Electrically varactor-tuned bandpass filter with constant bandwidth and self-adaptive transmission zeros. IET Microw. Antennas Propag. 2017, 11, 1542–1548. [Google Scholar] [CrossRef]
- Gao, L.; Rebeiz, G.M. A 0.97–1.53-GHz tunable four-oole bandpass filter with four transmission zeroes. IEEE Microw. Wirel. Compon. Lett. 2019, 3, 1–3. [Google Scholar]
- Chen, C.F.; Wang, G.Y.; Li, J.J. Microstrip switchable and fully tunable bandpass filter with continuous frequency tuning range. IEEE Microw. Wirel. Compon. Lett. 2018, 28, 500–502. [Google Scholar] [CrossRef]
- Luo, X.; Sun, S.; Staszewski, R.B. Tunable bandpass filter with two adjustable transmission poles and compensable coupling. IEEE Trans. Microw. Theory Tech. 2014, 62, 2003–2013. [Google Scholar] [CrossRef]
- Jung, M.; Min, B.W. A widely tunable compact bandpass filter based on a switched varactor tuned resonator. IEEE Access. 2019, 7, 95178–95185. [Google Scholar] [CrossRef]
- Dai, G.L.; Xia, M.Y. Design of compact dual-band switchable bandpass filter. Electron. Lett. 2009, 45, 506–507. [Google Scholar] [CrossRef]
- Tu, W.H. Design of switchable dual-band bandpass filters with four states. IET Microw. Antennas Propag. 2010, 4, 2234–2239. [Google Scholar] [CrossRef]
- Deng, D.P.; Jheng, J.H. A switched reconfigurable high-isolation dual-band bandpass filter. IEEE Microw. Wirel. Compon. Lett. 2011, 21, 71–73. [Google Scholar] [CrossRef]
- Deng, P.H.; Tsai, J.T.; Liu, R.C. Design of a switchable microstrip dual-band lowpass-bandpass filter. IEEE Microw. Wirel. Compon. Lett. 2014, 24, 599–601. [Google Scholar] [CrossRef]
- Abdalla, M.A.; Choudhary, D.K.; Chaudhary, R.K. A compact reconfigurable bandpass/lowpass filter with independent transmission zeros based on generalized NRI metamaterial. Int. J. RF Microw. Comput. Aided Eng. 2019, 30, e22074. [Google Scholar] [CrossRef]
- Zhang, Y.; Cai, J.; Chen, J. Design of novel reconfigurable filter with simultaneously tunable and switchable passband. IEEE Access. 2019, 7, 59708–59715. [Google Scholar] [CrossRef]
- Lin, F.; Rais-Zadeh, M. Continuously tunable 0.55–1.9-GHz bandpass filter with a constant bandwidth using switchable varactor-tuned resonators. IEEE Trans. Microw. Theory Tech. 2017, 65, 792–803. [Google Scholar] [CrossRef]
- Guyette, A.C. Intrinsically switched varactor-tuned filters and filter banks. IEEE Trans. Microw. Theory Tech. 2012, 60, 1044–1056. [Google Scholar] [CrossRef]
- Cho, Y.; Rebeiz, G.M. Tunable 4-pole noncontiguous 0.7–2.1-GHz bandpass filters based on dual zero-value couplings. IEEE Trans. Microw. Theory Tech. 2015, 63, 1579–1586. [Google Scholar] [CrossRef]
- Yang, T.; Rebeiz, G.M. Tunable 1.25–2.1-GHz 4-pole bandpass filter with intrinsic transmission zero tuning. IEEE Trans. Microw. Theory Tech. 2015, 63, 1569–1578. [Google Scholar] [CrossRef]
- Psychogiou, D.; Gómez-García, R.; Peroulis, D. Tune-all RF planar duplexers with intrinsically switched channels. IEEE Microw. Wirel. Compon. Lett. 2017, 27, 350–352. [Google Scholar] [CrossRef]
- Psychogiou, D.; Gómez-García, R.; Peroulis, D. Fully-reconfigurable bandpass/bandstop filters and their coupling-matrix representation. IEEE Microw. Wirel. Compon. Lett. 2016, 26, 22–24. [Google Scholar] [CrossRef]
- Gómez-García, R.; Muñoz-Ferreras, J.; Psychogiou, D. Dual-behavior resonator-based fully reconfigurable input reflectionless bandpass filters. IEEE Microw. Wirel. Compon. Lett. 2019, 29, 35–37. [Google Scholar] [CrossRef]
- Ahmadi, A.; Makki, S.V.; Lalbakhsh, A.; Majidifar, S. A novel dual-mode wideband band pass filter. Appl. Comp. Electron. Soc. J. 2014, 29, 735–741. [Google Scholar]
- Lalbakhsh, A.; Karimi, G.; Sabaghi, F. Triple mode spiral wideband bandpass filter using symmetric dual-line coupling. Electron. Lett. 2017, 53, 795–797. [Google Scholar] [CrossRef]
- Serrano, A.L.C.; Correra, F.S.; Vuong, T.; Ferrari, P. Synthesis methodology applied to a tunable patch filter with independent frequency and bandwidth control. IEEE Trans. Microw. Theory Tech. 2012, 60, 484–493. [Google Scholar] [CrossRef]
- Lu, D.; Tang, X.; Barker, N.S.; Feng, Y. Single-band and switchable dual-/single-band tunable BPFs with predefined tuning range, bandwidth, and selectivity. IEEE Trans. Microw. Theory Tech. 2018, 66, 1215–1227. [Google Scholar] [CrossRef]
- Lalbakhsh, A.; Alizadeh, S.M.; Ghaderi, A.; Golestanifar, A.; Mohamadzade, B.; Jamshidi, M.; Mandal, K.; Mohyuddin, W. A Design of a Dual-Band Bandpass Filter Based on Modal Analysis for Modern Communication Systems. Electronics 2020, 9, 1770. [Google Scholar] [CrossRef]








| C1 & C2 (pF) | C1 = 0.6 C2 = 2–12 | C1 = 1.1 C2 = 2–12 | C1 = 1.6 C2 = 2–12 | C1 = 2.2 C2 = 2–12 |
|---|---|---|---|---|
| fodd (GHz) | 1.188 | 0.994 | 0.870 | 0.754 |
| feven (GHz) | 1.234–1.146 | 1.097–0.958 | 1.021–0.850 | 0.957–0.764 |
| Parameter | Value (mm) | Parameter | Value (mm) |
|---|---|---|---|
| l1 | 18.4 | w1 | 0.5 |
| l2 | 29.8 | w2 | 0.3 |
| l3 | 2.5 | w3 | 1.1 |
| l4 | 7.6 | w4 | 1.1 |
| s | 0.22 | – | – |
| Ref No. | Filter Order | Number of Control Voltages | Intrinsic Switching | Center-Frequency Control | Bandwidth Control | IL in Passband (dB) | Isolation in Off-State (dB) | Size |
|---|---|---|---|---|---|---|---|---|
| [15] | 2 | 3 | No | Yes | CABW | 2.52–4.08 | >43 | N.A. |
| [17] | 3 | 3 | Yes | Yes | CABW | <5 | >50 | 0.090 |
| [19] | 4 | 5 | Yes | Yes | Tunable | 3.5–8.5 | >33 | 0.082 |
| [22] | - | 4 | Yes | Yes | Tunable | 0.96 | >20 | N.A. |
| This work | 2 | 2 | Yes | Yes | CABW/CFBW | <3.3 | >20 | 0.035 |
Publisher’s Note: MDPI stays neutral with regard to jurisdictional claims in published maps and institutional affiliations. |
© 2021 by the authors. Licensee MDPI, Basel, Switzerland. This article is an open access article distributed under the terms and conditions of the Creative Commons Attribution (CC BY) license (https://creativecommons.org/licenses/by/4.0/).
Share and Cite
Du, T.; Guan, B.; Zhang, P.; Gu, Y.; Wei, D. An Intrinsically Switched Tunable CABW/CFBW Bandpass Filter. Electronics 2021, 10, 1318. https://doi.org/10.3390/electronics10111318
Du T, Guan B, Zhang P, Gu Y, Wei D. An Intrinsically Switched Tunable CABW/CFBW Bandpass Filter. Electronics. 2021; 10(11):1318. https://doi.org/10.3390/electronics10111318
Chicago/Turabian StyleDu, Tiejun, Boran Guan, Pengquan Zhang, Yue Gu, and Dujuan Wei. 2021. "An Intrinsically Switched Tunable CABW/CFBW Bandpass Filter" Electronics 10, no. 11: 1318. https://doi.org/10.3390/electronics10111318
APA StyleDu, T., Guan, B., Zhang, P., Gu, Y., & Wei, D. (2021). An Intrinsically Switched Tunable CABW/CFBW Bandpass Filter. Electronics, 10(11), 1318. https://doi.org/10.3390/electronics10111318

