How Open Government Data Enhances Public Service Delivery: A Quasi-Natural Experiment from Government Data Platforms
Abstract
1. Introduction
2. Literature Review
3. Institutional Context and Research Hypotheses
3.1. China’s OGD Practices
3.2. Research Hypotheses
4. Research Design
4.1. Sample Selection and Data Sources
4.2. Variable Selection and Data Description
5. Empirical Analysis
5.1. Analysis of Baseline Regression Results
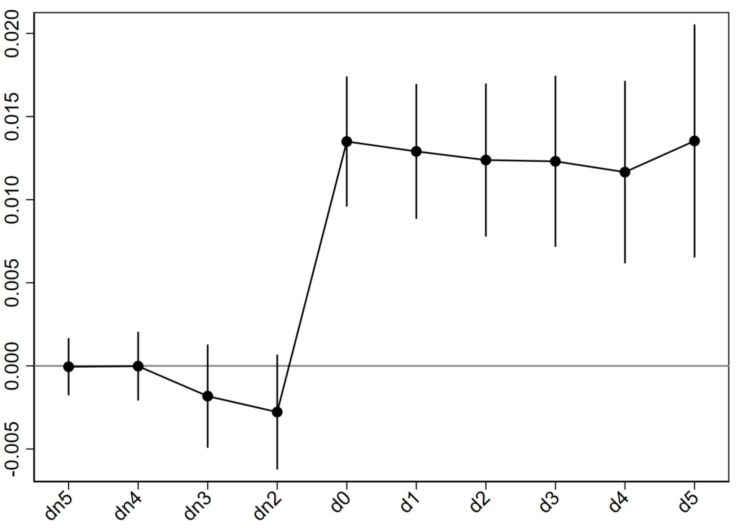
5.2. Robustness Test
5.3. Mechanism Analysis
5.3.1. Effect of Data Elements
5.3.2. Effect of Technological Innovation
5.4. Analysis of the Moderating Role of Fiscal Transparency
5.5. Heterogeneity Analysis
5.5.1. Regional Heterogeneity
5.5.2. Population Density Heterogeneity
6. Conclusions and Recommendations
Author Contributions
Funding
Data Availability Statement
Conflicts of Interest
References
- Holzer, M.; Charbonneau, E.; Kim, Y. Mapping the terrain of public service quality improvement: Twenty-five years of trends and practices in the United States. Int. Rev. Adm. Sci. 2009, 75, 403–418. [Google Scholar] [CrossRef]
- Carvalho Filho, J.G.V.d.; Sepulcri, L.M.C.B.; Azzari, V. Determinants of Public Service Quality: An Exploratory Factor Analysis. Adm. Soc. 2025, 57, 487–512. [Google Scholar] [CrossRef]
- Baser, E.T.; Tan, E. Citizen expectations, agency reputation and public service quality. Public Manag. Rev. 2023, 1–27. [Google Scholar] [CrossRef]
- Qian, J.; Xia, Y. Comparative analysis of public data utilization policies for research needs: A text-based quantitative study across the USA, UK and China. Aslib J. Inf. Manag. 2026, 1–26. [Google Scholar] [CrossRef]
- Roy, J. Open data and open governance in Canada: A critical examination of new opportunities and old tensions. Future Internet 2014, 6, 414–432. [Google Scholar] [CrossRef]
- Zeleti, F.A.; Ojo, A.; Curry, E. Exploring the economic value of open government data. Gov. Inf. Q. 2016, 33, 535–551. [Google Scholar] [CrossRef]
- Janssen, K. The influence of the PSI directive on open government data: An overview of recent developments. Gov. Inf. Q. 2011, 28, 446–456. [Google Scholar] [CrossRef]
- Broomfield, H. Where is open data in the Open Data Directive? Inf. Polity 2023, 28, 175–188. [Google Scholar] [CrossRef]
- De Juana-Espinosa, S.; Luján-Mora, S. Open government data portals in the European Union: Considerations, development, and expectations. Technol. Forecast. Soc. Change 2019, 149, 119769. [Google Scholar] [CrossRef]
- Zhu, X. The failure of an early episode in the open government data movement: A historical case study. Gov. Inf. Q. 2017, 34, 256–269. [Google Scholar] [CrossRef]
- Wang, V.; Shepherd, D. Exploring the extent of openness of open government data–A critique of open government datasets in the UK. Gov. Inf. Q. 2020, 37, 101405. [Google Scholar] [CrossRef]
- Alexopoulos, C.; Saxena, S.; Janssen, M.; Rizun, N.; Lnenicka, M.; Matheus, R. Why do Open Government Data initiatives fail in developing countries? A root cause analysis of the most prevalent barriers and problems. Electron. J. Inf. Syst. Dev. Ctries. 2024, 90, e12297. [Google Scholar] [CrossRef]
- Nikiforova, A.; McBride, K. Open government data portal usability: A user-centred usability analysis of 41 open government data portals. Telemat. Inform. 2021, 58, 101539. [Google Scholar] [CrossRef]
- Wirtz, B.W.; Weyerer, J.C.; Becker, M.; Müller, W.M. Open government data: A systematic literature review of empirical research. Electron. Mark. 2022, 32, 2381. [Google Scholar] [CrossRef]
- Ruijer, E.; Détienne, F.; Baker, M.; Groff, J.; Meijer, A.J. The politics of open government data: Understanding organizational responses to pressure for more transparency. Am. Rev. Public Adm. 2020, 50, 260–274. [Google Scholar] [CrossRef]
- Gonzalez-Zapata, F.; Heeks, R. The multiple meanings of open government data: Understanding different stakeholders and their perspectives. Gov. Inf. Q. 2015, 32, 441–452. [Google Scholar] [CrossRef]
- Gao, Y.; Janssen, M.; Zhang, C. Understanding the evolution of open government data research: Towards open data sustainability and smartness. Int. Rev. Adm. Sci. 2023, 89, 59–75. [Google Scholar] [CrossRef]
- Vetrò, A.; Canova, L.; Torchiano, M.; Minotas, C.O.; Iemma, R.; Morando, F. Open data quality measurement framework: Definition and application to Open Government Data. Gov. Inf. Q. 2016, 33, 325–337. [Google Scholar] [CrossRef]
- Zuiderwijk, A.; Janssen, M.; Davis, C. Innovation with open data: Essential elements of open data ecosystems. Inf. Polity 2014, 19, 17–33. [Google Scholar] [CrossRef]
- Zuiderwijk, A.; Janssen, M. Open data policies, their implementation and impact: A framework for comparison. Gov. Inf. Q. 2014, 31, 17–29. [Google Scholar] [CrossRef]
- Benmohamed, N.; Shen, J.; Vlahu-Gjorgievska, E. Public value creation through the use of open government data in Australian public sector: A quantitative study from employees’ perspective. Gov. Inf. Q. 2024, 41, 101930. [Google Scholar] [CrossRef]
- Zhang, J.; Puron-Cid, G.; Gil-Garcia, J.R. Creating public value through Open Government: Perspectives, experiences and applications. Inf. Polity 2015, 20, 97–101. [Google Scholar] [CrossRef]
- Pedrosa, G.V.; Kosloski, R.A.; Menezes, V.G.d.; Iwama, G.Y.; Silva, W.C.d.; Figueiredo, R.M.d.C. A systematic review of indicators for evaluating the effectiveness of digital public services. Information 2020, 11, 472. [Google Scholar] [CrossRef]
- Giest, S.; McBride, K.; Nikiforova, A.; Sikder, S.K. Digital & data-driven transformations in governance: A landscape review. Data Policy 2025, 7, e21. [Google Scholar] [CrossRef]
- Janowski, T. Digital government evolution: From transformation to contextualization. Gov. Inf. Q. 2015, 32, 221–236. [Google Scholar] [CrossRef]
- Cairney, P. Policymaking integration, policy coherence, and whole-of-government approaches: A qualitative systematic review of advice for policymakers. Open Res. Eur. 2025, 5, 75. [Google Scholar] [CrossRef]
- Osakwe, J. Data governance in the public sector: Enhancing accountability and service delivery. Int. J. Public Adm. Manag. Res. 2025, 10, 45–57. [Google Scholar]
- Wang, F. Understanding the dynamic mechanism of interagency government data sharing. Gov. Inf. Q. 2018, 35, 536–546. [Google Scholar] [CrossRef]
- Overton, M.; Larson, S.; Carlson, L.J.; Kleinschmit, S. Public data primacy: The changing landscape of public service delivery as big data gets bigger. Glob. Public Policy Gov. 2022, 2, 381–399. [Google Scholar] [CrossRef]
- Magalhaes, G.; Roseira, C. Open government data and the private sector: An empirical view on business models and value creation. Gov. Inf. Q. 2020, 37, 101248. [Google Scholar] [CrossRef]
- Ruijer, E.; Meijer, A. Open government data as an innovation process: Lessons from a living lab experiment. Public Perform. Manag. Rev. 2020, 43, 613–635. [Google Scholar] [CrossRef]
- Zhou, C.; Wu, Y. Public data openness, element allocation, and urban collaborative innovation. Appl. Econ. Lett. 2025, 1–5. [Google Scholar] [CrossRef]
- Lnenicka, M.; Nikiforova, A.; Luterek, M.; Milic, P.; Rudmark, D.; Neumaier, S.; Santoro, C.; Flores, C.C.; Janssen, M.; Bolívar, M.P.R. Identifying patterns and recommendations of and for sustainable open data initiatives: A benchmarking-driven analysis of open government data initiatives among European countries. Gov. Inf. Q. 2024, 41, 101898. [Google Scholar] [CrossRef]
- Yang, Y. Heterogeneous effects of e-government on urban and rural public services: The perspective of the digital divide. Appl. Econ. 2025, 1–16. [Google Scholar] [CrossRef]
- Guo, Y.; Zhao, X.; Dong, Q. How Digital Government Empowers Public Service Delivery in China: Mechanisms from Public Value and Technological Empowerment Perspectives. Systems 2025, 14, 30. [Google Scholar] [CrossRef]
- Meijer, A. Co-production in an information age: Individual and community engagement supported by new media. Volunt. Int. J. Volunt. Nonprofit Organ. 2012, 23, 1156–1172. [Google Scholar] [CrossRef]
- Wirtz, B.W.; Weyerer, J.C.; Rösch, M. Open government and citizen participation: An empirical analysis of citizen expectancy towards open government data. Int. Rev. Adm. Sci. 2019, 85, 566–586. [Google Scholar] [CrossRef]
- Purwanto, A.; Zuiderwijk, A.; Janssen, M. Citizen engagement with open government data: A systematic literature review of drivers and inhibitors. In Research Anthology on Citizen Engagement and Activism for Social Change; IGI Global: Hershey, PA, USA, 2022; pp. 1539–1566. Available online: https://library.bpk.go.id/pathfinder/files/webservices/jkpkbpkpp-dl-20230126093328.pdf (accessed on 21 January 2026).
- Toots, M.; McBride, K.; Kalvet, T.; Krimmer, R.; Tambouris, E.; Panopoulou, E.; Kalampokis, E.; Tarabanis, K. A framework for data-driven public service co-production. In Proceedings of the International Conference on Electronic Government, New Delhi, India, 7–9 March 2017; pp. 264–275. [Google Scholar]
- Fudan University Digital and Mobile Governance Laboratory, in collaboration with the National Information Center Digital China Research Institute. Report on the Openness and Utilization of Public Data by Local Governments in China. 2025. pp. 11–25. Available online: https://mp.weixin.qq.com/s/XqWz7qFC84TVXOAbrRZ6Uw (accessed on 21 January 2026).
- Chengdu’s Public Data Open Platform. Available online: http://www.chengdu.gov.cn/data/oportal/index (accessed on 19 January 2026).
- Van der Heijden, M.; Spaai, B.; Douglas, S. From silos to synergy: How the institutional work of local government officials facilitates integrated service delivery. Int. J. Public Sect. Manag. 2025, 39, 208–226. [Google Scholar] [CrossRef]
- Tummers, L.L.; Bekkers, V.; Vink, E.; Musheno, M. Coping during public service delivery: A conceptualization and systematic review of the literature. J. Public Adm. Res. Theory 2015, 25, 1099–1126. [Google Scholar] [CrossRef]
- Meijer, A.; Bolívar, M.P.R. Governing the smart city: A review of the literature on smart urban governance. Int. Rev. Adm. Sci. 2016, 82, 392–408. [Google Scholar] [CrossRef]
- Latupeirissa, J.J.P.; Dewi, N.L.Y.; Prayana, I.K.R.; Srikandi, M.B.; Ramadiansyah, S.A.; Pramana, I.B.G.A.Y. Transforming public service delivery: A comprehensive review of digitization initiatives. Sustainability 2024, 16, 2818. [Google Scholar] [CrossRef]
- Van Gestel, N.; Grotenbreg, S. Collaborative governance and innovation in public services settings. Policy Politics 2021, 49, 249–265. [Google Scholar] [CrossRef]
- Kosec, K.; Wantchekon, L. Can information improve rural governance and service delivery? World Dev. 2020, 125, 104376. [Google Scholar] [CrossRef]
- Sikora-Fernandez, D.; Stawasz, D. Public Information Asymmetry and Its Impact on Urban Governance Efficiency. Eur. Res. Stud. J. 2024, 27, 403–415. [Google Scholar] [CrossRef]
- Atobatele, O.K.; Hungbo, A.Q.; Adeyemi, C. Digital health technologies and real-time surveillance systems: Transforming public health emergency preparedness through data-driven decision making. IRE J. 2019, 3, 417–421. [Google Scholar]
- Magakwe, J. Advancing governance: Role of data analytics in driving evidence-based decision-making in public administration. In Recent Advances in Public Sector Management; IntechOpen: London, UK, 2025. [Google Scholar]
- Bühler, M.M.; Calzada, I.; Cane, I.; Jelinek, T.; Kapoor, A.; Mannan, M.; Mehta, S.; Mookerje, V.; Nübel, K.; Pentland, A. Unlocking the power of digital commons: Data cooperatives as a pathway for data sovereign, innovative and equitable digital communities. Digital 2023, 3, 146–171. [Google Scholar] [CrossRef]
- Zuiderwijk, A.; Shinde, R.; Janssen, M. Investigating the attainment of open government data objectives: Is there a mismatch between objectives and results? Int. Rev. Adm. Sci. 2019, 85, 645–672. [Google Scholar] [CrossRef]
- Wang, D.; Richards, D.; Chen, C. Connecting users, data and utilization: A demand-side analysis of open government data. In Proceedings of the International Conference on Information, Tokyo, Japan, 16–19 March 2019; pp. 488–500. [Google Scholar]
- Callinan, C.; Scott, M.; Ojo, A.; Whelan, E. How to create public value through open data driven co-creation: A survey of the literature. In Proceedings of the 11th International Conference on Theory and Practice of Electronic Governance, Galway, Ireland, 4–6 April 2018; pp. 363–370. [Google Scholar]
- Dunleavy, P.; Margetts, H. Data science, artificial intelligence and the third wave of digital era governance. Public Policy Adm. 2025, 40, 185–214. [Google Scholar] [CrossRef]
- Gascó-Hernández, M.; Martin, E.G.; Reggi, L.; Pyo, S. Promoting the use of open government data: Cases of training and engagement. Gov. Inf. Q. 2018, 35, 233–242. [Google Scholar] [CrossRef]
- Jetzek, T.; Avital, M.; Bjorn-Andersen, N. The sustainable value of open government data. J. Assoc. Inf. Syst. 2019, 20, 6. [Google Scholar] [CrossRef]
- Khan, J. Harnessing Data Science as a Strategic Asset for Big Data and AI-Driven Evidence-Based Policymaking and Public Sector Innovation. 2025. Available online: https://www.researchgate.net/publication/398960316_Harnessing_Data_Science_as_a_Strategic_Asset_for_Big_Data_and_AI-_Driven_Evidence-Based_Policymaking_and_Public_Sector_Innovation (accessed on 21 January 2026).
- Achanta, S.V. AI in public services: Analysing AI-driven tools in healthcare, education, transportation, and safety. In AI Driven Tools for Sustainable Public Administration; IGI Global Scientific Publishing: Hershey, PA, USA, 2025; pp. 113–152. [Google Scholar]
- Costa, J.; Matias, J.C. Open innovation 4.0 as an enhancer of sustainable innovation ecosystems. Sustainability 2020, 12, 8112. [Google Scholar] [CrossRef]
- Zheng, G.; Lyu, H. How Does Open Government Data Promote Digital Technology Innovation? Evidence from China. Available online: https://ssrn.com/abstract=5384899 (accessed on 21 January 2026).
- Kazantsev, N.; Islam, N.; Zwiegelaar, J.; Brown, A.; Maull, R. Data sharing for business model innovation in platform ecosystems: From private data to public good. Technol. Forecast. Soc. Change 2023, 192, 122515. [Google Scholar] [CrossRef]
- Zou, W.; Lei, H. Business environment and resource allocation based on the perspective of the national value chain. J. Syst. Sci. Complex. 2023, 36, 294–327. [Google Scholar] [CrossRef] [PubMed]
- Hajli, N.; Baydarova, I.; Nisar, T. Digital entrepreneurial ecosystem: The role of the sharing economy in driving innovation. Entrep. Reg. Dev. 2025, 37, 785–815. [Google Scholar] [CrossRef]
- Natalicchio, A.; Ardito, L.; Savino, T.; Albino, V. Managing knowledge assets for open innovation: A systematic literature review. J. Knowl. Manag. 2017, 21, 1362–1383. [Google Scholar] [CrossRef]
- Appio, F.P.; Lima, M.; Paroutis, S. Understanding Smart Cities: Innovation ecosystems, technological advancements, and societal challenges. Technol. Forecast. Soc. Change 2019, 142, 1–14. [Google Scholar] [CrossRef]
- Martínez-Peláez, R.; Ochoa-Brust, A.; Rivera, S.; Félix, V.G.; Ostos, R.; Brito, H.; Félix, R.A.; Mena, L.J. Role of digital transformation for achieving sustainability: Mediated role of stakeholders, key capabilities, and technology. Sustainability 2023, 15, 11221. [Google Scholar] [CrossRef]
- Li, G.; Feng, L.; Zhang, X.; Hu, J.; Liang, Y. Will urban shrinkage affect the level of basic public services supply?—The empirical evidence from 298 prefecture-level cities in China. Cities 2024, 149, 104875. [Google Scholar] [CrossRef]
- Janssen, M.; Charalabidis, Y.; Zuiderwijk, A. Benefits, adoption barriers and myths of open data and open government. Inf. Syst. Manag. 2012, 29, 258–268. [Google Scholar] [CrossRef]
- Frost, J.; Gambacorta, L.; Huang, Y.; Shin, H.S.; Zbinden, P. BigTech and the changing structure of financial intermediation. Econ. Policy 2019, 34, 761–799. [Google Scholar] [CrossRef]
- Fang, J.; Zhao, L.; Li, S. Exploring open government data ecosystems across data, information, and business. Gov. Inf. Q. 2024, 41, 101934. [Google Scholar] [CrossRef]
- Yu, J.; Wei, W.; Butler, J. Fiscal transparency and government credit quality: Evidence from the US States. Public Perform. Manag. Rev. 2021, 44, 378–403. [Google Scholar] [CrossRef]
- Matheus, R.; Faber, R.; Ismagilova, E.; Janssen, M. Digital transparency and the usefulness for open government. Int. J. Inf. Manag. 2023, 73, 102690. [Google Scholar] [CrossRef]
- Han, N.; Liu, P.; Zhong, F.; Zhao, D. Does public data access improve fiscal transparency?--On a quasi-natural experiment from government data platform access. Socio-Econ. Plan. Sci. 2025, 98, 102184. [Google Scholar] [CrossRef]
- McCann, P.; Van Oort, F. Theories of agglomeration and regional economic growth: A historical review. In Handbook of Regional Growth and Development Theories; Edward Elgar Publishing: Cheltenham, UK, 2019; pp. 6–23. [Google Scholar]


| Variables | Primary Index | Calculation Formula | Weight |
|---|---|---|---|
| Level of Public Service Delivery (PS) | Education | Student-teacher ratio in primary schools (per teacher) | 0.0450235 |
| Student-teacher ratio in secondary schools (per teacher) | 0.0461986 | ||
| Student-teacher ratio in tertiary institutions (per teacher) | 0.0434949 | ||
| Share of educational expenditure in total fiscal expenditure | 0.0471893 | ||
| Basic medical service Medical Resources | Number of medical institutions | 0.0402047 | |
| Number of hospitals and health centers | 0.0479754 | ||
| Number of hospital and health center beds | 0.0433942 | ||
| Number of licensed (assistant) physicians | 0.0480175 | ||
| Social security service Social Security | Number of enrollees in basic urban employee pension insurance | 0.0482128 | |
| Number of enrollees in basic employee medical insurance | 0.0414103 | ||
| Number of enrollees in unemployment insurance | 0.0468708 | ||
| Number of residential social welfare institutions | 0.044837 | ||
| Public cultural service | Total mileage of highways (km) | 0.0449766 | |
| Total electricity consumption (kWh) | 0.0495865 | ||
| Per capita water resources (m3/capita) | 0.0445942 | ||
| Infrastructure | Number of public libraries | 0.0443535 | |
| Number of theaters and cinemas | 0.044321 | ||
| Number of museums | 0.0463491 | ||
| Number of sports venues | 0.045763 | ||
| Public Cultural Services | Domestic sewage treatment rate (%) | 0.0446888 | |
| Household waste harmless treatment rate (%) | 0.0461767 | ||
| Centralized treatment rate of municipal sewage (%) | 0.0463615 |
| Group | Variables | Mean Value | Standard Deviation | Minimum Value | Maximum Value |
|---|---|---|---|---|---|
| Treatment group (N = 211) | PS | 0.1612 | 0.0493 | 0.056 | 0.5478 |
| DID | 0.2959 | 0.4565 | 0 | 1 | |
| Data | 0.1623 | 0.0902 | 0.0004 | 0.6261 | |
| Inno | 0.0243 | 0.0654 | 0 | 0.9437 | |
| Ind | 0.4162 | 0.1047 | 0.0976 | 0.8387 | |
| GDP | 5.2946 | 3.4268 | 0.4491 | 22.9372 | |
| GI | 0.1889 | 0.0988 | 0.0511 | 1.0268 | |
| Fis | 1.937 | 2.0074 | −0.3512 | 17.3985 | |
| Tech | 0.8108 | 1.9619 | 0.0004 | 27.9177 | |
| PE | 0.2019 | 0.0367 | 0.0526 | 0.3722 | |
| Control group (N = 74) | PS | 0.1549 | 0.0283 | 0.0734 | 0.2941 |
| DID | 0 | 0 | 0 | 0 | |
| Data | 0.1425 | 0.0786 | 0.0019 | 0.4109 | |
| Inno | 0.0134 | 0.0312 | 0 | 0.3896 | |
| Ind | 0.4293 | 0.094 | 0.1436 | 0.6867 | |
| GDP | 5.3297 | 3.3666 | 0.6025 | 25.6908 | |
| GI | 0.2245 | 0.1094 | 0.0439 | 0.6754 | |
| Fis | 2.0858 | 1.8361 | 0.0947 | 12.0267 | |
| Tech | 0.4912 | 1.137 | 0.0005 | 12.252 | |
| PE | 0.1695 | 0.0546 | 0.0475 | 0.8533 |
| Variable | Model 1 PS | Model 2 PS | Model 3 PS | Model 4 PS |
|---|---|---|---|---|
| DID | 0.0370 *** (0.0006) | 0.0175 *** (0.0007) | 0.0173 *** (0.0006) | 0.0161 *** (0.0010) |
| Ind | 0.0725 *** | 0.0014 | ||
| (0.0040) | (0.0666) | |||
| GDP | 0.0035 *** | −0.0002 | ||
| (0.0001) | (0.0004) | |||
| GI | 0.0711 *** | 0.0093 | ||
| (0.0058) | (0.0061) | |||
| Fis | −0.0025 *** | −0.0010 *** | ||
| (0.0003) | (0.0003) | |||
| Tech | 0.0048 *** | 0.0049 *** | ||
| (0.0002) | (0.0002) | |||
| PE | 0.0542 *** | 0.0612 *** | ||
| (0.0082) | (0.0078) | |||
| Constant | 0.1515 *** | 0.1332 *** | 0.0838 *** | 0.1195 *** |
| (0.0023) | (0.0007) | (0.0029) | (0.0059) | |
| City FE | NO | YES | NO | YES |
| Year FE | NO | YES | NO | YES |
| N | 3990 | 3990 | 3990 | 3990 |
| R-squared | 0.4847 | 0.7047 | 0.7059 | 0.7611 |
| Variable | Model 1 Excluding Municipalities | Model 2 One-Period Lag | Model 3 Counterfactual Analysis | Model 4 Clustered Standard Errors |
|---|---|---|---|---|
| DID | 0.0157 *** | 0.0163 *** | 0.0161 *** | |
| (0.0006) | (0.0008) | (0.0010) | ||
| DID.L | 0.0010 | |||
| (0.0008) | ||||
| Fake.DID | −0.0011 | |||
| (0.0010) | ||||
| Ind | −0.0040 | 0.0051 | 0.0014 | 0.0014 |
| (0.0048) | (0.0088) | (0.0087) | (0.0090) | |
| GDP | −0.0006 ** | 0.0001 | −0.0003 | −0.0002 |
| (0.0002) | (0.0004) | (0.0004) | (0.0004) | |
| GI | 0.0135 | 0.0087 | 0.0069 | 0.0093 |
| (0.0057) | (0.0112) | (0.0102) | (0.0109) | |
| Fis | −0.0010 *** | 0.0009 | −0.0009 | −0.0010 |
| (0.0002) | (0.0004) | (0.0004) | (0.0109) | |
| Tech | 0.0040 *** | 0.0047 *** | 0.0038 *** | 0.0049 *** |
| (0.0002) | (0.0007) | (0.0006) | (0.0008) | |
| PE | 0.0704 *** | 0.0528 ** | 0.0622 ** | 0.0612 ** |
| (0.0074) | (0.0184) | (0.0183) | (0.0194) | |
| Constant | 0.1184 *** | 0.1236 *** | 0.1200 *** | 0.1195 *** |
| (0.0027) | (0.0058) | (0.0056) | (0.0059) | |
| City FE | YES | YES | YES | YES |
| Year FE | YES | YES | YES | YES |
| N | 3934 | 3705 | 3990 | 3990 |
| R-squared | 0.7701 | 0.7551 | 0.6527 | 0.7611 |
| Variable | Model 1 Data | Model 2 Inno | Model 3 PS | Model 4 PS | Model 5 PS |
|---|---|---|---|---|---|
| DID | 0.0087 *** | 0.0014 *** | 0.0161 *** | 0.0158 *** | 0.0156 *** |
| (0.0022) | (0.0004) | (0.0010) | (0.0007) | (0.0007) | |
| Data | 0.0339 *** | ||||
| (0.0050) | |||||
| Inno | 0.3064 *** | ||||
| (0.0259) | |||||
| Ind | 0.0416 ** | 0.0040 | 0.0014 | −0.00003 | 0.0001 |
| (0.0169) | (0.0032) | (0.0007) | (0.00005) | (0.0051) | |
| GDP | 0.0030 *** | 0.0005 *** | −0.0002 | −0.0003 * | −0.0004 * |
| (0.0006) | (0.0001) | (0.00004) | (0.0002) | (0.0002) | |
| GI | −0.0310 | 0.0030 | 0.0093 | 0.0104 * | 0.0084 |
| (0.0058) | (0.0038) | (0.0061) | (0.0060) | (0.0060) | |
| Fis | −0.0003 | 0.0002 | −0.0010 *** | −0.0009 *** | −0.0010 *** |
| (0.0009) | (0.0002) | (0.0003) | (0.0003) | (0.0003) | |
| Tech | 0.0038 *** | 0.0298 *** | 0.0049 *** | −0.0048 *** | −0.0042 ** |
| (0.0007) | (0.0001) | (0.0002) | (0.0002) | (0.0008) | |
| PE | −0.0040 | −0.0031 | 0.0612 *** | 0.0613 *** | 0.0622 *** |
| (0.0259) | (0.0049) | (0.0078) | (0.0078) | (0.0077) | |
| Constant | 0.1009 *** | −0.0034 | 0.1195 *** | 0.1161 *** | 0.1205 *** |
| (0.0094) | (0.0018) | (0.0059) | (0.0029) | (0.0027) | |
| City FE | YES | YES | YES | YES | YES |
| Year FE | YES | YES | YES | YES | YES |
| N | 3990 | 3990 | 3990 | 3990 | 3990 |
| R-squared | 0.3716 | 0.9543 | 0.7611 | 0.7641 | 0.7698 |
| Variable | Model 1 PS | Model 2 PS |
|---|---|---|
| DID | 0.0161 *** | 0.0716 *** |
| (0.0010) | (0.0209) | |
| Data | −0.0002 | |
| (0.0003) | ||
| Inno | 0.0012 ** | |
| (0.0005) | ||
| Control variables | YES | YES |
| City FE | YES | YES |
| Year FE | YES | YES |
| N | 3990 | 2837 |
| R-squared | 0.7611 | 0.9705 |
| Variable | Model 1 Eastern Regions | Model 2 Central Regions | Model 3 Western Regions |
|---|---|---|---|
| DID | 0.0194 *** | 0.0154 *** | 0.0133 *** |
| (0.0016) | (0.0018) | (0.0020) | |
| Control variables | YES | YES | YES |
| City FE | YES | YES | YES |
| Year FE | YES | YES | YES |
| N | 1400 | 1400 | 1190 |
| R-squared | 0.8213 | 0.7415 | 0.7801 |
| Variable | Model 1 Low Population Density | Model 2 Medium Population Density | Model 3 High Population Density |
|---|---|---|---|
| DID | 0.0130 *** | 0.0161 *** | 0.0247 *** |
| (0.0019) | (0.0012) | (0.0047) | |
| Control variables | YES | YES | YES |
| City FE | YES | YES | YES |
| Year FE | YES | YES | YES |
| N | 1162 | 2618 | 210 |
| R-squared | 0.6792 | 0.7817 | 0.8350 |
Disclaimer/Publisher’s Note: The statements, opinions and data contained in all publications are solely those of the individual author(s) and contributor(s) and not of MDPI and/or the editor(s). MDPI and/or the editor(s) disclaim responsibility for any injury to people or property resulting from any ideas, methods, instructions or products referred to in the content. |
© 2026 by the authors. Licensee MDPI, Basel, Switzerland. This article is an open access article distributed under the terms and conditions of the Creative Commons Attribution (CC BY) license.
Share and Cite
Guo, Y.; Zhang, Z. How Open Government Data Enhances Public Service Delivery: A Quasi-Natural Experiment from Government Data Platforms. Systems 2026, 14, 408. https://doi.org/10.3390/systems14040408
Guo Y, Zhang Z. How Open Government Data Enhances Public Service Delivery: A Quasi-Natural Experiment from Government Data Platforms. Systems. 2026; 14(4):408. https://doi.org/10.3390/systems14040408
Chicago/Turabian StyleGuo, Yuhui, and Zexun Zhang. 2026. "How Open Government Data Enhances Public Service Delivery: A Quasi-Natural Experiment from Government Data Platforms" Systems 14, no. 4: 408. https://doi.org/10.3390/systems14040408
APA StyleGuo, Y., & Zhang, Z. (2026). How Open Government Data Enhances Public Service Delivery: A Quasi-Natural Experiment from Government Data Platforms. Systems, 14(4), 408. https://doi.org/10.3390/systems14040408
