Evaluation of Synthetic-Temporal Imagery as an Environmental Covariate for Digital Soil Mapping: A Case Study in Soils under Tropical Pastures
Abstract
1. Introduction
2. Materials and Methods
2.1. Study Area and Soil Survey
2.2. Vegetation Greenness Time Series and Land Surface Phenology
2.3. Additional Soil Environmental Covariates: Topography and Parent Material
2.4. Digital Soil Mapping
2.5. Rainfall Seasonality
3. Results
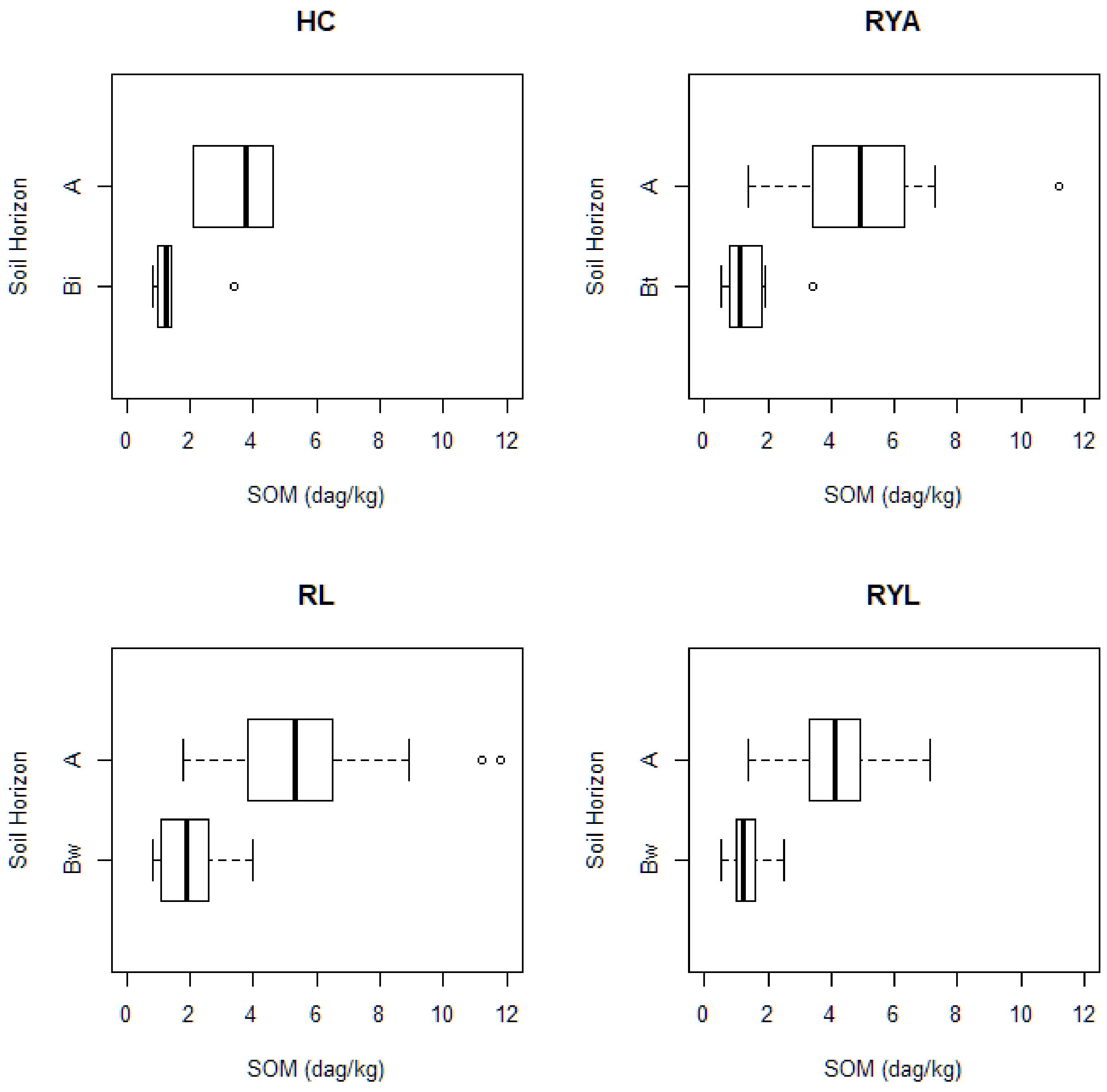
3.1. Soil Charachterization
3.2. Accuracy Assessment of DSM Predictive Models
3.3. Covariates Importance for DSM
3.4. Relationships between Rainfall and Vegetation Greenness for Each Soil Type
4. Discussion
4.1. Soil Control on the Response of Vegetation Greenness to Rainfall
4.2. Suitability of LSP Data for DSM
5. Conclusions
Author Contributions
Funding
Data Availability Statement
Conflicts of Interest
References
- McBratney, A.B.; Mendonça-Santos, M.L.; Minasny, B. On Digital Soil Mapping. Geoderma 2003, 117, 3–52. [Google Scholar] [CrossRef]
- Ma, Y.; Minasny, B.; Malone, B.P.; Mcbratney, A.B. Pedology and digital soil mapping (DSM). Eur. J. Soil Sci. 2019, 70, 216–235. [Google Scholar] [CrossRef]
- Wadoux, A.-C.; SamuelRosa, A.; Poggio, L.; Mulder, V.L. A note on knowledge discovery and machine learning in digital soil mapping. Eur. J. Soil Sci. 2020, 71, 133–136. [Google Scholar] [CrossRef]
- Coelho, F.F.; Giasson, E.; Campos, A.R.; Tiecher, T.; Costa, J.J.F.; Coblinski, J.A. Digital soil class mapping in Brazil: A systematic review. Sci. Agric. 2020, 78, e20190227. [Google Scholar] [CrossRef]
- Soil Science Division Staff. Soil Survey Manual, 4th ed.; Handbook No. 18.; U.S. Department of Agriculture, U.S. Government Printing Office: Washington, DC, USA, 2017.
- Araya, S.; Lyle, G.; Lewis, M.; Ostendorf, B. Phenologic metrics derived from MODIS NDVI as indicators for Plant Available Water-holding Capacity. Ecol. Indic. 2016, 60, 1263–1272. [Google Scholar] [CrossRef]
- Fujii, K.; Shibata, M.; Kitajima, K.; Ichie, T.; Kitayama, K.; Turner, B.L. Plant–soil interactions maintain biodiversity and functions of tropical forest ecosystems. Ecol. Res. 2018, 33, 149–160. [Google Scholar] [CrossRef]
- Berry, S.L.; Mackey, B. On modelling the relationship between vegetation greenness and water balance and land use change. Sci. Rep. 2018, 8, 9066. [Google Scholar] [CrossRef] [PubMed]
- IBGE. Manual técnico de pedologia. In Coordenação de Recursos Naturais e Estudos Ambientais, 3rd ed.; IBGE: Rio de Janeiro, Brazil, 2007; 430p. [Google Scholar]
- Helman, D. Land surface phenology: What do we really ‘see’ from space? Sci. Total Environ. 2018, 618, 665–673. [Google Scholar] [CrossRef] [PubMed]
- Mulder, V.L.; de Bruin, S.; Schaepman, M.E.; Mayr, T.R. The use of remote sensing in soil and terrain mapping—A review. Geoderma 2011, 162, 1–19. [Google Scholar] [CrossRef]
- Rouse, J.W.; Haas, R.J.; Schell, J.A.; Deering, D.W. Monitoring vegetation systems in the Great Plains with ERTS. In NASA SP-351, Third ERTS-1 Symposium; Texas A&M University: College Station, TX, USA, 1974; pp. 309–317. [Google Scholar]
- Padarian, J.; Minasny, B.; McBratney, A.B. Using Google’s cloud-based platform for digital soil mapping. Comput. Geosci. 2015, 83, 80–88. [Google Scholar] [CrossRef]
- Dwyer, J.L.; Roy, D.P.; Sauer, B.; Jenkerson, C.B.; Zhang, H.K.; Lymburner, L. Analysis ready data: Enabling analysis of the landsat archive. Remote Sens. 2018, 10, 1363. [Google Scholar] [CrossRef]
- Demattê, J.A.M.; Sayão, V.M.; Rizzo, R.; Fongaro, C.T. Soil class and attribute dynamics and their relationship with natural vegetation based on satellite remote sensing. Geoderma 2017, 302, 39–51. [Google Scholar] [CrossRef]
- Maynard, J.J.; Levi, M.R. Hyper-temporal remote sensing for digital soil mapping: Characterizing soil-vegetation response to climatic variability. Geoderma 2017, 285, 94–109. [Google Scholar] [CrossRef]
- Li, Z.; Huffman, T.; Zhang, A.; Zhou, F.; McConkey, B. Spatially locating soil classes within complex soil polygons—Mapping soil capability for agriculture in Saskatchewan Canada. Agric. Ecosyst. Environ. 2012, 152, 59–67. [Google Scholar] [CrossRef]
- Caparros-Santiago, J.A.; Rodriguez-Galiano, V.; Dash, J. Land surface phenology as indicator of global terrestrial ecosystem dynamics: A systematic review. ISPRS J. Photogramm. Remote Sens. 2021, 171, 330–347. [Google Scholar] [CrossRef]
- Wolkovich, E.M.; Cook, B.I.; Allen, J.M.; Crimmins, T.M.; Betancourt, J.L.; Travers, S.E.; Pau, S.; Regetz, J.; Davies, T.J.; Kraft, N.J.; et al. Warming experiments underpredict plant phenological responses to climate change. Nature 2012, 485, 494–497. [Google Scholar] [CrossRef] [PubMed]
- Jönsson, P.; Eklundh, L. TIMESAT—A program for analyzing time-series of satellite sensor data. Comput. Geosci. 2004, 30, 833–845. [Google Scholar] [CrossRef]
- Yang, L.; He, X.; Shen, F.; Zhou, C.; Zhu, A.-X.; Gao, B.; Chen, Z.; Li, M. Improving prediction of soil organic carbon content in croplands using phenological parameters extracted from NDVI time series data. Soil Tillage Res. 2020, 196, 104465. [Google Scholar] [CrossRef]
- Fathololoumi, S.; Vaezi, A.R.; Alavipanah, S.K.; Ghorbani, A.; Saurette, D.; Biswas, A. Improved Digital Soil Mapping with Multitemporal Remotely Sensed Satellite Data Fusion: A Case Study in Iran. Sci. Total Environ. 2018, 721, 137703. [Google Scholar] [CrossRef]
- Curi, N.; Silva, S.H.G.; Poggere, G.C.; Menezes, M.D. Mapeamento de Solos e Magnetismo no Campus da UFLA Como Traçadores Ambientais; UFLA: Lavras, MG, Brazil, 2017; ISBN 978-85-8127-052-4. [Google Scholar]
- Santos, H.G.d.; Jacomine, P.K.T.; Anjos, L.H.C.d.; Oliveira, V.A.d.; Lumbreras, J.F.; Coelho, M.R.; Almeida, J.A.d.; Araujo Filho, J.C.d.; Oliveira, J.B.d.; Cunha, T.J.F. Brazilian Soil Classification System; Embrapa: Brasilia, DF, Brasil, 2018; Available online: https://www.embrapa.br/busca-de-publicacoes/-/publicacao/1094001/brazilian-soil-classification-system (accessed on 18 August 2020).
- Embrapa. Manual de Análises Químicas de Solos, Plantas e Fertilizantes, 1st ed.; Solos, E., Ed.; Embrapa: Rio de Janeiro, Brazil, 1999. [Google Scholar]
- Alvares, C.A.; Stape, J.L.; Sentelhas, P.C.; Gonçalves, J.L.M.; Sparovek, G. Köppen’s Climate Classification Map for Brazil. Meteorol. Z. 2013, 6, 711–728. [Google Scholar] [CrossRef]
- Souza, C.M.; Shimbo, J.Z.; Rosa, M.R.; Parente, L.L.; Alencar, A.A.; Rudorff, B.F.T.; Hasenack, H.; Matsumoto, M.; Ferreira, L.G.; Souza-Filho, P.W.M.; et al. Reconstructing Three Decades of Land Use and Land Cover Changes in Brazilian Biomes with Landsat Archive and Earth Engine. Remote Sens. 2020, 12, 735. [Google Scholar] [CrossRef]
- Hijmans, R.J. Raster: Geographic Data Analysis and Modeling. 2020. Available online: https://cran.r-project.org/package=raster (accessed on 5 April 2020).
- R-Core-Team. R: A Language and Environment for Statistical Computing; R-Core-Team: Vienna, Austria, 2019; Available online: https://www.R-project.org (accessed on 10 April 2020).
- Eklundh, L.; Jönsson, P. Timesat—Software Manual; Lund and Malmö University: Lund, Sweden, 2017; Available online: http://www.nateko.lu.se/TIMESAT/ (accessed on 5 January 2020).
- Hird, J.N.; McDermid, G.J. Noise reduction of NDVI time series: An empirical comparison of selected techniques. Remote Sens. Environ. 2009, 113, 248–258. [Google Scholar] [CrossRef]
- Conrad, O.; Bechtel, B.; Bock, M.; Dietrich, H.; Fischer, E.; Gerlitz, L.; Wehberg, J.; Wichmann, V.; Boehner, J. System for Automated Geoscientific Analyses (SAGA) v. 2.1.4. Geosci. Model Dev. 2015, 8, 1991–2007. [Google Scholar] [CrossRef]
- Zheng, X.; Xiong, H.; Yue, L.; Gong, J. An improved ANUDEM method combining topographic correction and DEM interpolation. Geocarto Int. 2016, 31, 492–505. [Google Scholar] [CrossRef]
- Silva, S.; Poggere, G.; Menezes, M.; Carvalho, G.; Guilherme, L.; Curi, N. Proximal sensing and digital terrain models applied to digital soil mapping and modeling of Brazilian Latosols (Oxisols). Remote Sens. 2016, 8, 614. [Google Scholar] [CrossRef]
- Gee, G.W.; Bauder, J.W. Particle-Size Analysis. In Methods of Soil Analysis; Klute, A., Ed.; American Society of Agronomy: Madison, WI, USA, 1986; pp. 383–412. [Google Scholar]
- Breiman, L. Random Forests. Machine Learning 2001, 45, 5–32. [Google Scholar] [CrossRef]
- Liaw, A.; Wiener, M. Classification and regression by randomForest. R News 2002, 2, 18–22. [Google Scholar] [CrossRef]
- Hengl, T.; Nussbaum, M.; Wright, M.N.; Heuvelink, G.B.M.; Gräler, B. Random forest as a generic framework for predictive modeling of spatial and spatio-temporal variables. PeerJ 2018, 6, e5518. [Google Scholar] [CrossRef] [PubMed]
- Heung, B.; Ho, H.C.; Zhang, J.; Knudby, A.; Bulmer, C.E.; Schmidt, M.G. An overview and comparison of machine-learning techniques for classification purposes in digital soil mapping. Geoderma 2016, 265, 62–77. [Google Scholar] [CrossRef]
- Silva, B.P.C.; Silva, M.L.N.; Avalos, F.A.P.; de Menezes, M.D.; Curi, N. Digital soil mapping including additional point sampling in Posses ecosystem services pilot watershed, southeastern Brazil. Sci. Rep. 2019, 9, 13763. [Google Scholar] [CrossRef] [PubMed]
- Khaledian, Y.; Miller, B.A. Selecting appropriate machine learning methods for digital soil mapping. Appl. Math. Model. 2020, 81, 401–418. [Google Scholar] [CrossRef]
- Soil-Survey-Staff. Keys to Soil Taxonomy, 12th ed.; USDA-Natural Resources Conservation Service: Washington, DC, USA, 2014.
- IUSS Working Group WRB. World Reference Base for Soil Resources 2014, Update 2015 International Soil Classification System for Naming Soils and Creating Legends for Soil Maps; World Soil Resources Reports No. 106; FAO: Rome, Italy, 2015; Available online: https://www.fao.org/3/i3794en/I3794en.pdf (accessed on 15 January 2020).
- Congalton, R.G. Accuracy Assessment and Validation of Remotely Sensed and Other Spatial Information. Int. J. Wildland Fire 2001, 10, 321–328. [Google Scholar] [CrossRef]
- Wadoux, A.M.-C.; Molnar, C. Beyond prediction: Methods for interpreting complex models of soil variation. Geoderma 2021, 422, 115953. [Google Scholar] [CrossRef]
- Resende, M.; Curi, N.; Rezende, S.D.; Silva, S.H.G. Da Rocha ao Solo: Enfoque Ambiental; UFLA: Lavras, Brazil, 2019. [Google Scholar]
- Gonçalves, M.G.M.; Brant, L.A.C.; Mota, R.V.D.; Peregrino, I.; Souza, C.R.D.; Regina, M.D.A.; Fruett, T.; Inda, A.V.; Curi, N.; Menezes, M.D.D. Soil and climate effects on winter wine produced under the tropical environmental conditions of southeastern Brazil. OENO One 2022, 56, 63–79. [Google Scholar] [CrossRef]
- Landis, J.R.; Koch, G.G. The Measurement of Observer Agreement for Categorical Data. Biometrics 1977, 33, 159–174. [Google Scholar] [CrossRef] [PubMed]
- Nicholson, S.E.; Farrar, T.J. The influence of soil type on the relationships between NDVI, rainfall and soil moisture in semiarid Botswana. I. NDVI response to rainfall. Remote Sens. Environ. 1994, 50, 107–120. [Google Scholar] [CrossRef]
- Carducci, C.E.; de Oliveira, G.C.; Severiano, E.d.C.; Zeviani, W.M. Modelagem da curva de retenção de água de Latossolos utilizando a Equação Duplo Van Genuchten. Rev. Bras. Ciênc. Solo 2011, 35, 77–86. [Google Scholar] [CrossRef]
- Sans, L.M.A. Estimativa do Regime de Umidade Pelo Método de Newhall, de um Latossolo Vermelho-Escuro Álico da Região de Sete Lagoas, MG. Ph.D. Thesis, Universidade Federal de Viçosa, Viçosa, Brazil, 1986; 190p. [Google Scholar]
- Méndez-Barroso, L.A.; Vivoni, E.R.; Watts, C.J.; Rodríguez, J.C. Seasonal and interannual relations between precipitation, surface soil moisture and vegetation dynamics in the North American monsoon region. J. Hydrol. 2009, 377, 59–70. [Google Scholar] [CrossRef]
- Farrar, T.J.; Nicholson, S.E.; Lare, A.R. The influence of soil type on the relationships between NDVI, rainfall, and soil moisture in semiarid Botswana. II. NDVI response to soil moisture. Remote Sens. Environ. 1994, 50, 121–133. [Google Scholar] [CrossRef]
- Gholizadeh, A.; Kopačková, V. Detecting vegetation stress as a soil contamination proxy: A review of optical proximal and remote sensing techniques. Int. J. Environ. Sci. Technol. 2019, 16, 2511–2524. [Google Scholar] [CrossRef]
- Menzel, A. Phenology: Its importance to the global change community. Clim. Change 2002, 54, 379. [Google Scholar] [CrossRef]








| Soil Type | Rho | p-Value |
|---|---|---|
| Red-Yellow Latosol | 0.4 | 0.05 |
| Red-Yellow Argisol | 0.5 | 0.03 |
| Red Latosol | 0.7 | 0.02 |
| Haplic Cambisol | 0.4 | 0.04 |
Disclaimer/Publisher’s Note: The statements, opinions and data contained in all publications are solely those of the individual author(s) and contributor(s) and not of MDPI and/or the editor(s). MDPI and/or the editor(s) disclaim responsibility for any injury to people or property resulting from any ideas, methods, instructions or products referred to in the content. |
© 2024 by the authors. Licensee MDPI, Basel, Switzerland. This article is an open access article distributed under the terms and conditions of the Creative Commons Attribution (CC BY) license (https://creativecommons.org/licenses/by/4.0/).
Share and Cite
Avalos, F.A.P.; de Menezes, M.D.; Acerbi Júnior, F.W.; Curi, N.; Avanzi, J.C.; Silva, M.L.N. Evaluation of Synthetic-Temporal Imagery as an Environmental Covariate for Digital Soil Mapping: A Case Study in Soils under Tropical Pastures. Resources 2024, 13, 32. https://doi.org/10.3390/resources13020032
Avalos FAP, de Menezes MD, Acerbi Júnior FW, Curi N, Avanzi JC, Silva MLN. Evaluation of Synthetic-Temporal Imagery as an Environmental Covariate for Digital Soil Mapping: A Case Study in Soils under Tropical Pastures. Resources. 2024; 13(2):32. https://doi.org/10.3390/resources13020032
Chicago/Turabian StyleAvalos, Fabio Arnaldo Pomar, Michele Duarte de Menezes, Fausto Weimar Acerbi Júnior, Nilton Curi, Junior Cesar Avanzi, and Marx Leandro Naves Silva. 2024. "Evaluation of Synthetic-Temporal Imagery as an Environmental Covariate for Digital Soil Mapping: A Case Study in Soils under Tropical Pastures" Resources 13, no. 2: 32. https://doi.org/10.3390/resources13020032
APA StyleAvalos, F. A. P., de Menezes, M. D., Acerbi Júnior, F. W., Curi, N., Avanzi, J. C., & Silva, M. L. N. (2024). Evaluation of Synthetic-Temporal Imagery as an Environmental Covariate for Digital Soil Mapping: A Case Study in Soils under Tropical Pastures. Resources, 13(2), 32. https://doi.org/10.3390/resources13020032

