Next Article in Journal
The Sixth Law of Stupidity: A Biophysical Interpretation of Carlo Cipolla’s Stupidity Laws
Next Article in Special Issue
Behavioral Implications in COVID-19 Spread and Vaccinations
Previous Article in Journal
Startup Investment Decision Support: Application of Venture Capital Scorecards Using Machine Learning Approaches
Previous Article in Special Issue
Integrated Policy Solutions for Water Scarcity in Agricultural Communities of the American Southwest
 
 
Font Type:
Arial Georgia Verdana
Font Size:
Aa Aa Aa
Line Spacing:
Column Width:
Background:
Article

Transforming a Liability into an Asset: A System Dynamics Model for Free-Ranging Dog Population Management

Worcester Polytechnic Institute, Worcester, MA 01609, USA
*
Author to whom correspondence should be addressed.
Systems 2021, 9(3), 56; https://doi.org/10.3390/systems9030056
Submission received: 15 June 2021 / Revised: 24 July 2021 / Accepted: 24 July 2021 / Published: 29 July 2021
(This article belongs to the Special Issue System Dynamics: Insights and Policy Innovation)

Abstract

:
Using Indian free-ranging dogs (FRD) as a case study, we propose a novel intervention of social integration alongside previously proposed methods for dealing with FRD populations. Our study subsumes population dynamics, funding avenues, and innovative strategies to maintain FRD welfare and provide societal benefits. We develop a comprehensive system dynamics model, featuring identifiable parameters customizable for any management context and imperative for successfully planning a widescale FRD population intervention. We examine policy resistance and simulate conventional interventions alongside the proposed social integration effort to compare monetary and social rewards, as well as costs and unintended consequences. For challenging socioeconomic ecological contexts, policy resistance is best overcome by shifting priority strategically between social integration and conventional techniques. The results suggest that social integration can financially support a long-term FRD intervention, while transforming a “pest” population into a resource for animal-assisted health interventions, law enforcement, and conservation efforts.

1. Introduction

Free-ranging dogs (FRD) represent approximately 75% of the global dog (Canis lupus familiaris) population, estimated at over 700 million, and create a complex ecology with humans, wildlife, and domestic animals [1]. Due to rapidly increasing FRD populations threatening public health, conservation, and animal welfare in rural and urban ecosystems, many countries have experimented with various policies such as sterilization, adoption shelters, and euthanasia; however, establishing a feasible and successful FRD intervention requires a combination of social, ecological, economic, and cultural understanding aided by systems thinking [1]. Urban and rural, India is home to an estimated 59 million FRD, the fourth highest population in the world, as a result of ineffective population management interventions, weak administration of policies restricting free-ranging behavior among pets, and vast amounts of human-derived materials (HDM) available for survival [2]. The evolved adaptability to reach sexual maturity earlier, have larger litters, and digest carbohydrates from HDM make FRD both successful human commensals and independent roamers [3]. Although FRD provide the benefits of companionship and security as territorial, human commensals, they complicate rural/urban environments as disease transmitters, and experience a high level of human-induced mortality and welfare problems, such as diseases, infections, malnutrition, starvation, injury, and debilitating conditions [4]. A few notable studies have been conducted on the FRD sterilization/vaccination programs in Jaipur, Jodhpur, and Sawai Madhopur, three cities of the Indian state of Rajasthan [5,6,7,8,9]; however, Indian FRD have never experienced a comprehensive, nationwide population assessment, impact analysis, or management intervention, although the Animal Welfare Board of India announced an animal birth control program in 2001 to capture, sterilize, immunize, and release or euthanize FRD through the formation of local monitoring committees [10]. Since the recognition of welfare rights for stray animals in the late 20th century, several attempts have been made without success to manage the Indian FRD population.
This study took an entirely new and unexplored perspective toward the FRD problem to propose a novel solution. The integral challenge that this study addressed is that a comprehensive and consistent series of population interventions across India would benefit from a system that provides self-generated funding, adequate resources, and benefits that deter stakeholders from corrupt practices and instead create a valuable and constructive relationship between humans and FRD. A model and gaming environment was designed in STELLA to demonstrate a pathway for FRD assessment, training, and deployment into three main areas of public service: companion/emotional support animal/pet/therapy, medical services, and specialized training fields such as law enforcement, military assistance, search and rescue (SAR), security, ecological data collection, and anti-poaching conservation efforts. Parameters for the extent and timing of funds, the costs of policy implementation, latent capacity and population structure, training success rates, and income from policies in various modules are customizable for accurate, location-based cost-benefit analysis. Relevant statistical data from various sources, experiential data, and ecological relationships were used to structure the model baseline and comparisons. The model focuses on India as a primary case study for data and information.

2. The FRD Threat to Human Society and Conservation

Endemic canine rabies is estimated to cause an annual human mortality rate of 59,000 worldwide, with an economic loss of 8.6 billion USD per year and over 3.7 million disability-adjusted life years [11]. An estimated 84% of the deaths occur in remote rural communities with no rabies awareness measures or medical care [12]. Due to its uncontrolled FRD population and ongoing human-FRD conflict, India reports a disproportionate 60% and 35% of rabies deaths in Asia and globally, respectively, despite underreporting being common particularly in rural areas [13]. In 2006, approximately 12 million Indian people experienced FRD bites, with a loss of 38 million workdays and, in rupees, INR two billion (approximately USD 27 million) spent on post-exposure prophylaxis treatments [14].
In addition to rabies, FRD act as reservoirs and vectors for various zoonotic diseases, such as canine distemper virus (CDV) and parvovirus, that can be transmitted to livestock and wildlife, while malnutrition, starvation, disease, abuse, and heightened mortality rates among FRD are known to hasten virus replication and transmission [15]. A 2019 study in Ranthambore National Park in Rajasthan, India found a CDV seroprevalence of 86% among FRD residing in a 4-km radius of the park, a serious concern, as these dogs are often CDV reservoirs and transmitters to the park’s threatened tiger population and other wildlife [16]. Apart from disease transmission, dogs pose an enormous conservation threat by competing for prey and resources, attacking species within protected areas in packs, disturbing migration patterns, and causing species hybridization [1]. The most abundant terrestrial carnivores and generalists worldwide, FRD rank fourth among the world’s top seven invasive-alien species, and have contributed to 11 vertebrate extinctions [17,18]. Predatory FRD can cause chronic stress that changes the reproductive capabilities, behavior, and fitness of wildlife, depending on the extent of interaction [2]. In India, they have been known to attack at least 80 species of wildlife, of which 31 are under the IUCN Red List’s threatened category and 4 are critically endangered, with about 48% of the attacks occurring in or around protected areas [2]. Their presence imposes serious edge effects on native wildlife, a particularly important issue for a country like India that is home to one of the 35 global biodiversity hotspots [2].

3. Approaches to FRD Population Management

Several population management interventions have been carried out in various countries over the years, with notable reasons for failure. For example, an animal birth control program in Bhutan intending to control rabies failed due to poor funding, lack of public interest, and a low rate of overall sterilization [4]. Thailand began a castration and adoption program for FRD in Bangkok, which eventually failed since a reduction in the number of dogs led to an increase in “immigrant” dogs taking advantage of the available niches in Bangkok, an entirely unintended consequence [19]. The 2004 WHO Expert Committee stated that maintaining a stable FRD population would require a 70% vaccination and 70% sterilization program annually, which is impossible in most nations due to large FRD population sizes and insufficient funding [4].
Instead of being just a threat to endangered and protected species, FRD have the potential to change the arena of conservation work in India today, as selectively trained working dogs. Conservation detection dogs in various countries have been trained and applied extensively for scat detection, scent-matching, and live animal/insect/plant detection, while dogs working for law enforcement have been particularly useful in preventing poaching and detecting trafficked or illegal plant and animal parts [20]. Working Dogs for Conservation, a leading organization that trains and deploys conservation detection dogs, prepares dogs to help with ecological monitoring, poaching and trafficking prevention, aquatic and invasive species detection, and disease and contaminant detection, mostly sourcing their high-energy dogs from shelters [21,22]. The training, based on law enforcement detection techniques, brings extreme specificity to the dogs’ olfactory skills, making use of their 220+ million olfactory receptors that can detect up to 10,000–100,000 times the olfactory capacity of an average human [23]. Dogs also play an important role in anti-poaching efforts, as can be seen with Animals Saving Animals, an organization that provides conservation organizations with trained anti-poaching dogs and training for handlers, to prevent wildlife crime in Kenya, Tanzania, Mozambique, Zimbabwe, Botswana, India, Belize, and Malta, with funding from the European Union for certain projects [24]. Anti-poaching K9 units support Kaziranga National Park, Orang National Park, and Pobitora Wildlife Sanctuary, three conserved parks in the north-eastern state of Assam in India [25]. Introducing Jorba, a Belgian Malinois, to Kaziranga in 2011 resulted in over 40 poaching arrests and led to the combat tracker training and deployment of several other dogs, with significantly strengthened conservation efforts in the park [25].
Human-animal interaction has become widely acknowledged and documented as having positive effects on social attention, social behavior, interpersonal interactions, and mood [26]. In 2010, India had an average national psychiatrist deficit of 77%, along with which diagnostics and treatment were often delayed due to traditional medicine, community beliefs, and the lack of intervention from an early stage of the mental disorder progression [27,28]. Therapy dogs, as animal-assisted interventions (AAI), can effectively lower blood pressure, reduce asthma and allergy rates, improve heart disease recovery, boost immune system functionality, and improve psychological well-being and self-esteem [26]. Other than being a strong tool for medical intervention, AAI is also known to improve student learning perspectives and support greater social interaction with peers and teachers [29].
The Comfort Dog Project by the BIG FIX Uganda is an exemplary case study, due to their extensive, successful efforts in socially integrating Ugandan FRD in the later years of the Ugandan civil war (from the 1980s to the present) [30]. Ugandan FRD were trained as part of an AAI to help civil war survivors with “psycho-social rehabilitation” through human-animal interaction [30]. This program has drastically reduced PTSD symptoms, and lowered the regional suicide and substance use rate, through simple training measures [30]. Despite numerous studies focusing on a variety of population interventions including sterilization, vaccination, and policies that advocate responsible pet ownership, anecdotal evidence regarding increased FRD conflict with humans and wildlife and the persistence of the issue in India show that traditional methods may be ineffective to address this multifaceted problem.
The system dynamics model presented by Saeed in [19], based on Bangkok’s FRD problem in the 1980s, offered a novel approach for FRD management in contrast to the failed city-wide castration policy. The model defined FRD as a “manifestation of a latent capacity support system” and showed that HDM, such as discarded food, established the FRD carrying capacity in the system [19]. Results showed that a trash disposal or reduced trash generation policy has better effectiveness for FRD management because it removes the food availability support structure, thereby reducing the FRD birth rate and life expectancy. Although this policy has been considered an effective alternative to conventional policies that aim to directly eradicate or sterilize Indian FRD populations, which often cause mortality and welfare problems due to inadequate funding, reducing the carrying capacity in the system through waste management also gravely threatens FRD welfare, unless additional measures are taken to shelter/remove FRD [31].
The Indian context presents a series of social, economic, and ecological challenges, as well as opportunities in the realm of FRD management [2,3,31]. Given that the previously described policies of waste removal, sterilization, and euthanasia require vast resources and long-term efforts to reduce the significant FRD population size, this study proposes an alternative method that views FRD as a resource that can keep the management intervention sustained over time. The dearth of formal studies on FRD behavior, personality, and training on a global scale speaks to the limited use of Indian FRD even today, despite anecdotal evidence and experimental trials finding that FRD are capable of socializing and adapting to various situations, with limitations primarily stemming from unique, personal interactions and cumulative negative experiences with humans [32,33]. A model was designed to inform students, policymakers, and the general public regarding the FRD problem plaguing many nations today, and how various policies can be effectively combined to reduce the population, with societal and welfare benefits over time. The results present a novel method for FRD management through which an invasive species can be transformed into a resource for various uses, allowing the intervention to be financially viable in the long run. Additionally, the model allows users to customize the management plan, in order to maximize funds and societal benefits.

4. A System Dynamics Model for FRD Management

We created a system dynamics model subsuming FRD growth and operational policy interventions, both conventional and proposed, for controlling the population and overcoming its adverse effects on human society. Since funding plays a key role in the implementation process, the model especially tracks the income and expenditure streams, and the allocation of financial resources to various remedial actions.
Figure 1 shows an aggregate map of the system represented in our model, which highlights four feedback loops between funding and the common and proposed policies in FRD management: sterilization, euthanasia, shelters, and social integration. For all policies, funding positively influences policy implementation; however, sterilization and euthanasia continuously deplete funding through a negative feedback process, whereas the social integration and shelter policies enhance the funding source through a positive feedback loop.
Although all policies decrease the FRD population, increasing FRD inflow into social integration and shelters improves planning and policy effectiveness, thereby further absorbing the FRD population. As presented in [19], discarded food availability is in a negative feedback loop with the FRD population. Although it appears that all policies may effectively reduce the FRD population, only social integration and shelters provide funding to sustain an ongoing intervention and can be used to override the population-reinforcing nature of the waste food support structure. The computable logic comprising the stock and flow structure of each module in Figure 1 is described below.

4.1. The FRD Dynamics and Carrying Capacity Modules

The FRD dynamics and carrying capacity modules, as shown in Figure 2 and Table 1, show the generic FRD population, avenues for all four policies to be implemented, and food availability that acts as the carrying capacity determinant. Each diagram is followed by a table of related equations, the first column of which shows the icon describing the type of variable in the stock and flow diagram.
The FRD population stock is initialized with the user-defined initial population and consists of a births inflow and a deaths outflow, determined by the fraction of births and life expectancy, respectively. As greater food availability, often in the form of garbage dumps providing food waste, is an indicator of higher FRD density, the survival effect parameter from the waste module multiplies with both the average normal birth fraction and average life expectancy, increasing both values when food waste per FRD is greater than 1 [2,3,31]. The number of FRD to be euthanized annually is inserted into the deaths outflow of this population structure.
The sterilization outflow uses the number of FRD sterilized annually to separate them from the original stock of FRD. Although Saeed, in [19], implemented sterilization through a reduction in the FRD birth rate, here it is implemented externally as a policy, causing an outflow of FRD from the original population into a new population for training and/or adoption, if subsequent policies are activated. From here, FRD undergo either sheltering for training or rehabilitation when the social integration policy is activated, using the number of dogs accommodated by the policy. It is expected that a significant proportion of FRD will initially display aggression and/or fear and, as shelters do not provide constructive spaces for recovery, they will benefit from a rehabilitation period in calm, nurturing environments before further training. The sheltering outflow is determined by the number of FRD that can be added, based on the available infrastructure and funds from the sheltering policy.
Figure 2b was taken from the carrying capacity sector in Saeed [19], featuring a trash food stock with an inflow based on waste generation and a primary outflow of consumption by FRD, which depends on the existing FRD population size. The secondary trash disposal outflow is activated if the user activates trash disposal through the fraction disposed of. Trash food availability allocates the food resources available per FRD and determines the survival effect graphical function, which affects FRD birth rates and life expectancy. Due to the realistic limit on birth rate and life expectancy, the survival effect is limited beyond when the trash food availability is doubled.

4.2. Sterilizations, Euthanasia, and Shelters Modules

The policies shown in Figure 3 and Table 2 remain the most practiced methods for FRD population management worldwide. The sterilization process (Figure 3a) creates a new stock of FRD, while the medically induced euthanasia policy (Figure 3b) increases the FRD population death rate. The sheltering policy (Figure 3c) defines a transitory shelter population, entering via the additional inflow from the original FRD stock and exiting via adoption or shelter removal.
Depending on the user-defined desired budget for sterilization, the budget constraint from the funding module and weighted influence from past financial decisions factor in to calculate the actual budget for sterilization in Figure 3a. Using the location-specific cost per sterilization procedure, the number of FRD sterilized per year is calculated. Similarly, the user-defined euthanasia budget is adjusted by the budget constraint and weighted by past influence to determine the actual euthanasia budget in Figure 3b. The number of FRD to be euthanized per year is calculated using the location-specific cost per euthanasia procedure. The user-defined desired shelter budget is adjusted by the budget constraint and weighted by past influence to obtain the actual budget for shelters, which is divided by the comprehensive shelter housing cost per dog to yield the total shelter capacity in Figure 3c. The FRD additions flow, calculated based on available capacity in the shelter system, determines the extent of the sheltering flow from the FRD dynamics module when the shelter policy is activated. The annual shelter income is determined by the anticipated rate of adoption and user-defined adoption fee.

4.3. Social Integration Module

The proposed social integration policy, shown in Figure 4 and Table 3, was constructed from the various training procedures used currently with pedigreed and shelter dogs in the United States. Due to the immense complexity of the working dog training process, some steps have been consolidated into single stages for which users can set average success rates. These points of assessment are representative of the various stages when working dogs can leave training and become good candidates for the emotional support, pet, companion, and therapy categories.
The user-defined desired budget is constrained by the budget constraint and weighted past influence, while the number of FRD accommodated, or annual training batch size, is determined by the location-specific average testing/training cost per dog. FRD enter the Volhardt’s testing process from shelters or training preparation, based on their prior rehabilitation needs. The Volhardt’s aptitude and temperament testing process establishes a candidate population stock, from where FRD undergo either a social assessment or an obedience training and aptitude assessment depending on the Volhardt’s test results, which will categorize the FRD based on characteristics of companionship, protection, and competition. FRD that succeed will become emotional support animals/companion/pet/therapy dogs or a part of the working FRD population, including military, K9, SAR, guard, conservation, or medical service FRD. Deployment rates will vary based on the average time needed to match owners, law enforcement agencies, and medical needs, while income for further FRD population management will occur via adoption, special services, and medical services.

4.4. Funding Module

The funding module, shown in Figure 5 and Table 4, features a budget stock that receives the regular budget, provided annually until the user-defined end year, as well as income from activating the social integration and shelter policies.
The budget stock is depleted by the actual budget spent on each of the policies as they are activated. Since spending can outpace the inflows for budget, there is an embedded graphical budget constraint function that allows limited spending on policies if some, but not all, funding exists. This constraint is created by considering both the user-defined desired budget as well as recent annual expenditures. The weight and past influence here resemble the weighting factor from Forrester [34], which defined how significantly present actions and policies are influenced by the average perception of historical performance. For interface users, a warning shows if the desired budget exceeds the existing budget stock, although the program continues due to the adjustment with the budget constraint.

5. Model Simulation for Policy Exploration

Simulations were conducted by individually implementing and combining the four policies, with yearly reassessments for each policy combination. The simulation can be run with or without yearly time steps, although the reassessment of parameters can only be made if time steps are allowed. To allow for adaptive integration, the model has been set to the classic Runge–Kutta method, with a fractional dt value of 1/20. FRD management was found to be most effective when policies were combined, and desired budgets reassessed yearly.
In the baseline simulation of the model, the FRD population remains steady at the initial population value, and the budget depletes when external funding ends. Since no policy is implemented, the working dog populations are not established and no income for funding is generated. Activating the sterilization policy initially causes a sharp decline in the population, due to the removal of sterilized FRD from the original population. However, there is a quick population rebound that increases beyond the initial population value, before finding equilibrium again, due to the balancing feedback loop established by the carrying capacity and FRD dynamics modules. The euthanasia policy mirrors the sterilization policy, since it increases the death rate, thereby initially reducing the FRD population but similarly showing a goal-seeking pattern. Analyses showed that annual funding below INR 130 million (USD 1.7 million) caused repeated oscillations, with no decrease in population, in a 100-year time frame. Figure 6a shows how providing annual funding of INR 125 million (USD 1.7 million) causes such oscillatory behavior, reaching up to even 1.34 million FRD in year 22.
Sensitivity analysis was conducted with an initialized FRD population of one million, to find the minimum annual sterilization funding that would cause an ultimate decrease in the FRD population over a 100-year time frame, instead of eliciting repeated goal-seeking behavior. As shown in Figure 6b, an annual budget of INR 130 million is required, for an ideal INR 1000 (USD 13) per sterilization procedure, to overcome this cyclical behavior and decrease the population. For a population of just one million, 55 years are needed to reduce the population to 101,000, or approximately ten percent of the original street population, although the subsequent decrease is significantly faster. For both conventional policies, however, a budget must be provided consistently throughout this significant number of years, with no supporting avenues of income and/or societal benefits other than reduced human–dog conflict.
Implementing a shelter policy is a more humane alternative that can generate revenue through FRD adoption and will ultimately support itself through adoption income. The policy can be optimized using methods that adjust the upkeep cost per FRD, the shelter’s average FRD adoption time, and the shelter’s average adoption fee. However, due to the historically limited financial returns from this policy, and generally higher upkeep cost of FRD and infrastructure needs in comparison to the one-time sterilization and euthanasia procedures, the FRD population shows similar goal-seeking behavior unless significantly higher and unrealistic levels of annual funds are applied. With the average adoption time set at 3 months, and an ambitious adoption fee of INR 5000 (USD 67) to offset an INR 5000 yearly cost per FRD, Figure 7a shows how providing a steady INR 130 million funding program, as well as adding each year’s shelter income, results in a goal-seeking pattern. Although the shelters’ financial gains reach up to INR 129 million (USD 1.7 million) per year, it is still inadequate to push against the balancing feedback established by the survival effect from the carrying capacity module, and eventually leads to a stabilization of all values. In Figure 7b, a reduced INR 3000 (USD 40) maintenance cost per FRD is tested alongside the same adoption fee of INR 5000, with other parameters kept the same as before. Despite reaching a maximum shelter income of INR 648 million (USD 8.7 million), the FRD population entirely bounces back to one million from a minimum point of 954,000, due to the increasing survival effect. It should be noted that shelters in India currently provide all FRD adoptions for free and, thereby, require external donations to support all shelter costs. Despite allowing FRD adoptions free of charge, shelters are almost always overburdened with FRD and are struggling to provide space and support for additional FRD in need of medical help and rehabilitation.
The social integration policy can only be activated by either previously or concurrently activating the sterilization policy, since the majority of working FRD will need to undergo this procedure before they are placed into training. Additionally, FRD that are sterilized and fail their training beyond basic obedience may also become candidates as pets for local residents, even without entering the shelter system, leading to social benefits that remain unaccounted for here. Although various intervention plans are possible, the most successful social integration policy is one that generates a revenue stream early on from deploying trained FRD. Allowing the income stream and budget to rise quickly allows a lesser dependency on regular funding, a quicker transition to self-sustainable behavior, and a significantly earlier FRD population decline. Figure 8 shows two example interventions that combine sterilization and social integration, adding in the annual social integration income generated to the annual INR 130 million funding to facilitate either or both policies.
The first intervention in Figure 8 (Figure 8a) initially funds sterilization at INR 10 million (USD 8.7 million) and social integration at INR 120 million (USD 1.6 million USD), adding the social integration income back to the same policy until year 6. In this year, funds are switched almost entirely over to sterilization, with social integration only funded at INR 10 million and yearly social integration income added completely to sterilization efforts. Despite the survival effect being at its highest, including the birth rate and life expectancy, a full sterilization effort results in a negligible FRD population within 9 years from the start of the intervention. Additionally, about 20,000 FRD are deployed in the final year, with the maximum social integration annual income peaking at about INR 200 million (USD 2.7 million) and then declining gradually as the external funding ends.
The second intervention (Figure 8b) advances similarly, with the funds switch to sterilization made in year 4 also causing an FRD population decline to a negligible level within 9 years. However, with fewer years of social integration, the sterilization effort must continue for a longer period, while only about 10,000 FRD are deployed in the final year and with the maximum social integration annual income at year 4 reaching a much lower value.
The specific intention here is to establish a revenue stream that is high enough early on so that, as the survival effect intensifies with FRD removal, adequate funding is available to implement more widespread sterilization and/or social integration to avoid oscillatory and goal-seeking behavior, which has thus far been the main problem. As can be seen in Figure 8, it is particularly beneficial to administer sterilization at a high level for a few focused years, while high levels of funding are available from FRD deployment, so that the sharp increase in the survival effect does not waste sterilization funding and efforts.

6. A Gaming Interface for Further Policy Exploration with the Model

A gaming interface was created in STELLA for users to simulate the model without interacting with the model’s stock and flow structure directly. As shown in Figure 9, users specify several initial parameters and then progress year by year, observing the current FRD and financial situation and reassessing their policy decisions. Policies are initiated when their corresponding desired budgets are activated to a certain amount.
The two numeric displays, showing the budget available and FRD population, update yearly and show stocks in the Funding and FRD Dynamics modules, respectively. Below the numeric displays, sliders for the desired budget pertaining to each of the four policies, with the cost of implementing that policy per FRD, are given below as numeric inputs. For the social integration policy, users may define the training success rates, which can vary greatly based on training expertise and infrastructure available, as well as deployment periods and average fees to purchase FRD trained through social integration. Users may implement the waste policy, if it is feasible to fund trash disposal in the given context, and then define the income and time parameters of the shelter policy. FRD population dynamics can be customized for initial population, normal birth fraction, and average life expectancy with numeric inputs. Funding can be defined using the annual budget received, the year when annual funding ends, and the weight of influence from past financial decisions.
The interface graphs depict the budget breakup, budget allocation and constraint, FRD dynamics, income from the shelter and social integration policies, and working FRD populations successfully being deployed. This model was calibrated using the Indian FRD case study, and therefore shows the currency in rupees (INR). The aim of the program is to lower the main FRD population as quickly as possible, with the highest overall income from training and the highest number of various working dog populations at the end.

7. Policy Insights, Limitations, and Future Directions

Simulations using the FRD model showed that conventional methods such as sterilization and euthanasia cause the population to rebound easily due to goal-seeking behavior driven by the latent capacity support system of food waste, whereas including a beneficial social integration plan can sustain the intervention in the long term. The greater the number of social integration years, the quicker the street FRD population will be able to be eradicated through subsequent sterilization. Although the focus thus far has been on generating revenue to remove the street population as quickly as possible, policymakers may also prioritize the social benefits of training and deploying FRD, and may therefore not switch to sterilization so abruptly. Adjusting the cost of procedures, maintenance, and training for reduced shelter and social integration costs is possible to a certain extent, beyond which training effectiveness and FRD welfare may be affected. Users can use the model’s gaming environment to create their FRD management strategies to fit local conditions.
Although applying only the sterilization and/or euthanasia policies for a series of years appears to be the most ideal and straightforward method, these policies require consistently high funding and strict adherence to surgical and welfare protocols, along with public interest, which may not be realistic in the Indian context, given the FRD population size and infrastructure challenges. Thus far, the government has not consistently funded sterilization and/or euthanasia efforts throughout the country and, as can be seen in Figure 6a, inadequate sterilization/euthanasia efforts can leave the population at an even higher value than before, due to the drastic changes in the FRD survival effect. Additionally, Figure 6 shows how minute differences in annual funding can lead to drastically different results in the length and success of a sterilization/euthanasia campaign. Similarly, depending on the shelter system is not sustainable because shelter upkeep requires significant funding, and Indian shelters traditionally provide all FRD adoptions free of charge. However, this intervention can be improved if additional funds are used to create awareness in the media and adoption payment is made mandatory in India. Although shelter adoption fees may be low initially, a psychological shift over time regarding the value of FRD may allow adoption fees to rise in the long term.
Since the model requires parameter inputs determined from measurements or historical data, the challenge remains that certain types of data from India and many other nations are absent, inconsistent, or inaccurate. In particular, although interventions targeting female versus male FRD can yield different results, the lack of adequate sex-specific population characteristics and data means that enhancing the model to allow sex-specific interventions would result in greater complexity and reduced transparency, as a result of substantial assumptions that would need to be made; however, future FRD research through population assessments may advance the model in this dimension. The FRD model can visualize the effects of implementing four major population management policies on a user-defined FRD population, but it does not address corruption in funding and policy administration, although these are notable flaws that can reverse or negate policy actions. However, the various potential financial and public health benefits for humans from the social integration system are meant to deter such unwanted practices. Although FRD are a conservation threat, the costs of FRD–wildlife conflict are not included in the FRD model since livestock and wildlife depredation are usually specific to rural and protected areas inhabited by FRD and are not consistently observed across India. Similarly, public health threats, such as rabies transmission, are not explicitly addressed, although it is assumed that a decline in the FRD population will lessen the conflict with humans, particularly in urban areas.
The model allows users to test the sensitivity of various training success rates, based on certain scenarios; however, the proposed system of social integration can, overall, be more accurately defined and enhanced by users if further research is conducted to determine accurate success rates for FRD at each testing stage. Since FRD can experience challenges during training, due to the influence of free-roaming behavior on temperament and a lack of sufficient socialization with humans from a young age [33], it is expected that young FRD with the least free-roaming experience will be most successfully trained in the working dog categories, while older FRD will more readily qualify for ESA, pet, companion, and therapy training. Testing and training fees for the various service streams have been averaged to INR 50,000 (USD 671) since the majority of the FRD that are trained will be in the relatively inexpensive emotional support animal/pet/companion/therapy training category. Each additional year of social integration implementation will lead to improved training expertise and success.
For the user-defined FRD population, birth fraction and life expectancy values are set as being equal across members of the population, although they may greatly differ between rural and urban territories, due to food quality and availability, disease prevalence, the level of human-induced abuse and mortality, and sex-specific differences. These vast lifestyle differences can have serious implications on disease, anthropogenic influences, and survival challenges for FRD. The contrasting characteristics between urban and rural habitats make it necessary to better understand how FRD are adapting to and thereby actively altering these ecosystems. Management policies will be greatly informed if urban and rural FRD can be differentiated based on their territorial behavior and competitive interactions with wildlife. Ideal FRD for training can also be identified based on sex, territoriality, and location-based characteristics.
The waste policy discussed in [19] is particularly feasible for a specific urban context but would require immensely concentrated effort and funding for an Indian FRD intervention, where FRD territory is unbounded. A significant reason why this policy has not been highlighted in this study is that removing the only source of food for FRD in a human- and FRD-dense country such as India deprives the current FRD population of food essential for survival and therefore disregards animal welfare [31]. Competition for food also causes greater territorial behavior and conflict, which is harmful to both FRD and humans, depending on the level of food availability [31]. This may be one of the various parameters, such as human density, social behavior, and prevalence of vehicles, that create the overall survival effect; however, trash food availability does serve as a good indicator since the level of exposed trash generally increases with human density, transportation infrastructure, and a lack of comprehensive waste management.

8. Conclusions

Campaigns for fertility control, vaccination, sheltering, and euthanasia of Indian FRD have been inconsistent and questionable as to their success on a large scale across India, due to the expenses of clinical facilities, medical resources, and skilled staff, along with the resource-dependent FRD survival effect [31,35,36]. The FRD problem has been a serious ecological threat in several developing countries [31] and requires sustained, combined attention from ecology and conservation professionals, policymakers, and the public. FRD dependence on human settlements for food and resources essentially jeopardizes wildlife conservation in India with every year that passes, as urban centers continue to expand and create opportunities for FRD-wildlife interactions [2]. Simulating the FRD model shows that there is complex behavior in how FRD population dynamics counteract efforts to control the population. These policies can have variable effects and can be strategically combined to work against these dynamics and produce a successful intervention. Simulating various combinations of these policies with user-specified parameters can be particularly helpful for policymakers who can access FRD survey data but are unable to visualize long-term plans with confidence.
One of the most important lessons from this model is that FRD populations must be regularly monitored, so that accurate numbers can be used to simulate scenario outcomes. Many countries still lack these survey practices, and as can be seen from the simulations, slight differences may drastically change the outcomes of policies. In addition, an important lesson from the year-by-year assessment feature in the gaming environment is that one must strategically time one’s policies to reap the most benefits in the long term. We recommend that policymakers test various FRD management policies, with an emphasis on social integration, to address the complex relationships that FRD experience in urban and rural habitats and consider FRD as a resource capable of creating significant societal and environmental benefits.

Author Contributions

Conceptualization, U.B.M. and M.H.B.; methodology, U.B.M.; software, U.B.M. and K.S.; validation, U.B.M.; formal analysis, U.B.M.; investigation, U.B.M.; resources, U.B.M.; data curation, U.B.M.; writing—original draft preparation, U.B.M.; writing—review and editing, U.B.M., M.H.B. and K.S.; visualization, U.B.M.; supervision, M.H.B. and K.S.; project administration, M.H.B. and K.S. All authors have read and agreed to the published version of the manuscript.

Funding

This research received no external funding.

Acknowledgments

The authors would like to thank Kristin Hartness, Chandrima Home, Pranjal Baruah, Lakhi Nandan Baruah, Soumendranath Dey, Meghna Uniyal, and Christina Taddei for their expert advice on working dog training and Indian FRD population dynamics and management policies.

Conflicts of Interest

The authors declare no conflict of interest.

References

  1. Hughes, J.; Macdonald, D.W. A review of the interactions between free-roaming domestic dogs and wildlife. Biol. Conserv. 2013, 157, 341–351. [Google Scholar] [CrossRef]
  2. Home, C.; Vanak, A.; Bhatnagar, Y. Canine Conundrum: Domestic dogs as an invasive species and their impacts on wildlife in India. Anim. Conserv. 2017, 1–8. [Google Scholar] [CrossRef]
  3. Home, C.; Pal, R.; Sharma, R.K.; Suryawanshi, K.R.; Bhatnagar, Y.V.; Vanak, A.T. Commensal in conflict: Livestock depredation patterns by free-ranging domestic dogs in the Upper Spiti Landscape, Himachal Pradesh, India. Ambio 2017, 46, 655–666. [Google Scholar] [CrossRef]
  4. Rinzin, K. Population Dynamics and Health Status of Free-Roaming Dogs in Bhutan. Ph.D. Thesis, Murdoch University, Perth, Australia, 2015. [Google Scholar]
  5. Reece, J.F.; Chawla, S.K. Control of rabies in Jaipur, India, by the sterilisation and vaccination of neighbourhood dogs. Vet. Rec. 2006, 159, 379–383. [Google Scholar] [CrossRef] [Green Version]
  6. Totton, S.C.; Wandeler, A.I.; Zinsstag, J.; Bauch, C.T.; Ribble, C.S.; Rosatte, R.C.; McEwen, S.A. Stray dog population demographics in Jodhpur, India following a population control/rabies vaccination program. Prev. Vet. Med. 2010, 97, 51–57. [Google Scholar] [CrossRef] [PubMed]
  7. Reece, J.F.; Chawla, S.K.; Hiby, A.R. Decline in human dog-bite cases during a street dog sterilisation programme in Jaipur, India. Vet. Rec. 2013, 172, 473. [Google Scholar] [CrossRef] [PubMed]
  8. Yoak, A.J.; Reece, J.F.; Gehrt, S.D.; Hamilton, I.M. Disease control through fertility control: Secondary benefits of animal birth control in Indian street dogs. Prev. Vet. Med. 2014, 113, 152–156. [Google Scholar] [CrossRef] [PubMed] [Green Version]
  9. Totton, S.C.; Wandeler, A.I.; Ribble, C.S.; Rosatte, R.C.; McEwen, S.A. Stray dog population health in Jodhpur, India in the wake of an animal birth control (ABC) program. Prev. Vet. Med. 2011, 98, 215–220. [Google Scholar] [CrossRef] [PubMed]
  10. Shrivastava, K. Animal Birth Control (Dogs) Rules, 2001; Section 3; 2001; pp. 1–5. Available online: http://awbi.in/awbi-pdf/ABC%20(Dogs)%20Rules,%202001%20English.pdf (accessed on 1 May 2021).
  11. Hampson, K.; Coudeville, L.; Lembo, T.; Sambo, M.; Kieffer, A.; Attlan, M.; Barrat, J.; Blanton, J.D.; Briggs, D.J.; Cleaveland, S.; et al. Estimating the Global Burden of Endemic Canine Rabies. PLOS Negl. Trop. Dis. 2015, 9, e0003709. [Google Scholar] [CrossRef] [Green Version]
  12. WHO. WHO Expert Consultation on Rabies: Second Report; World Health Organization: Geneva, Switzerland, 2013. Available online: https://apps.who.int/iris/handle/10665/85346 (accessed on 4 May 2021).
  13. WHO. WHO Expert Consultation on Rabies: Third Report; World Health Organization: Geneva, Switzerland, 2018. Available online: https://apps.who.int/iris/handle/10665/272364 (accessed on 4 May 2021).
  14. Sudarshan, M.K.; Mahendra, B.J.; Madhusudana, S.N.; Ashwoath Narayana, D.H.; Rahman, A.; Rao, N.S.N.; X-Meslin, F.; Lobo, D.; Ravikumar, K.; Gangaboraiah. An epidemiological study of animal bites in India: Results of a WHO sponsored national multi-centric rabies survey. J. Commun. Dis. 2006, 38, 32–39. [Google Scholar] [PubMed]
  15. Acosta-Jamett, G.; Chalmers, W.S.K.; Cunningham, A.A.; Cleaveland, S.; Handel, I.G.; Bronsvoort, B.M. Urban domestic dog populations as a source of canine distemper virus for wild carnivores in the Coquimbo region of Chile. Vet. Microbiol. 2011, 152, 247–257. [Google Scholar] [CrossRef] [Green Version]
  16. Sidhu, N.; Borah, J.; Shah, S.; Rajput, N.; Jadav, K.K. Is canine distemper virus (CDV) a lurking threat to large carnivores? A case study from Ranthambhore landscape in Rajasthan, India. J. Threat. Taxa 2019, 11, 14220–14223. [Google Scholar] [CrossRef]
  17. Bellard, C.; Genovesi, P.; Jeschke, J.M. Global patterns in threats to vertebrates by biological invasions. Proc. R. Soc. B Biol. Sci. 2016, 283, 20152454. [Google Scholar] [CrossRef] [PubMed] [Green Version]
  18. Doherty, T.; Dickman, C.; Glen, A.; Newsome, T.; Nimmo, D.; Ritchie, E.; Vanak, A.T.; Wirsing, A.J. The global impacts of domestic dogs on threatened vertebrates. Biol. Conserv. 2017, 210, 56–59. [Google Scholar] [CrossRef]
  19. Saeed, K. Stray dogs, street gangs and terrorists: Manifestations of a latent capacity support system. In Proceedings of the 27th International Conference of the System Dynamics Society, Albuquerque, NM, USA, 26–30 July 2009. [Google Scholar]
  20. Helton, W.S. Canine Ergonomics: The Science of Working Dogs; CRC Press: Boca Raton, FL, USA, 2009. [Google Scholar]
  21. Stevens, A. Conservation Is Going to the Dogs. Science News for Students. 2 April 2020. Available online: https://www.sciencenewsforstudents.org/article/conservation-is-going-to-the-dogs (accessed on 5 May 2021).
  22. DeMatteo, K.E.; Davenport, B.; Wilson, L.E. Back to the basics with conservation detection dogs: Fundamentals for success. Wildl. Biol. 2019, 2019, 1–9. [Google Scholar] [CrossRef] [Green Version]
  23. Jenkins, E.K.; DeChant, M.T.; Perry, E.B. When the Nose Doesn’t Know: Canine Olfactory Function Associated with Health, Management, and Potential Links to Microbiota. Front. Vet. Sci. 2018, 5. [Google Scholar] [CrossRef] [PubMed] [Green Version]
  24. Animals Saving Animals. Available online: https://www.animalssavinganimals.org (accessed on 2 May 2021).
  25. Aaranyak Dog Unit, Guwahati. Available online: https://www.animalssavinganimals.org/india (accessed on 5 May 2021).
  26. Beetz, A.; Uvnäs-Moberg, K.; Julius, H.; Kotrschal, K. Psychosocial and Psychophysiological Effects of Human-Animal Interactions: The Possible Role of Oxytocin. Front. Psychol. 2012, 3. [Google Scholar] [CrossRef] [Green Version]
  27. Reddy, V.; Gupta, A.; Lohiya, A.; Kharya, P. Mental Health Issues and Challenges in India: A Review. Int. J. Sci. Res. Publ. 2013, 3, 3. [Google Scholar]
  28. Thirunavukarasu, M.; Thirunavukarasu, P. Training and National deficit of psychiatrists in India—A critical analysis. Indian J. Psychiatry 2010, 52, S83–S88. [Google Scholar] [CrossRef]
  29. Lloyd, J.; Sorin, R. “I liked that you can pat the dog and interact with it and read to it”—Engaging the imagination: The effect of the Classroom Canines™ program on reading and social/emotional skills of selected primary school students. In Proceedings of the IERG 2014: 9th International Conference on Imagination and Education, Vancouver, BC, Canada, 2–4 July 2014. [Google Scholar]
  30. The BIG FIX Uganda. Comfort Dog Project Summary. Available online: http://thebigfixuganda.org/uploads/3/4/6/9/34697072/comfort_dog_project_summary.pdf (accessed on 5 May 2021).
  31. Reese, J.F. Dogs and Dog Control in Developing Countries. In The State of the Animals III, 2005; Salem, D.J., Rowan, A.N., Eds.; Humane Society Press: Washington, DC, USA, 2005; pp. 55–64. [Google Scholar]
  32. Corrieri, L.; Adda, M.; Miklósi, Á.; Kubinyi, E. Companion and free-ranging Bali dogs: Environmental links with personality traits in an endemic dog population of South East Asia. PLoS ONE 2018, 13, e0197354. [Google Scholar] [CrossRef] [PubMed]
  33. Bhattacharjee, D.; Sau, S.; Das, J.; Bhadra, A. Free-ranging dogs prefer petting over food in repeated interactions with unfamiliar humans. J. Exp. Biol. 2017, 220, 4654–4660. [Google Scholar] [CrossRef] [Green Version]
  34. Forrester, J.W. Market Growth as Influenced by Capital Investment. Ind. Manag. Rev. 1968, 9, 83–105. [Google Scholar]
  35. Smith, L.M.; Hartmann, S.; Munteanu, A.M.; Dalla Villa, P.; Quinnell, R.J.; Collins, L.M. The Effectiveness of Dog Population Management: A Systematic Review. Animals 2019, 9, 1020. [Google Scholar] [CrossRef] [PubMed] [Green Version]
  36. Bhalla, S.J.; Kemmers, R.; Vasques, A.; Vanak, A.T. ‘Stray appetites’: A socio-ecological analysis of free-ranging dogs living alongside human communities in Bangalore, India. Urban Ecosyst. 2021. [Google Scholar] [CrossRef]
Figure 1. Causal loop diagram of the free-ranging dogs (FRD) model with major feedback loops.
Figure 1. Causal loop diagram of the free-ranging dogs (FRD) model with major feedback loops.
Systems 09 00056 g001
Figure 2. (a) FRD dynamics and (b) carrying capacity modules, consisting of population structures and avenues for policy implementation.
Figure 2. (a) FRD dynamics and (b) carrying capacity modules, consisting of population structures and avenues for policy implementation.
Systems 09 00056 g002
Figure 3. Model structures for three conventional policies: (a) sterilization, (b) euthanasia, and (c) shelters, including budget and income evaluations where appropriate.
Figure 3. Model structures for three conventional policies: (a) sterilization, (b) euthanasia, and (c) shelters, including budget and income evaluations where appropriate.
Systems 09 00056 g003
Figure 4. Social integration module, with budget evaluation, training structure, and avenues for income.
Figure 4. Social integration module, with budget evaluation, training structure, and avenues for income.
Systems 09 00056 g004
Figure 5. Funding module with budget details, sources of income, and budget constraints.
Figure 5. Funding module with budget details, sources of income, and budget constraints.
Systems 09 00056 g005
Figure 6. (a) Simulation showing goal-seeking behavior in the FRD population, resulting from inadequate yearly sterilization funding. (b) Simulation of minimum annual funding needed in sterilization or euthanasia to create a decline in population, as opposed to goal-seeking behavior.
Figure 6. (a) Simulation showing goal-seeking behavior in the FRD population, resulting from inadequate yearly sterilization funding. (b) Simulation of minimum annual funding needed in sterilization or euthanasia to create a decline in population, as opposed to goal-seeking behavior.
Systems 09 00056 g006
Figure 7. Implementing a shelter policy with (a) INR 5000 FRD upkeep cost and (b) INR 3000 FRD upkeep cost, with an INR 5000 adoption fee, still results in a goal-seeking pattern.
Figure 7. Implementing a shelter policy with (a) INR 5000 FRD upkeep cost and (b) INR 3000 FRD upkeep cost, with an INR 5000 adoption fee, still results in a goal-seeking pattern.
Systems 09 00056 g007
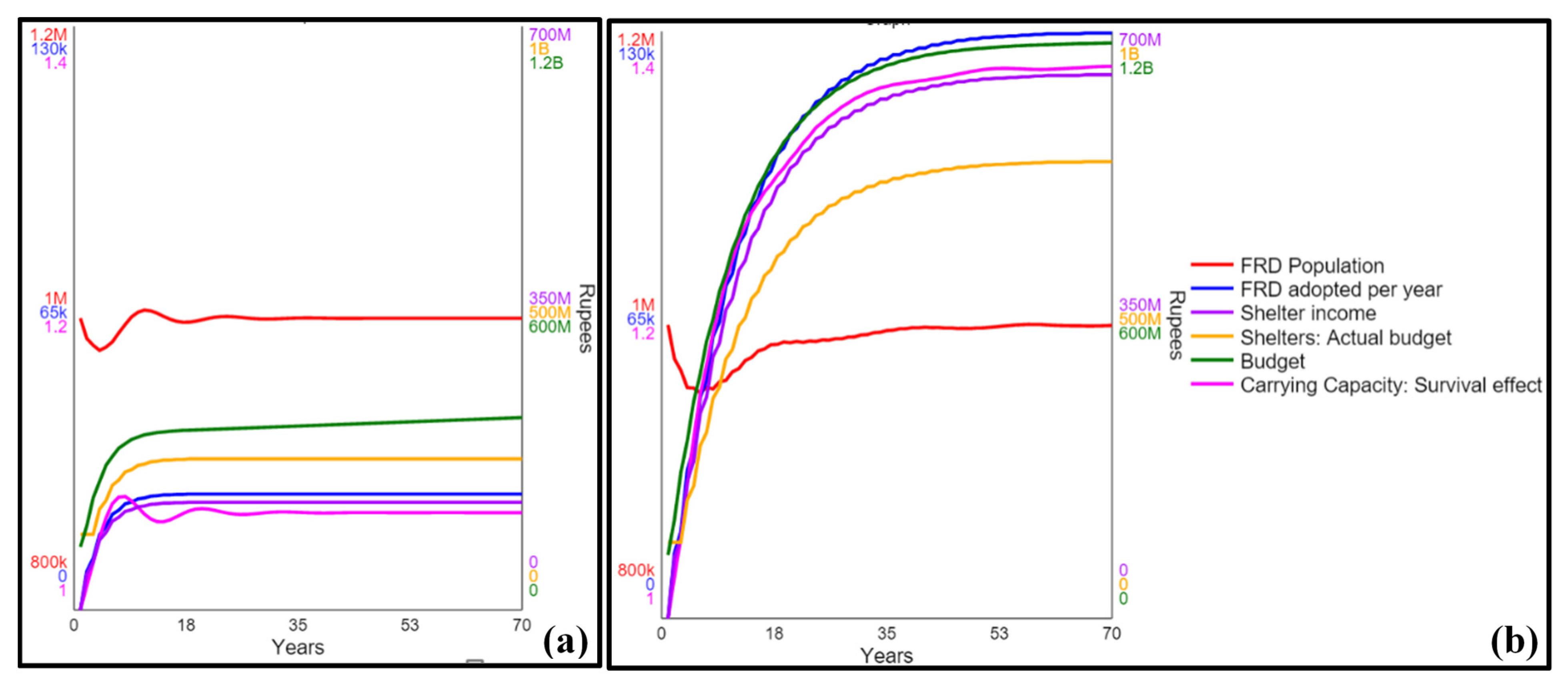
Figure 8. Activating and maintaining a social integration policy for (a) six years, instead of (b) four years, results in greater budget availability, income from social integration, and approximately double the number of FRD deployed, as well as reducing the FRD population within the same time.
Figure 8. Activating and maintaining a social integration policy for (a) six years, instead of (b) four years, results in greater budget availability, income from social integration, and approximately double the number of FRD deployed, as well as reducing the FRD population within the same time.
Systems 09 00056 g008
Figure 9. A gaming interface created in STELLA for interface users.
Figure 9. A gaming interface created in STELLA for interface users.
Systems 09 00056 g009
Table 1. Equations for stocks, flows, and calculated converters in the FRD dynamics and carrying capacity modules.
Table 1. Equations for stocks, flows, and calculated converters in the FRD dynamics and carrying capacity modules.
Systems 09 00056 i001 FRD Dynamics:Equation:
Systems 09 00056 i002FRD in rehabilitation(t)∫(Rehabilitating − Preparing for training)dt
Systems 09 00056 i002FRD population(t)∫(Births − Deaths − Sterilization − Sheltering)dt
Systems 09 00056 i002Sterilized FRD(t)∫(Sterilization − Sheltering for training − Rehabilitating)dt
Systems 09 00056 i003BirthsFRD population × Fraction births
Systems 09 00056 i003DeathsFRD population/Life expectancy + FRD/Year
Systems 09 00056 i003Preparing for trainingFRD in rehabilitation/Avg time for rehab
Systems 09 00056 i003RehabilitatingDogs accommodated × (1 − Volhardt’s success)
Systems 09 00056 i003ShelteringFRD additions
Systems 09 00056 i003Sheltering for trainingDogs accommodated
Systems 09 00056 i003SterilizationFRD/Year
Systems 09 00056 i004Fraction birthsNormal birth fraction × Survival effect
Systems 09 00056 i004Life expectancyAvg life expectancy × Survival effect
Systems 09 00056 i001 Carrying Capacity:
Systems 09 00056 i002Trash food(t)∫(Waste generation − Trash food consumption by FRD − Trash disposal)dt
Systems 09 00056 i003Trash disposalFraction disposed × Trash food
Systems 09 00056 i003Trash food consumption by FRDFRD population
Systems 09 00056 i003Waste generationNormal waste generation
Systems 09 00056 i004Survival effectf (Trash food availability)
Systems 09 00056 i004Trash food availabilityTrash food/FRD population
Table 2. Equations for stocks, flows, and calculated converters in the three policy modules.
Table 2. Equations for stocks, flows, and calculated converters in the three policy modules.
Systems 09 00056 i001 Sterilizations:Equation:
Systems 09 00056 i004Actual budgetBudget constraint × (((1 − Weight) × Desired budget) + Past influence)
Systems 09 00056 i004FRD/YearActual budget/Cost per sterilization
Systems 09 00056 i001 Euthanasia:
Systems 09 00056 i004Actual budgetBudget constraint × (((1 − Weight) × Desired budget) + Past influence)
Systems 09 00056 i004FRD/yearActual budget/(Euthanasia cost/dog)
Systems 09 00056 i001 Shelters:
Systems 09 00056 i002Shelter population(t)∫(Additions − Shelter removal)dt
Systems 09 00056 i003AdditionsSheltering
Systems 09 00056 i003Shelter removalShelter population/Avg adoption time
Systems 09 00056 i004Actual budgetBudget constraint × (((1 − Weight) × Desired budget) + Past influence)
Systems 09 00056 i004FRD additionsShelter capacity − Shelter population
Systems 09 00056 i004Shelter capacityActual budget/Cost per dog
Systems 09 00056 i004Shelter incomeShelter removal × Avg adoption fee
Table 3. Equations for stocks, flows, and calculated converters in the Social Integration module.
Table 3. Equations for stocks, flows, and calculated converters in the Social Integration module.
Systems 09 00056 i001 Social Integration:Equation:
Systems 09 00056 i002Candidate population(t)∫(Volhardt’s Testing − (Obedience training, aptitude assessment) − Social assessment)dt
Systems 09 00056 i002Military, K9, SAR, Guard, Conservation FRD(t)∫(Specialized training − Deploy type 2)dt
Systems 09 00056 i002Emotional Support, Pet, Companion, Therapy FRD(t)∫(Social assessment − Deploy type 1)dt
Systems 09 00056 i002Medical service FRD(t)∫(Service training − Deploy type 3)dt
Systems 09 00056 i002Working FRD population(t)∫((Obedience training, aptitude assessment) − Service training − Specialized training)dt
Systems 09 00056 i005Deploy type 1(ESA, pet, companion, therapy FRD)/Avg time to match with owner
Systems 09 00056 i005Deploy type 2(Military, K9, SAR, Guard, Conservation FRD)/Avg time to deploy
Systems 09 00056 i005Deploy type 3Medical service FRD/Avg time to match need
Systems 09 00056 i005Obedience training, Aptitude assessmentCandidate population × Aptitude success
Systems 09 00056 i005Service trainingWorking FRD population × Service success
Systems 09 00056 i005Social assessmentCandidate population × Social success
Systems 09 00056 i005Specialized trainingWorking FRD population × Training success
Systems 09 00056 i005Volhardt’s testingVolhardt’s success × (Sheltering for training + Preparing for training)
Systems 09 00056 i004Actual budgetBudget constraint × (((1 − Weight) × Desired budget) + Past influence)
Systems 09 00056 i004Dogs accommodatedActual budget/(Testing/Training cost per dog)
Systems 09 00056 i004Adoption incomeDeploy type 1 × Avg adoption fee
Systems 09 00056 i004Special service incomeAvg special fee × Deploy type 2
Systems 09 00056 i004Medical service incomeDeploy type 3 × Avg service fee
Table 4. Equations for stocks, flows, and calculated converters in the Funding module.
Table 4. Equations for stocks, flows, and calculated converters in the Funding module.
Systems 09 00056 i001 Funding:Equation:
Systems 09 00056 i002Avg spending(t)∫(Change in avg spending)dt
Systems 09 00056 i002Budget(t)∫(Budget received − Spending)dt
Systems 09 00056 i005Budget receivedNormal budget received − STEP(Normal budget received, Funds end) + Shelter income + Social Integration Income
Systems 09 00056 i005Change in avg spending(Spending − Avg spending)/Averaging time
Systems 09 00056 i005SpendingActual budget + Actual budget + Actual budget + Actual budget
Systems 09 00056 i004Budget constraintf (Budget/Desired budget) IF TIME > 1 THEN Budget/Desired_budget ELSE 1
Systems 09 00056 i004Desired budget0.00000000001 + Past influence + ((1 − Weight) × (Sterilizations Desired budget + Euthanasia Desired budget + Social Integration Desired budget + Shelters Desired budget))
Systems 09 00056 i004WARNINGBudget/Desired budget
Systems 09 00056 i004Past influenceWeight × Budget coverage × Avg spending
Systems 09 00056 i004Social Integration IncomePet income + Special income + Service income
Publisher’s Note: MDPI stays neutral with regard to jurisdictional claims in published maps and institutional affiliations.

Share and Cite

MDPI and ACS Style

Mallick, U.B.; Bakermans, M.H.; Saeed, K. Transforming a Liability into an Asset: A System Dynamics Model for Free-Ranging Dog Population Management. Systems 2021, 9, 56. https://doi.org/10.3390/systems9030056

AMA Style

Mallick UB, Bakermans MH, Saeed K. Transforming a Liability into an Asset: A System Dynamics Model for Free-Ranging Dog Population Management. Systems. 2021; 9(3):56. https://doi.org/10.3390/systems9030056

Chicago/Turabian Style

Mallick, Urmila Basu, Marja H. Bakermans, and Khalid Saeed. 2021. "Transforming a Liability into an Asset: A System Dynamics Model for Free-Ranging Dog Population Management" Systems 9, no. 3: 56. https://doi.org/10.3390/systems9030056

APA Style

Mallick, U. B., Bakermans, M. H., & Saeed, K. (2021). Transforming a Liability into an Asset: A System Dynamics Model for Free-Ranging Dog Population Management. Systems, 9(3), 56. https://doi.org/10.3390/systems9030056

Note that from the first issue of 2016, this journal uses article numbers instead of page numbers. See further details here.

Article Metrics

Back to TopTop