Abstract
This paper presents the characterization of a binary mixture of construction and demolition waste (CDW) and bamboo leaf ash (BLAsh) calcined at 600 °C (novel mixture) and the study of its pozzolanic behavior. Different dosages in a pozzolan/Ca(OH)2 system were employed. The aim is the valorization of fine-fraction CDW that achieves a more reactive binary mixture and allows an adequate use of CDW as waste, as CDW is a material of limited use due to its low pozzolanic activity. The pozzolanic behavior of the mixture was analyzed using the conductometric method, which measures the electrical conductivity in the CDW + BLAsh/CH solution versus reaction time. With the application of a kinetic–diffusive mathematical model, the kinetic parameters of the pozzolanic reaction were quantified. This allowed a quantitative evaluation of the pozzolanic activity based on the values of these parameters. To validate these results, other experimental techniques were used: X-ray diffraction, thermogravimetry and scanning electron microscopy. Also, mechanical compressive strength assays were carried out. The results show an increase in the pozzolanic activity of binary mixes of CDW + BLAsh for all the dosages used in comparison to the pozzolanic activity of CDW alone. The quantitative assessment (kinetic parameters) shows that the binary mixture CDW50 + BLAsh50 is the most reactive (reaction rate constant of 7.88 × 10−1 h−1) and is superior to the mixtures CDW60 + BLAsh40 and CDW70 + BLAs30. Compressive strength tests show higher strength values for the ternary mixes (OPC + CDW + BLAsh) compared to the binary mixes (OPC + CDW). In view of the results, the binary blend of pozzolans CDW + BLAsh is suitable for the manufacture of future low-carbon ternary cements.
1. Introduction
The incessant generation of solid waste in several industries constitutes a serious environmental and technical problem. Most of these wastes are deposited in landfills without considering the adverse effects on the environment as they are capable of polluting the air and water and degrading and contaminating the soil, among other adverse effects [1]. The use of waste as pozzolanic materials to substitute part of the cement helps to reduce clinker consumption (low-carbon cement) and pollution in landfills [2,3,4,5,6]. Therefore, the use of waste materials in the cementitious matrix decreases the emission of CO2 (low-carbon cement), which is an environmental problem caused by cement production (7% of total anthropogenic generation) [7,8].
According to the lines of implementation of a circular economy where the wastes from one industry are used in another sector, several research projects have been carried out in recent years to incorporate industrial residues into a cement matrix. Among these wastes are those of agro-industrial origin, which constitute a product of interest for the cement industry. This is due to the great potential of these wastes to be used as additions with high silica and/or alumina content in commercial Portland cement [9,10,11,12]. The consumption of Ca(OH)2 (CH) in the pozzolanic reaction causes the hydrated phases that are formed in the pozzolanic reaction to improve the performance of the concrete [13,14] and the generation of calcium silicate hydrate (C-S-H).
At present, the construction industry is responsible for the generation of immense volumes of waste, among which construction and demolition waste occupies a preponderant place. According to Suárez-Silgado et al. [15], more than 6.5 billion tons of construction and demolition waste (CDW) is produced each year in the world. Europe, for its part, is responsible for the production of 800 Mt of CDW per year [16]. In Brazil, the amount of CDW varies between 230 and 760 kg per person depending on the city [17].
The adequate management of CDW represents a valuable resource for any country’s economy.
The use of construction and demolition wastes, compared to other residues, has several advantages, including its increasing availability, its low cost and its diverse applications, such as the following: reutilization in construction materials [18], for the confinement of liquid radioactive wastes [19], as pozzolans [20,21,22,23], and in the production of clinker [24] and bricks [25]. The use of fine-fraction CDW allows for replacing other pozzolanic materials that exist in smaller quantities and are generally more expensive. However, the main disadvantage of its use as a fine additive in cement lies in its low pozzolanicity [26], the increase in which is the main objective of this research.
Previous studies [27,28,29,30] highlight the possibility of using these wastes as mineral additions with low pozzolanic reactivity in the production of cements with lower clinker content and therefore lower carbon footprint, identifying C-S-H gel, C4AH13 and C4AcH11 (all in low proportions), in the concrete/CDW system.
The addition of high-reactivity pozzolans to CDW will improve the pozzolanic behavior of the mixture. Binary, ternary and even quaternary pozzolanic mixtures will be obtained [16,31,32]. This will also allow the future production of ternary and quaternary cements with these mixed wastes. Recent studies have shown that the use of binary mixtures of CDW with other highly reactive pozzolans in the elaboration of ternary cementitious pastes showed good mechanical behavior, reduced the quantities of cement used and diminished CO2 emissions [26,33,34,35]. Binary mixtures made with CDW are reported, and they include materials such as glass waste, natural quartz aggregates, fly ash and metakaolin as highly reactive pozzolans [34].
However, the binary mixture of CDW with highly reactive pozzolans from calcined agricultural waste is practically unreported in the international literature. The volumes of agricultural waste are very high and have a low cost (their cost is well below the cost of other pozzolans like silica fume (the most expensive pozzolan), fly ash and ground granulated blast-furnace slag, and they have a similar pozzolanic activity to the previously mentioned pozzolans) [36]. Therefore, its binary mixture with CDW could be very beneficial and sustainable. The mixture of CDW with calcined pozzolans of agricultural origin is a novel and poorly reported topic in the international bibliography. The present work focuses on the use of one of the agricultural wastes with high pozzolanic reactivity such as bamboo leaf ash [10,35,36,37] in a binary mixture with CDW for the future elaboration of ternary cements.
Annual bamboo production in the world is estimated at 35 million hectares, mainly in Asia, Latin America and Africa [38]. In Latin America, Brazil stands out as one of the main bamboo producers with plantations of approximately 10 million hectares [9]. According to Scurlock et al. [39], it is possible to estimate a quantity of 25 t ha−1, which would represent an annual production of 250 Mt of bamboo [9] which would generate a considerable volume of leaves and other residues with suitable properties for use in new applications. The mixture of CDW with calcined pozzolans of agricultural origin is a novel and poorly reported topic in the international bibliography.
Currently, the evaluation of the pozzolanic activity of materials and their binary combinations is aimed more at the qualitative evaluation of the behavior of binary mixtures of materials than at the quantitative aspect that consists in the computing of the kinetic parameters of the reaction of pozzolanic mixtures with Ca(OH)2). There are few reports about the latter aspect in the international literature [40]. The computing of the kinetic parameters of the pozzolanic reaction (the reaction rate constant fundamentally) allows the rigorous evaluation of the effectiveness of pozzolans as mineral additions in mortars and concrete. Villar-Cociña et al. [41] proposed a kinetic–diffusive model that allows the quantitative characterization of the pozzolanic activity of pozzolanic residues for all reaction ages [42,43,44]. The promising results obtained in pozzolan/Ca(OH)2 systems and binary mixtures of pozzolans in pozzolan/Ca(OH)2 systems [40,45] support the application of the qualitative and quantitative characterization of the pozzolanic reactivity for the binary system proposed in this work (CDW + BLAsh) and its combinations.
The objective of the present research paper is to generate knowledge on the reactivity of recycled pozzolanic mixtures, from low-activity (fine-fraction CDW residues) and high-activity (bamboo leaf ash (BLAsh)) components. For this purpose, some experimental assays were performed, including assessments of chemical and mineralogical composition, morphology, particle size distribution and pozzolanic reaction kinetics; qualitative and quantitative analysis of the pozzolanic activity; and DRX, SEM and TG analysis after the pozzolanic reaction, and the best dosages of the binary mix compounds for the production of ternary cement were proposed. In cement mortars, the evaluation of the strength resistance is in concordance with the above tests. Everything constitutes a fundamental scientific aspect, which is to characterize and select suitable binary pozzolanic mixtures for the manufacture of future eco-cements as alternatives to current commercial cements.
2. Materials and Methods
2.1. Materials
The construction and demolition wastes (CDWs) were furnished by the Eco-X recycling company in Guarulhos, São Paulo State, Brazil. The residues are composed of pieces of concrete from various demolitions. Different types of concrete, with unknown dosagesand properties, are present in their composition. They are mainly composed of 98% concrete residues and 2% ceramic residues with particle sizes in the range of 1 to 10 mm. The construction and demolition wastes were dried in a Marconi MA035 oven (Marconi, Piracicaba, Brazil) at 60 °C for 24 h. A preliminary sieving was carried out to separate the coarse aggregate (>5 mm) from the fine aggregate (<5 mm). A 4 Tyler mesh sieve with a 4.75 mm orifice size was used for this purpose. Then, the fine aggregate was crushed in a motorized mortar and pestle mill, brand Marconi MA590 (Marconi, Piracicaba, Brazil) for 2 h and sieved below 45 µm using a 325 Tyler mesh sieve (Figure 1a). The particle size (<45 µm) was selected taking into account its use in previous works [26,27] with this residue, where good results are obtained.
Figure 1.
Appearance of (a) construction and demolition waste, (b) bamboo leaf ash.
The bamboo leaves were extracted from the Dendrocalamus asper species and were collected near the University of São Paulo, Pirassununga Campus, Brazil. Figure 1b shows the bamboo leaf ash (BLAsh) used in the current study, which showed a grayish coloration.
The bamboo leaves were initially calcined at 400 °C for 1 h with the objective of removing the organic matter, in a Jung 10010 muffle (Jung, Blumenau, Brazil). They were subsequently calcined at 600 °C for 2 h with a heating rate of 10 °C/min. At this temperature, several authors have reported the highest pozzolanic reactivity [10,35,37]. After 2 h, the ashes were quickly removed from the muffle (fast cooling) [46]. This preserves the amorphous phases and avoids recrystallization with a gradual decrease in the temperature. Subsequently, the ashes were ground using a mill (Marconi MA 590) and sieved below 45 μm. The sieving process was performed using a 325 Tyler mesh sieve (Labimport, Piracicaba, Brazil).
For the elaboration of the mortars, high-initial-strength Portland cement CP-V ARI of the Cauê Estrutura brand of InterCement (São Paulo-Brazil), according to the standard ABNT NBR 5733 [47], was used.
For the pozzolanic activity test, Ca(OH)2 mixed with deionized water was used for preparing a saturated solution of calcium hydroxide (95% purity). The solution was stirred at 500 rpm for 20 min. Finally, the solution was maintained at rest for 30 min and filtered.
Both wastes were mixed in different proportions, and binary mixtures were prepared, the dosages were as follows (CDW was taken as the base material, as it is the most abundant and its use is of great interest): CDW 50% with BLAsh 50%, CDW 60% with BLAsh 40%, and CDW 70% with BLAsh 30%. Table 1 shows the mixtures used and their designations.
Table 1.
Designation of all samples.
2.2. Methods
2.2.1. Pozzolanic Activity Method
The qualitative or quantitative evaluation of the pozzolanic activity can be performed by several methods [48,49]. A conductometric method that has been used by various authors in numerous scientific works [41,50,51,52,53,54,55] was used in this work. This method has several advantages, among which we can emphasize the following: it monitors the variation in electrical conductivity with reaction time, it allows us to study the reaction rate of the pozzolan with CH and its relationship with reactivity, and it greatly reduces the time needed to evaluate the pozzolanic activity of the materials.
A saturated solution of Ca(OH)2 was used, and 250 mL of the solution was mixed with 5.25 g of the pozzolanic materials (CDW and BLAsh) (this is the proportion used by other authors in this type of experiment). The conductivity measurements began when the used materials were mixed with the CH solution. A Digimed DM-32 microconductometer (Digimed, São Paulo, Brazil) was used at a constant temperature of (40 ± 1) °C. It is known that there is a linear dependence (obtained through a calibration curve) [41] between the concentration of CH in the solution and the recorded conductivity, which was applied. For each sample, three replicates of the conductivity assay were performed, and the mean values of electrical conductivity versus reaction time were selected.
2.2.2. Characterization Techniques
The raw materials (OPC, CDW and BLAsh) were chemically characterized by using an X-ray fluorescence spectrometer, brand Malvern Panalytical, model Zetium (Philips, São Paulo, Brazil), in the STD-1 calibration (standardless), related to the detection and quantification of chemical elements between fluorine and uranium. An X-ray tube with a Rh anode with a power of 4 kW and xenon flux detectors (duplex) were used.
The particle size distribution of OPC, BLAsh and CDW was performed by laser granulometry in a particle size analyzer with laser diffraction system Horiba, model PARTICA LA-950-V2 (Horiba, São Paulo, Brazil) with an internal pump for aqueous dispersants, with a detection range between 0.01 and 3500 µm. Three samples of each material were analyzed, and isopropyl alcohol was used in the particle dispersion of the CDW and OPC samples. In the case of ashes of agricultural origin such as BLAsh, deionized water was used in the particle dispersion of the samples according to the established methodology.
The mineralogical characterization was carried out in a Rigaku Miniflex 600 X-ray Diffractometer (Rigaku, Beijing, China), with a detection range of 5° to 65° and a rate of 1°/min at a step of 0.02°, an electric intensity of 100 mA and a voltage of 50 kV. The crystalline phases were identified by means of the X’Pert HighScore Plus software, version 4.9.0, using the Powder Diffraction File database of 131,590 diffraction patterns.
Scanning electron microscopy (Philips XL-30 FEG microscope, Philips, Brussels, Belgium, with the possibility of images of secondary and backscattered electrons, with an integrated EDAX system) was used to view the morphology and perform microanalysis of the samples.
Thermogravimetry tests were carried out in a simultaneous thermal analyzer of the Netzsch brand, model STA 449 F3 Jupiter (Netzsch, São Paulo, Brazil), using a heating rate of 10 °C/min, from 25 °C to 1000 °C, and a flow rate of 60 mL/min in an atmosphere of N2. Between 40 and 50 mg of pozzolan/CH reaction products and their combinations were analyzed.
2.2.3. Mathematical Model
A quantitative assessment of the pozzolanic activity was carried out using a kinetic–diffusive mathematical model that allows determining the kinetic parameters of the pozzolanic reaction [36,37]. The model is
The parameters De, K, Co, τ and rs are the effective diffusion coefficient, the reaction rate constant, the initial conductivity of the solution, the time constant and the initial radius of the particle (average size rs), respectively.
Ccorr, (Co − Ct)/Co and Ct are a correction term, which represents the CH remaining after the reaction is completed; the relative loss of conductivity; and the absolute loss of conductivity with time for the pozzolan/CH solution, respectively
In general, chemical reactions occur in stages, with the most resistant (slowest) stages being those that control the overall process. In the case of the pozzolanic reaction analyzed, there are different regimes depending on the controlling (slower) stage: diffusive control regime (second term of Equation (1)), kinetic control regime (third term) and kinetic–diffusive control regime (both terms). More details on the model and considerations appear in Refs. [41,55].
2.2.4. Mechanical Assessment of Blended Mortars
Cylindrical mortars were manufactured with dimensions of 50 mm × 25 mm (height–diameter ratio) by substituting part of the Portland cement with the pozzolans CDW (low reactivity), BLAsh (high reactivity) and their combinations. The cement/pozzolan formulations are shown in Table 2. The samples were demolded after 24 h and kept in a chamber for 7 and 28 days with a relative humidity of (60 ± 2)% at a temperature of 25 °C. In a stainless-steel vat, the powdered materials were placed and mixed for 1 min. Subsequently, the water was added and mixed at a low rate of 140 ± 5 rpm for 30 s. Then, the mixing rate was increased to 285 ± 10 rpm for 1 min. The obtained mass was molded in cylindrical molds and densified in a vibrating table in a lapse of 1–2 min. For each formulation, 10 replicates of cylindrical mortars were made. The water/cement ratio was determined according to ABNT NBR 16606 [56], by determining the normal consistency of cementitious pastes in the Vicat’s instrument with Tetmajer’s probe, which should be placed at a distance of (6 ± 1) mm from the base sheet.
Table 2.
Composition and normal consistency test of the reference and blended cements.
A compressive strength test was performed on the universal testing machine INSTRON, EMIC 23-300 (Norwood, MA, USA), equipped with a 300 kN load cell, at a constant rate of 0.5 mm/min until the rupture of the samples according to the standard ABNT NBR 7215 [57].
3. Results and Discussion
3.1. Characterization of the Starting Materials
Table 3 shows the main elements of the materials (CDW, BLAsh and OPC). All of them are expressed as % by mass. The CDW has a silico-calcic nature, mainly consisting of CaO (around 40%), followed by SiO2 (26.8%), Al2O3 (9.2%), Fe2O3 (3.3%) and MgO (2.8%). Other oxides are present in small amounts (<3.9% total). The contents of the majority oxides in this waste are partially in line with other CDWs from different countries [58].
Table 3.
Chemical composition of the CDW, BLAsh and OPC.
The BLAsh has a siliceous nature formed by SiO2 (73.9%), followed by CaO (6%), K2O (5.4%) and Cl (3.5%). Other oxides such as P2O5, MgO, SO3, Al2O3, Fe2O3 and Na2O are present in small amounts (<8% total).
Regarding the chemical composition of CP V-ARI cement, it meets all the chemical requirements established in the standard ABNT NBR 5733 [47].
The XRD pattern of the initial pozzolans (CDW and BLAsh) is shown in Figure 2, reflecting the different crystalline–amorphous nature of the two pozzolans. This will have repercussions on the performance and subsequent behavior of the blended cement matrices.
Figure 2.
(a) X-ray pattern of CDW; (b) X-ray pattern of BLAsh.
The CDW (Figure 2a) has a crystalline nature whose main mineralogical phase is quartz (20.85 and 26.65 2θ, among others), followed by calcite (29.46 and 48.58 2θ) which is related in part to the carbonation of hydrated phases of the hydrated cement (mainly Ca(OH)2). In smaller quantities, alite and belite phases (C3S and C2S), constituents of Portland cement, were identified, which indicates that the CDW comes from a relatively young concrete. Finally, the presence of albite was identified with a peak at 28° (2θ) and is associated with the contamination of construction waste with other ceramic waste because albite is a mineral that belongs to the group of feldspars, basic components of ceramics. The amorphicity in the sample is practically not appreciated.
In the case of bamboo ash, the main crystalline phases are sylvite (KCl), calcite and cristobalite (SiO2). The presence of sylvite is associated with the potassium concentrations of the sample and the potassium acquired from the soil. This mineralogical phase is present in a wide range of ashes from different biomasses (herbaceous, forestry wastes, husk ash) [59,60,61]. A broad band located around 15°–30° = 2θ is seen in the XRD pattern, which demonstrates its highly amorphous nature.
The particle size distribution curves of the raw materials CDW, BLAsh and OPC analyzed by laser granulometry are shown in Figure 3. All samples show a unimodal distribution with a maximum particle size distribution of around 11.56 µm for BLAsh, 13.24 µm for OPC and 34.25 µm for the CDW sample. The D50 values obtained (sieve through which 50% of the particles pass) are 10.63 µm, 12.91 µm and 23.3 µm, respectively. There are little differences between the D50 values, which do not affect the uniformity of the mixture [62] and have no effect on the reactivity of the mixtures of the materials.
Figure 3.
Laser granulometry of construction and demolition waste (CDW), bamboo leaf ash (BLAsh) and OPC.
The presence of irregular grains both in shape and size can be observed in Figure 4, referring to CDW (a) and BLAsh (b). In the case of BLAsh, it is possible to observe that most of the structures do not have a defined shape, which gives it a higher chemical reactivity. However, in CDW, it is possible to observe grains with well-defined edges in the shape of crystals. The preparation processes of the raw material (grinding and sieving) have an influence on the particle rupture and therefore this irregularity.
Figure 4.
Scanning electron microscopy: (a) CDW grains at 50 μm magnification; (b) BLAsh grains at 20 μm magnification.
3.2. Pozzolanic Activity: Qualitative Evaluation
Figure 5 shows the pozzolanic activity for all samples (conductivity variations versus reaction times) in the pozzolan/calcium hydroxide (CH) system: construction and demolition waste (CDW100); bamboo leaf ash (BLAsh100); and the binary mixtures CDW50 + BLAsh50, CDW60 + BLAsh40 and CDW70 + BLAsh30.
Figure 5.
Variation in conductivity with reaction time for construction and demolition waste (CDW); bamboo leaf ash (BLAsh); and the combinations CDW50 + BLAsh50, CDW60 + BLAsh40 and CDW70 + BLAsh30.
It is observed that the electrical conductivity in the pozzolan/CH system decreases with reaction time. At early ages, a considerable variation (loss) in conductivity is obtained due to the pozzolanic reactivity of the samples. For long periods of time, stabilization of the curve is achieved, indicating the moment at which the reaction has practically ended.
The formation of hydrated phases with the corresponding decrease in CH concentration in the solution is responsible for this behavior. This leads to a decrease in conductivity.
The high difference between the conductivities (initial and stabilized conductivities of the solution) allows us to affirm that the pozzolanic reactivity can be related to the consumed amount of CH (a large difference means a higher consumption of CH and vice versa). The pozzolans analyzed except CDW100 can be considered highly reactive due to the high difference.
A qualitative analysis allows us to affirm that there was a reduction in electrical conductivity until its stabilization was higher (a greater consumption of CH) for the CDW50 + BLAsh50 mixture, followed closely by the binary combinations CDW60 + BLASh40 and with a minor reduction (a lower consumption of CH) the mixture CDW70 + BLAsh30. All mixtures showed good reactivity in comparison to CDW100 (lower reactivity). The low reactivity shown by CDW100 can be related to the low silica (SiO2) and high calcium (CaO) content shown in Table 3, and the XRD pattern (Figure 2a) for this sample also shows a highly crystalline nature in which calcite and quartz predominate. In general, the high difference between the conductivities (initial and stabilized conductivities of the solution) of the analyzed pozzolans allows us to affirm the system’s reactivity.
Another aspect to take into account is the slope of the electrical conductivity/reaction time, which is related to the rate at which the electrical conductivity changes. Figure 5 shows that for the samples BLAsh100 and CDW50 + BLAsh50, the slopes of the curves are high and quite similar (however, for BLAsh100, it is slightly higher); therefore, the rate at which the electrical conductivity changes is much higher in these samples. In the case of samples CDW100 and CDW70 + BLAsh30, the slopes are lower. According to these results, it can be concluded that not all pozzolans tested have a high reactivity. It should be noted that the combination of CDW with BLAsh causes a considerable increase from the qualitative point of view of the pozzolanic reactivity, more significantly in the samples CDW50 + BLASh50 and CDW60 + BLAsh40, which demonstrates the positive synergy that occurs in the mixtures and how beneficial it is, which is of great scientific value.
It is evident that a qualitative analysis is too imprecise to give us an exact idea of the pozzolanicity of the sample. Therefore, a quantitative analysis that involves all the above aspects and also determines the kinetic parameters of the pozzolanic reaction is essential and allows a more rigorous evaluation of the reactivity of the pozzolanic additions.
After the conductivity test, SEM and XRD analysis were performed on the samples after the reaction.
Figure 6 shows the XRD patterns for CDW100 and the mixtures. The mineral phases present in the CDW100 base sample and in the binary mixture were calcite, quartz, tobermorite and traces of gismondite and cristobalite. The presence of calcite, quartz and cristobalite could be associated with the high calcium and silica contents of the wastes that compose the mixtures. The presence of toberomite (C-S-H) and gismondite (zeolite) is associated with the formation of crystalline hydrated calcium silicates resulting from the pozzolanic reaction of the CDW + BLAsh mixtures with Ca(OH)2. Zeolites as a pozzolanic reaction product have been observed in wastes such as paper sludges [63]. All samples showed the same phases and a certain amorphous band, which was not present in CDW before the reaction (Figure 2a).
Figure 6.
XRD patterns after the pozzolanic reaction for all samples.
Figure 7 shows the presence of C-S-H gels for CDW100, CDW50 + BLAsh50, CDW60 + BLAsh40 and CDW70 + BLAsh30 samples, rough zones with a foil-like morphology [64,65]. This corroborates the occurrence of the pozzolanic reaction in all samples. According to the semi-quantitative EDX analysis, different Ca/Si ratios between 0.6 and 2.99 are detected, with a higher ratio for the individual residues and lower ratios when the mixture of both residues is analyzed. The presence of new phases of formation corroborates the occurrence of the pozzolanic reaction in all samples, being higher as the bamboo ash content increases (see Table 4 (kinetic parameters)).
Figure 7.
SEM micrographs after the reaction with calcium hydroxide showing the C-S-H gels for (a) CDW100, (b) BLAsh100 calcined at 600 °C, (c) CDW50 + BLAsh50, (d) CDW60 + BLAsh 40 and (e) CDW70 + BLAsh30.
Table 4.
Kinetic parameters of the pozzolanic reaction.
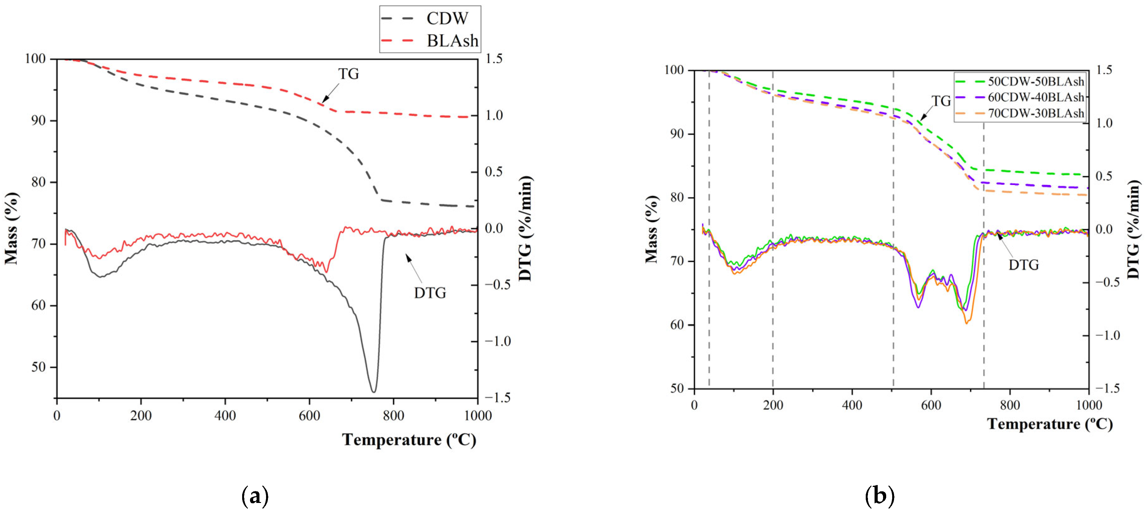
The evolution of the TG and DTG curves of the pozzolanic reaction products is shown in Figure 8a,b. For samples CDW100 and BLAsh100, two endothermic zones are clearly distinguished in Figure 8a. The first, a maximum (with lower intensity) located between 35 °C and 220 °C for the samples CDW100 and BLAsh100, is related to the loss of water absorbed from the waste and the dihydroxylation of the C-S-H gel. The other zone, located between 540 and 780 °C, is associated with the decomposition of carbonates. For the binary mixtures, three well-defined endothermic zones were identified. According to Figure 8b, a maximum located between 35 °C and 220 °C was identified, associated with the loss of absorbed water from the waste and the dihydroxylation of the C-S-H gel. The second endothermic zone was located between 520 °C and 580 °C with a maximum peak concentrated at 560 °C, which is related to isomorphic changes of the gismondite formed that involve a change in the structure [66]. The third transition zone was identified between 620 °C and 740 °C associated with the decomposition of calcium carbonate.
Figure 8.
Evolution of the TG and DTG curves of (a) CDW100 and BLAsh100 and (b) 50CDW + 50BLAsh, 60CDW + 40BLAsh and 70CDW + 30BLAsh.
3.3. Quantitative Analysis of the Pozzolanic Activity: Determination of the Kinetic Parameters
For the quantitative characterization of the samples, the kinetic–diffusive model (Equation (1)) was fitted for all samples. The fitting of the model (Equation (1)) permitted us to determine the parameters τ, De, K and ΔG# in each case.
The ΔG# shown in Table 4 was calculated by using the Eyring equation of “The absolute theory of rate processes” [67,68] based on the Theory of the Transition State, whose theoretical novelty is that it postulates the formation of an activated complex (or transition state) from the reactants; this complex would then decompose to form products. The activated complex is assumed to be in thermodynamic equilibrium with the reactants. The Eyring equation is given by
where kB, h, R, T and K are Boltzmann’s constant, Planck’s constant, the universal gas constant, the temperature and the reaction rate constant, respectively. ΔG# is the activation free energy (change in free energy of the system when going from the initial state to the transition state).
It is known that large values of ΔG# indicate low reactivity (kinetic stability, small values of K). On the other hand, small values of ΔG# indicate high reactivity (kinetic instability, i.e., high reactivity, large values of K). Knowledge of ΔG# indicates how quickly the reaction occurs; for large values of ΔG#, the reaction will be slower.
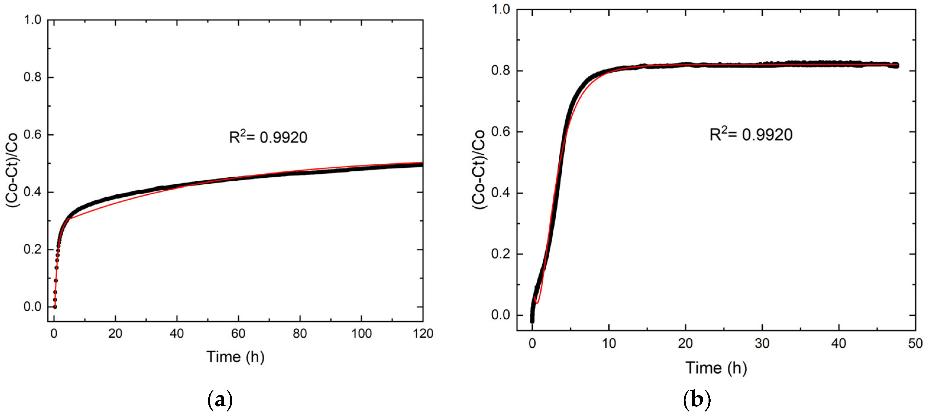
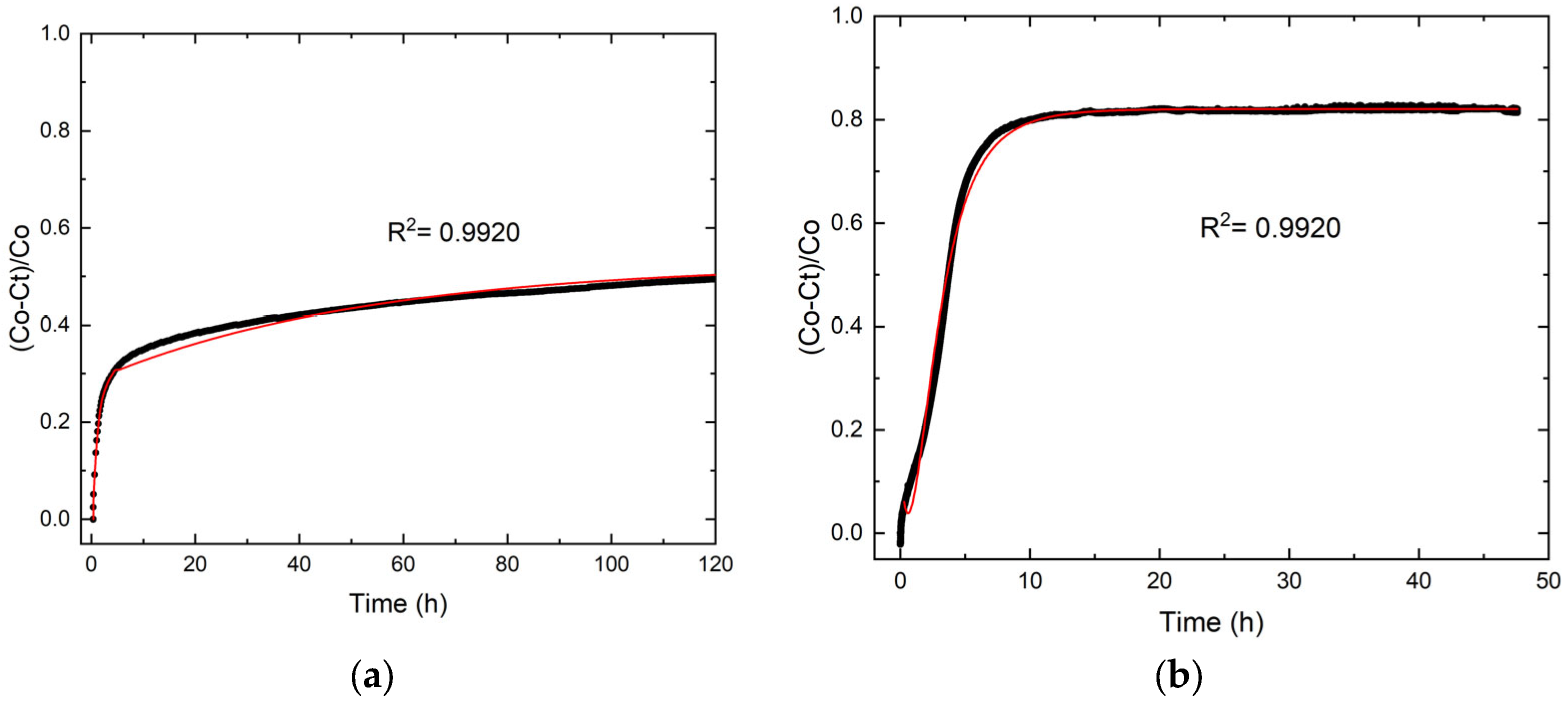
Figure 9a,b shows the relative loss of conductivity versus reaction time for the CDW100/CH and BLAsh100/CH systems.
Figure 9.
Relative loss of conductivity plotted against reaction time for the samples (a) CDW100 and (b) BLAsh100. Black circle (experimental), solid line in color (model).
All variants of the model (kinetic, diffusive and mixed control) were adjusted to the experimental data of relative loss of conductivity-time.
The process of fitting a model to be rigorous includes an exhaustive analysis of the statistical parameters resulting from the fit. In this case, the Lavembert + Maquard algorithm [69,70] was used for the experimental data. Statistical parameters such as R2, RSS (coefficient of multiple determination and residual sum of squares respectively), 95% confidence intervals, residual probability and analysis of variance were analyzed in detail. From the above, it is concluded that, in the BLAsh100 sample (Figure 9b), the kinetic–diffusive control regime dominates, showing the best correspondence with the experimental data. This means that both processes (kinetic and diffusive) determine the overall rate of the reaction.
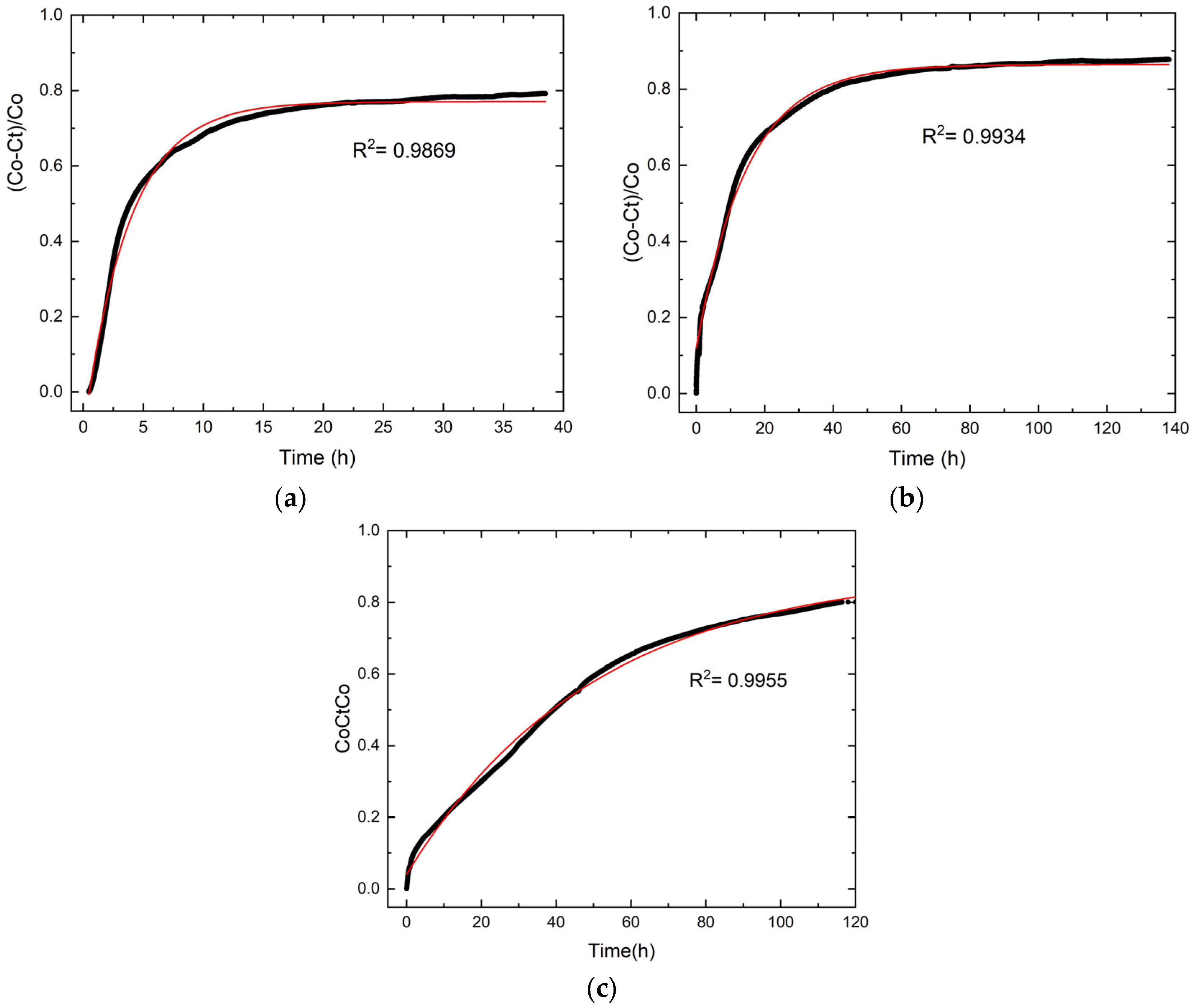
However, a kinetic control predominated for the other samples, namely CDW100 (Figure 9a) and the binary mixtures CDW50 + BLAsh50, CDW60 + BLAsh40 and CDW70 + BLAsh30 (Figure 10a–c). In this case, the chemical interaction rate on the surface of the core of the pozzolan particle (where the reaction takes place) offers the greatest resistance (slowest step) for which it is lower than the diffusion rate of the reactant through the reaction product layer around the core. The high porosity of the layer of reaction products justifies this result since it favors a rapid diffusion process. More details and considerations of the model can be seen in Refs. [41,55].
Figure 10.
Relative loss of conductivity plotted against reaction time for the binary combinations (a) CDW50 + BLAsh50, (b) CDW60 + BLAsh40 and (c) CDW70 + BLAsh30. Black circle (experimental), solid line in color (model).
Figure 10a–c shows the relative loss of conductivity versus reaction time for the CDW50 + BLash50/CH, CDW60 + BLash40/CH and CDW70 + BLash30/CH systems. The multiple determination coefficients are shown in Figure 9a,b and Figure 10a–c.
The values of the parameters calculated (τ, De, K and ∆G#) are shown in Table 4. Also, the statistical coefficient of multiple determination and the correction constant are shown. Table 4 does not show all the statistical analysis performed (that contained some graphical analysis) because it would lead to a very extensive paper.
Taking into account the values of the kinetic parameters, it is possible to conclude that BLAsh100 has a very high reactivity (order of 10−1 h−1) and CDW100 has a low reactivity (order of 10−3 h−1). However, binary mixtures adding bamboo leaf ash significantly increase pozzolanic reactivity compared to fine-fraction CDW. A good synergy is achieved between CDW and an agricultural waste such as BLAsh. The binary mixture with the highest reactivity is CDW50 + BLAsh50, followed by CDW60 + BLAsh40 and CDW70 + BLAsh30. This shows that increasing the % of bamboo ash in the mixture increases its reactivity. Of the dosages chosen in this work, the one that uses 50% of each residue (CDW50 + BLAsh50) has the highest reactivity.
The kinetic parameters (reaction rate constant fundamentally) of other pozzolanic binary systems, namely HsT + Glass 1:1 and HsT + Glass 1:2 (CDW of siliceous nature + recycled laminar glass in proportions 1:1 and 1:2), HcG + Glass 1:1 and HcG + Glass 1:2 (CDW of calcareous nature + recycled laminar glass in proportions 1:1 and 1:2), and sugar cane bagasse ash (SCBA) + bamboo leaf ash (BLA) in proportions of 50:50 and 70:30, reported in the literature [45,71], are also shown in Table 4. According to the K values, the binary mixes of pozzolans CDW50 + BLAsh50 and CDW60 + BLAsh40 present a high reactivity (order of 10−1 h−1), two orders higher than that of HsT + Glass (1:1 and 1:2) and HcG + Glass (1:1 and 1:2) (order of 10−3 h−1) and similar to that of 50SCBA + 50BLA and 70SCBA + 30BLA, considered in the literature of high pozzolanic reactivity. The above indicates the good pozzolanic behavior of the CDW + BLAsh mixtures characterized in this research.
3.4. Compressive Strength
Figure 11 shows the compressive strength values of the cementitious pastes for 7 and 28 days. In general, a decrease in the compressive strength of the specimens with respect to the reference sample (OPC-100%) is observed.
Figure 11.
Compressive strength of binary and ternary mortars at 7 and 28 days of curing.
The OPC + CDW binary mixtures (5CDW + OPC, 10CDW + OPC, 15CDW + OPC and 20CDW + OPC) show a decrease in compressive strength in the range of 3–26% for 28 days of curing with respect to the control sample. It is possible to appreciate that the increase in CDW in the matrix negatively affects the mechanical strength of the specimens, causing a gradual decrease in mechanical strength. Similar results were obtained by Oliveira et al. [34]. On the other hand, the OPC + CDW + BLAsh ternary mixtures (50CDW + 50BLAsh + OPC, 60CDW + 40BLAsh + OPC and 70CDW + 30BLAsh + OPC) showed an increase in the mechanical compressive strength with respect to the OPC + CDW mixtures, which demonstrates the positive synergy originating between CDW and BLAsh and the pozzolanic effect of BLAsh in the mixture. The 50CDW + 50BLAsh + OPC and 60CDW + 40BLAsh + OPC samples showed similar compressive strength values of 45.4 MPa and 45.8 MPa (28 days of curing), respectively, which constitutes a 14% decrease with respect to the control. The ternary sample 70CDW + 30BLAsh + OPC showed a mechanical compressive strength of 41.07 MPa, a value higher than those shown by the binary mixtures of OPC + CDW and slightly lower than the results of the samples 50CDW + 50BLAsh + OPC and 60CDW + 40BLAsh + OPC. The standard EN 197-6 [72] allows the substitution of up to 20% recycled concrete fines and calcined pozzolans with a resistance class of 32.5, 42.5 or 52.5 MPa. In this case, the 50CDW + 50BLAsh + OPC and 60CDW + 40BLAsh + OPC ternary cements comply with European specifications for strength above 42.5 MPa. The 70CDW + 30BLAsh + OPC sample showed a compressive strength above 32.5 MPa, demonstrating the potential of the CDW + BLAsh mixture to be used as a partial replacement for ordinary Portland cement for the production of eco-efficient ternary cements.
The increase in strength in the ternary samples may be associated with the high pozzolanic reactivity of BLAsh, where the high amorphous silica content of its composition reacts (according to SEM and XRD analysis) with the CH originating during cement hydration to form C-S-H gel, compounds that favor mechanical strength. This study shows how the low pozzolanic activity of CDW residues is partially compensated by the increase in BLAsh content in binary and ternary blended cements.
4. Conclusions
The following conclusions are drawn from this research:
- For the first time, the pozzolanic synergy between two industrial wastes of different nature has been analyzed. The combination of CDW with BLAsh allows obtaining a binary mixture of active additions with a good pozzolanic reactivity, for the manufacture of future sustainable ternary eco-cements with a lower carbon footprint.
- This good pozzolanic synergy allows the use of CDW more efficiently and with better results, which is very important given the priority and the impetus that is being given to its use worldwide, given its increasingly increasing availability.
- A mineralogical study of the starting residues reveals that in the case of CDW, the principal compounds are quartz and calcite. Other minerals such as alite, belite and albite were also detected. The amorphicity in the sample is practically not appreciated. For BLAsh, a broad band located around 15°–30° = 2θ is seen in the XRD pattern, which demonstrates its highly amorphous nature. The crystalline phases sylvite, calcite and cristobalite are detected.
- The qualitative characterization of the pozzolanic activity of CDW and BLAsh using the electrical conductivity method indicates that BLAsh100 has a higher activity compared to CDW. For the binary mixtures, CDW50 + BLAsh50 shows the highest reactivity, followed closely by CDW60 + BLASh40 and (with a minor consumption of CH) the mixture CDW70 + BLAsh30. All the mixtures showed good reactivity in comparison with CDW100 (lower reactivity). In the SEM analysis, calcium silicate hydrate (C-S-H) gels (rough areas with a sponge-like morphology) were observed in all samples as the main product of the pozzolanic reaction.
- The values of the kinetic parameter (reaction rate constant principally) allow the conclusion that BLAsh100 has a very high reactivity and CDW100 has a low reactivity. However, there is an important synergy between agricultural residue (BLAsh) and CDW when these wastes are mixed, even though each of these materials separately showed different levels of pozzolanic activity. Mixing bamboo leaf ash with fine-fraction CDW significantly increases pozzolanic reactivity compared to CDW100. The binary mixture with the highest reactivity is CDW50 + BLAsh50, followed by CDW60 + BLAsh40 and CDW70 + BLAsh30. This shows that increasing the % of bamboo ash in the mixture increases its reactivity. Of the dosages chosen in this work, the one with the highest reactivity is the one that uses 50% of each residue (CDW50 + BLAsh50).
- The ternary cements (50CDW + 50BLAsh + OPC, 60CDW + 40BLAsh + OPC and 70CDW + 30BLAsh + OPC) showed compressive strength values of 45.4, 45.8 and 41.07 MPa, respectively, which are higher than the mechanical strength values achieved by the OPC + CDW binary cements, demonstrating the positive synergy originating between CDW and BLAsh.
The results obtained will serve as a starting basis for future studies including the elaboration of low-carbon ternary cements and the generation of new knowledge on this binary mixture in the physico-mechanical and durable performance of new eco-cements.
Author Contributions
Conceptualization, J.V.-H., E.V.-C. and M.F.R.; methodology, H.S.J.; validation, J.V.-H.; formal analysis, J.V.-H., E.V.-C. and H.S.J.; investigation, J.V.-H., E.V.-C. and M.F.R.; resources, H.S.J.; writing—original draft, J.V.-H. and E.V.-C.; writing—review & editing, J.V.-H., E.V.-C., H.S.J. and M.F.R.; visualization, J.V.-H., E.V.-C. and M.F.R.; supervision, M.F.R.; project administration, H.S.J.; funding acquisition, E.V.-C., H.S.J. and M.F.R. All authors have read and agreed to the published version of the manuscript.
Funding
This research was funded by FAPESP (process No. 2022/11967-9), CAPES, Coordination for the Improvement of Higher Education Personnel-Brazil-Finance Code 001, CPG/FZEA selective process 03/2022, CNPq (Brazil) (401704/2013-0 and 306386/2013-5). The authors also gratefully acknowledge the Framework Collaboration Agreement between the IETcc-CSIC and the University of Sao Paulo (BDC20195702) and thank the Spanish Ministry of Science and Innovation, the Spanish National Research Agency (AEI) and the European Regional Development Fund (ERDF), Ref. PID2021-122390OB-C21 (CIDECAR). The APC was funded by the authors.
Data Availability Statement
The original contributions presented in the study are included in the article, further inquiries can be directed to the corresponding author.
Conflicts of Interest
The authors declare no conflict of interest.
References
- Becker, N.; Kimhi, A.; Argaman, E. Costs and benefits of waste soils removal. Land Use Policy 2020, 99, 104877. [Google Scholar] [CrossRef]
- Chandrasekhar, S.; Pramada, P.N.; Majeed, J. Effect of calcination temperature and heating rate on the optical properties and reactivity of rice husk ash. Mater. Sci. 2006, 41, 7926–7933. [Google Scholar] [CrossRef]
- Cordeiro, G.C.; Toledo, R.D.; Tavares, L.M.; Fairbairn, E.; Hempel, S. Influence of particle size and specific surface area on the pozzolanic activity of residual rice husk ash. Cem. Concr. Compos. 2011, 33, 529–534. [Google Scholar] [CrossRef]
- Frías, M.; Villar-Cociña, E.; Valencia-Morales, E. Characterization of sugar cane straw waste as pozzolanic material for construction: Calcining temperature and kinetic parameters. Waste Manag. 2007, 27, 533–538. [Google Scholar] [CrossRef]
- Nakanishi, E.Y.; Villar-Cociña, E.; Santos, S.F.; Rodrigues, S.F.; Pinto, P.S.; Savastano, H. Tratamentos térmico e químico para remoção de óxidos alcalinos de cinzas de capim Elefante. Quim. Nova. 2014, 37, 766–769. [Google Scholar] [CrossRef]
- Singh, N.B.; Singh, V.D.; Rai, S. Hydration of bagasse ash-blended portland cement. Cem. Concr. Res. 2000, 30, 1485–1488. [Google Scholar] [CrossRef]
- Karellas, S.; Leontaritis, A.D.; Panousis, G.; Bellos, E.; Kakaras, E. Energetic and exergetic analysis of waste heat recovery systems in the cement industry. Energy 2013, 58, 147–156. [Google Scholar] [CrossRef]
- Kumar-Mehta, P.; Monteiro, P.J.M. Concrete: Microstructe, Properties, and Materials, 4th ed.; McGraw-Hill Education: New York, NY, USA, 2014. [Google Scholar]
- Frías, M.; Savastano, H.; Villar-Cociña, E.; Sánchez de Rojas, M.I.; Santos, S.F. Characterization and properties of blended cement matrices containing activated bamboo leaf wastes. Cem. Concr. Compos. 2012, 34, 1019–1023. [Google Scholar] [CrossRef]
- Villar-Cociña, E.; Valencia-Morales, E.; Santos, S.F.; Savastano, H.; Frías, M. Pozzolanic behavior of bamboo leaf ash: Characterization and determination of the kinetic parameters. Cem. Concr. Compos. 2011, 33, 68–73. [Google Scholar] [CrossRef]
- Wijesekara, D.A.; Sargent, P.; Hughes, D.J.; Ennis, C.J. Sintered Bottom and Vitrified Silica Ashes Derived from Incinerated Municipal Solid Waste as Circular Economy-Friendly Partial Replacements for Cement in Mortars. Waste Biomass Valorization 2024, 15, 2735–2756. [Google Scholar] [CrossRef]
- Shanmugasundaram, N.; Praveenkumar, S. Pozzolanic evaluation of Portland cement blended with agro-industrial by-products: An experimental and thermodynamic modeling technique. Constr. Build. Mater. 2024, 433, 136644. [Google Scholar] [CrossRef]
- Massazza, F. Chemistry of pozzolanic additions and mixed cement. Il Cem. 1976, 73, 3–39. [Google Scholar]
- Metha, P.K. Role of cementitious material in sustainable development of the concrete industry. In Proceedings of the Sixth CANMET/ACI International Conference on the Fly Ash, Silica Fume, Slag and Natural Pozzolans in Concrete, Bangkok, Thailand, 31 May–6 July 1998; Volume 1, pp. 1–20. [Google Scholar]
- Suárez-Silgado, S.S.; Betancourt, C.; Molina, J.; Mahecha, L. La gestión de los residuos de construcción y demolición en Villavicencio: Estado actual, barreras e instrumentos de gestión. Entramado 2019, 15, 224–244. [Google Scholar] [CrossRef]
- Frías, M.; Martínez-Ramírez, S.; Vigil de la Villar, R.; Fernández-Carrasco, L.; García, R. Reactivity in cement pastes bearing fine fraction concrete and glass from construction and demolition waste: Microstructural analysis of viability. Cem. Concr. Res. 2021, 148, 106531. [Google Scholar] [CrossRef]
- Maciel, T.; Stumpf, M.; Kern, A. Management system proposal for planning and controlling construction waste. Rev. Ing. Const. 2016, 31, 105–116. [Google Scholar] [CrossRef]
- Zou, G.; Zhang, J.; Liu, X.; Lin, Y.; Yu, H. Design and performance of emulsified asphalt mixtures containing construction and demolition waste. Constr. Build. Mater. 2020, 239, 117846. [Google Scholar] [CrossRef]
- Šljivic-Ivanovic, M.; Smiciklas, I. Utilization of C&D waste in radioactive waste treatment—Current knowledge and perspectives. In Advances in Construction and Demolition Waste Recycling; Pacheco-Torgal, F., Ding, Y., Koutamanis, A., Eds.; Woodhead Publishing: Cambridge, UK, 2020; Chapter 23; pp. 475–500. [Google Scholar]
- Asensio, E.A.; Medina, C.; Frías, M.; Sánchez de Rojas, M.I. Clay-based construction and demolition waste as a pozzolanic addition in blended cements. Effect on sulfate resistance. Constr. Build. Mater. 2016, 127, 950–958. [Google Scholar] [CrossRef]
- Asensio, E.; Medina, C.; Frías, M.; Sánchez de Rojas, M.I. Characterization of Ceramic-Based Construction and Demolition Waste: Use as Pozzolan in Cements. J. Am. Ceram. Soc. 2016, 99, 4121–4127. [Google Scholar] [CrossRef]
- Asensio, E.; Medina, C.; Frías, M.; Sánchez de Rojas, M.I. Use of clay-based construction and demolition waste as additions in the design of new low and very low heat of hydration cements. Mater. Struct. 2018, 51, 101–111. [Google Scholar] [CrossRef]
- Medina, C.; Banfill, P.F.G.; Sánchez de Rojas, M.I.; Frías, M. Rheological and calorimetric behaviour of cements blended with containing ceramic sanitary ware and construction/demolition waste. Constr. Build. Mater. 2013, 40, 822–831. [Google Scholar] [CrossRef]
- Krour, H.; Trauchessec, R.; Lecomte, A.; Diliberto, C.; Barnes-Davin, L.; Bolze, B.; Delhay, A. Incorporation rate of recycled aggregates in cement raw meals. Constr. Build. Mater. 2020, 248, 118217. [Google Scholar] [CrossRef]
- Contreras, M.; Teixeira, S.R.; Lucas, M.C.; Lima, L.C.N.; Cardoso, D.S.L.; da Silva, G.A.C.; Gregório, G.C.; de Souza, A.E.; dos Santos, A. Recycling of construction and demolition waste for producing new construction material (Brazil case-study). Constr. Build. Mater. 2016, 123, 594–600. [Google Scholar] [CrossRef]
- Frías, M.; Vigil de la Villa, R.; Martínez-Ramírez, S.; Fernández-Carrasco, L.; Villar-Cociña, E.; García-Giménez, R. Multi-Technique characterization of a fine fraction of CDW and assessment of reactivity in a CDW/Lime system. Minerals 2020, 10, 590. [Google Scholar] [CrossRef]
- Caneda-Martínez, L.; Monasterio, M.; Moreno-Juez, J.; Martínez-Ramírez, S.; García, R.; Frías, M. Behaviour and properties of eco-cement pastes elaborated with recycled concrete powder from construction and demolition wastes. Materials 2021, 14, 1299. [Google Scholar] [CrossRef] [PubMed]
- Moreno-Juez, J.; Vegas, I.J.; Frías, M.; Vigil de la Villa, R.; Guede-Vázquez, E. Laboratory scale study and semi-industrial validation of viability of inorganic CDW fine fractions as SCMs in blended cements. Constr. Build. Mater. 2021, 271, 121823. [Google Scholar] [CrossRef]
- Wenting, M.; Hao, J.L.; Zhang, C.; Guo, F.; Di Sarno, L. System Dynamics-Life Cycle Assessment Causal Loop Model for Evaluating the Carbon Emissions of Building Refurbishment Construction and Demolition Waste. Waste Biomass Valorization 2022, 13, 4099–4113. [Google Scholar] [CrossRef]
- Snellings, R.; Mertens, G.; Elsen, J. Supplementary cementitious Materials. Rev. Mineral. Geochem. 2012, 74, 211–278. [Google Scholar] [CrossRef]
- Goñi, S.; Frías, M.; Vegas, I.; García, R.; Vigil, R. Quantitative correlations among textural characteristics of C-S-H gel and mechanical properties: Case of ternary Portland cements containing activated paper sludge and Fly ash. Cem. Concr. Compos. 2012, 34, 911–916. [Google Scholar] [CrossRef]
- Maier, M.; Beuntner, N.; Thienel, K.C. Mineralogical characterization and reactivity test of common clays suitable as supplementary cementitious material. Appl. Clay Sci. 2021, 202, 105990. [Google Scholar] [CrossRef]
- Monasterio, M.; Caneda-Martínez, L.; Vegas, I.; Frías, M. Progress in the influence of recycled construction and demolition mineral-based blends on the physical–mechanical behaviour of ternary cementitious matrices. Constr. Build. Mater. 2022, 344, 128169. [Google Scholar] [CrossRef]
- Oliveira, D.; Sadalla, D.; Frías, M.; Savastano, H. Assessment of the potential use of construction and demolition waste (CDW) fines as eco-pozzolan in binary and ternary cements. Constr. Build. Mater. 2024, 411, 134320. [Google Scholar] [CrossRef]
- Villar-Cociña, E.; Savastano, H.; Rodier, L.; Lefran, M.; Frías, M. Pozzolanic Characterization of Cuban Bamboo Leaf Ash: Calcining Temperature and Kinetic Parameters. Waste Biomass Valorization 2018, 9, 691–699. [Google Scholar] [CrossRef]
- Villar-Cociña, E.; Rodier, L.; Savastano, H.; Lefran, M.; Frías, M. A Comparative Study on the Pozzolanic Activity between Bamboo Leaves Ash and Silica Fume: Kinetic Parameters. Waste Biomass Valorization 2019, 11, 1627–1634. [Google Scholar] [CrossRef]
- Dwivedi, V.N.; Singh, N.P.; Dasa, S.S.; Singh, N.B. A new pozzolanic material for cement industry: Bamboo leaf ash. Int. J. Phys. Sci. 2006, 1, 106–111. [Google Scholar]
- Lee, S.H.; Md Tahir, P.; Osman Al-Edrus, S.S.; Uyup, M.K.A. Bamboo Resources, Trade, and Utilisation. In Multifaceted Bamboo; Md Tahir, P., Lee, S.H., Osman Al-Edrus, S.S., Uyup, M.K.A., Eds.; Springer: Singapore, 2023; pp. 1–14. [Google Scholar] [CrossRef]
- Scurlock, J.M.; Dayton, D.C.; Hames, B. Bamboo: An overlooked biomass resource. Biomass Bioenergy 2000, 19, 229–244. [Google Scholar] [CrossRef]
- Villar-Cociña, E.; Frías, M.; Savastano, H.; Rodier, L.; Sánches de Rojas, M.I.; Del Bosque, I.F.S.; Medina, C. Quantitative comparison of binary mix of agro-industrial pozzolanic additions for elaborating ternary cements: Kinetic parameters. Materials 2021, 14, 2944. [Google Scholar] [CrossRef]
- Villar-Cociña, E.; Valencia-Morales, E.; Gonzalez-Rodríguez, R.; Hernández-Ruíz, J. Kinetics of the pozzolanic reaction between lime and sugar cane straw ash by electrical conductivity measurement: A kinetic–diffusive model. Cem. Concr. Res. 2003, 33, 517–524. [Google Scholar] [CrossRef]
- Villar-Cociña, E.; Frías, M.; Morales, E.V. Sugar cane wastes as pozzolanic materials: Application of mathematical model. ACI Mater. J. 2008, 105, 258–264. [Google Scholar] [CrossRef]
- Quintana-Crespo, E.; Villar-Cociña, E. A kinetic study about the pozzolanic reactivity of loessic soils by conductometric methods: Kinetic parameters. Adv. Cem. Res. 2011, 23, 3–10. [Google Scholar] [CrossRef]
- Rosell-Lam, M.; Villar-Cociña, E.; Frías, M. Study on the pozzolanic properties of a natural Cuban zeolitic rock by conductometric method: Kinetic parameters. Constr. Build. Mater. 2011, 25, 644–650. [Google Scholar] [CrossRef]
- Rodier, L.; Villar-Cociña, E.; Mejia, J.; Savastano, H. Potential use of sugarcane bagasse and bamboo leaf ashes for elaboration of green cementitious materials. J. Cleaner Prod. 2019, 231, 54–63. [Google Scholar] [CrossRef]
- Chen, Z.; Wei, Z.; Yi, C.; Bindiganavile, V.; Li, S.; Li, T. Strength and chloride resistance of mortars blended with SCBA: The effect of calcination and particle sizing on its pozzolanic activity. J. Mater. Res. Technol. 2023, 22, 1423–1435. [Google Scholar] [CrossRef]
- Standard ABNT NBR 5733; Cimento Portland de alta Resistência Inicial. Associação Brasilera de Normas Técnicas: Rio de Janeiro, Brazil, 1991.
- Standard ASTM C311-05; Standard Test Methods for Sampling and Testing Fly Ash or Natural Pozzolans for Use in Portland-Cement Concrete. ASTM International: West Conshohocken, PA, USA, 2005.
- Standard BS EN 196; Methods of Testing Cement. Part 5: Pozzolanicity Test for Pozzolanic Cement. European Committee for Standarization: Brussels, Belgium, 2011. Available online: https://www.academia.edu/43087674/BSI_Standards_Publication_Methods_of_testing_cement_Part_5_Pozzolanicity_test_for_pozzolanic_cement (accessed on 10 May 2024).
- Villar-Cociña, E.; Frías, M.; Valencia-Morales, E.; Savastano, H. Study of the pozzolanic reaction kinetics in sugar cane bagasse–clay ash/calcium hydroxide system: Kinetic parameters and pozzolanic activity. Adv. Cem. Res. 2009, 21, 23–30. [Google Scholar] [CrossRef]
- Rassk, E.; Bhaskar, M.C. Pozzolanic activity of pulverized fuel ash. Cem. Concr. Res. 1975, 5, 363–376. [Google Scholar] [CrossRef]
- Luxán, M.P.; Madruga, F.; Saavedra, J. Rapid evaluation of pozzolanic activity of natural products by conductivity measurement. Cem. Concr. Res. 1989, 19, 63–68. [Google Scholar] [CrossRef]
- Payá, J.; Borrachero, M.V.; Monzó, J.; Peris-Mora, E.; Amahjour, F. Enhanced conductivity measurement techniques for evaluation of fly ash pozzolanic activity. Cem. Concr. Res. 2001, 31, 41–49. [Google Scholar] [CrossRef]
- Tashima, M.M.; Soriano, L.; Monzó, J.; Borrachero, M.V.; Akasaki, J.L.; Payá, J. New method to assess the pozzolanic reactivity of mineral admixtures by means of pH and electrical conductivity measurements in lime: Pozzolan suspensions. Mater. Const. 2014, 64, 316. [Google Scholar] [CrossRef]
- Villar-Cociña, E.; Frías, M.; Valencia-Morales, E.; Sánchez de Rojas, M.I. An evaluation of different kinetic models for determining the kinetic coefficients in sugar cane straw–clay ash/lime system. Adv. Cem. Res. 2006, 18, 17–26. [Google Scholar] [CrossRef]
- Standard ABNT NBR 16606; Cimento Portland—Determinação da Pasta de Consistência Normal. Associação Brasilera de Normas Técnicas: Rio de Janeiro, Brazil, 2018.
- Standard ABNT NBR 7215; Cimento Portland—Determinação da Resistência à Compressão de Corpos de Prova Cilíndricos. Associação Brasilera de Normas Técnicas: Rio de Janeiro, Brazil, 2019.
- Rocha, J.H.A.; Tinoco, M.P.; Toledo, R.D. The effect of recycled concrete powder (RCP) from precast concrete plant on fresh and mechanical properties of cementitious pastes. Mater. Constr. 2023, 73, e325. [Google Scholar] [CrossRef]
- Velardo, P.; Sáez del Bosque, I.F.; Sánchez de Rojas, M.I.; de Belie, N.; Medina, C. Effect of incorporating biomass bottom ash and construction and demolition waste powder on the physical-mechanical properties and micro-structure of ternary-blended mortars. Constr. Build. Mater. 2024, 432, 136628. [Google Scholar] [CrossRef]
- Kumar, S.; Kumar, D.; Rudzionis, Z. A review on sustainable use of agricultural straw and husk biomassashes: Transitioning towards low carbon economy. Sci. Total Environ. 2022, 838, 156407. [Google Scholar] [CrossRef]
- Nakanishi, E.Y.; Frías, M.; Santos, S.F.; Rodrigues, M.S.; Vigil, R.; Rodriguez, O.; Savastano, H. Investigating the possible usage of elephant grass ash to manufacture the eco-friently binary cements. J. Cleaner Production. 2016, 116, 236–243. [Google Scholar] [CrossRef]
- Navarrete, I.; Valdes, J.; Lopez, M.; Vargas, F. Replacement of pozzolanic blended cement by supplementary cementitious materials: Mechanical and environmental approach. Constr. Build. Mater. 2023, 394, 132263. [Google Scholar] [CrossRef]
- García, R.; Vigil, R.; Rodriguez, O.; Frías, M. Mineral phases formation on the pozzolan/lime/water system. Appl. Clay Sci. 2009, 43, 331–335. [Google Scholar] [CrossRef]
- Li, J.; Geng, G.; Myers, R.; Yu, Y.S.; Shapiro, D.; Carraro, C.; Maboudian, R.; Monteiro, P. The chemistry and structure of calcium (alumino) silicate hydrate: A study by XANES, ptychographic imaging, and wide- and small-angle scattering. Cem. Concr. Res. 2018, 115, 367–368. [Google Scholar] [CrossRef]
- Geng, G.; Myers, R.; Maboudian, R.; Carraro, C.; Shapiro, D.; Monteiro, P. Aluminum-induced dreierketten chain cross-links increase the mechanical properties of nanocrystalline calcium aluminosilicate hydrate. Sci. Rep. 2017, 7, 44032. [Google Scholar] [CrossRef]
- Vigil de la Villa, R.; Fernández, R.; Rodríguez, O.; García, R.; Villar-Cociña, E.; Frías, M. Evolution of the pozzolanic activity of a thermally treated zeolite. J. Mater. Sci. 2013, 48, 3213–3224. [Google Scholar] [CrossRef]
- Eyring, H.; Polanyi, M. On simple gas reaction. Z. Phys. Chem. Abt. B. 1967, 12, 279–311. [Google Scholar]
- Eyring, H. The activated complex in chemical reactions. J. Chem. Phys. 1935, 3, 107–115. [Google Scholar] [CrossRef]
- Levenberg, K. A Method for the Solution of Certain Non-Linear Problems in Least Squares. Q. Appl. Math. 1944, 2, 164–168. [Google Scholar] [CrossRef]
- Marquardt, D.W. An algorithm for least-squares estimation of nonlinear parameters. J. Soc. Indust. Appl. Math. 1963, 11, 431–441. [Google Scholar] [CrossRef]
- Vigil de la Villa, R.; Frias, M.; Martínez, S.; Fernández -Carrasco, L.; Villar-Cociña, E.; García, R. Reactivity of Binary Construction and Demolition Waste Mix as Supplementary Cementitious Materials. Materials 2021, 14, 6481. [Google Scholar] [CrossRef] [PubMed]
- Standard EN 197-6; Cement with Recycled Building Materials. European Committee for Standarization: Brussels, Belgium, 2022.
Disclaimer/Publisher’s Note: The statements, opinions and data contained in all publications are solely those of the individual author(s) and contributor(s) and not of MDPI and/or the editor(s). MDPI and/or the editor(s) disclaim responsibility for any injury to people or property resulting from any ideas, methods, instructions or products referred to in the content. |
© 2024 by the authors. Licensee MDPI, Basel, Switzerland. This article is an open access article distributed under the terms and conditions of the Creative Commons Attribution (CC BY) license (https://creativecommons.org/licenses/by/4.0/).










