Next Article in Journal
Operational Optimization of Urban–Rural Integrated Passenger–Freight Bus Service Based on Social Welfare Maximization
Previous Article in Journal
A Blockchain-Enabled Architecture for Secure and Transparent Distribution of Disaster Relief Supplies
 
 
Font Type:
Arial Georgia Verdana
Font Size:
Aa Aa Aa
Line Spacing:
Column Width:
Background:
Article

A Complex Systems Approach to NEV Disruptive Innovation Diffusion: Co-Evolution Across Enterprise and Consumer Networks

1
Economics and Management School, Wuhan University, Wuhan 430072, China
2
School of Management, Nanjing University of Posts and Telecommunications, Nanjing 210023, China
*
Author to whom correspondence should be addressed.
Systems 2026, 14(2), 172; https://doi.org/10.3390/systems14020172
Submission received: 9 January 2026 / Revised: 1 February 2026 / Accepted: 3 February 2026 / Published: 4 February 2026

Abstract

Consumer attitude uncertainty can hinder disruptive innovation (DI) diffusion in the new energy vehicle (NEV) market and weaken enterprises’ incentives to adopt new technologies. This study develops a dual-layer coupled network model linking consumer attitude dissemination and enterprise R&D strategy evolution under bounded observability. Our simulations show three main findings. First, stronger discouragement of counter-attitudinal dissemination markedly suppresses diffusion and lowers steady-state adoption. Second, diffusion strengthens when consumers weight public information more and firm messaging less, particularly under stronger policy support. Third, network structure shapes diffusion: stronger inter-enterprise connectivity increases adoption, and consumer topology and interaction breadth exert different effects under different network types. These results clarify how information environments, policy support, and cross-layer behavioral modulation jointly shape diffusion regimes.

1. Introduction

The new energy vehicle (NEV) transition has entered a paradoxical phase. On the one hand, electrification is scaling rapidly and reshaping the global automotive landscape, with China remaining a central growth engine and cost frontier. On the other hand, the NEV market has become increasingly turbulent: intensified competition compresses margins, product cycles shorten, and consumers confront a flood of heterogeneous models and claims that are difficult to evaluate before purchase [1]. Meanwhile, a prolonged price war has further intensified volatility and amplified strategic turbulence, prompting regulatory attention to what has been described as “irrational competition” in the EV industry [2,3]. The International Energy Agency reports that competitive pressure and falling battery and vehicle prices, especially in China, have accelerated adoption, while simultaneously intensifying rivalry and strategic uncertainty across manufacturers [4]. In parallel, policy support is shifting toward a more structured and longer-horizon toolkit [5], such as extended purchase tax incentives through 2027—adding new discontinuities in demand formation and enterprise strategy [6].
Taken together, these developments suggest that the turbulence reflects more than intensified competition. When key quality attributes and long-term performance are hard to verify ex ante and policy reference points shift, competition increasingly involves the (re)definition of what counts as “credible” and “future-proof” innovation. Enterprises therefore compete not only on cost and engineering performance, but also on shaping expectations, legitimacy, and ecosystem alignment, while consumers and regulators continuously update what they regard as reliable, compliant, and future-proof [1,7,8]. This combination—uncertain performance assessment, shifting benchmarks, and legitimacy-building efforts—is characteristic of DI dynamics.
The above phenomenon aligns closely with the logic of DI. According to previous research, DI describes trajectories that initially underperform on mainstream performance metrics but offer alternative value propositions (e.g., lower cost, convenience, new use contexts), improve over time, and ultimately reshape market structure and incumbent advantages [9,10]. Subsequent scholarship has clarified that disruption is not a mechanical “new technology replaces old technology” story; it is contingent on demand uncertainty, institutional conditions, complementary assets, and ecosystem alignment [11,12,13]. This “context-conditional” view is particularly relevant for NEVs, where disruptive dynamics typically arise from a bundle of changes rather than a single technical route: electrified powertrains combined with software-defined architectures, new platform strategies, new service models, and fast-scaling digital channels that actively shape user expectations [14,15,16].
From a DI perspective, the NEV transition is therefore not merely about adoption rates. It is about market re-ordering under uncertainty, where enterprises compete to define what counts as “credible innovation,” consumers update attitudes through social influence and information cues, and governments redesign policy instruments as diffusion and competition evolve. This framing immediately suggests that the relevant unit of analysis is multi-actor and feedback-driven rather than single-sided.
Because disruptive trajectories in the NEV sector are mediated by complementary assets and institutional infrastructures, diffusion and competitive advantage are inseparable from ecosystem alignment [3,7,17]. NEV diffusion is therefore not the diffusion of a single-point technology, but the coordinated diffusion of a complementary system [18], because key complementarities extend across charging networks, battery supply chains, software stacks, standards and regulatory regimes [19], and platform-enabled services; misalignment in any layer can slow diffusion, shift rents, or change which innovation trajectory becomes viable. Innovation ecosystem research accordingly emphasizes that value creation and capture depend on coordinated alignment among focal firms and complementors, and that competition often becomes “ecosystem versus ecosystem” rather than enterprise versus firm [20]. This ecosystem-mediated character motivates a complex-systems interpretation in which diffusion emerges from heterogeneous agents embedded in interacting networks with reinforcing feedback, rather than from a representative adopter responding to average incentives.
Within this ecosystem setting, a central mechanism that has received limited explicit modeling attention is the two-way coupling between enterprises and consumers under DI-stage uncertainty [21]. On the demand side, classic diffusion theory highlights the roles of perceived relative advantage, compatibility, and observability [22], while technology acceptance research underscores perceived usefulness and perceived ease of use as determinants of acceptance in uncertain environments [23]. For NEVs, where long-term reliability, residual value, and the credibility of performance claims are difficult to verify ex ante, adoption is therefore shaped not only by price and infrastructure, but also by social learning and network-embedded attitudes [24,25]. Digital environments can amplify these processes. Online communities and interactive brand ecosystems shape attitude formation and purchase intention, while platform-mediated information, including reviews and recommendation mechanisms, structures how consumers update beliefs about what is credible and future-proof in a rapidly evolving market.
Policy enters this coupled system not merely as a supply-side instrument but also as a salient signal and constraint that shapes demand formation and credibility inference [26]. Consumers revise perceptions of financial risk, convenience, and compliance partly through policy cues and governance signals, including incentive packages, charging support, privilege policies, standards, and regulatory communications. Empirical studies report that incentive policies can affect purchase intention through psychosocial value and perception channels, and that diversified policy mixes may generate differentiated impacts across consumer segments—suggesting that policy visibility and perceived credibility can shape attitudes rather than simply lowering prices [27]. In parallel, enterprises internalize policy evolution in their strategic calculations: as NEV governance shifts from direct subsidies to broader and longer-horizon toolkits, policy changes can alter both innovation incentives and competitive tactics, thereby interacting with the demand-side belief environment [1].
On the supply side, DI-stage enterprises do not passively respond to demand; they actively shape the information environment through visible R&D commitments, market narratives, and community operations intended to stabilize expectations and accelerate endorsement [15]. Under information asymmetry—when key attributes and long-term performance are difficult to verify ex ante—such observable actions can function as credibility signals that shape perceived quality and reduce uncertainty [28]. More broadly, expectations are performative in emerging technologies: narratives and public commitments can coordinate beliefs and channel diffusion trajectories, especially when uncertainty is persistent [29]. This yields a closed feedback logic: enterprise actions influence the evolution and diffusion of consumer beliefs, while the evolving distribution of consumer belief states feeds back into enterprises’ expected market prospects and payoffs, thereby affecting subsequent strategic adaptation [30]. Taken together, NEV DI diffusion is best understood as a coupled coevolution process in which consumer cognition spreads through social contagion and information processing, enterprises adapt strategically in response to the evolving belief landscape within their reachable market segments, and policy signals condition both layers under a changing governance regime.
However, this coupled coevolution logic is not yet fully reflected in the existing NEV literature. Despite rapid progress in NEV studies, several gaps remain salient.
First, Although NEV research has accumulated extensive demand-side evidence on adoption intention and choice [31], consumer perceptions are often treated as static or measured at a single time point [32], leaving limited understanding of how beliefs and attitudes evolve through intermediate states under persistent uncertainty and social influence. Supply-side and policy-oriented studies have also examined enterprises’ innovation investment and competitive responses [1,33], yet these analyses are frequently conducted without endogenizing the demand-side belief landscape. This framing misses a strategic reality of DI-stage competition: enterprises actively manage narratives and deploy visible investment signals to shape perceived credibility under uncertainty [34], and these actions can alter how consumers interpret information and spread beliefs about what is reliable and future-proof. As a result, the feedback mechanism linking enterprise market-shaping actions, consumer belief updating and contagion, and the resulting shifts in market potential is rarely specified as an explicit closed loop, even though empirical work increasingly documents interaction channels and community effects.
Second, theoretical integration remains limited. Disruptive innovation theory links market re-ordering to value propositions that first gain traction outside the mainstream. It further emphasizes that institutional and regulatory conditions and ecosystem alignment shape whether disruption materializes and how it unfolds [35,36,37]. Diffusion and technology acceptance theories clarify how perceptions form and how social influence affects adoption under uncertainty [38,39,40]. Ecosystem theory highlights complementarity and alignment constraints that condition value creation and capture. Yet NEV research often discusses these lenses in parallel rather than synthesizing them into an actor-specific, feedback-driven explanation that connects enterprise market-shaping actions, consumer belief contagion, and policy signals within one coherent causal loop. Accordingly, these theoretical gaps have methodological implications. If NEV disruptive diffusion is conceptualized as a feedback system linking strategic enterprise responses and network-embedded belief dynamics under policy signals, modeling approaches should be able to represent multi-state cognition and social transmission and should also endogenize enterprises’ adaptive strategy updates as the belief landscape evolves.
Methodologically, NEV diffusion and policy evaluation have been studied using multiple approaches, each capturing only part of the coupled mechanism. Econometric time-series and panel analyses identify the effects of policy incentives and policy mixes, but they typically operate at aggregate outcomes and do not endogenize micro-level belief transmission or enterprises’ adaptive responses [41,42]. System dynamics models represent macro feedback among demand, supply, and policy in post-subsidy transitions, yet they often rely on aggregated behavioral rules and do not explicitly capture network-mediated social contagion or the enterprise–consumer strategic loop [43].
Agent-based modeling is well suited for heterogeneous consumers and local interactions and has been increasingly used in NEV diffusion research [44,45]. Within this tradition, epidemic-style spreading provides a parsimonious formalism for information, awareness, and attitude diffusion by modeling state transitions driven by exposure and social contact. It can be implemented as compartmental dynamics or as stochastic simulations on networks and can accommodate multiple intermediate cognitive states under uncertainty [44,46,47]. Evolutionary games and complex-network models capture bounded rationality, imitation, and topology-driven cascades, but existing work often compresses cognition into binary states, treats belief diffusion as separable from enterprise competition, or omits the mechanism by which enterprises update innovation posture based on locally observable consumer-state distributions [48]. Consequently, many single-layer or weakly coupled models struggle to jointly capture multi-stage belief evolution, strategic enterprise adaptation grounded in observable market potential, and cross-layer feedback under evolving policy mixes [49,50].
On this basis, the methodological literature points to a mismatch between the complexity of NEV disruptive diffusion and the representational capacity of fragmented approaches. This motivates modeling frameworks that treat diffusion as an emergent outcome of tightly coupled enterprise–consumer coevolution under policy-conditioned belief formation. Accordingly, this study represents multi-state consumer belief dynamics and enterprises’ adaptive strategy updates as mutually reinforcing processes on interconnected networks.
These considerations motivate modeling approaches that can jointly represent multi-state consumer belief dynamics under DI-stage uncertainty, enterprises’ adaptive strategy updates based on observable consumer-state distributions, and cross-layer feedback on interconnected networks. Compartmental state-transition models offer a parsimonious formalism for information, awareness, and attitude diffusion by representing how agents move across cognitive states through exposure and social contact [47], which makes them suitable for belief-driven diffusion under uncertainty. Moreover, multilayer and coevolution spreading research shows that interacting diffusion processes can generate thresholds and discontinuities that single-layer representations typically miss. In summary, these insights motivate coupled modeling frameworks in which cognition transmission and strategic competition evolve as an integrated system rather than as separable modules.
Consistent with this logic, this study asks how disruptive-innovation R&D can diffuse among NEV manufacturers. We focus on a setting in which consumer attitudes evolve through networked dissemination and enterprises’ observable strategic posture shapes consumers’ willingness to endorse and disseminate attitudes. To address this question, we develop a coupled two-layer enterprise–consumer network model that closes the feedback loop from consumer dissemination to enterprises’ perceived market potential and evolutionary strategy updating. We then conduct simulation experiments to examine three factors: enterprise modulation of consumer attitude dissemination dynamics, the consumer information environment under different policy support regimes, and network connectivity and topology. As a mechanism-oriented framework, the findings are interpreted as conditional patterns under the stated assumptions.
The major contribution of our study can be formulated as follows:
  • We reconceptualize NEV disruptive diffusion as an endogenous outcome of strategic enterprise market-shaping actions, network-mediated consumer belief dynamics, and evolving policy signals, rather than as a unilateral adoption curve driven by average incentives.
  • We synthesize DI logic with diffusion and technology acceptance mechanisms and with ecosystem complementarity constraints to build an actor-specific causal loop. In this loop, DI-stage competition operates through credibility construction and shifting evaluation criteria under uncertainty, which are mapped into consumers’ perception formation and social transmission mechanisms. These evolving beliefs then translate into changing market prospects that discipline enterprises’ strategic adaptation, while policy signals and ecosystem alignment conditions shape transition intensities and competitive viability.
  • We develop a tightly coupled two-layer complex-network framework that links multi-state consumer belief dynamics with adaptive enterprise strategy updating under cross-layer observability. This design addresses limitations of single-layer or weakly coupled approaches in capturing DI-stage uncertainty, feedback-driven coevolution, and policy-conditioned diffusion dynamics in the NEV context.
The remainder of this paper is organized as follows. Section 2 presents the modeling framework. Section 3 reports simulation design and results. Section 4 discusses research conclusions and implications.

2. Methods

This study investigates the impact of China’s policy support for disruptive innovations on the R&D decisions of enterprises in the NEV industry, proposing strategies to enhance China’s DI technological development. As shown in Figure 1, a dual-layer complex network model, including 20 automaker enterprises and 500 consumers, simulates the interplay between enterprise strategies and consumer attitudes towards DI technology. All simulations were implemented in Python 3.11.9 (Python Software Foundation, Wilmington, DE, USA).
The model consists of two interconnected layers: the automaker network, focusing on the evolution of R&D strategies for disruptive innovation technology, and the consumer network, which applies the SHEIR model to track the spread of DI awareness. The networks are coupled through preferential connections between high-degree nodes, allowing enterprises to gauge potential vehicle sales from consumer attitudes and adjust their strategies accordingly. Conversely, consumer attitudes towards DI are influenced by the enterprises’ R&D decisions. The model posits that the strategic decision-making of enterprises and the diffusion of consumer awareness are dynamically interlinked, evolving towards equilibrium.

2.1. Assumption of Model

2.1.1. Assumption of the Enterprise Network

As micro-agents in the enterprise-consumer dual-layer coupled complex network, the connections among enterprises form the enterprise layer network. In order to avoid confounding from firm-specific cost and capability heterogeneity, this model assumes that there is no apparent heterogeneity among enterprises. These enterprises share similar business objectives and risk perceptions, thus a Watts and Strogatz small-world network is used to depict the topological structure of the enterprise layer complex network [51,52,53].
Enterprises can choose between two strategies: to develop DI products or to not develop DI products and maintain the production of electric vehicles. Moreover, it is assumed that enterprises cannot access all information during the game process, but only the information of the nodes connected to them, to anticipate their profits. Subsequently, enterprises can only engage in games with their neighbor nodes to update their strategies.

2.1.2. Assumption of the Consumer Network

Consumers, as micro-agents in the enterprise–consumer coupled network, form the consumer-layer attitude dissemination network through their social connections. In the new energy vehicle context, attitude expression and peer-to-peer persuasion are increasingly mediated by digitally enabled channels such as social media and online review platforms, where public concerns and sentiments toward NEVs can be observed and measured at scale [54]. We therefore assume substantial heterogeneity in consumers’ connectivity and influence, such that a small fraction of highly connected actors can disproportionately shape exposure and attitude transmission. Accordingly, the baseline consumer layer is modeled as an improved Barabási–Albert scale-free network [55], which provides a parsimonious representation of hub-dominated diffusion in digitally mediated environments [46]. The specific improvement and construction procedure are described in Section 2.2.1.

2.1.3. Assumption of the Inter-Layer Coupling

Physical and interest-based couplings are defined between the enterprise-layer and consumer-layer networks. Under physical coupling, nodes with higher degrees in their respective layers are preferentially connected to form the dual-layer enterprise–consumer network. Under interest-based coupling, enterprises infer expected profits from the strategies of their connected consumers, and consumers infer expected utilities from the strategies of their connected enterprises. This bounded-observability design provides a stylized representation of market processes, in which firms rely on local engagement and community signals and consumers respond to firms’ observable strategic posture, such as technology announcements and market communication. The coupled game evolves through repeated interactions until the system converges to a steady state.
Based on this, edges are added between nodes in the enterprise layer and the consumer layer until the preset number of edges is reached, where the probability of selecting a node is proportional to its degree. Thus, the probabilities of selecting node i from the enterprise layer and node j from the consumer layer are as follows, respectively:
ϵ i = k i m Ω E k m
ϵ j = k j n Ω E k n
where k i and k j , respectively, denote the degree of node i and node j, and Ω E and Ω E , respectively, represent the sets of nodes in the enterprise network and the consumer network.

2.2. Establishment of the Consumer Network

2.2.1. Consumer States

Given that current research on information dissemination models typically does not include individuals insensitive to information, our model also omits this category of people. These individuals are not influenced by the state of others, nor do they influence anyone else. Even if this group were included, their proportion would remain constant over time, not altering the trend of the model. Therefore, we categorize consumers into eight groups.
  • Unaware state (S): This state represents consumers who are not aware or informed about DI. Individuals in this state have not received information about DI and therefore have a neutral attitude towards it.
  • Hesitant state (H): Consumers in this state are aware of DI, but they hold a hesitant attitude about whether to endorse the technology. They require more information or time to form a definitive opinion.
  • Endorsement of DI ( E 1 ): Consumers in the E1 state endorse DI. Although they endorse it, at this stage, they have not taken any action to disseminate related information.
  • Non-Endorsement of DI ( E 2 ): Consumers in this state do not endorse DI. They may have a negative view of the technology but have also not disseminated their views.
  • Dissemination of Favorable DI Information ( I 1 ): Consumers in the I 1 state not only endorse DI but are also actively spreading favorable information and opinions about the technology to others.
  • Dissemination of Opposing DI Information ( I 2 ): Consumers in the I 2 state oppose DI and actively disseminate information and opinions against the technology.
  • Endorsement without Dissemination ( R 1 ): Consumers in this state endorse DI products but choose not to disseminate any information about the technology.
  • Non-Endorsement without Dissemination ( R 2 ): Consumers in the R 2 state do not endorse DI products and also choose not to disseminate any opposing information.

2.2.2. Spreading Process

As is depicted in Figure 2, the transition rules of the eight states can be summarized as follows:
Initially, consumers are in state S, unaware of DI. As awareness spreads through social interactions, consumers transition to aware states, which include state E 1 , state E 2 , and state H. For consumer i, the probability of transitioning from the state S to the state E 1 is represented by λ i j E 1 if he contacts a consumer j who is in state I 1 , signifying the inclination towards supporting DI. At this point, if consumer i does not transition to state E 1 , he/she will instead transition to state H, indicating skepticism or uncertainty towards DI products. Conversely, the probability of transitioning from the state S to the state E 2 , denoted as λ i j E 2 , reflects a consumer’s skepticism or concerns about the technology. Similarly, if at this time consumer i does not transition to state E 2 , he/she will transition to state H.
A consumer i in state H is at a pivotal point, being aware yet undecided. He/she remains susceptible to influence, continuing to be affected until they transition to either the state E 1 or the state E 2 , denoted by λ i j E 1 and λ i j E 2 , respectively. The mechanism of transition and the probability of changing states are as described above.
Furthermore, a consumer i in state E 1 can become active proponents, transitioning to the state I 1 with a probability μ i I 1 , actively spreading positive information about DI. Alternatively, he/she might choose to remain passive supporters, not actively disseminating information, denoted by a transition to the state R 1 with a probability 1- μ i I 1 . Similarly, a consumer i in the E 2 state might become active critics, moving to the state I 2 with a probability μ i I 2 , or remain passive in their opposition, transitioning to state R 2 with a probability 1- μ i I 2 .
After that, a consumer i in state I 1 can potentially return to R 1 if the connected enterprise chooses not to develop DI, with a certain probability of π I 1 . This is because when the enterprise’s strategy does not align with the attitudes that consumer i endorses and disseminates at that time, their enthusiasm for spreading DI decreases, which facilitates consumer i’s transition from state I 1 to state R 1 . In this case, it is clear that if consumer i is in state I 2 , he/she can also potentially return to state R 2 when the connected enterprise chooses not to develop DI, with a certain probability of π I 2 .
As time progresses, consumers become more discerning in their judgment of DI products, especially those in state R 1 and R 2 . They gather various types of information to further analyze whether they should change their attitudes towards DI products. For this reason, a consumer i in state R 1 , after further analysis, will transition to state R 2 with a probability of ρ i R 2 . In a similar manner, a consumer i in state R 2 can turn to state R 1 with a probability of ρ i R 1 .

2.2.3. Relative Impact Function

In a complex network, nodes often differ in their capacity to influence others [46]. If consumer j is adjacent to consumer i, the impact of consumer j on consumer i can be defined as follows:
θ ( i , j ) = k j l ϑ ( i ) k l
where ϑ ( i ) represents the collective group of consumer i’s neighbors, and k l denotes the number of connections for individual, who is a part of. It is evident that the more connections consumer j has, the more significant their impact on consumer i. However, θ ( i , j ) will be influenced by the average value of k , which makes it impossible to obtain the true impact of j on i. To avoid this impact, the r θ ( i , j ) is used to represent the relative impact of j on i, the equation is defined as follows:
r θ ( i , j ) = 2 θ ( i , j ) θ ( i , j ) + θ ( j , i )

2.2.4. Information Perception Function

Drawing on the Technology Acceptance Model and its extensions [56,57], we conceptualize consumers’ attitudes toward DI as being shaped by beliefs formed under external cues and social influence, especially when product quality and long-term performance are difficult to verify prior to adoption. Accordingly, we introduce an information perception value to capture consumers’ time-varying assessment of DI credibility/usefulness based on public signals and locally transmitted network attitudes, which modulates subsequent attitude reinforcement and updating in the diffusion process.
When consumer i is exposed to the propagation of approval attitudes towards DI products within their social network, they actively gather information to assess the developmental potential of DI. This process results in the formation of a positive information perception value. Conversely, when consumer i encounters the propagation of rejection attitudes towards DI, a similar information collection and assessment process leads to a negative information perception value. A higher information perception value enhances the consumer’s conviction in the corresponding attitudes or viewpoints, making them more responsive to encountered social signals. On the other hand, a lower information perception value hinders the spread of those attitudes or viewpoints.
Furthermore, this study also takes into account the role of consumers in state R 1 and state R 2 . These consumers are regarded as calm and rational, reassessing their attitudes based on current social network propagation and public information dissemination. This implies that a consumer in state R 1 , after careful deliberation, may transition to state R 2 , and vice versa. This dynamic process of attitude transformation reveals the consumers’ adaptation and reflection mechanisms when faced with a continuously changing information environment, reflecting the complexity and dynamism of consumer attitude formation.
Within this framework, we operationalize the information perception value using public signals (enterprises’ DI decisions and government support) and locally transmitted network attitudes. Hence, the positive and negative information perception function which are denoted as I P i 1 ( t ) and I P i 2 ( t ) at time t can be expressed by the following formulas, respectively:
I P i 1 ( t ) =   α · [ e f · Q 1 ( t ) + ( 1 e f ) · G ( t ) ] + ( 1 α ) · N i 1 ( t )
I P i 2 ( t ) = α · [ e f · Q 2 ( t ) + ( 1 e f ) · 0 ] + ( 1 α ) · N i 2 ( t )
where Q 1 ( t ) and Q 2 ( t ) , respectively, represent the proportion of companies that choose to develop DI and not choose to develop DI, G ( t ) represents the proportion of government development subsidies in the investment made by enterprises, defined as G ( t ) = S g ( t ) / T h ( t ) . Here, S g ( t ) denotes the government subsidy for DI development and T h ( t ) denotes the enterprise’s DI R&D investment at time t ; both variables are specified in the enterprise-layer payoff and parameter setting (see Section 2.3.1). In addition, N i 1 ( t ) is the proportion of consumer i’s neighbors in state E 1 , I 1 and R 1 , indicating their support for DI, and N i 2 ( t ) represents the proportion of consumer i’s neighbors in state E 2 , I 2 , and R 2 . The parameters α and e f are weight coefficients that, respectively, modulate the relative importance of public information and the influence of the social network.
Inspired by prospect theory and reference-dependent evaluation [58], we assume that consumers interpret the perceived information value relative to a neutral reference point. When I P i j ( t ) exceeds the benchmark (set to 0.5), the corresponding attitude is treated as sufficiently credible and the transition effect is reinforced; when I P i j ( t ) falls below 0.5, the effect becomes weakening. We operationalise this reference-point mechanism using a smooth logistic mapping centered at 0.5, where L is the maximum utility, m is the consumer sensitivity to the perceived information value.
τ [ I P i 1 ( t ) ] = L 1 + e m · ( I P i 1 ( t ) 0.5 )
τ [ I P i 2 ( t ) ] = L 1 + e m · ( I P i 2 ( t ) 0.5 )

2.2.5. Enterprise Consumer Influence Function

The enterprise–consumer influence function formalizes how an enterprise’s strategic posture toward DI research and development reshapes the attitude dynamics of its connected consumers through observable market actions and policy related signals. Once an enterprise commits to either continuing or discontinuing DI efforts, it affects consumers via communication, community engagement, and market facing actions such as announcements, promotional activities, and pricing policies. The influence operates through two conceptually distinct mechanisms. When a consumer’s prior attitude is aligned with the enterprise’s posture, the enterprise’s commitment reinforces confidence and increases the propensity for that consumer to endorse and disseminate the aligned stance. When a consumer’s prior attitude is misaligned with the enterprise’s posture, the enterprise’s actions discourage dissemination of the competing stance by reducing its perceived credibility or attractiveness, or by increasing the perceived costs of maintaining it. In this way, enterprise strategy shifts the distribution of consumer states over time. Following this logic and prior research [59,60], we specify the influence function conditional on the enterprise’s strategy.
We model the influence through two modifiers, g 1 and g 2 , which scale the transition from latent attitudes to active dissemination. The positive modifier g 1 applies when enterprise posture and consumer attitude are aligned. It increases the transition probability from E 1 to I 1 when the enterprise develops DI and the consumer already approves of DI. It also increases the transition probability from E 2 to I 2 when the enterprise does not develop DI and the consumer already disapproves of DI. The negative modifier g 2 applies under misalignment. It reduces the transition probability from E 2 to I 2 when the enterprise develops DI and the consumer disapproves of DI. It also reduces the transition probability from E 1 to I 1 when the enterprise does not develop DI and the consumer approves of DI. The functional forms of g 1 and g 2 are given below.
g 1 : This function is used in two scenarios. Firstly, when the enterprise decides to develop DI, it positively impacts its consumers who already approve of DI (affecting the transition from E 1 to I 1 ). Secondly, when an enterprise decides against DI development, this decision will positively influence its consumers who disapprove of DI (affecting the transition from E 2 to I 2 ). The function g 1 is formulated as follows:
g 1 = 1 + φ 1 · e ω t
where φ 1 ( 0 < φ 1 < 1 ) is the rate of positive information inflow, ω ( 0 < ω < 1 )is the enterprise influence coefficient. t represents the time elapsed since the enterprise’s strategy implementation, which ensures that the impact of corporate strategies is not static but evolves with the duration of their implementation.
g 2 : This function is applied in the opposite scenarios: In the first scenario, when an enterprise decides to develop DI, it negatively impacts its consumers who disapprove of DI products (affecting the transition from E 2 to I 2 ). However, when an enterprise decides against DI development, this negatively influences its consumers who approve of DI products (impacting the transition from E 1 to I 1 ). The function g 2 is formulated as follows:
g 2 = 1 φ 2 · e ω t
where φ 2 ( 0 < φ 2 < 1 ) is the rate of negative information inflow.

2.2.6. Comprehensive Probability Transition Function

In our model, comprehensive probability transition functions are used to capture the complex dynamics of consumer behavior in response to DI. Unlike fixed probabilities, nonlinear comprehensive probability transition functions take into account the complex interplay of factors influencing consumer attitudes. According to the previously established function settings, the comprehensive probability transition function between various states can be summarized.
1.
λ i j E 1 and λ i j E 2 are defined as follows:
λ i j E 1 = { λ E 1 · r θ ( i , j ) · τ [ I P i 1 ( t ) ] ,             λ E 1 · r θ ( i , j ) · τ [ I P i 1 ( t ) ] < 1     1 ,                                                                                         λ E 1 · r θ ( i , j ) · τ [ I P i 1 ( t ) ] 1
λ i j E 2 = { λ E 2 · r θ ( i , j ) · τ [ I P i 2 ( t ) ] ,             λ E 2 · r θ ( i , j ) · τ [ I P i 2 ( t ) ] < 1     1 ,                                                                                         λ E 2 · r θ ( i , j ) · τ [ I P i 2 ( t ) ] 1
2.
μ i I 1 and μ i I 2 are defined as follows:
When the enterprise associated with consumer i chooses to develop DI, the comprehensive transition functions of μ i I 1 and μ i I 2 are defined as follows:
μ i I 1 = { μ I 1 · g 1 ,                                     μ I 1 · g 1 < 1     1 ,                                                     μ I 1 · g 1 1
μ i I 2 = { μ I 2 · g 2 ,                                     μ I 2 · g 2 < 1     1 ,                                                     μ I 2 · g 2 1
When the enterprise associated with consumer i chooses not to develop DI, the comprehensive transition functions of μ i I 1 and μ i I 2 are defined as follows:
μ i I 1 = { μ I 1 · g 2 ,                                   μ I 1 · g 2 < 1     1 ,                                                     μ I 1 · g 2 1
μ i I 2 = { μ I 2 · g 1 ,                                   μ I 2 · g 1 < 1     1 ,                                                     μ I 2 · g 1 1
3.
ρ i R 2 and ρ i R 1 are defined as follows:
ρ i R 2 = {   ρ R 2 · τ [ I P i 2 ( t ) ] ,                 ρ R 2 · τ [ I P i 2 ( t ) ] < 1     1 ,                                                                 ρ R 2 · τ [ I P i 2 ( t ) ] 1
ρ i R 1 = {   ρ R 1 · τ [ I P i 1 ( t ) ] ,                 ρ R 1 · τ [ I P i 1 ( t ) ] < 1     1 ,                                                                 ρ R 1 · τ [ I P i 1 ( t ) ] 1
where λ E 1 , λ E 2 , μ I 1 , μ I 2 , ρ R 2 and ρ R 1 represent the basic transition probability from state S to state E 1 , from state S to state E 2 from state E 1 to state I 1 , from state E 2 to state I 2 , from state R 1 to state R 2 and from state R 2 to state R 1 , respectively.

2.3. Establishment of the Enterprise Network

2.3.1. Game Model

For enterprises, the primary objective is to maximize their own benefits. The strategic choices of other enterprises can impact an enterprise’s benefits, thus creating a clear game relationship among automotive enterprises. Suppose Enterprise A is the decision-maker, and enterprises which it has cooperative or competitive relationships are denoted as Enterprise B. Faced with DI technology, both enterprise A and B will weigh the pros and cons to choose their strategy, leading to three possible decision-making scenarios.
Scenario 1: When enterprise A chooses to develop DI and its neighboring enterprise B also opts for the development of DI, the expected profit function for enterprise A ( E P H H ) can be expressed as follows:
E P H H = c ( P h C h ) ( D h + b ) + ( 1 c ) ( P e C e ) D e 1 2 ( 1 + f h ) W h 1 ( T h S g ) 2
In Equation (19), c represents the success rate of DI products development, b stands for the sales quota granted by the government to enterprises developing DI products. Therefor, c ( P h C h ) ( D h + b ) represents the anticipated revenue for enterprise A from the sales of DI. Here, P h is the selling price per DI, C h is the manufacturing cost for producing a DI, and D h is the expected sales volume of DI for enterprise A. The enterprise adjusts its expectations continuously based on the attitudes of observed consumer nodes and the strategies of neighboring enterprise nodes, thus determining the expected sales volume of DI. The expression for D h is as follows:
D h = { d c h d c t · A c d e h d e t · A e ,             d c h d c t · A c d e h d e t · A e <   D t D t ,                                 d c h d c t · A c d e h d e t · A e   D t
In Equation (20), d c h and d c t , respectively, represent the number of consumers observed by the enterprise A and total number of consumers observable by enterprise A, respectively. Specifically, d c h includes its connected consumers in the state E 1 , I 1 , R 1 , and half of the consumers in state H, who are considered by enterprise A as the target group that may endorse or support DI technology. d e h and d e t represent the number of neighboring enterprises adopting the strategy of developing DI technology and the total number of neighboring enterprises, respectively. A c and A e represents the total number of consumers and enterprises, respectively. The product of d c h d c t × A c represents the anticipated number of consumers endorsing DI technology among all consumers, as estimated by the enterprise, while the product of d e h d e t × A e represents the anticipated number of enterprises developing DI technology among all enterprises. These ratios are then divided to determine the expected sales volume per enterprise adopting DI technology. However, constrained by the total production capacity of the enterprise, the maximum value of this expected sales volume equals the total production capacity.
When enterprise A chooses to develop DI products, it does not completely abandon the production and development of electric vehicles. If the development is successful, the enterprise can sell DI products; if not, it produces electric vehicles. Therefore, when calculating the anticipated revenue under the current situation, the revenue from producing and developing electric vehicles is also considered. ( 1 c ) ( P e C e ) D e represents the expected revenue from selling electric vehicles for company A if the development is unsuccessful, where P e is the selling price of electric vehicles, C e is the manufacturing cost of electric vehicles, and D e is the expected sales volume of electric vehicles. Here, D e is derived based on the expected sales volume of DI ( D h ) and the total vehicle production capacity of each enterprise ( D t ). The expression for D e is as follows:
D e = { d c e d c t · A c d e e d e t · A e ,               d c e d c t · A c d e e d e t · A e < D t D t ,                                     d c e d c t · A c d e e d e t · A e D t
In Equation (21), d c e represents the number of consumers observed by enterprise A, it includes consumers in the state E 2 , I 2 , R 2 , and half of the consumers in state H. d e e represents the number of neighboring enterprises not adopting the strategy of developing DI technology.
In addition, the term 1 2 ( 1 + f h ) W h 1 ( T h S g ) 2 represents the investment loss for an automotive company in developing DI. Here, f h ( 0 < f h < 1 ) is the risk coefficient for developing DI products, and W h 1 ( 0 < W h 1 < 1 ) is the development cost coefficient when both neighboring enterprises are developing DI products technology. T h and S g represent the company’s investment in DI technology development and the government subsidy for DI technology development, respectively.
Scenario 2: When enterprise A opts to develop DI while its neighboring enterprise B chooses not to develop DI, the expected profit function for enterprise A ( E P H E ) can be represented as follows:
E P H E = c ( P h C h ) ( D h + b ) + ( 1 c ) ( P e C e ) D e 1 2 ( 1 + f h ) W h 2 ( T h S g ) 2
In Equation (22), W h 2 ( 0 < W h 1 < W h 2 < 1 ) is the development cost coefficient for enterprise A when adjacent enterprise adopts different development strategy. Compared to the situation where both enterprises develop DI technology, this scenario presents greater challenges for enterprise A in terms of research and development, due to the lack of technical collaboration between the enterprises. Consequently, the development cost coefficient for enterprise A in this scenario is higher than in scenario 1.
Scenario 3: When enterprise A maintains the development and production of EV, regardless of whether its neighboring enterprise choose to maintain the incumbent strategy and development or opt for the development of DI technology, the expected profit function for enterprise A ( E P E H and E P E E ) can be describe as follows:
E P E H = E P E E = ( P e C e ) D e
In this scenario, enterprise A’s revenue is exclusively derived from the production and sale of incumbent products. This revenue is calculated based on the market price of electric vehicles minus the production costs. In this way, the payoff matrix of enterprise A can be shown in Table 1.

2.3.2. Diffusion Mechanism

During each evolutionary period, each enterprise engages in games with neighboring entities according to three scenarios mentioned above. The cumulative expected revenue is calculated as the aggregate of game revenues accrued from interactions with each neighboring supplier. The formula representing this calculation is as follows:
β i = j N i x i · M · x j
In Equation (24), β i represent the ultimate revenue of enterprise I, while x i denotes the strategy vectors, specifically (1,0) and (0,1). When x i = (1,0), it indicates enterprise i’s choose to develop DI, whereas x i = (0,1) signifies it chooses not to develop DI. M refers to the payoff matrix for the enterprises, and N i is the set of neighbors of enterprise i. In addition, enterprise j is considered as a neighbor to enterprise i, which means enterprise j is a member of the set N i .
In the context of technology diffusion for DI within an industry characterized by complex network features, strategies spread among enterprises through the edges in the network. Initially, each enterprise possesses a pure strategy. After that, enterprise i updates its strategy according to the Fermi rule by observing the strategies and cumulative expected revenue of itself and its neighbors from the previous time period:
P ( S i S j ) = 1 1 + e x p ( ( β i β j ) γ )
Here, ρ i denotes the cumulative expected revenue for enterprise i adopting strategy S i , while ρ j represents the cumulative expected revenue for neighbor j adopting strategy S j . γ signifies environmental noise. In the context of the business game between enterprise i and its neighbors, a greater difference in final revenue implies a stronger motivation for learning. However, the transmission of information is subject to risk and may be affected by noise. In this study, γ is set at 0.1. Enterprises in a competitive market environment will actively learn and adjust their strategies based on the game matrix and strategy update rules. This iterative process continues until enterprises reach a stable state of development strategies.

3. Results

3.1. Simulation Settings

To ensure the reliability and validity of the simulation results, we determine the baseline parameter values as follows: (1) Based on the study context, parameters are calibrated within the feasible ranges specified in the model assumptions. (2) We also benchmark our settings against parameter choices and calibration practices commonly adopted in related studies [46,61,62].
The consumer network is built using a Barabási–Albert scale-free network structure with an average degree k = 20. The enterprise layer is constructed as a Watts–Strogatz small-world network with an average degree of 4 and a rewiring probability of 0.2, following the baseline parameterization. The linkage mechanism between the enterprise and consumer layers is established by selecting nodes from both layers to create connections until the predetermined number of links is achieved.
The main parameters involve strategic choices in the enterprise game model, probability functions for consumer attitude transitions. Accordingly, we set P h =   300 , P e = 300 , D t = 30 , C h = 160 , C e = 150 , T h = 50 , S g = 30 , f h = 0.4 , W h 1 = 0.3 , W h 2 = 0.5 , c = 0.4 , b = 10 , α = 0.4 , e f = 0.4 , φ 1 = 0.3 , φ 2 = 0.3 , ω = 0.3 , L = 2 , m = 8 The basic transition probability λ E 1 , λ E 2 , μ I 1 , μ I 2 ,   ρ R 1 , ρ R 2   π I 1 and π I 2 are set to 0.3. In addition, during the entire simulation, the initial values for all parameters are kept constant except for the specific parameters under examination.
Considering the uncertainty and risk in corporate research and development (R&D) strategies for DI, most automakers initially adopt a conservative stance towards DI technology. Therefore, the initial probabilities for automakers to opt for R&D strategies for DI products and to not pursue DI products R&D are set at 0.3 and 0.7, respectively. Furthermore, as consumers have little knowledge about DI products in the early stages of development, most are in the S state at the outset, with an initial probability of 0.8, while the initial probabilities for states E1 and E2 are both 0.1.

3.2. Simulation Steps

During the entire simulation, the initial values for all parameters are kept constant except for the specific parameters under examination.
The simulation process for the disruptive-innovation diffusion model is as follows:
Step 1: Construct a dual-layer coupled complex network of enterprises and consumers.
Step 2: Initialize the strategies of enterprises and the attitudes of consumers with a certain probability.
Step 3: Within the consumer layer, update the states of consumers based on the attitude dissemination mechanism.
Step 4: In the enterprise layer, calculate the cumulative expected revenue for enterprises and update the strategies of all enterprises based on the Fermi rule.
Step 5: Repeat steps 3 and 4 until the preset number of game iterations is reached.
Step 6: Collect and analyze the distribution of enterprise strategies and consumer attitudes.

3.3. Baseline Simulation

Figure 3 reports the baseline co-evolution trajectories of the enterprise strategy composition and consumer states under the initial parameter setting. The left panel shows that the share of DI-adopting enterprises increases rapidly in the early stage and then converges to a stable equilibrium slightly above 0.20, while the non-adopting strategy remains dominant. The right panel displays a consistent consumer diffusion pattern: the uninformed population declines sharply at the beginning, hesitation rises to a transient peak and then decays, and the disseminating and silent states gradually accumulate and stabilize. Taken together, the baseline simulation indicates that, given the initial incentives and network configuration, the coupled system converges to a low-adoption equilibrium for DI rather than a full-diffusion outcome.
The baseline dynamics highlight the core feedback loop in the proposed model. Early consumer exposure generates a temporary surge in belief updating and dissemination, which initially enlarges perceived market potential and supports some enterprise switching toward DI. However, as consumer state proportions stabilize and the incremental demand signal weakens, the payoff advantage of DI is insufficient to overturn the incumbent strategy at the population level, and the enterprise layer settles into a persistent mixed equilibrium with a relatively low DI adoption share. This baseline serves as the reference scenario for the subsequent structural experiments that modify the topology and connectivity of the enterprise and consumer networks.

3.4. Influence of Enterprise Modulation of Consumer Dissemination

Figure 4 presents how the steady state diffusion outcome of DI in the enterprise layer, quantified by the converged proportion of enterprises adopting DI, varies with enterprises’ modulation of consumer dissemination dynamics. In this study, enterprise modulation is operationalized by φ 1 and φ 2 , which govern the extent to which enterprise posture and market facing actions amplify aligned dissemination and discourage counter attitudinal dissemination among connected consumers. Two regularities are observed. First, the equilibrium adoption level varies strongly with φ 2 . For almost any given φ 1 , increasing φ 2 is associated with a systematic reduction in the equilibrium adoption share, indicating high sensitivity to counter attitudinal discouragement intensity. Second, the equilibrium outcome is less responsive to φ 1 . Changes in aligned mobilization intensity produce comparatively modest variation and do not generate a trend comparable in magnitude to that associated with φ 2 . Taken together, the heatmap indicates that discouragement of counter attitudinal dissemination is the primary determinant of the system level diffusion outcome under the baseline setting.
The mechanism is rooted in how enterprise modulation reshapes the formation of active dissemination in the consumer network and thereby affects perceived market potential. Consumers with latent attitudes can become active disseminators, and dissemination states constitute the principal channel through which initially uninformed consumers become engaged in the diffusion process. Since uninformed consumers can update their state only after exposure to active disseminators, the size and persistence of dissemination states determine whether favorable narratives can propagate widely enough to influence enterprise expectations. Parameter φ 1 captures the extent to which enterprises mobilize attitude aligned consumers into active dissemination through identity-based alignment, community engagement, and incentive compatible advocacy. Parameter φ 2 captures the strength with which dissemination from counter attitudinal consumers is discouraged when enterprise strategy and consumer stance are misaligned. In the early stage, DI is typically not yet dominant among enterprises, and many latent supporters remain connected to enterprises that continue to follow the incumbent strategy. Under this configuration, a higher φ 2 reduces the likelihood that latent supporters become active disseminators, limiting the probability that favorable dissemination reaches the scale required to shift perceived demand. This effect reinforces path dependence and increases the likelihood that the system converges to a low adoption equilibrium.
The dominance of φ 2 has implications for key stakeholders. For enterprises, the results indicate that diffusion is constrained less by marginal improvements in activating supportive dissemination and more by whether countervailing dissemination can circulate sufficiently to reduce uncertainty and support belief revision. For consumers, higher φ 2 corresponds to a more selective communication environment in which cross attitude exchange is attenuated, slowing the formation of shared expectations about DI.

3.5. Influence of the Consumer Information Environment on DI Diffusion Under Different Policy Support Regimes

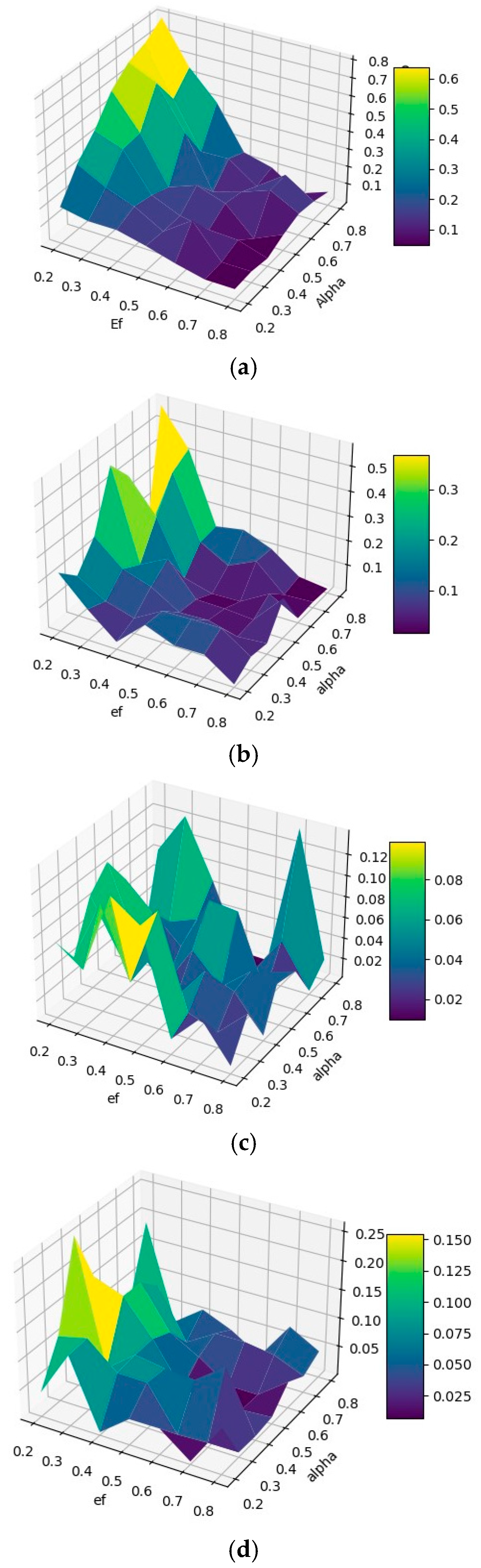
Figure 5a–c report the equilibrium share of enterprises adopting DI as a function of the consumer information parameters, the weight on public information α and the reliance on enterprise information e f , under different subsidy levels. A clear regime pattern emerges. In Figure 5a, a high adoption region concentrates in the area with high α and low e f . The equilibrium adoption reaches its maximum around α = 0.8 and e f = 0.2 , where the share of DI adopters approaches 0.75. Moving away from this area, either by decreasing α or by increasing e f , shifts the system toward a lower adoption outcome. This indicates that DI diffusion is most likely when consumers anchor their judgements primarily on public policy signals and rely less on enterprise released information. When the subsidy level decreases to S g = 20 in Figure 5b, the location of the high adoption area remains broadly consistent, but the attainable adoption level declines. Even at α = 0.8 and e f = 0.2 , the equilibrium adoption falls to slightly above 0.5. Under the low subsidy setting S g = 10 in Figure 5c, the system converges to a predominantly low adoption outcome across the α and e f domain, with limited responsiveness to further changes in information weights. This suggests that once financial support is sufficiently weak, changing the composition of information reliance alone is not sufficient to lift the system out of a low adoption equilibrium.
These patterns arise from the coupled feedback between consumer belief formation and enterprise strategy updating. A larger α increases the salience of public signals and improves their credibility in consumer judgment, which reduces uncertainty and facilitates the spread of favorable beliefs through social interaction. A smaller e f weakens the role of enterprise released information in shaping expectations, allowing public signals and peer influence to play a greater role in attitude formation. When subsidies are sufficiently strong, these information conditions translate into higher perceived market potential, increase the relative payoff of adopting DI, and support a self reinforcing diffusion process through evolutionary updating. As subsidies decline, the payoff advantage shrinks and path dependence strengthens. Under that condition, even sizeable adjustments in α and e f do not generate sufficient favorable dissemination to raise perceived demand and overturn the incumbent strategy. The results indicate that policy effectiveness depends on the joint operation of material incentives and credible public information, rather than on either component in isolation.
Figure 5d shows that the low subsidy outcome is not fully irreversible when discouragement of counter attitudinal dissemination is reduced. Under S g = 10 , lowering φ 2 to 0.2 reintroduces a discernible area of higher adoption. The equilibrium adoption reaches its local maximum when α is around 0.5 and e f remains low, where the adoption share rises to roughly 0.25. Relative to Figure 5c, the diffusion outcome becomes more responsive to information composition when φ 2 is lower, and the area supporting diffusion shifts from requiring very high α toward a more balanced role of public information and social learning, together with limited reliance on enterprise released information.
Mechanistically, a lower φ 2 weakens the extent to which enterprise consumer links discourage the activation of disseminators whose stance is misaligned with the connected enterprise strategy. This increases the likelihood that cross attitude information exchange persists in the consumer network, enabling favorable dissemination to reach a scale that can modify perceived market potential even when subsidies are low. These results highlight, within the simulation setting, that information conditions can complement material incentives in shaping diffusion outcomes, especially under low-subsidy regimes.
For readability, Table 2 summarizes the key cross-panel contrasts in Figure 5, including the approximate peak adoption levels and their locations under each policy regime and modulation setting. This compact comparison complements the 3D surfaces and facilitates direct interpretation across panels.

3.6. Influence of Network Connectivity and Topology on DI Diffusion

3.6.1. Influence of Inter-Enterprise Connectivity on DI Diffusion

Figure 6a examines the effect of stronger inter-enterprise connectivity by increasing the average degree of the enterprise small world network from 4 to 8 while holding all other parameters fixed. The enterprise trajectory converges to a substantially higher equilibrium DI adoption level, approaching 0.40. This indicates that denser inter-enterprise connections facilitate the propagation of the DI strategy across the enterprise layer and lead to a higher steady state diffusion level.
Mechanistically, increasing enterprise connectivity enlarges the effective neighborhood through which enterprises observe payoffs and update strategies under the Fermi rule. This accelerates the spread of comparatively advantageous strategies and reduces the persistence of locally trapped configurations. In system terms, higher enterprise connectivity strengthens the link between payoff heterogeneity and evolutionary updating, enabling DI to diffuse more effectively once favorable signals emerge.

3.6.2. Influence of the Consumer Interaction Environment on DI Diffusion

Figure 6b isolates the role of the consumer interaction environment by replacing the consumer layer topology from a scale free network to a small world network while keeping the rest of the model unchanged. The scale free topology reflects a hub dominated online interaction structure, whereas the small world topology approximates locally clustered offline social relationships [46,63]. The equilibrium DI adoption share increases to roughly 0.35 to 0.40, indicating that an offline-like consumer environment can support stronger diffusion of DI at the enterprise level.
This effect is consistent with the structural properties of small world networks. High clustering supports repeated local reinforcement and the formation of coherent attitude clusters. Short path lengths allow information to reach distant parts of the network efficiently through a limited number of bridging links. In the coupled system, these properties increase the likelihood that favorable dissemination reaches a critical scale, improves perceived demand, and feeds back to enterprise payoffs, thereby facilitating DI diffusion.

3.6.3. Influence of the Breadth of Consumer Interaction on DI Diffusion

In this study, we further examine how changes in the average degree of the consumer network, which proxy the breadth of consumer interaction, influence the diffusion of DI. Varying the average degree in an online social environment represented by a scale free network and in an offline social environment represented by a small world network provides a distinct lens for understanding how social network structure conditions technology diffusion.
Comparing Figure 3 and Figure 6c, we observe that diffusion is strengthened when the average degree of the online consumer network decreases. Specifically, when the average degree is reduced from 20 to 10, the equilibrium share of enterprises adopting DI rises from below 0.30 to approximately 0.40. This pattern suggests that, in heterogeneous online environments, reducing the number of information sources can increase the salience of dominant signals and facilitate their propagation, particularly under information overload. The result implies that, to enhance market acceptance of new technologies, enterprises and policymakers may prioritize strategies that leverage influential nodes and credible intermediaries rather than relying on undifferentiated mass broadcasting.
In contrast, comparing Figure 6b,d shows that diffusion weakens when the average degree of the offline consumer network decreases. When the average degree is reduced from 20 to 10 in the small world consumer network, the equilibrium adoption share declines from around 0.40 to roughly 0.30. This finding highlights the diffusion potential of offline social interaction, especially when networks exhibit strong local cohesion and bridging ties across communities. It also underscores the importance of face-to-face engagement in accelerating diffusion and suggests that enterprises may benefit from investing more in experiential and community-based interactions to reinforce beliefs and support adoption. To facilitate comparison of experimental results, we compared the baseline simulation with the four sets of simulations in this section, as shown in Table 3.

4. Research Conclusions and Implications

4.1. Research Conclusions

This study uses a dual-layer coupled enterprise–consumer network model to explain how DI diffusion unfolds in the NEV sector under policy-driven incentives and heterogeneous information transmission. Three conclusions emerge.
First, enterprise adoption is governed by a co-evolutionary feedback between consumer belief diffusion and enterprise strategy updating. When favorable consumer dissemination expands, enterprises infer stronger market potential, which raises the relative payoff of adopting DI under the evolutionary updating rule. As more enterprises adopt, enterprise-side signals further reshape consumer attitudes, forming a self-reinforcing loop. When this loop is weak, the system remains in a low-adoption equilibrium.
Second, discouragement of counter-attitudinal dissemination is the dominant cross-layer lever shaping the diffusion equilibrium. Variation in the discouragement intensity parameter has a strong and systematic effect on the equilibrium adoption share, whereas aligned mobilization intensity generates comparatively smaller changes. This implies that diffusion barriers arise less from insufficient activation of supportive dissemination at the margin, and more from the suppression of cross-attitude information exchange that would otherwise enable belief updating and uncertainty reduction.
Third, policy support and the consumer information environment jointly determine whether the system can escape low-adoption lock-in. Under higher subsidies, diffusion improves most when consumers place greater weight on public information and rely less on enterprise-released information. As subsidies decline, the system becomes less responsive to information reweighting and converges to low adoption. However, the low-subsidy regime is not fully irreversible. When discouragement of counter-attitudinal dissemination is reduced, diffusion pockets re-emerge even under weak financial support, indicating that information governance conditions can partially compensate for constrained incentives.
Finally, network structure conditions the strength and direction of these mechanisms. Denser inter-enterprise connectivity increases equilibrium adoption by accelerating imitation and reducing local trapping. On the consumer side, topology matters: a small-world offline-like interaction environment supports stronger diffusion than a scale-free online-like environment under the same parameters, and the effect of reducing interaction breadth is topology dependent, strengthening diffusion in the scale-free case but weakening diffusion in the small-world case. These results highlight that diffusion is shaped not only by incentives and signals, but also by structural constraints on exposure and reinforcement.

4.2. Policy and Managerial Implications

Taken together, these findings yield several important implications for policy design and strategic management.
For government, the results imply that effective NEV transition may benefit from coordinated interventions on incentives and information governance. Subsidies remain important for shifting the payoff landscape, especially in early diffusion stages. Under limited fiscal space, regulators can target the information side by strengthening transparency and independent evaluation and by protecting fair access to technology-related information, so that cross-attitude exchange is not systematically discouraged. Such measures reduce uncertainty and improve the chances that favorable beliefs reach the scale needed to alter market expectations.
For enterprises, the findings suggest that strategy should combine capability building for aligned mobilization with restraint in discouraging countervailing dissemination. Credible engagement and incentive-compatible advocacy can support diffusion, but the simulations also highlight that diffusion can be constrained in environments where opposing views are suppressed and belief revision slows. Enterprises therefore benefit from communication strategies that emphasize verifiable information, third-party validation, and open comparison, which can broaden trust and accelerate convergence toward shared expectations. In addition, managers should leverage inter-enterprise connectivity through alliances, standard-setting, and knowledge exchange to reduce uncertainty and speed up best-practice diffusion.
For consumers and platforms, the model indicates that the diversity and openness of information exposure affect system-level transition. When cross-attitude exchange persists, consumers can update beliefs more effectively, which improves market coordination and reduces the likelihood of being trapped in low-adoption equilibria. Platform governance that curbs manipulation and improves information quality can therefore play a supportive role in NEV diffusion.

4.3. Limitations

Finally, this study has several limitations. First, the framework is mechanism oriented. It is intended to identify conditional diffusion regimes under explicit assumptions rather than to deliver point prediction for the full Chinese NEV market. Relatedly, key behavioral and network parameters are specified as exogenous baseline settings; while the sensitivity and structural experiments support robustness at the mechanism level, empirical calibration with enterprise and consumer data would strengthen external validity and support stronger quantitative inference. Second, the enterprise layer abstracts from additional market mechanisms, including firm heterogeneity, endogenous pricing, sustained price competition, and supply-side constraints. These factors may affect diffusion speed and shift steady-state adoption levels. Third, the consumer layer represents attitude formation and dissemination through stylized state transitions. It does not explicitly incorporate cognitive biases, platform-specific curation, or more granular psychological processes. These features may affect exposure, belief revision, and the persistence of attitudes. Fourth, network structure and inter-layer linkage are modeled using stylized topologies and simplified coupling rules. Empirically reconstructed networks or alternative coupling logics may lead to different quantitative thresholds. Therefore, the policy and managerial implications should be interpreted as mechanism informed and conditional. Future work may integrate empirical estimation, richer competition mechanisms, and more realistic information environments while preserving the coupled co-evolutionary structure developed here.

Author Contributions

Conceptualization, D.L.; methodology, D.L.; software, D.L.; validation, D.L., K.D. and L.Y.; formal analysis, D.L.; investigation, D.L. and L.Y.; resources, D.L.; data curation, K.D.; writing—original draft preparation, D.L.; writing—review and editing, D.L.; visualization, D.L.; supervision, R.F.; project administration, R.F.; funding acquisition, R.F. All authors have read and agreed to the published version of the manuscript.

Funding

This research was partially supported by the Major Program of the National Social Science Fund of China (Grant No. 20&ZD155), and the General Project of the National Social Science Fund of China (Grant No. 24VRC085).

Institutional Review Board Statement

Not applicable.

Informed Consent Statement

Not applicable.

Data Availability Statement

The original contributions presented in this study are included in the article. Further inquiries can be directed to the corresponding author.

Conflicts of Interest

The authors declare no conflicts of interest.

References

  1. Fu, S.; Liu, D.; Huang, F. Synergistic effect of government policy and market mechanism on the innovation of new energy vehicle enterprises. Energy 2024, 295, 130998. [Google Scholar] [CrossRef]
  2. Reuters. China Vows to Regulate ‘Irrational’ Competition in EV Industry. 2025. Available online: https://www.reuters.com/business/autos-transportation/china-vows-regulate-irrational-competition-ev-industry-2025-07-16/ (accessed on 25 December 2025).
  3. Liu, Q.; Wen, X.; Peng, H.; Cao, Q. Key technology breakthrough in new energy vehicles: Configuration path evolution from innovative ecosystem perspective. J. Clean. Prod. 2023, 423, 138635. [Google Scholar] [CrossRef]
  4. IEA. Global EV Outlook 2025; IEA: Paris, France, 2025; Available online: https://www.iea.org/reports/global-ev-outlook-2025 (accessed on 19 December 2025).
  5. Ye, R.-K.; Gao, Z.-F.; Fang, K.; Liu, K.-L.; Chen, J.-W. Moving from subsidy stimulation to endogenous development: A system dynamics analysis of China’s NEVs in the post-subsidy era. Technol. Forecast. Soc. Change 2021, 168, 120757. [Google Scholar] [CrossRef]
  6. Xinhua. China Extends Preferential Purchase Tax Policy for NEVs. 2023. Available online: https://english.www.gov.cn/news/202306/21/content_WS64929394c6d0868f4e8dd11c.html (accessed on 11 December 2025).
  7. Jacobides, M.G.; Cennamo, C.; Gawer, A. Towards a theory of ecosystems. Strateg. Manag. J. 2018, 39, 2255–2276. [Google Scholar] [CrossRef]
  8. Ben-Slimane, K.; Diridollou, C.; Hamadache, K. The legitimation strategies of early stage disruptive innovation. Technol. Forecast. Soc. Change 2020, 158, 120161. [Google Scholar] [CrossRef]
  9. Christensen, C.M. The Innovator’s Dilemma: When New Technologies Cause Great Firms to Fail; Harvard Business Review Press: Boston, MA, USA, 2015. [Google Scholar]
  10. Christensen, C.M.; Raynor, M.E.; McDonald, R. What is disruptive innovation? Harv. Bus. Rev. 2015, 5, 2017. [Google Scholar]
  11. Danneels, E. Disruptive technology reconsidered: A critique and research agenda. J. Prod. Innov. Manag. 2004, 21, 246–258. [Google Scholar] [CrossRef]
  12. Markides, C. Disruptive innovation: In need of better theory. J. Prod. Innov. Manag. 2006, 23, 19–25. [Google Scholar] [CrossRef]
  13. Martínez-Vergara, S.J.; Valls-Pasola, J. Clarifying the disruptive innovation puzzle: A critical review. Eur. J. Innov. Manag. 2020, 24, 893–918. [Google Scholar] [CrossRef]
  14. Ziegler, D.; Abdelkafi, N. Exploring the automotive transition: A technological and business model perspective. J. Clean. Prod. 2023, 421, 138562. [Google Scholar] [CrossRef]
  15. Yang, Z.; Li, Q.; Charles, V.; Xu, B.; Gupta, S. Supporting personalized new energy vehicle purchase decision-making: Customer reviews and product recommendation platform. Int. J. Prod. Econ. 2023, 265, 109003. [Google Scholar] [CrossRef]
  16. Jacobides, M.G.; Cennamo, C.; Gawer, A. Externalities and complementarities in platforms and ecosystems: From structural solutions to endogenous failures. Res. Policy 2024, 53, 104906. [Google Scholar] [CrossRef]
  17. Adner, R. Ecosystem as Structure:An Actionable Construct for Strategy. J. Manag. 2017, 43, 39–58. [Google Scholar] [CrossRef]
  18. He, Y.; Lin, T.; Zhang, S. Does complementary technology within an ecosystem affect disruptive innovation? Evidence from Chinese electric vehicle listed firms. Technol. Soc. 2023, 74, 102330. [Google Scholar] [CrossRef]
  19. Lyu, R.; Zhang, C.; Li, Z.; Zou, X. Impact of regulatory intervention on green technology and innovation investment of the NEV automaker. Comput. Ind. Eng. 2023, 184, 109439. [Google Scholar] [CrossRef]
  20. Dehkordi, R.; Ahokangas, P.; Evers, N.; Sorvisto, M. Business model design for Electric Commercial Vehicles (ECVs): An ecosystemic perspective. Energy Policy 2024, 186, 113971. [Google Scholar] [CrossRef]
  21. Wang, Z.-X.; Chee, W.M.; Jantan, A.H.B.; Xia, Y.-H.; Xue, H.; Ye, M.-J.; Zhang, Q.; Wong, P.P.W.; Gong, Y.; Wang, L. Impact of perceived value in virtual brand communities on purchase intention of domestic electric vehicles. Acta Psychol. 2024, 248, 104371. [Google Scholar] [CrossRef]
  22. Rogers, E.M.; Singhal, A.; Quinlan, M.M. Diffusion of innovations. In An Integrated Approach to Communication Theory and Research; Routledge: London, UK, 2014; pp. 432–448. [Google Scholar]
  23. Venkatesh, V.; Morris, M.G.; Davis, G.B.; Davis, F.D. User acceptance of information technology: Toward a unified view. MIS Q. 2003, 27, 425–478. [Google Scholar] [CrossRef]
  24. Manca, F.; Sivakumar, A.; Daina, N.; Axsen, J.; Polak, J.W. Modelling the influence of peers’ attitudes on choice behaviour: Theory and empirical application on electric vehicle preferences. Transp. Res. Part A Policy Pract. 2020, 140, 278–298. [Google Scholar] [CrossRef]
  25. Peng, Y.; Bai, X. Identifying social tipping point through perceived peer effect. Environ. Innov. Soc. Transit. 2024, 51, 100847. [Google Scholar] [CrossRef]
  26. Zhao, X.; Li, X.; Jiao, D.; Mao, Y.; Sun, J.; Liu, G. Policy incentives and electric vehicle adoption in China: From a perspective of policy mixes. Transp. Res. Part A Policy Pract. 2024, 190, 104235. [Google Scholar]
  27. Kong, D.; Xia, Q.; Xue, Y.; Zhao, X. Effects of multi policies on electric vehicle diffusion under subsidy policy abolishment in China: A multi-actor perspective. Appl. Energy 2020, 266, 114887. [Google Scholar] [CrossRef]
  28. Kirmani, A.; Rao, A.R. No pain, no gain: A critical review of the literature on signaling unobservable product quality. J. Mark. 2000, 64, 66–79. [Google Scholar] [CrossRef]
  29. Borup, M.; Brown, N.; Konrad, K.; Van Lente, H. The sociology of expectations in science and technology. Technol. Anal. Strateg. Manag. 2006, 18, 285–298. [Google Scholar] [CrossRef]
  30. Zhu, L.; Liu, W.; Zhang, Z. Interplay between epidemic and information spreading on multiplex networks. Math. Comput. Simul. 2021, 188, 268–279. [Google Scholar] [CrossRef]
  31. Zhao, X.; Ma, Y.; Shao, S.; Ma, T. What determines consumers’ acceptance of electric vehicles: A survey in Shanghai, China. Energy Econ. 2022, 108, 105805. [Google Scholar] [CrossRef]
  32. Prakhar, P.; Jaiswal, R.; Gupta, S.; Tiwari, A.K. Electric vehicles in transition: Opportunities, challenges, and research agenda—A systematic literature review. J. Environ. Manag. 2024, 372, 123415. [Google Scholar]
  33. Anilan, V.; Vij, A. Taking the wheel: Systematic review of reviews of policies driving BEV adoption. Transp. Res. Part D Transp. Environ. 2024, 136, 104424. [Google Scholar] [CrossRef]
  34. Connelly, B.L.; Certo, S.T.; Ireland, R.D.; Reutzel, C.R. Signaling theory: A review and assessment. J. Manag. 2011, 37, 39–67. [Google Scholar]
  35. Trubnikov, D. Analysing the Impact of Regulation on Disruptive Innovations: The Case of Wireless Technology. J. Ind. Compet. Trade 2017, 17, 399–420. [Google Scholar] [CrossRef]
  36. Kim, S.; Parboteeah, K.P.; Cullen, J.B.; Liu, W. Disruptive innovation and national cultures: Enhancing effects of regulations in emerging markets. J. Eng. Technol. Manag. 2020, 57, 101586. [Google Scholar] [CrossRef]
  37. Antonio, J.L.; Kanbach, D.K. Contextual factors of disruptive innovation: A systematic review and framework. Technol. Forecast. Soc. Change 2023, 188, 122274. [Google Scholar]
  38. Liu, J.; Chen, T.; Hu, B. Consumer acceptance under hydrogen energy promotion policy: Evidence from Yangtze River Delta. Int. J. Hydrogen Energy 2023, 48, 11104–11112. [Google Scholar] [CrossRef]
  39. Vafaei-Zadeh, A.; Wong, T.-K.; Hanifah, H.; Teoh, A.P.; Nawaser, K. Modelling electric vehicle purchase intention among generation Y consumers in Malaysia. Res. Transp. Bus. Manag. 2022, 43, 100784. [Google Scholar] [CrossRef]
  40. Wang, Y.; Fan, R.; Wang, D.; Qian, R. Impact of the dual-credit policy on electric vehicle diffusion considering information transmission. Transp. Res. Part D Transp. Environ. 2023, 121, 103852. [Google Scholar] [CrossRef]
  41. Hu, X.; Zhang, X.; Jiang, M. Subsidy implementation patterns and electric vehicle adoption. J. Environ. Manag. 2025, 373, 123885. [Google Scholar] [CrossRef]
  42. Zheng, X.; Menezes, F.; Zheng, X.; Wu, C. An empirical assessment of the impact of subsidies on EV adoption in China: A difference-in-differences approach. Transp. Res. Part A Policy Pract. 2022, 162, 121–136. [Google Scholar] [CrossRef]
  43. Li, J.; Nian, V.; Jiao, J. Diffusion and benefits evaluation of electric vehicles under policy interventions based on a multiagent system dynamics model. Appl. Energy 2022, 309, 118430. [Google Scholar] [CrossRef]
  44. Liu, J.; Zhuge, C.; Tang, J.H.C.G.; Meng, M.; Zhang, J. A spatial agent-based joint model of electric vehicle and vehicle-to-grid adoption: A case of Beijing. Appl. Energy 2022, 310, 118581. [Google Scholar]
  45. Xu, W.; Harris, I.; Li, J.; Wells, P.; Foxall, G. Influence of consumer attitudes and social interactions in electric vehicle purchasing: Integrating agent-based modelling and machine learning. IMA J. Manag. Math. 2025, dpaf019. [Google Scholar] [CrossRef]
  46. Du, K.; Fan, R. SHI1I2R competitive information spreading model in online and offline two-layer networks in emergencies. Expert Syst. Appl. 2024, 235, 121225. [Google Scholar] [CrossRef]
  47. Fan, R.; Yao, Q.; Chen, R.; Qian, R. Agent-based simulation model of panic buying behavior in urban public crisis events: A social network perspective. Sustain. Cities Soc. 2024, 100, 105002. [Google Scholar] [CrossRef]
  48. Zhao, D.; Ji, S.-f.; Wang, H.-p.; Jiang, L.-w. How do government subsidies promote new energy vehicle diffusion in the complex network context? A three-stage evolutionary game model. Energy 2021, 230, 120899. [Google Scholar] [CrossRef] [PubMed]
  49. Wang, W.; Liu, Q.-H.; Liang, J.; Hu, Y.; Zhou, T. Coevolution spreading in complex networks. Phys. Rep. 2019, 820, 1–51. [Google Scholar] [CrossRef]
  50. Fan, R.; Qi, Y.; Wang, Y.; Chen, R. Identifying Critical Risks in Low-Carbon Innovation Network Ecosystem: Interdependent Structure and Propagation Dynamics. Systems 2025, 13, 599. [Google Scholar] [CrossRef]
  51. Fan, R.; Bao, X.; Du, K.; Wang, Y.; Wang, Y. The effect of government policies and consumer green preferences on the R&D diffusion of new energy vehicles: A perspective of complex network games. Energy 2022, 254, 124316. [Google Scholar] [CrossRef]
  52. Li, J.; Jiao, J.; Tang, Y. An evolutionary analysis on the effect of government policies on electric vehicle diffusion in complex network. Energy Policy 2019, 129, 1–12. [Google Scholar] [CrossRef]
  53. Watts, D.J.; Strogatz, S.H. Collective dynamics of ‘small-world’ networks. Nature 1998, 393, 440–442. [Google Scholar] [CrossRef]
  54. Wu, Z.; He, Q.; Li, J.; Bi, G.; Antwi-Afari, M.F. Public attitudes and sentiments towards new energy vehicles in China: A text mining approach. Renew. Sustain. Energy Rev. 2023, 178, 113242. [Google Scholar] [CrossRef]
  55. Barabási, A.-L.; Albert, R. Emergence of scaling in random networks. Science 1999, 286, 509–512. [Google Scholar] [CrossRef]
  56. Davis, F.D. Perceived usefulness, perceived ease of use, and user acceptance of information technology. MIS Q. 1989, 13, 319–340. [Google Scholar] [CrossRef]
  57. Shanmugavel, N.; Alagappan, C.; Balakrishnan, J. Acceptance of electric vehicles: A dual-factor approach using social comparison theory and technology acceptance model. Res. Transp. Bus. Manag. 2022, 45, 100842. [Google Scholar] [CrossRef]
  58. Tversky, A.; Kahneman, D. Advances in prospect theory: Cumulative representation of uncertainty. J. Risk Uncertain. 1992, 5, 297–323. [Google Scholar] [CrossRef]
  59. Ran, M.; Chen, J. An information dissemination model based on positive and negative interference in social networks. Phys. A Stat. Mech. Its Appl. 2021, 572, 125915. [Google Scholar] [CrossRef]
  60. Geng, L.; Yang, S.; Wang, K.; Zhou, Q.; Geng, L. Modeling public opinion dissemination in a multilayer network with SEIR model based on real social networks. Eng. Appl. Artif. Intell. 2023, 125, 106719. [Google Scholar] [CrossRef]
  61. Han, J.; Guo, J.-E.; Cai, X.; Lv, C.; Lev, B. An analysis on strategy evolution of research & development in cooperative innovation network of new energy vehicle within policy transition period. Omega 2022, 112, 102686. [Google Scholar] [CrossRef]
  62. Wang, Y.; Fan, R.; Du, K.; Bao, X. Exploring incentives to promote electric vehicles diffusion under subsidy abolition: An evolutionary analysis on multiplex consumer social networks. Energy 2023, 276, 127587. [Google Scholar] [CrossRef]
  63. Li, F.; Du, T.C. The effectiveness of word of mouth in offline and online social networks. Expert Syst. Appl. 2017, 88, 338–351. [Google Scholar] [CrossRef]
Figure 1. Two-layer enterprise–consumer network with interlayer links. The black solid lines denote intra-layer links between nodes within the same network, and the black dashed lines denote inter-layer links connecting enterprises and consumers across layers.
Figure 1. Two-layer enterprise–consumer network with interlayer links. The black solid lines denote intra-layer links between nodes within the same network, and the black dashed lines denote inter-layer links connecting enterprises and consumers across layers.
Systems 14 00172 g001
Figure 2. Consumer state-transition diagram in the diffusion process.
Figure 2. Consumer state-transition diagram in the diffusion process.
Systems 14 00172 g002
Figure 3. Baseline diffusion dynamics of DI in the coupled enterprise–consumer system. The left panel reports the time evolution of the share of DI-adopting enterprises and non-DI enterprises in the enterprise layer. The right panel reports the time evolution of consumer state proportions in the consumer layer, including 8 states.
Figure 3. Baseline diffusion dynamics of DI in the coupled enterprise–consumer system. The left panel reports the time evolution of the share of DI-adopting enterprises and non-DI enterprises in the enterprise layer. The right panel reports the time evolution of consumer state proportions in the consumer layer, including 8 states.
Systems 14 00172 g003
Figure 4. Influence of enterprise modulation of consumer dissemination dynamics on DI diffusion.
Figure 4. Influence of enterprise modulation of consumer dissemination dynamics on DI diffusion.
Systems 14 00172 g004
Figure 5. Equilibrium adoption share of DI under policy support and consumer information conditions. The horizontal axis denotes reliance on enterprise information e f , and the vertical axis denotes the weight on public information α . The color indicates the equilibrium share of DI-adopting enterprises. (ac) vary the subsidy level s g under baseline enterprise–consumer modulation parameters. (d) reports the low-subsidy case with reduced discouragement intensity φ 2 = 0.2 . Other parameters follow the baseline setting.
Figure 5. Equilibrium adoption share of DI under policy support and consumer information conditions. The horizontal axis denotes reliance on enterprise information e f , and the vertical axis denotes the weight on public information α . The color indicates the equilibrium share of DI-adopting enterprises. (ac) vary the subsidy level s g under baseline enterprise–consumer modulation parameters. (d) reports the low-subsidy case with reduced discouragement intensity φ 2 = 0.2 . Other parameters follow the baseline setting.
Systems 14 00172 g005
Figure 6. Influence of network connectivity and topology on DI diffusion. (a) Baseline setting: enterprise DI adoption trajectory and consumer state proportions over time. (b) Increased inter-enterprise connectivity, with the average degree of the enterprise small-world network increased from 4 to 8: enterprise DI adoption trajectory and consumer state proportions. (c) Alternative consumer topology, with the consumer layer changed from a scale-free network to a small-world network: enterprise DI adoption trajectory and consumer state proportions. (d) Consumer interaction breadth, with the average degree of the consumer network decreased from 20 to 10: enterprise DI adoption trajectory and consumer state proportions.
Figure 6. Influence of network connectivity and topology on DI diffusion. (a) Baseline setting: enterprise DI adoption trajectory and consumer state proportions over time. (b) Increased inter-enterprise connectivity, with the average degree of the enterprise small-world network increased from 4 to 8: enterprise DI adoption trajectory and consumer state proportions. (c) Alternative consumer topology, with the consumer layer changed from a scale-free network to a small-world network: enterprise DI adoption trajectory and consumer state proportions. (d) Consumer interaction breadth, with the average degree of the consumer network decreased from 20 to 10: enterprise DI adoption trajectory and consumer state proportions.
Systems 14 00172 g006aSystems 14 00172 g006b
Table 1. Game payoff matrix of enterprise A.
Table 1. Game payoff matrix of enterprise A.
Enterprise B
DINon-DI
Enterprise ADI E P H H E P H E
Non-DI E P E H E P E E
Table 2. Cross-panel comparison for Figure 5.
Table 2. Cross-panel comparison for Figure 5.
Panel S g φ 2 High-Adoption RegionPeak Adoption ShareCross-Panel Contrast
Figure 5a300.3 α high,
e f low
about 0.75Strong diffusion when public signals dominate
Figure 5b200.3 α high,
e f low
about 0.50Same regime shape, lower attainable peak
Figure 5c100.3no clear peakabout 0.12 Weak   sensitivity   to   α   and   e f
Figure 5d100.2 α around 0.5,
e f low
about 0.25 Diffusion   pocket   reappears   when   φ 2 decrease
Table 3. Comparison of baseline diffusion and structural experiments.
Table 3. Comparison of baseline diffusion and structural experiments.
PanelEnterprise LayerConsumer LayerSteady-State DI Share
Figure 3SW, k = 4BA, k = 20slightly above 0.20
Figure 6aSW, k = 8BA, k = 20about 0.40
Figure 6bSW, k = 4SW, k = 20about 0.38
Figure 6cSW, k = 4BA, k = 10about 0.40
Figure 6dSW, k = 4SW, k = 10About 0.30
Disclaimer/Publisher’s Note: The statements, opinions and data contained in all publications are solely those of the individual author(s) and contributor(s) and not of MDPI and/or the editor(s). MDPI and/or the editor(s) disclaim responsibility for any injury to people or property resulting from any ideas, methods, instructions or products referred to in the content.

Share and Cite

MDPI and ACS Style

Fan, R.; Liu, D.; Yang, L.; Du, K. A Complex Systems Approach to NEV Disruptive Innovation Diffusion: Co-Evolution Across Enterprise and Consumer Networks. Systems 2026, 14, 172. https://doi.org/10.3390/systems14020172

AMA Style

Fan R, Liu D, Yang L, Du K. A Complex Systems Approach to NEV Disruptive Innovation Diffusion: Co-Evolution Across Enterprise and Consumer Networks. Systems. 2026; 14(2):172. https://doi.org/10.3390/systems14020172

Chicago/Turabian Style

Fan, Ruguo, Dingyi Liu, Liu Yang, and Kang Du. 2026. "A Complex Systems Approach to NEV Disruptive Innovation Diffusion: Co-Evolution Across Enterprise and Consumer Networks" Systems 14, no. 2: 172. https://doi.org/10.3390/systems14020172

APA Style

Fan, R., Liu, D., Yang, L., & Du, K. (2026). A Complex Systems Approach to NEV Disruptive Innovation Diffusion: Co-Evolution Across Enterprise and Consumer Networks. Systems, 14(2), 172. https://doi.org/10.3390/systems14020172

Note that from the first issue of 2016, this journal uses article numbers instead of page numbers. See further details here.

Article Metrics

Back to TopTop