Abstract
The multisided platform (MSP) is an essential business construct in the digital economy. Some of the largest companies in the world—including Google, Amazon, and eBay—exploit the MSP in their business models. Fundamental insights into the MSP are crucial to understand the business operations of the digital economy and how new innovative digital services are adopted in the market. The MSP ecosystem is complex and dynamic, and involves heterogeneous stakeholders with different business motivations. This paper classifies the various types of MSPs, distinguished by the network effect between user groups. Moreover, this paper shows how the original diffusion model of Frank Bass can be extended to analyze the temporal evolution of multisided platforms. Analytical models using coupled sets of ordinary differential equations are developed for several examples of two-sided platforms. For some of these examples, analytical solutions are found.
1. Introduction
Fundamental strategic questions in market analysis are related to how the market for new innovations evolves as a function of time. Will it start developing at all? How fast will it grow? At what time will the market start to generate revenues? When will the market reach saturation? These were, for example, the key questions when the Global System for Mobile Communications (GSM) was developed during the 1980s. The market departments of several telecommunications carriers questioned whether mobile communications would ever become an important asset in their portfolio [1]. Cellular mobile communication is a simple “single-sided” service, and, even in such a simple case, it is difficult to produce good and reliable forecasts for the evolution of the technology. Answering these questions is much more difficult for multisided platforms since, by definition, several market segments with entirely different value propositions interact and evolve simultaneously. In several cases, it is, therefore, not enough to study the evolution of each market segment alone. This is one of the questions explored in this paper, in particular, if and how the interaction takes place between market segments. The answer to this question is one of the key subjects of Section 4 and Section 5.
The purpose of this paper is to shed light on some of these questions for multisided platforms (MSPs) with strong network effects between the user groups. In particular, the paper studies how initial growth may be stimulated and how fast the different market segments will grow. We will use simple mathematical models based on standard analyses of nonlinear dynamic physical systems (see [2] for an introductory text on nonlinear dynamic systems). These models are just idealized approximations for the evolution of real multisided markets. Nevertheless, the models may uncover basic characteristics concerning the temporal evolution of the platform businesses that are important for strategic decisions.
Two comprehensive overviews of the literature on the economics of MSPs are presented in papers by Sánchez-Cartas and León [3] and Abdelkafi et al. [4]. The papers referred to in these studies consider the economics of multisided platforms from different perspectives, such as design, dynamics, performance, regulations, and policies. These papers provide insight into important areas, such as the pricing of platform services, interactions, and network effects between the different market segments of the platform, the behavior of users, competition between platforms offering equivalent services, problems associated with regulations, and the formation of de facto monopolies. There are also a few studies concerning the dynamics of these platforms, in particular the initial evolution of the platform service—see, e.g., [5,6]. These papers are concerned with two types of problems: the service initiation problem (“chicken and egg” problem) and the competition between platforms offering similar services. However, none of the papers address the temporal evolution of platform services using analytic or system dynamic methods.
In their book [7], Cusumano et al. offer a comprehensive introduction to business models and several other aspects of multisided platforms, covering most of the business aspects of multisided platforms also referred to in the articles by Sánches et al. and Abdelkafi et al. However, the book does not contain explicit analyses of the temporal evolution of platform services.
Our literature search has not revealed any mathematical studies concerning the temporal evolution of multisided platforms from launching to market saturation. In particular, the search has not revealed any examples wherein ordinary differential equations are used for this purpose. This observation exposes evident gaps in the study of the market evolution of multisided platforms.
The purpose of this paper is to fill this gap by developing new mathematical models for how network effects within (same-side) and between (cross-side) different market segments—or user groups—make the market segments interact and grow. The new mathematical models are inspired by the Bass model for the growth of consumer durables [8] by proposing how the differential equation developed by Bass can be extended to incorporate cross-side network effects. The theory is applied to the special case of two-sided platforms to derive closed-form solutions of differential equations. Analysis of more complex platforms can only be done by numerical methods and simulations. This is beyond the scope of this paper.
Our work is also inspired by the early studies of Arthur et al. on the path-dependent evolution of economic systems with strong network effects [9]. They study the temporal evolution of such systems using a discrete growth algorithm based on Polya urns. They show that the system may end up in any of several possible future equilibrium states, and not in just one predetermined state, as postulated by classical economic theory. For a comprehensive overview of the application of Polya urn models, see [10]. The application of Polya urns to complex systems, such as MSPs, is difficult. Therefore, unlike the work by Arthur et al., we will use the simpler and more direct approach of coupled nonlinear differential equations to study the temporal evolution of MSPs. We have not found any papers in the economic literature addressing the evolution of multisided platforms in this way (or by any other methods).
In summary, the main contributions of this paper with respect to multisided platforms are:
- To show how to extend the Bass equation to MSPs with both same-side and cross-side network effects.
- To classify two-sided platforms according to same-side and cross-side network effects, and to develop a generic set of first-order differential equations for each class.
- To show mathematically that the initial growth of the platform may depend on the type of network effects in such a way that the market segments offered by the platform will not start growing unless there are some initial customers. This is often referred to as the “chicken and egg problem”. The strategic challenges are then (i) to identify whether this is the case for the platform and (ii) to determine how to persuade sufficient numbers of customers to start using the platform to reach a threshold at which the growth becomes self-sustained.
- To show that, even with an initial customer base, network effects may result in long latency periods until the market reaches a level at which the revenues from the platform become positive. Such behavior has been observed for, for example, Facebook [11]. This is also a strategic challenge because long latency may motivate the platform provider to terminate the service prematurely.
- To show that the market growth subject to strong network effects follows an S-curve shape, from slow initial growth (e.g., much slower than linear growth) to rapid growth after the market has exceeded a certain threshold.
The rest of the paper is organized as follows: Section 2 introduces multisided platforms. Section 3 provides the general analytical model for the temporal evolution of MSPs from launching to market saturation; in particular, how the differential equation developed by Bass can be extended to such platforms. To our knowledge, this is a new approach to studying the business potential of MSPs. Section 4 proposes a classification of two-sided platforms. It is shown that there are seven generic classes of two-sided platforms; that is, the complete analysis of two-sided platforms is limited to these generic classes. Section 5 is the main body of the paper, suggesting analytical models for each of the seven classes of two-sided platforms. This analysis is by no means complete, but it provides some insight into strategic issues related to the different classes, in particular the “chicken and egg” problem. Finally, Section 6 concludes the paper.
2. Multisided Platforms
This section discusses the background and related works of MSPs (Section 2.1), and details concerning market feedback, pricing, competition, business ecosystem, and market regulations (Section 2.2, Section 2.3, Section 2.4, Section 2.5 and Section 2.6).
2.1. Background and Related Works
In the MSP, two or more distinct user groups interact to produce mutual benefits for each other [12]. In many practical cases, there are just two groups—the multisided platform then becomes a two-sided platform. There is no essential difference between modeling two-sided and multisided platforms except that it becomes more difficult to solve the differential equations. Therefore, the mathematical description of the dynamics of such platforms is limited to two-sided platforms to derive closed-form expressions for the temporal market evolution of the platform. This is done in Section 5 based on the classification proposed in Section 4. The general conclusions from the simple models for two-sided platforms may still be extended to more complex platforms as elements for assessing business opportunities and strategic challenges.
Some of the largest companies in the digital economy are MSPs, for example, Google, Amazon, eBay, Uber, and Airbnb [13,14]. Some MSPs have even become the market leaders in their industry, sometimes even without owning expensive physical assets, e.g., Uber and Airbnb. There is tremendous value in connecting different user groups. Furthermore, there remains huge potential for implementing MSPs in several business and industry sectors, as well as public domains.
The basic business proposition for MSPs is to offer mediating services, following the value network concept defined by Stabell and Fjeldstad in [15]. In this value-generating model, the organization offers services that support direct or indirect interactions between users. The organization also manages contracts that allow the users to access and utilize the services. Examples of contracts are subscriptions, tickets, club memberships, and ownership of certain tokens (e.g., credit cards).
The mediation may take place between users in the same user group and between users in different user groups. Facebook offers direct mediation services between the users of the social medium, allowing them to interact. In addition, Facebook offers mediation services between two different user groups—advertisers and users—by collecting information about the users that the advertisers can exploit to target the marketing of their products. However, a basic requirement for an MSP is that there must be interactions between the user groups. If this is not the case, then the platform just participates in independent business sectors and can be analyzed by standard business models. There are two main types of MSPs: digital MSPs and tangible MSPs. Digital MSPs mediate the exchange of digital goods and services, while tangible MSPs mediate the exchange of physical goods and non-digital services. Facebook and MasterCard are examples of digital MSPs, whereas Uber and Airbnb are examples of tangible MSPs. Tangible MSPs have also been termed “Online-to-Offline (O2O)” MSPs [16]. Examples of MSPs are shown in Table 1 ([14], Chapter 10).
Table 1.
Examples of digital and tangible MSPs.
Ardolino et al. [17] qualitatively described market feedback, pricing, competition, business ecosystem, and market regulation for MSPs. In a paper by Parker and Van Alstyne [18], the business prospects of two-sided platforms are analyzed using standard micro-economic supply and demand theory. The purpose of their paper is to show how companies can offer one of the products of the two-sided platform for free and, by this action, increase the total revenues generated by the platform. The characteristics discussed in these papers ([17,18]) are summarized in Section 2.2, Section 2.3, Section 2.4, Section 2.5 and Section 2.6.
2.2. Market Feedback
Network effects—or network externalities—are generated by positive feedback from the different market segments of the MSPs. There may be feedback from users in one user group to the users of the same user group—same-side network effects. In the simple market model of Bass, users subjected to such network effects are called imitators, as these are users that adopt a service or buy a product because others do so [8]. Feedback from one user group to another user group is called cross-side network effects. Both same-side and cross-side network effects may be positive—that is, increasing the probability that other users will adopt the service—or negative—that is, reducing the probability that other users will adopt the service or even persuade existing users to stop using the service. This paper considers only positive network effects.
2.3. Pricing
The pricing model, and hence the way revenues are generated, may be complex. Examples of price regimes of multisided platforms in the digital economy are:
- All user groups pay for the services they receive, for example, sellers and buyers using eBay and property owners and renters on Airbnb.
- Some users of a user group may pay for the services they receive, and other users may receive downscaled services for free, while other user groups (e.g., advertisers) may pay for all services they receive (e.g., advertisements and marketing). Examples of businesses applying such payment methods are electronic newspapers and Spotify.
- One or several user groups receive the services for free while other user groups pay for the services (e.g., Facebook and Google Search).
The last two pricing models are typical for MSPs if there is a strong network effect from one user group to another (for example, between users of Facebook and firms producing targeted advertisements). Subsidizing one of the user groups may increase the income generated by the platform rather than reducing it, since it may contribute to the growth of users in the other user group(s).
2.4. Competition
The platform may compete with other platforms offering the same services (e.g., Facebook and Myspace) or with entirely different platforms for capturing certain types of customers (e.g., Facebook and Google Search competing to attract advertisers). This type of competition may seem counterintuitive but is the most important competitive challenge for several platform operators. There may also be competition between the customers of the same user group (e.g., between drivers offering services over the Uber platform).
2.5. Business Ecosystem
Because of competition, the ecosystem for MSPs is more complex than other businesses. For this reason, the MSP must sometimes include stakeholders in its ecosystem analysis that are seemingly unrelated to the key business area of the platform. Therefore, standard business modeling tools may not capture all strategic issues the MSP is facing. Business models may, for example, fail to take cross-side network effects properly into account, and treat the various business segments independently.
2.6. Market Regulations
The existence of two or more user groups and strong network effects both within and between the user groups make it difficult to identify one regulatory regime that ensures fair competition and avoid market failures, such as the formation of monopolies. One particular problem is that the MSP is a monopoly in one market segment but not in other segments. For example, Facebook is a monopoly in the segment of social media services but not in the advertisement segment. The complexity of competition and the ecosystem may make it difficult to identify what can be regulated, the actual effects of the regulation and, in particular, how to avoid market failures.
3. A General Dynamic Model of MSPs
This section introduces the general dynamic model of the MSP (Section 3.1). Moreover, the section discusses the feedback function and the choice of parameters used in Section 5 (Section 3.2), and the combined effects of same-side and imitated cross-side network effects (Section 3.3).
3.1. The Model
Figure 1 shows a multisided platform with three user groups receiving different services from the platform via the links associating each user group with the platform. The model is extended to any number of user groups in an obvious way. The dynamic growth of each user group is determined by several factors:
Figure 1.
A multisided platform with three user groups—A, B, and C. Same-side and cross-side network effects within and between user groups, respectively, are indicated.
- Existence of innovators—or early adopters—joining the group independently of other users.
- Existence of imitators joining the group because other users have done so—same-side network effects.
- Existence of cross-side network effects causing users to join the group because other users have joined one or several other user groups.
In a multisided platform, different products or services are offered to several user groups. The dynamic behavior of the system consisting of user groups is then determined by a set of first-order differential equations, one for each user group, derived from the Bass equation [8]. To be independent of scale, the relative number of users in each user group is used as the dependent variable, i.e., , in which is the absolute number of users having adopted service and is the absolute number of potential users in this user group. The values of are then in the closed interval , in which is the initial value of .
The Bass model describes how a new product is adopted by potential consumers. Using a more direct method than Frank Bass, the simple differential equation for the temporal evolution of the market of a single product can be written as
in which is the relative number of adopters at a given time, is the coefficient of innovation, and is the coefficient of imitation [8]. The equation says that the change in the number of users adopting the service is proportional to the number of users that has not adopted the service yet (). The proportionality factor () is the sum of the rate by which innovators adopt the service () and the rate by which imitators do so ().
The Bass model assumes that imitators and innovators can be modeled as two homogeneous groups of indistinguishable agents characterized by a uniform probability to adopt the service—that is, the probability of adopting is averaged over the distribution of individual decisions made by each agent. For large user groups, this is a good approximation that allows us to analyze the dynamics using simple differential equations. There are two significantly different special cases of the Bass equation, as below.
All users are innovators—that is, there are no network effects and . Since there are no network effects, the market starts increasing even if there are no initial customers, i.e., .
All users are imitators—that is, all users adopt the service because other users have done so. In this case, the equation becomes . If there are no initial users (), the solution of the differential equation will be for all , that is, no users will ever adopt the service. This is the mathematical evidence of the chicken and egg problem.
The models in Section 5 will use the first case if there is no same-side network effect. If there is a same-side network effect, the second case (with ) is used. The reasoning behind this choice is elaborated in Section 3.3. Cases where there are both imitators and innovators (i.e., using the full Bass equation) are not considered because this results in differential equations for which analytic solutions cannot be found. This case should be subjected to further study.
The Bass equation can be extended to multisided platforms by multiplying the original equation by the effect feedback all other user groups have on the adoption rate of a particular user group. The logic behind this choice is that the feedback from other user groups increases the likelihood that new users will adopt the service; that is, the adoption rate of the Bass equation is modified by a factor equal to the feedback function. The set of differential equations for the dynamics of the multisided platform then becomes
in which the index enumerates the user groups and the function is the combined cross-side network effect generated by all other user groups. The symbol means that the function does not contain the variable . Without cross-side network effects (that is, ), this reduces to a set of independent Bass equations—each user group then evolves independently of how all other user groups evolve. It is also reasonable to assume that the feedback function can be written in the form:
Here, is the feedback from user group to user group . The rationale behind this assumption is that the feedback from one user group depends only on the number of users of that group and is independent of all other user groups. For two-sided platforms, the set of differential equations is:
in which we have, for simplicity of notation, set and . We will use these equations in Section 5.
3.2. The Feedback Function and Choice of Parameter Values
One simple cross-side feedback function from users of type to users of type is . We will call this feedback function imitated cross-side feedback. The rationale for this choice is twofold. If there are no users of one type, then there will be no users of the other type either. Moreover, it is assumed that the adoption rate for users of one category is proportional to the number of users of the other category. This is the reason why this type of feedback is denoted imitation. Facebook can be modeled as a two-sided platform consisting of the user groups social media users and advertisers. There is a same-side positive network effect between the social media users and a positive cross-side network effect from the social media users to the advertisers. However, if there are no social media users, there will be no advertisers. Moreover, it is reasonable to assume that the number of advertisements—and the revenues of Facebook—are proportional to the number of social media users on Facebook. On the other hand, there is no same-side network effect between advertisers; however, there may be a negative network effect from advertisers to social media users since advertisements may be viewed as unwanted distractions by some users. We do not include negative network effects in our model, but leave this for future research.
Another feedback function is . We call this composite growth feedback. The rationale behind this choice is that users of type adopt the service even if there are no users of type . In this case, the cross-side network effect only increases the adoption rate for users of type if (or reduces it if ). One example of this feedback function is freemium services with several user groups, in which, for example, one user group is offered a limited set of services for free. The existence of other user groups paying for more advanced services may have a positive feedback effect on the freemium user group since it may increase the functionality of the free—or cheaper—versions of the product. The two feedback functions outlined—imitated cross-side feedback and composite growth feedback—will be used in the various cases analyzed in Section 5 for two-sided platforms.
Next, let us estimate reasonable values for the coefficients of innovation and imitation for two-sided platforms. If there are only innovators, the solution of the Bass equation is ([14], Chapter 18). If we assume that 50% of the users have adopted the service after five years, we find . This is close to what has been observed for the mobile phone market in several countries [19]. Similarly, the solution of the Bass equation with only imitators is ([14], Chapter 18). Based on the statistics for Facebook [11], we set the initial number of users to and—presuming that of the potential users adopt the service after years—find . We also assume that the cross-side coefficient of imitation () is of the same order of magnitude as . To investigate the imitated cross-side network effects, we use three values for , namely 0.23, 0.46, and 0.92.
For composite growth feedback, we have not found empirical values for . To investigate the effect of this feedback function, we have chosen, quite arbitrarily, 0.5, 1, and 2. The set of parameters is summarized in Table 2.
Table 2.
Overview of parameters and initial values.
These parameter values have no significance other than being used in the examples in Section 5. For real applications, the parameters are expected to vary considerably between different services designed according to a particular platform type, as well as between services designed for different platform types. Hence, analyzing real platforms and comparing them with theory requires the determination of empirical parameters for the specific business cases being studied.
3.3. Combined Effect of Same-Side and Imitated Cross-Side Network Effects
Let us use the values for the flow parameters calculated in Section 3.2 to estimate latency under the conditions that all users of type A are innovators, and all users of type B are imitators and subject to cross-side network effects of the type , i.e., only imitated cross-side feedback, in addition to same-side network effects. This case is illustrated in Figure 2.
Figure 2.
Two-sided platform with same-side and cross-side imitators.
Setting , , , and , the differential equations for and become:
For small and , we have . The solution of the first equation is then . Inserted in the second equation, this gives:
The time it takes the number of users to reach the threshold is then
Suppose that the relative number of customers of type B must reach the threshold before the service becomes self-sustained, and, moreover, that the relative number of initial customers of type B is (e.g., 10,000 customers in a population of 1 million). Using the values calculated earlier for and , and , it will take years before the relative number of customers of type B reaches a market share of 10%. Hence, the situation wherein the adoption rate for customers of type B depends both on the number of customers of type A and all customers of type B being imitators cannot exist in real markets—the latency period is simply too long before the service generates any revenues. Only markets with weaker feedback functions are realistic in this case. Therefore, the composite growth feedback function is used in cases wherein both same-side and cross-side network effects determine the dynamics of one or both user groups.
4. Classification
There are altogether 16 possible combinations of same-side and cross-side network effects in an MSP consisting of two user groups. However, the number of combinations that need to be analyzed can be reduced to seven cases, as follows. Cases in which there are no cross-side network effects are not included, since they will be reduced to two independent Bass equations. Some of the cases are made symmetrical by interchanging the dependent variables and . For example, the cases “same-side A, cross-side AB, cross-side BA” and “same-side B, cross-side AB, cross-side BA” are identical in this respect. As are are the cases “same-side B, cross-side AB” and “same-side A, cross-side BA”. Table 3 summarizes the seven independent cases that need to be analyzed.
Table 3.
Overview of the various types of MSPs, their corresponding feedback, and example services.
The type of cross-side network effects is indicated for each case based on the observations made in Section 3.2. That is, if there is no same-side network effect, then imitated cross-side effect is used, and if there is same-side network effect, then the composite feedback effect is used. The table also includes an example of a digital service that obeys a particular model and the corresponding user groups. The parameter values used in the models of Section 5 are not based on empirical analysis of the example service, but on the values suggested in Section 3.2. Hence, the mathematical models in Section 5 do not describe the example service as it exists in the real market but are only concerned with the qualitative behavior of the particular model. The innovator of a two-sided platform business can use the models:
- To identify whether the implementation is subject to strategic traps such as “chicken and egg” and long latency.
- To determine how each service of the platform is likely to evolve (following an S-curve or an exponential distribution).
- To use these observations to study the evolution of the money flow generated by the platform and future profit prospects.
5. Analysis
The set of differential equations for each case is derived from the equations in Section 3.2 and using feedback functions as shown in Table 3. For same-side network effects, we limit the analysis to a case wherein all potential users are imitators, that is, the same-side feedback function is for one type of users (A) and for the other type of users (B). For simplicity, we set and as the initial values of the dependent variables. In some cases, the market can only increase if the initial values are different from zero; that is, there must be a pool of users before the service can be marketed. In other cases, one or both of the initial values may be zero. In all practical cases, and .
In some cases, we may derive closed-form analytical solutions of the market equations. In other cases, this is not possible. However, in all cases, approximate solutions for the initial growth of the market for the two user groups are computed, in particular, the time and (i.e., latency) it takes for each user group to reach the threshold ( and ) at which the growth becomes self-sustained. In these cases, we set in the differential equations, since and . The latency is an important strategic parameter since the slow initial increase of a service does not always mean that the service will never become lucrative. In several cases, the slow increase is a result of either same-side or cross-side network effects, or both. For instance, the latency for Facebook—the time to reach market share—was longer than five years [11].
The mathematical methods used for solving the differential equations can be found in any undergraduate textbook on calculus. The authors have used the handbook by Korn and Korn [20] as the reference, in particular, for solving integrals.
5.1. Same-Side Network Effects for Both User Groups and Cross-Side Network Effects between Both User Groups
In this case, there are same-side and cross-side network effects within and between both user groups, respectively. An example service of this case is Airbnb, with guests (user group A) and hosts (user group B):
- Guests benefit from hosts because of an increased number of potential accommodations.
- Hosts benefit from guests because of an increased number of potential customers.
- Guests benefit from other guests because of host reviews.
- Hosts benefit from other hosts because of guest reviews.
The model is illustrated in Figure 3.
Figure 3.
Same-side network effects for both user groups and cross-side network effects between both user groups.
As explained in Section 3.2, the cross-side feedback functions and are used in this case. The differential equations then become:
Since is the solution if there are no initial customers, the initial values of and must satisfy the conditions and . Dividing the second equation by the first equation gives:
or
Integrating both sides, applying the initial conditions, and rearranging, we find easily
This is a transcendental equation that cannot be used directly to find a general solution for and . However, this equation can be used to estimate how the market behaves for large and . In this approximation, . We also set . In this case,
This formula can be used to estimate (say) how much users of type A lag behind users of type B (or vice versa) in adopting the service. Setting and , then as approaches 1. If , then if and . On the other hand, if , then . This is only a crude estimate, as the approximation is inaccurate since the condition is not satisfied in this case. However, the estimate indicates how users of type A lag relative to users of type B, or vice versa. As mentioned, both user groups adopt the service at the same rate initially. For small and , i.e., , and is reduced to two independent differential equations with solutions
5.2. Same-Side Network Effects for Both User Groups and Cross-Side Network Effects from One User Group to the Other
In this case, there are same-side network effects within both user groups and cross-side network effects from user group A to B. An example service of this case is Uber, with drivers (A) and passengers (B):
- Drivers benefit from passengers because of an increased number of potential rides.
- Drivers benefit from other drivers because of passenger reviews.
- Passengers benefit from other passengers because of driver reviews.
The model is illustrated in Figure 4.
Figure 4.
Same-side network effects for both user groups and cross-side network effects from one user group to the other.
The differential equations then become:
It directly follows that is a solution of the first equation if . The second equation is then reduced to the Bass equation for imitators only and evolves independently of . Similarly, is a solution of the second equation, reducing the set of equations to the Bass equation for . Therefore, a non-zero solution exists for both equations only if and . The first equation is independent of and is solved directly:
Inserting for and separating the variables, the second equation becomes
or
Integrating both sides of the equation and solving for gives
It is evident from the differential equations that for small values of and , and .
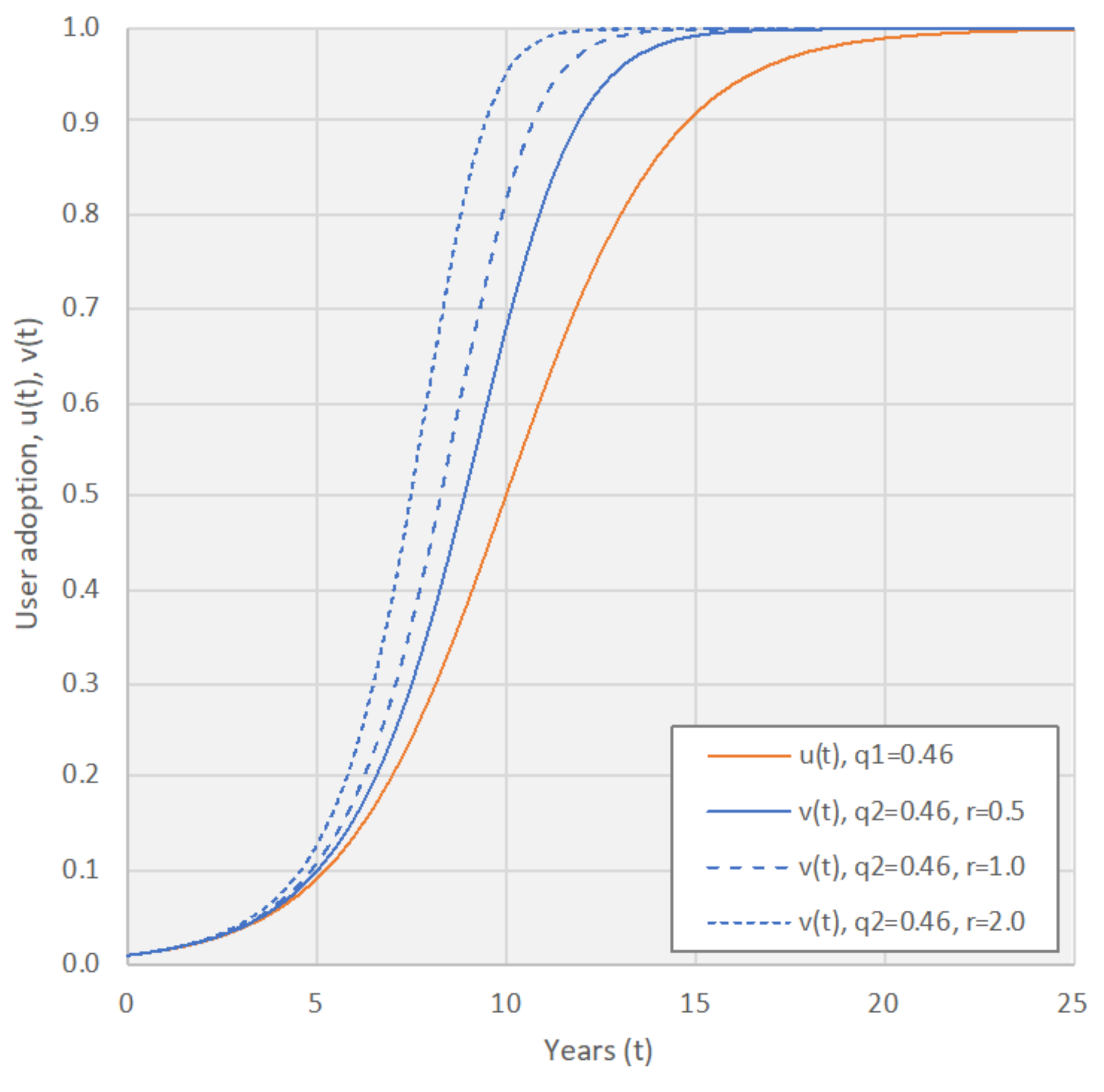
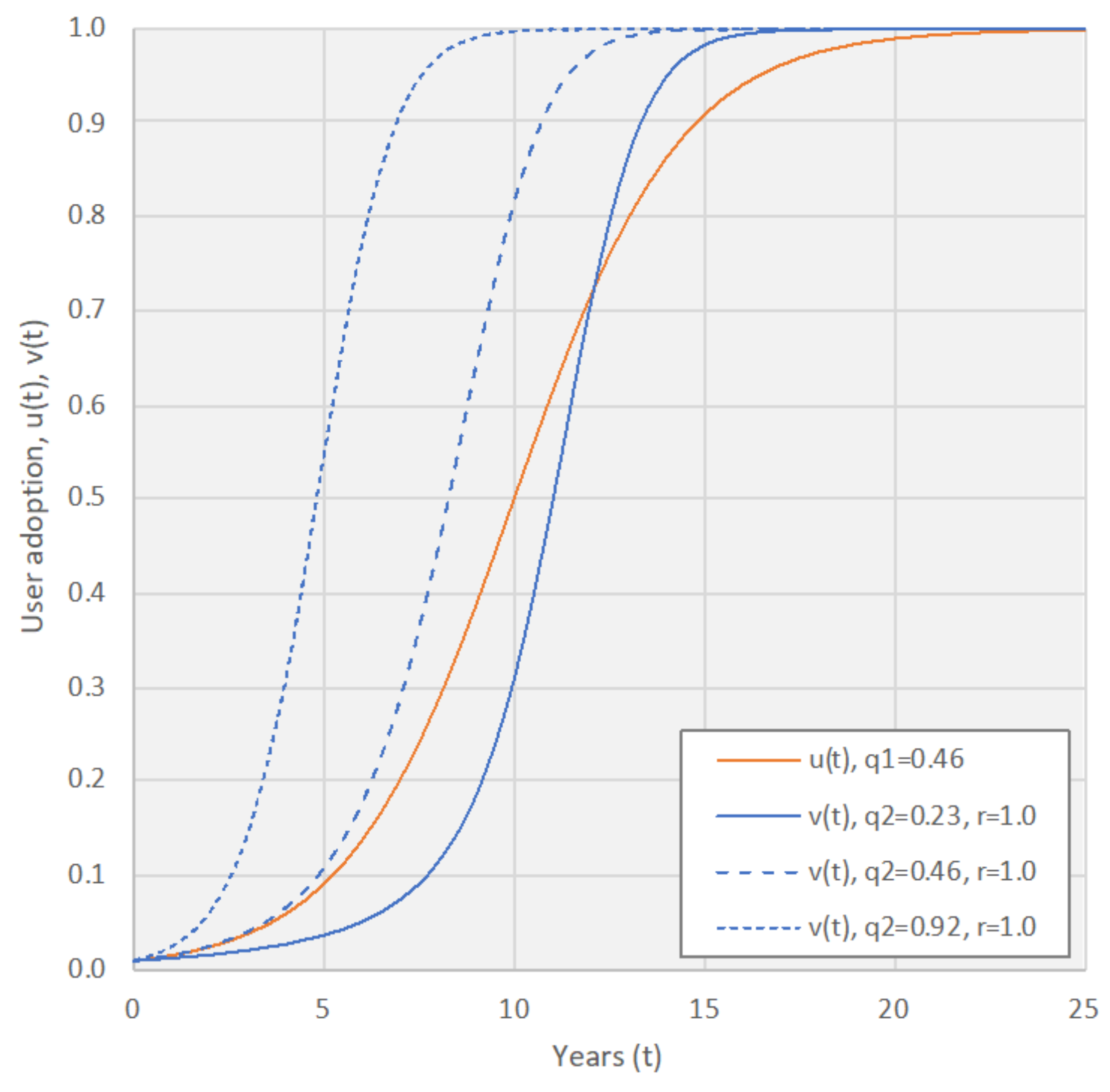
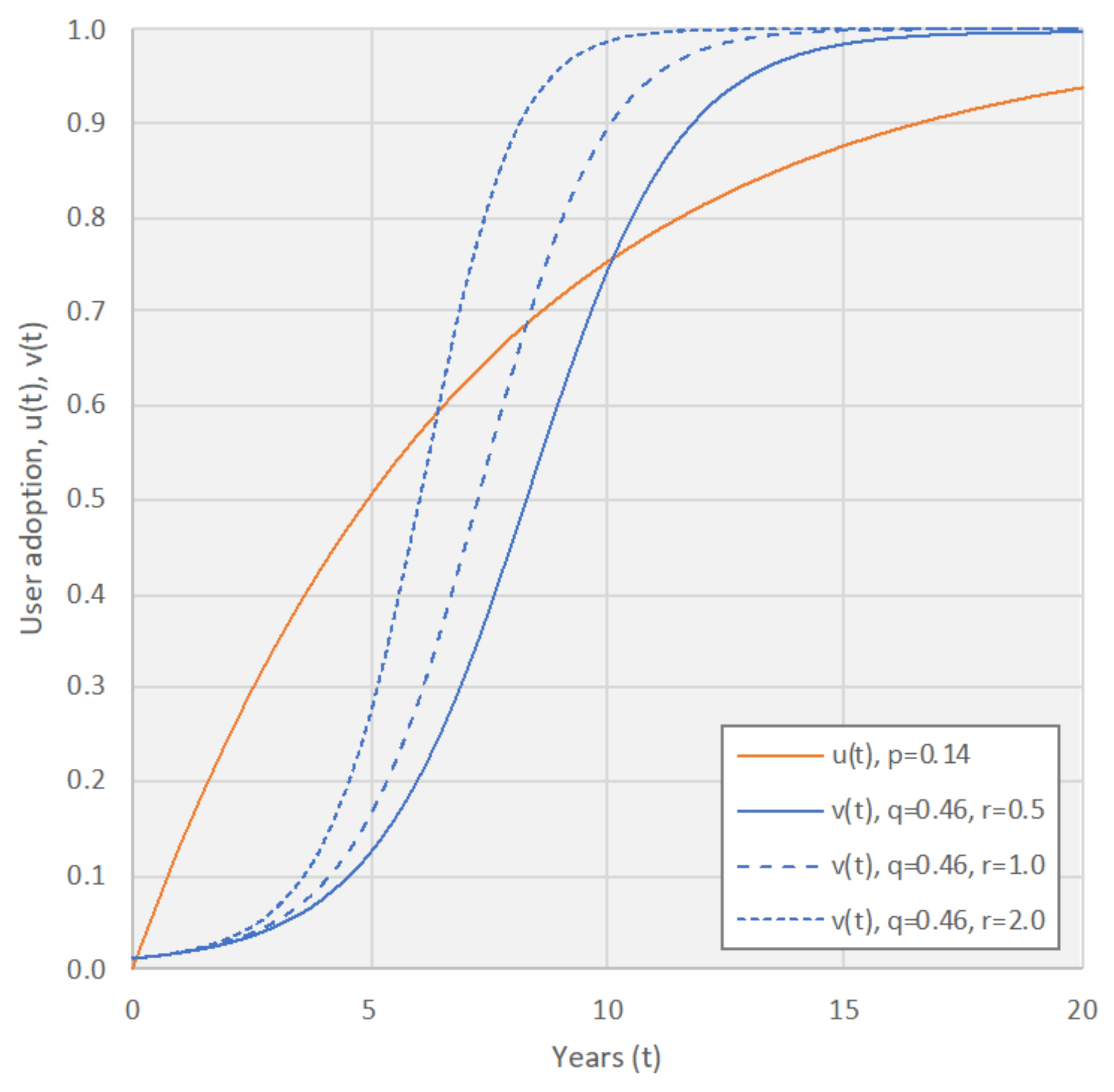
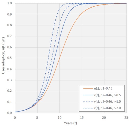
Figure 5 and Figure 6 show the user adoption— and —as a function of the time. The parameters are set to and and plotted for different values of and in Figure 5 and Figure 6, respectively. The figures indicate the impact of the cross-side network effect on the growth of user group B. Observe that both and are S-curves, as expected since all users are imitators. Moreover, in Figure 5, observe that the user adoption in group B increases as the cross-side coefficient of composite growth () increases. This is expected since an increase in means that the overall feedback for type B users increases. Increasing the parameter relative to also increases the adoption rate for type B users (), as seen in Figure 6.
Figure 5.
User adoption as a function of time for user groups A and B. The parameters are set to , , and .
Figure 6.
User adoption as a function of time for user groups A and B. The parameters are set to , , , and .
5.3. Same-Side Network Effects for One User Group and Cross-Side Network Effects between Both User Groups
In this case, there are cross-side network effects between both user groups and same-side network effects in user group A. An example service of this case is PayPal with users (A) and merchants (B):
- Users benefit from other users because of potential peer-to-peer money transfers.
- Users benefit from merchants because of the shopping availability of e-commerce sites.
- Merchants benefit from users because of increased potential sales.
The model is depicted in Figure 7.
Figure 7.
Same-side network effects for one user group and cross-side network effects between both user groups.
The differential equations then become:
In this case, is a solution if . Therefore, a non-zero solution exists if and . For simplicity, we set . Dividing the first equation by the second equation gives
with solution
Inserting this in the second equation and rearranging gives as a function of
For small and , the differential equations become
with solution
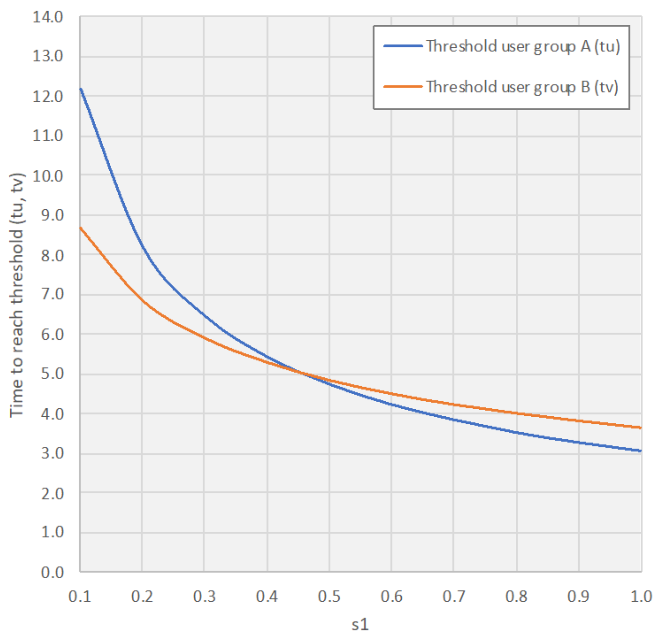
The latency period—the time to reach and —is then
Note that the latency period is independent of . Setting , , and , we obtain years for type A users. Table 4 shows the latency for type B users for three values of .
Table 4.
Latency in years for type B users.
Observe that the time to reach the threshold increases when decreases. Furthermore, observe that when , in which the same-side network effects for user group A equal the cross-side network effects that user group B receives from user group A (note that in this case, the cross-side network effect from user group B to A is small enough to be ignored).
5.4. Same-Side Network Effect for One User Group and Cross-Side Network Effect from That User Group to the Other
In this case, there are cross-side network effects from user group A to B, and same-side network effects in user group A. An example service of this case is Facebook, with social media users (A) and advertisers (B):
- Users benefit from other users because of increased communication opportunities.
- Advertisers benefit from users because of increased visibility for their ads.
The model is illustrated in Figure 8.
Figure 8.
Same-side network effects for one user group and cross-side network effect from that user group to the other.
The differential equations then become:
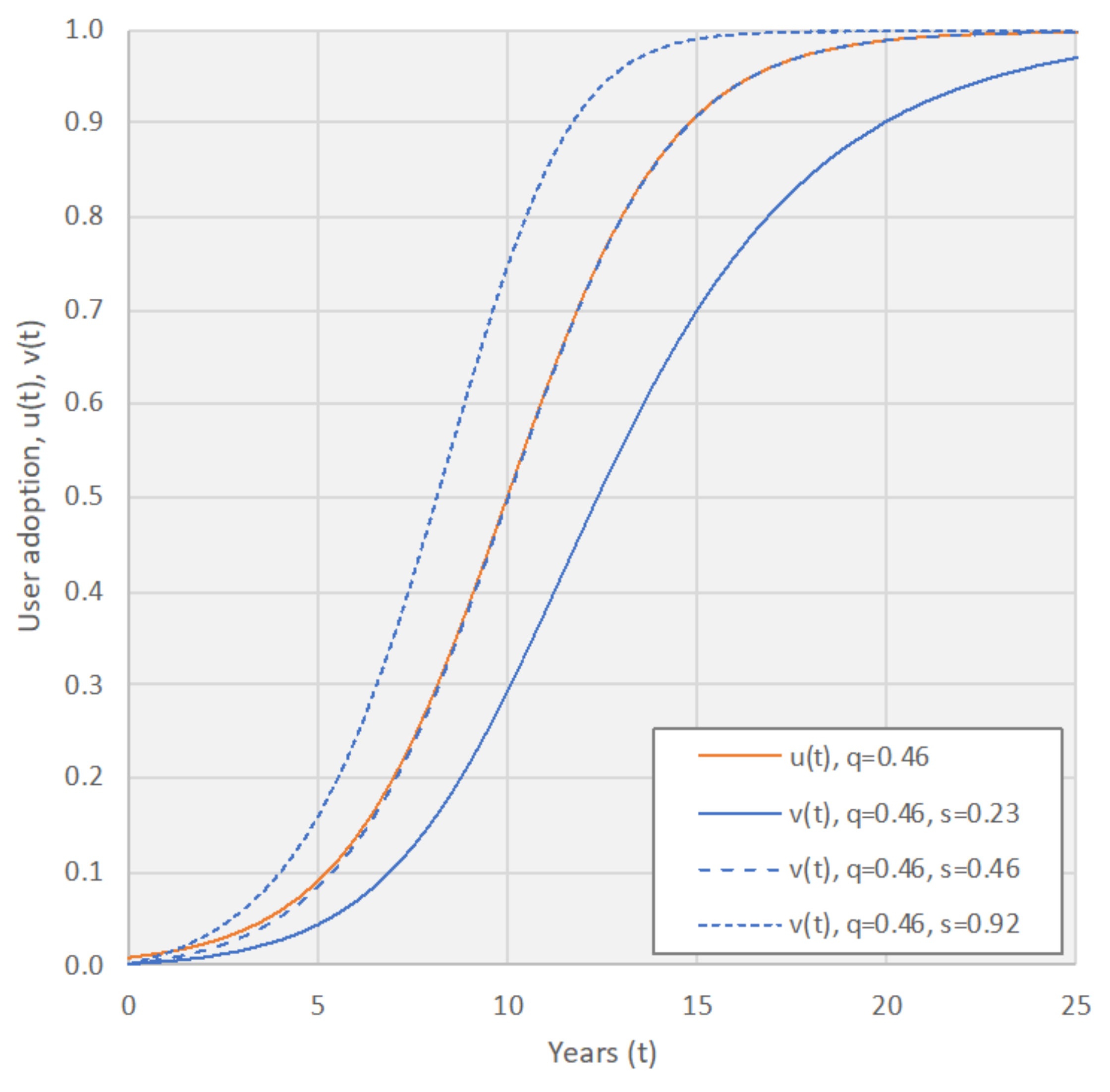
In this case, is a solution if . Therefore, a non-zero solution exists if and . For simplicity, we set . The solution of the first equation is
Inserting this in the second equation and solving for and setting gives
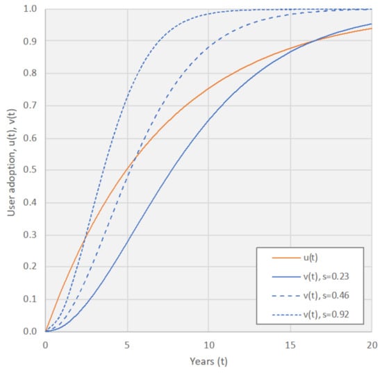
Figure 9 shows and as a function of for some values of . First, observe that and follow each other closely when , only offset by the difference in starting conditions. This is expected since the growth of type A and type B users will be approximately the same, given that the feedback in both user groups depends on the number of type A users only. Moreover, observe that grows faster than when . In this case, the feedback in user group B is stronger compared to the feedback in user group A; in other words, the cross-side network effect from user group A to B is stronger than the same-side network effect within user group A.
Figure 9.
User adoption as a function of time for user groups A and B. The parameters are set to , and .
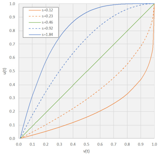
The equation for cannot be solved for . However, dividing the first differential equations with the second and integrating, we find
Figure 10 shows as a function of . Observe that when . This also holds in general, i.e., when and is sufficient small. For larger , this will not be the case.
Figure 10.
Adoption in user group A () as a function of adoption in user group B (). The parameters are set to and .
5.5. Same-Side Network Effects for One User Group and Cross-Side Network Effect from the Other User Group
In this case, there are cross-side network effects from user group A to B, and same-side network effects in user group B. An example service of this case is Yelp, with restaurants (A) and reviewers (B):
- Restaurants benefit from reviews because of increased visibility.
- Reviewers benefit from other reviewers because of the restaurant reviews.
The model is illustrated in Figure 11.
Figure 11.
Same-side network effects for one user group and cross-side network effect from the other user group.
The differential equations then become:
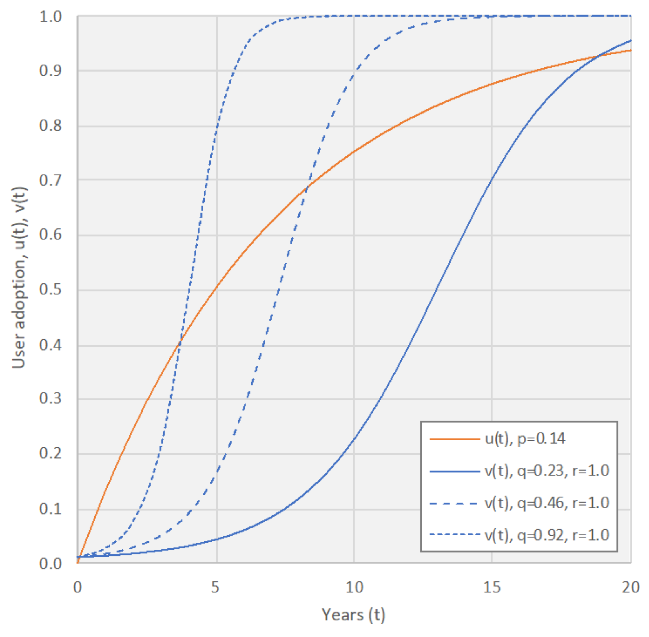
In this case, is a solution if . Therefore, a non-zero solution exists if and . For simplicity, we set . This gives . The second equation can be written
Integrating and solving for gives
For small and , using the differential equations and by setting for small , we find directly:
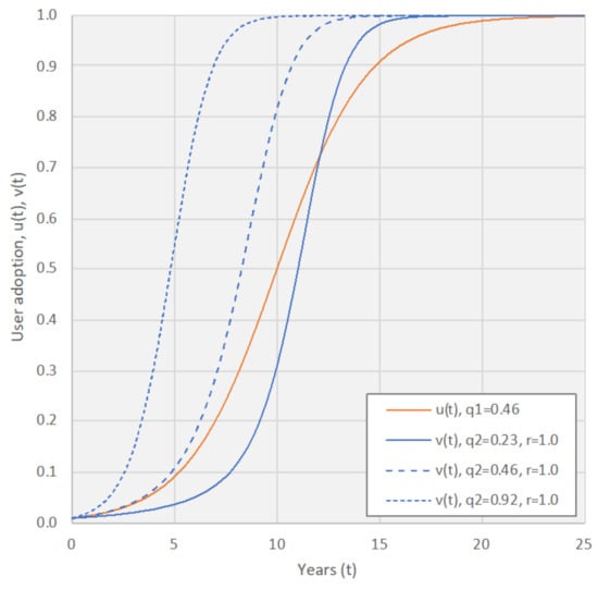
Figure 12 and Figure 13 show user adoption for user groups A and B as a function of the time for various settings of and . First, observe that undergoes logarithmic growth—as expected, since there are no network effects for user group A. Moreover, observe that is an S-curve because there are both same-side and cross-side network effects for user group B. Note as well that the time to reach a certain threshold for user group B, e.g., , ranges from less than three to more than seven years, depending on the values of and . It is the product of the same-side and cross-side network effect, i.e., , that determines the overall feedback for user group B.
Figure 12.
User adoption as a function of time for user groups A and B. The parameters are set to , , , and .
Figure 13.
User adoption as a function of time for user groups A and B. The parameters are set to , , , and .
5.6. Cross-Side Network Effects between Both User Groups
In this case there are cross-side network effects between both user groups only. An example service of this case is eBay, with buyers (A) and sellers (B):
- Buyers benefit from sellers because of increases in items listed for sale.
- Sellers benefit from buyers because of increased potential sales.
The model is illustrated in Figure 14.
Figure 14.
Cross-side network effects between both user groups.
The differential equations then become
Since is a solution of these equations, the initial conditions must satisfy and . Dividing the first equation by the second gives:
This is a transcendental equation, so an analytic expression for cannot be found. For small values of and , we have
with solution
The differential equation for for small values of is then
with solution
This gives for and, similarly, for
Figure 15 and Figure 16 show the time to reach the threshold values and as a function of and , respectively. Observe that both and decrease as increases—an increase in the initial relative number of users in user group A reduces the time to reach the threshold for both user groups. This is because the cross-side network effects between the user groups are mutually dependent on each other.
Figure 15.
Time to reach threshold for user group A () and B () as a function of . The parameters are set to , , and .
Figure 16.
Time to reach threshold for user group A () and B () as a function of . The parameters are set to , , and .
5.7. Cross-Side Network Effects from One User Group to the Other
In this case, there are only cross-side network effects from user group A to B, as depicted in Figure 17. All new users to user group A are innovators, and the flow of new users is described as . Hence, there are no network effects in user group A—only in user group B. An example service of this case is Google Search, with users (A) and advertisers (B). The advertisers benefit from more users since this increases the visibility of their advertisements.
Figure 17.
Cross-side network effects from one user group to the other.
The differential equations then become:
In this case, the equations have non-zero solutions for initial conditions . The first equation then gives:
Inserting this in the second equation gives
Figure 18 shows the user adoption as a function of the time. Observe that undergoes logarithmic growth and follows an S-curve. For a small value of , grows faster than . This is expected, since depends on a certain size of group A users to generate cross-side network effects. For small and , we easily find that and . For instance, for , , and , we find and . Eventually, the growth of user group B induced by network effects becomes larger than the innovation-based growth of user group A.
Figure 18.
User adoption as a function of time for user groups A and B. The parameters are set to , and .
6. Conclusions
This paper presents a comprehensive overview of the different types of multisided platforms, distinguished by network effects within and between user groups. The purpose of the models presented in the paper is to study the temporal evolution of user adoption of each service the platform is offering based on interactions between the user groups. We are not concerned with how and why these interactions take place—the main objective has been to show how the original diffusion model of Frank Bass can be extended to analyze the temporal evolution of complex structures such as multisided platforms. We have not been able to identify any previous studies in which such applications of the Bass equation have been examined. Neither have we found any examples in the literature wherein the temporal evolution of MSPs has been subjected to mathematical analysis.
Analytical models using coupled sets of ordinary differential equations are developed for several examples of two-sided platforms. For some of these examples, analytical solutions are found. However, in cases in which analytical solutions do not exist, solutions can still be found for the early user-adoption of the services. Such analysis may even be done on platforms that are much more complex than the ones that are considered in this paper by studying the equations for small values of market adoption, since these equations are much simpler than the equations describing the complete market evolution. Such analysis is particularly important since latency in user adoption is a critical strategic parameter for multisided platforms.
It is also demonstrated that, for some types of interaction between the user groups, the market will not start growing unless there are some initial users in one or both user groups. This is the “chicken and egg” problem for MSPs. From the form of the differential equations, it may be simple to see if is a particular solution to the equations and, hence, that a chicken and egg problem exists.
To study more complex platforms, for example, with nonlinear and more complex interactions, system dynamics may be used to derive numerical solutions (see, for example [21]). Another approach is to use agent-based models in which the users are modeled as autonomic agents taking decisions to adopt or not adopt the service based on actions taken by other users (see, for example, [22,23]).
Future research should (i) extend our analysis to include negative network effects; (ii) further develop the analytical models to more complex platform types, in particular, to study the initial growth problem (latency and the chicken and egg problem) to uncover strategic pitfalls and possible misjudgments such as early termination of the service because of no or slow initial adoption; (iii) use simulation methods such as system-dynamic and agent-based simulations to study more complex platform behavior; and (iv) apply the analysis to empirical business data.
Author Contributions
Conceptualization, H.Ø. and J.A.A.; methodology, H.Ø. and J.A.A.; software, H.Ø.; validation, H.Ø. and J.A.A.; formal analysis, H.Ø. and J.A.A.; investigation, H.Ø. and J.A.A.; resources, H.Ø. and J.A.A.; data curation, H.Ø.; writing—original draft preparation, H.Ø.; writing—review and editing, H.Ø. and J.A.A.; visualization, H.Ø.; supervision, H.Ø. and J.A.A.; project administration, H.Ø.; funding acquisition, H.Ø. and J.A.A. All authors have read and agreed to the published version of the manuscript.
Funding
This research received no external funding.
Institutional Review Board Statement
Not applicable.
Informed Consent Statement
Not applicable.
Data Availability Statement
Data supporting the results are found within the body of the paper and in referenced works.
Conflicts of Interest
The authors declare no conflict of interest.
References
- Temple, S. Inside the Mobile Revolution—Online Book. Available online: http://www.gsmhistory.com/inside-the-mobile-revolution/ (accessed on 25 October 2021).
- Strogatz, S.H. Nonlinear Dynamics and Chaos: With Applications to Physics, Biology, Chemistry, and Engineering; Perseus Books Publishing: Cambridge, MA, USA, 1994. [Google Scholar]
- Sanchez-Cartas, J.M.; Leon, G. Multi-Sided Platforms and Markets: A Literature Review; Universidad Politecnica Madrid: Madrid, Spain, 2018. [Google Scholar]
- Abdelkafi, N.; Raasch, C.; Roth, A.; Srinivasan, C. Multi-sided Platforms. Electron. Mark. 2019, 29, 553–559. [Google Scholar] [CrossRef]
- Caillaud, B.; Jullien, B. Chicken & egg: Competition among intermediating services. RAND J. Econ. 2003, 34, 309–328. [Google Scholar]
- Zhu, F.; Mitzenmacher, M. The Evaluation of Two-Sided Markets: A Dynamic Model. Technical Report TR-02-10; Harvard Computer Science Group: Cambridge, MA, USA, 2008. [Google Scholar]
- Cusumono, M.; Gawer, A.; Yoffie, D. The Business of Platforms: Strategy in the Age of Digital Competition; Harper Business: New York City, NY, USA, 2019. [Google Scholar]
- Bass, F.M. A New Product Growth Model for Consumer Durables. Manag. Sci. 1969, 15, 215–227. [Google Scholar] [CrossRef]
- Arthur, B.W.; Ermoliev, Y.M.; Kaniovski, Y.M. Strong laws for a path-dependent processes with applications. In Stochastic Optimization; Arkin, V.I., Shiraev, A., Wets, R., Eds.; Lecture notes in control and information sciences; Springer: Berlin/Heidelberg, Germany, 1986; Volume 81. [Google Scholar]
- Mahmoud, H.M. Polya Urn Models; Chapman and Hall/CRC: London, UK, 2008. [Google Scholar]
- Facebook’s Monthly Active Users. Statista. 2021. Available online: https://www.statista.com/chart/10047/facebooks-monthly-active-users/ (accessed on 25 October 2021).
- Hagiu, A.; Wright, J. Multi-Sided Platforms. Int. J. Ind. Organ. 2015, 43, 162–174. [Google Scholar] [CrossRef]
- Øverby, H.; Audestad, J.A. Digital Economics: How Information and Communication Technology is Shaping Markets, Businesses, and Innovation; CreateSpace Independent Publishing: Scotts Valley, CA, USA, 2018. [Google Scholar]
- Øverby, H.; Audestad, J.A. Introduction to Digital Economics: Foundations, Business Models and Case Studies; Springer: Berlin/Heidelberg, Germany, 2021. [Google Scholar]
- Stabell, C.B.; Fjeldstad, Ø.D. Configuring Value for Competitive Advantage: On Chains, Shops, and Networks. Strateg. Manag. J. 1998, 19, 413–437. [Google Scholar] [CrossRef]
- McAfee, A.; Brynjolfsson, E. Machine, Platform, Crowd: Harnessing Our Digital Future; W. W. Norton & Company: New York City, NY, USA, 2017. [Google Scholar]
- Ardolino, M.; Saccani, N.; Adrodegari, F.; Perona, M. A Business Model Framework to Characterize Digital Multisided Platforms. J. Open Bus. Technol. Mark. Complex. 2020, 6, 10. [Google Scholar] [CrossRef] [Green Version]
- Parker, G.G.; van Alstyne, M.W. Two-Sided Network Effects: A theory of Information Product Design. Manag. Sci. 2005, 51, 1494–1504. [Google Scholar] [CrossRef] [Green Version]
- International Telecommunication Union. Measuring Digital Development. Facts and Figures. 2021. Available online: https://www.itu.int/en/ITU-D/Statistics/Pages/facts/default.aspx (accessed on 7 September 2021).
- Korn, G.A.; Korn, T.M. Mathematical Handbook for Scientists and Engineers: Definitions, Theorems, and Formulas for Reference and Review; Dover: Minoela, NY, USA, 2000. [Google Scholar]
- Morecroft, J.D.W. Strategic Modelling and Business Dynamics: A Feedback Systems Approach; Wiley: Hoboken, NJ, USA, 2015. [Google Scholar]
- Railsback, S.T.; Grimm, V. Agent-Based and Individual-Based Modeling: A Practical Introduction; Princeton University Press: Princeton, NJ, USA, 2019. [Google Scholar]
- Øverby, H.; Biczók, G.; Audestad, J.A. Modeling Dynamic ICT Services Markets. In Proceedings of the World Telecommunications Congress (WTC), Miyazaki, Japan, 4–7 March 2012. [Google Scholar]
Publisher’s Note: MDPI stays neutral with regard to jurisdictional claims in published maps and institutional affiliations. |
© 2021 by the authors. Licensee MDPI, Basel, Switzerland. This article is an open access article distributed under the terms and conditions of the Creative Commons Attribution (CC BY) license (https://creativecommons.org/licenses/by/4.0/).
























