Abstract
Addressing the challenges of insufficient incentives, weak constraints, and superficial adoption in promoting human–robot collaboration (HRC) in the construction industry, this study develops a tripartite evolutionary game model among government, contractors, and on-site teams under bounded rationality. Lyapunov stability analysis and numerical simulation are employed to conduct parameter sensitivity analyses. The results show that a strategy profile characterized by flexible regulation, deep adoption, and high-effort collaboration constitutes a stable evolutionary outcome. Moderately increasing government incentives helps accelerate convergence but exhibits diminishing returns under fiscal constraints, indicating that subsidies alone cannot sustain genuine engagement. Reducing penalties for contractors and on-site teams, respectively, induces superficial adoption and low effort, whereas strengthening penalties for bilateral violations simultaneously compresses the space for opportunistic behavior. When the payoff advantage of deep adoption narrows or the payoff from perfunctory adoption rises, convergence toward the preferred steady state slows markedly. Based on the discussion and simulation evidence, we recommend dynamically matching incentives, sanctions, and performance feedback: prioritizing flexible regulation to reduce institutional frictions, configuring differentiated sanctions to maintain a positive payoff differential, reinforcing observable performance to stabilize frontline effort, and adjusting policy weights by project stage and actor characteristics. The study delineates how parameter changes propagate through behavioral choices to shape collaborative performance, providing actionable guidance for policy design and project governance in advancing HRC.
1. Introduction
In recent years, the technological development of the construction industry has undergone an unprecedented transformation. With the rapid advancement of information technology, artificial intelligence, big data, and automation equipment, intelligent technology has become the core driving force for the industry’s evolution [1,2]. From traditional manual operations to building information modeling (BIM) and robotic construction techniques, the construction industry’s digital transformation is gradually changing construction processes, project management models, and delivery methods [3]. On the construction site, in particular, human–robot collaboration (HRC) systems have become a critical technology for enhancing construction efficiency, reducing safety risks, and improving resource utilization, representing a significant trend for future development [4,5,6]. HRC systems, which integrate robotic and human operations, can substantially increase production efficiency, reduce labor demand, and ensure construction safety [7]. However, despite the immense technological potential of HRC systems and their successful application in some projects, their wide promotion and application within the construction industry still face considerable challenges, especially the low adoption of HRC systems [8].
A growing body of literature shows that the slow adoption of construction technologies arises not only from technical readiness issues but also from incentives and behavioral constraints that steer adoption choices. In the case of HRC systems, the principal barrier is weak incentive design coupled with inadequate enforcement mechanisms. For example, the core issue impeding the widespread application of HRC systems in construction lies in the insufficiency of incentive mechanisms and the lack of effective constraint mechanisms [9,10]. Although the government can introduce several incentive policies, such as financial subsidies and tax incentives, these measures cannot fully mobilize the enthusiasm for technological adoption by construction enterprises, especially small and medium-sized enterprises (SMEs) [11]. High technological transformation costs, uncertain short-term returns, and information asymmetry have led many companies to delay adoption or engage superficially [12]. Furthermore, the low participation of on-site teams in the technology application process and the absence of effective incentive mechanisms for them result in the practical application effects of the technology falling far short of expectations [13]. Therefore, how to motivate the government, contractors, and on-site teams through reasonable incentives and constraint mechanisms to promote technological adoption and ensure cooperation has become a key issue for the intelligent transformation of the construction industry.
From a systems perspective, this situation is characteristic of a socio-technical system with tightly coupled actors and feedback loops [14]. Government policies shape contractors’ adoption calculus; contractors’ incentive schemes shape teams’ effort; and the observed performance of teams feeds back into both regulatory posture and managerial adoption depth [15]. Because this feedback is nonlinear and adaptive, point interventions often generate diminishing returns or unintended responses when applied in isolation [16]. What is needed is a policy mix that keeps the payoff of deep adoption and high effort persistently higher than their opportunistic alternatives while minimizing institutional frictions [17].
To examine these multi-actor dynamics, scholars increasingly rely on evolutionary game theory. Unlike classical game theory’s assumption of perfect rationality, evolutionary game theory models bounded rationality and adaptive learning, making it well-suited to uncertain and iterative decision environments [18,19]. Applications in construction—BIM, prefabrication, and green building—demonstrate that mandates alone are insufficient and durable diffusion typically requires a mix of incentives and penalties [20,21,22,23]. For example, BIM adoption research has demonstrated that mandatory requirements alone are insufficient, and only the combination of incentives and penalties can sustain long-term adoption [24,25]. Similarly, studies on prefabricated construction and green building indicate that contractors’ risk aversion and cost concerns often hinder adoption unless dynamic regulatory and subsidy schemes are implemented [20,22,26,27]. These findings highlight that effective promotion of emerging technologies depends not only on technical feasibility but also on carefully designed policy portfolios that align the interests of multiple stakeholders. However, much of the literature concentrates on two-party interactions (government–contractor) and pays limited attention to on-site workers, whose effort and participation are decisive for HRC outcomes [28,29,30]. This gap motivates a framework that treats on-site teams as strategic actors.
Promoting HRC technology in the construction industry is not merely a technical problem but a game of incentives, constraints, and collaborative behaviors [31,32]. The key to promoting this technology’s application is balancing the interests of the government, contractors, and on-site teams and designing policies that effectively incentivize technological adoption and prevent inefficient cooperation [19,33]. While existing research on evolutionary game theory in construction has provided valuable insights into green building, BIM, and prefabrication adoption [18,27,34,35,36], few studies have directly modeled the tripartite dynamics among government, contractors, and workers in the context of HRC. Addressing this gap, this paper employs an evolutionary game model to capture the bounded-rational strategic interactions among the three parties, thereby extending the application of evolutionary game analysis to a new domain and contributing to both theory and practice.
This paper aims to use evolutionary game theory to analyze the behavioral strategies of the government, contractors, and on-site teams under different incentive and constraint conditions, revealing how to promote technological adoption and multi-party collaboration through a reasonable incentive and constraint mechanism, thereby advancing the intelligent transformation of the construction industry. To guide the analysis, the following research questions (RQ) are explicitly posed:
RQ1: What is the stable evolutionary strategy profile for the tripartite game involving the government, contractors, and on-site teams in the context of HRC system adoption in construction?
RQ2: How do shifts in key policy parameters (e.g., government incentives, penalties, and performance payoffs) influence the evolutionary path and the stability of stakeholders’ strategies?
By explicitly framing these research questions, the study establishes a clear analytical focus. The questions provide the conceptual foundation for constructing the evolutionary game model, performing stability analysis, and conducting simulation experiments. They also ensure that the subsequent discussion of results is closely tied to the underlying theoretical motivation and practical concerns of the industry. This study situates HRC adoption within systems science by highlighting how government, contractors, and on-site teams form interconnected subsystems whose interactions are captured through replicator dynamics. Incentives, penalties, and performance visibility generate feedback loops that create path dependence and thresholds, and small parameter changes can trigger nonlinear shifts between equilibria, producing discontinuities observed in practice. By identifying leverage points, the analysis shows how policy mixes can realign strategic payoffs and guide the overall system toward stable, high-effort, deep adoption under flexible regulations.
Evolutionary game theory, based on the assumption of bounded rationality, emphasizes the behavioral adjustments and strategic evolution of participants in interaction, differing from the traditional game theory assumption of perfect rationality [37,38]. Recent research also highlights that evolutionary game theory has been widely applied in both the social and natural sciences, demonstrating its usefulness in analyzing dynamic strategic interactions in various domains [39,40,41]. Evolutionary game theory can simulate the process of strategy updates in repeated games among various parties, which more closely aligns with actual situations and can reflect the behavioral choices of the government, contractors, and on-site teams in a dynamic policy environment [42]. This study chooses evolutionary game theory as its analytical tool to reveal the dynamic game process among the parties under different incentive and constraint conditions, and how these games affect the adoption and promotion of technology.
The contributions of this study are mainly reflected in the following aspects. First, it fills the gap in existing research on the lack of analysis of the game among stakeholders in promoting HRC systems in the construction industry. Using an evolutionary game model reveals the strategic evolution and interaction relationship among the government, contractors, and on-site teams under incentive and constraint conditions. Second, this paper breaks through the limitations of the perfect rationality assumption in traditional game theory by introducing the perspective of bounded rationality, which more realistically reflects all parties’ dynamic adjustments and strategic choices in the actual decision-making process. Finally, this paper proposes optimizing policy design through reasonable incentives and constraint mechanisms to promote technology adoption, providing specific theoretical and practical suggestions for the government in formulating policies to promote the intelligent transformation of the construction industry. Beyond the immediate context of construction management, this study also contributes to the broader systems discipline. HRC in construction is not only a technical adoption problem but a complex socio-technical system, where heterogeneous actors (government, contractors, and on-site teams) interact under bounded rationality. Such systems are characterized by nonlinear feedback loops, emergent equilibria, and adaptive strategy evolution, all of which fall squarely within the scope of systems science. By developing and simulating a tripartite evolutionary game, this research provides a transferable analytical framework that links individual incentives and constraints to system-level outcomes, thereby advancing the system’s approach to managing socio-technical transitions. These contributions provide tangible policy support for the promotion of HRC systems in our country’s construction industry, advancing technological adoption and multi-party collaboration efficiency.
The structure of this paper is as follows. Section 2 is a literature review, which reviews and summarizes the research results in related fields and reveals the deficiencies in current research. Section 3 introduces the evolutionary game model’s theoretical framework and hypothesis settings, clarifying the three-party game’s strategic space and payment matrix. Section 4 explores the three-party strategies’ evolutionary paths and stability points through stability analysis. Section 5 uses MATLAB for simulation analysis to verify the feasibility of the model and conduct a sensitivity analysis. Section 6 is the discussion part, which mainly analyzes the simulation results. Section 7 summarizes the research findings, proposes policy recommendations, and looks forward to future research directions.
2. Literature Review
This section provides an overview of HRC within the context of construction industry transformation, highlighting the opportunities and constraints for its adoption. It emphasizes the interaction between regulatory frameworks, incentives, and stakeholder dynamics, and illustrates the applicability of evolutionary game theory as a perspective for capturing bounded rationality, adaptability, and strategic interactions. Through this way, the literature review lays the conceptual foundation for understanding the adoption of HRC as a complex and multi-agent process shaped by incentives, enforcement, and behavioral responses, while also identifying key gaps that necessitate a more comprehensive and dynamic policy approach.
2.1. Challenges of HRC Systems in the Construction Industry
In recent years, the global construction industry has faced multiple challenges, including low productivity, an aging and shrinking workforce, and a high frequency of safety incidents [4,43,44,45]. To address these challenges, the construction industry is undergoing a profound transformation driven by digitalization and automation. Among the emerging technologies, HRC systems are regarded as a key pathway to enhancing productivity, ensuring worker safety, and optimizing quality [46]. HRC systems in the construction sector encompass a broad spectrum of technologies beyond conventional industrial robotic arms. These include task-specific systems such as bricklaying robots, drones for site inspection and progress monitoring, and autonomous mobile robots used for material transportation and logistical support on dynamic construction sites [6,47,48,49]. Unlike full automation, HRC emphasizes the combination of human cognitive and decision-making abilities with the precision, strength, and endurance of robots, creating a synergistic collaborative model that exceeds the sum of individual contributions [50].
However, despite the potential demonstrated by HRC systems, the transition from proof of concept to large-scale application remains challenging and results in low adoption in construction [51]. In particular, the adoption process of HRC systems involves complex interactions among three key stakeholders, including governments, construction contractors and on-site teams [52]. Each stakeholder has different objectives. The government is committed to measures of promoting HRC systems through regulations and incentives [53]. Contractors focus on the return on investment from adopting HRC systems [54]. On-site teams are concerned about whether HRC applications can help them complete tasks more quickly and safely in practice [55]. The differing goals and constraints faced by these three stakeholders, such as policy implementation, application costs and task productivity, make the decision-making process for adopting HRC systems complex. The lack of coordinated action continues to hinder the widespread application of HRC systems in construction.
2.2. HRC in Construction Supply Chain Systems
HRC on site is not an isolated production technology but a subsystem embedded in the construction supply chain. In supply chain terms, on-site collaborative tasks primarily belong to the make or deliver processes and are tightly coupled with upstream plan decisions (e.g., material availability, equipment readiness) and downstream handover and quality assurance [56,57]. Therefore, incentive and enforcement portfolios affecting contractors and on-site teams propagate through material, information, and financial flows, shaping not only local effort and adoption depth but also network-level reliability.
From a systems perspective, this makes HRC adoption a supply chain coordination problem under bounded rationality. Incentives, penalties, and performance feedback act as control levers that either amplify or dampen variability as they move across interfaces [58]. Classical supply chain insights imply that deep HRC adoption improves process capability and information timeliness, thereby shrinking uncertainty bands and stabilizing downstream performance [59]. The tripartite evolutionary game complements this view by endogenizing how policy mixes maintain a positive payoff differential for deep adoption and high effort, which, in turn, reduces variability observed at the supply chain level [60].
In addition, the uncertainty faced in the construction supply chain can be systematically characterized using Towill’s uncertainty circle [61,62,63,64], which decomposes uncertainty into two orthogonal dimensions: supply uncertainty (e.g., variability in material availability, labor capability, and process reliability) and demand uncertainty (e.g., variability in client requirements, design changes, and schedule adjustments). Positioning construction HRC adoption within this framework clarifies that HRC capabilities primarily reduce supply-side uncertainty through standardization, automation, and enhanced process reliability, while policy instruments such as incentive and penalty portfolios and performance monitoring improve the information quality of the demand side [15,46]. This dual reduction in uncertainty highlights the systems-level role of HRC adoption in stabilizing construction supply chains.
2.3. The Mechanism of Regulations and Incentives of Government on Technological Innovation in the Construction Industry
Regulatory-economics scholars recommend a mix of regulation measures (such as mandatory standards and liability rules) and market-based incentives (such as subsidies and tax credits). Evolutionary-game models show that such reward–penalty portfolios can shift the industry from a risk-averse to an innovation-seeking equilibrium once the expected gains of compliance outweigh the costs of maintaining the status quo [65]. Government regulation and incentive design have become a theme in the literature about the application of innovative construction technology [66,67,68]. Evolutionary game analyses show that policy mixes combining financial rewards and enforcement penalties can shift contractors from risk-averse to innovation-seeking strategies, but their effectiveness depends on the relative size and timing of each instrument [69].
Take the adoption of BIM, for example, although mandatory use on public projects remains the most visible trigger for adoption, while research finds it alone is not enough, and the way government regulation interacts with market-based incentives has a good effect [34]. The evolutionary-game studies interpret BIM adoption as a dynamic bargaining process in which governments, project owners, and contractors continuously adjust their strategies in response to one another’s incentives, penalties, and perceived risks. Simulations show that moderate public subsidies shift all three parties toward a full BIM adoption, whereas excessive subsidies weaken the policy credibility [70]. Lowering the direct cost of implementation, increasing rewards for proactive use, and imposing sanctions on passive behavior are necessary to stabilize the adoption strategy [60]. A complementary analysis of BIM platform collaboration reveals that detection probabilities and fines for opportunistic conduct strongly influence whether the game settles at this efficient point [35]. These findings suggest that effective governmental promotion of BIM hinges on balanced policy architecture.
A growing body of empirical and simulation-based work further clarifies how the intensity of government oversight conditions the success of any incentive package. The impact of regulatory intensity on technology adoption follows a threshold or inverted U pattern. When contractors received penalties or inspection frequencies beyond a moderate level, contractors divert resources from innovation to compliance, and fewer regulations bring opportunism and rent-seeking, conversely [71,72,73].
2.4. The Evolutionary Game Theory in Construction
The evolutionary game theory couples the equilibrium logic of classical game theory with a learning and adaptation perspective that recognizes bounded rationality [74]. Rather than striving for perfect optimization, participants are assumed to adjust their strategies through imitation, a trial-and-error process, and reinforcement [75]. Convergence is assessed through replicator dynamics and the concepts of evolutionary stable strategies [76]. Because these dynamics unfold over time, the evolutionary game is particularly applicable to construction contexts where stakeholders face incomplete information, cognitive constraints, and constantly changing external conditions.
Initially, the evolutionary game studies in construction concentrated on two-player games between a regulator and a contractor to explain why innovative methods such as green building techniques or BIM are often at a low adoption equilibrium [36,77,78]. These models show that purely punitive or purely subsidizing policies rarely suffice to break path dependence. An appropriately balanced portfolio of rewards and penalties is needed in favor of adoption. As the development of technology has become more complex, researchers have expanded the framework to three-player settings that simultaneously incorporate governments, contractors, and owners or specialized service providers [27,79,80,81]. Simulations in these models reveal the threshold effects that only when subsidies, tax credits, and inspection probabilities rise simultaneously does the system shift from mutual hesitation to adoption of new construction tools.
These studies are directly related to HRC systems, whose adoption depends on a triad of stakeholders with divergent objectives. Governments are concerned with productivity increased by technology innovation, contractors weigh investment against schedule and quality gains, and on-site teams focus on ease of use and occupational safety [46,52]. The conflict, coordination, and interaction embedded in that tripartite relationship align with the characteristics of the evolutionary game, making it well-suited for analyzing the adoption of HRC systems.
2.5. Knowledge Gap
Despite the growing application of the evolutionary game to analyze technological innovation in construction, a significant research gap persists concerning the adoption of HRC systems. First, little research has specifically employed an evolutionary game framework to model the complex, interdependent behaviors of the key stakeholders in HRC systems. Second, existing research on other technologies, such as BIM or green building, has often been limited to a two-player dynamic, typically between the government and contractors, thereby overlooking the critical role of the on-site teams. This research addresses this limitation by incorporating the on-site team as a third strategic player, offering a more holistic and pragmatic perspective that acknowledges their direct influence on the success of HRC implementation. Furthermore, previous evolutionary game models in construction have primarily focused on the effects of static, predetermined incentive and penalty mechanisms. This leaves a gap in understanding the potential efficacy of dynamic or adaptive policy strategies, where government interventions could evolve in response to the shifting adoption rates and behaviors of both contractors and on-site teams. By analyzing this tripartite relationship under dynamic conditions, this study aims to provide a more comprehensive understanding of the adoption process and offer more robust, context-aware policy recommendations to foster the successful integration of HRC systems in the construction industry.
3. Model Assumptions and Formulation
This section formalizes the study context and agent behavior to establish a testable analytical framework. This section first introduces the set of participants and their strategy spaces, and states baseline assumptions about information, timing, and rationality. And then, this section constructs payoff functions, clarifies the economic meaning and admissible ranges of key parameters (such as incentive strength and penalty level), and presents the core mechanism with its constraints and equilibrium concept. In addition, it relates these choices to canonical formulations in the literature to make similarities and departures explicit. To support replication and later analysis, this section summarizes notation and parameter definitions and describes the identification logic, thereby preparing the ground for the stability analysis in Section 4.
3.1. Analysis of Game-Theoretic Participants
When HRC systems are introduced into construction projects, three strategic actors interact: governments, contractors, and on-site teams. Their distinct incentives and constraints shape behavioral choices, affect the degree of coordination, and ultimately determine project success.
Government. As the primary policymaker driving intelligent construction, the government must balance rigid and flexible regulation. In practice, it issues policies and rules to encourage firms to adopt advanced technologies and systems. Overly stringent oversight can provoke resistance from contractors and on-site teams, whereas excessively lenient oversight may lead to poor implementation. Accordingly, regulators usually deploy a mixed policy portfolio, combining incentives with calibrated sanctions, to guide stakeholder behavior while avoiding the negative effects of over- or under-regulation.
Contractor. Contractors act as a bridge in the construction process and are the key decision-makers for adopting and deploying HRC systems. They weigh adoption costs, expected benefits, and the magnitude of governmental incentives. Suppose HRC adoption is expensive and government support or market recognition is insufficient. In that case, contractors may pursue a symbolic-compliance strategy to meet regulations in form rather than substance, thereby failing to maximize project benefits. Conversely, generous incentives and technical support increase the likelihood of deep adoption, in which contractors fully integrate HRC systems to improve efficiency and quality. Moreover, contractors maintain a direct contractual and incentive relationship with on-site teams. As the providers of wages, bonuses, and performance-based rewards, contractors shape the level of effort that teams are willing to exert. When adopting HRC systems in depth, contractors must establish effective incentive schemes—such as performance pay, training opportunities, and safety guarantees—to motivate teams toward high-effort collaboration. In contrast, under symbolic adoption, weak or absent incentives often discourage strong team engagement, leading to limited collaboration effort and reduced project performance.
On-site team. On-site teams directly execute HRC systems, and their behavior critically influences system performance and project outcomes. Team members adjust their effort according to workload, personal payoffs, and team-level incentives. When inadequate rewards or penalties are unclear, they may supply low effort or even free-ride, undermining HRC effectiveness and contractor returns. Hence, well-designed incentive and feedback mechanisms for on-site teams are essential for enhancing coordination outcomes. At the same time, the collaborative behavior of on-site teams provides important feedback to contractors’ adoption decisions. High-effort collaboration can significantly improve construction quality and efficiency, thereby reinforcing contractors’ confidence in the returns of deep adoption and creating a positive feedback loop. Conversely, if teams choose low-effort collaboration due to insufficient incentives or weak supervision, contractors may perceive that deep adoption yields limited benefits and instead revert to symbolic adoption strategies. This influence highlights that on-site teams are not only executors but also strategic actors shaping contractors’ long-term adoption choices.
Figure 1 schematically illustrates the relationships among the three actors.
Figure 1.
Tripartite evolutionary path.
3.2. Basic Assumptions and Parameter Settings
As stated above, the evolutionary game in this study represents the dynamic trade-offs among governmental supervision, contractor adoption willingness, and on-site team collaboration behavior. The specific model assumptions are as follows:
Assumption 1.
The government is designated as Player 1, the contractor as Player 2, and the on-site team as Player 3. All three players are bounded-rational decision-makers, and members within each group independently choose their strategies based on payoff values. Each player can adjust its strategy dynamically throughout the game. This setting is consistent with the basic premise of evolutionary game theory [82] and aligns with modeling approaches commonly applied in project management research, thereby reflecting the bounded rationality of decision-makers in real-world project environments [83].
Assumption 2.
During the evolutionary process, the strategy space for all three players is binary. Specifically, the government chooses rigid regulation with probability
and flexible regulation with probability
; the contractor chooses deep adoption with probability
and symbolic adoption with probability
; and the on-site team chooses high-effort collaboration with probability
and low-effort collaboration with probability
. This binary formulation is consistent with prior evolutionary game studies in construction, which often simplify strategic choices to facilitate stability analysis [84,85].
Assumption 3.
The government incentivizes contractors to adopt HRC systems on-site by granting a subsidy amount
. Because the subsidy is financed from public funds such as tax revenues, its disbursement creates a dead-weight loss, i.e., a social-welfare cost. Let
denote the marginal cost of public funds; thus, each monetary unit of public expenditure generates
monetary units of social-welfare loss.
While the government grants the subsidy, a project-level social-benefit loss is [86]. Under rigid regulation, the government also subjects the contractor and the on-site team to strict monitoring and imposes penalties and , respectively, for any improper actions. If both parties violate simultaneously, the penalty is amplified by a coefficient , . Under flexible regulation, both incentives and penalties are proportionally reduced by a coefficient , .
Assumption 4.
The contractor’s choice to adopt the HRC system in depth significantly affects its payoff structure. Under deep adoption, the total output and total cost are denoted by
and
, respectively; under symbolic adoption, the corresponding total output and total cost are
and
. In the process of total output generation, different stakeholders obtain different types of benefits. The government receives social benefits, while the contractor receives economic benefits. The coefficients of social benefits and economic benefits are denoted by
and
,
. This setting corresponds to the engineering practice experience of “deep application leading to higher costs but greater benefits, while superficial application lowers costs but results in low efficiency,” and can be used to characterize the systematic differences in performance between genuine investment and superficial compliance [87].
Assumption 5.
The collaboration behavior of the on-site team directly affects performance and system operation outcomes. Under high-effort collaboration, the team receives a performance payoff from the contractor, with a performance coefficient
,
, and such collaboration also increases the contractor’s revenue by an enhancement coefficient
,
. However, high-effort collaboration requires the team to bear an operational cost
. Under low-effort collaboration, the corresponding cost coefficient is
. From the perspectives of labor economics and organizational behavior, effort is positively correlated with performance but is accompanied by rising marginal costs. Empirical research in construction shows that extended overtime reduces labor productivity, reflecting the increasing marginal costs of additional effort [88]. Moreover, organizational behavior studies confirm that workers’ beliefs, attitudes, and behaviors are strongly tied to performance outcomes [89]. Overtime work and schedule acceleration are typical scenarios, thereby making the above parameterization a reasonable representation of the trade-off between input and output [90].
Assumption 6.
Under flexible regulations, the government is unable to detect noncompliant or low-effort behaviors by the contractor and the on-site team. This assumption has been confirmed in research on green building and construction safety management, where weak supervision mechanisms often fail to curb opportunistic strategies, leading to free-riding or symbolic compliance [91].
3.3. Model Formulation
Based on the above assumptions, the tripartite evolutionary game payoff matrix for the government, the contractor, and the on-site team is obtained, as shown in Table 1, where each cell reports the payoffs of the three parties under the corresponding strategy combination in the order of government, contractor, and on-site team.
Table 1.
Tri-party evolutionary game payment matrix.
4. Evolutionary Game Model Stability Analysis
This section investigates the dynamic behavior and equilibrium properties, asking under what conditions it converges to a stable configuration. This section derives the governing dynamics (e.g., replicator or best-response dynamics) and then analyzes local stability using the Jacobian matrix and eigenvalues and combines parameter comparisons (comparative statics) to identify the critical thresholds and directions that determine stability. This section further summarizes the main conclusions through several propositions and inferences, and discusses possible multiple equilibria and path dependence. These results directly connect to management and policy implications and provide testable theoretical predictions for the numerical simulations in Section 5.
4.1. Stability Analysis of Government Supervision Strategies
The expected payoff of rigid supervision is denoted , the expected payoff of flexible supervision is denoted , and the average expected payoff of the government’s supervision strategy is denoted , respectively:
The replicator dynamic equation for the government’s supervision strategy is:
Let
Setting yields , , and .
The first derivative of with respect to is:
Proposition 1.
The probability
decreases as
and
increase. That is, when the contractor chooses deep adoption of the HRC system and the on-site team engages in high-effort collaboration, the government will opt for flexible regulation.
Proof.
Let , then . Since , is a decreasing function of . For the government’s supervision probability to be stable, it must satisfy and . When , and , the government’s decision is the same regardless of the strategy adopted.
When and , it follows that , , and the equilibrium is stable, meaning that the government tends to choose rigid supervision. When and , it follows that and , and the equilibrium is stable, meaning that the government tends to choose flexible supervision. Similarly, when the influence of the on-site team is used to judge the government’s decision, the corresponding conclusion can be obtained, thus proving Proposition 1. □
4.2. Stability Analysis of the Contractor’s Adoption Strategy
The expected payoff of deep adoption of the HRC system by the contractor is denoted by , that of symbolic adoption by , and the average expected payoff of the contractor’s strategy by , respectively:
The replicator dynamic equation for the contractor’s adoption strategy is:
Let
Setting yields , , and .
The first derivative of with respect to is:
Proposition 2.
The probability
increases as
increases, while the effect of
on
is not straightforward. When the government chooses rigid supervision, contractors are more inclined toward active adoption. The influence of the on-site team on the contractor is more reflected in the contractor’s perception of and response to differences in benefits under different decision scenarios.
Proof.
Let , then . Since , is an increasing function of . For the contractor’s decision-making probability to be in a stable state, it must satisfy and . When , and , the contractor’s choice remains the same regardless of the decision adopted. When and , it follows that and , so the equilibrium is stable, indicating that the contractor tends to choose symbolic adoption. When and , it follows that , , so the equilibrium is stable, indicating that the contractor tends to choose deep adoption.
Moreover, let , where depends on the values of and . Therefore, it cannot be directly determined whether it is positive or negative, indicating that the influence of the on-site team’s behavioral decisions on the contractor is not a linear relationship. Proposition 2 is thus proven. □
4.3. Stability Analysis of the On-Site Team’s Collaboration Strategy
The expected payoff of high-effort collaboration by the on-site team is denoted by , that of low-effort collaboration by , and the average expected payoff of the on-site team’s collaboration strategy by , respectively:
The replicator dynamic equation for the on-site team’s collaboration strategy is:
Let
Setting yields , , and .
The first derivative of with respect to is:
Proposition 3.
The probability
increases as
increases. In other words, when the government adopts a rigid regulation strategy, the on-site team tends to choose high-effort collaboration.
Proof.
Let , then . Since , is an increasing function of . For the probability of high-effort collaboration to be in a stable state, it must satisfy and . When , and , the on-site team’s decision is the same regardless of the strategy chosen.
When and , it follows that and , the equilibrium is stable, meaning the on-site team tends to choose low-effort collaboration. When and , it follows that , , the equilibrium is stable, meaning the on-site team tends to choose high-effort collaboration. Thus, Proposition 3 is proven. □
4.4. Stability Analysis of Equilibria in the Tripartite Game System
Solving the three-dimensional dynamical system, i.e., , , and , yields eight pure-strategy equilibrium points: , , , , , , , . Because the stable solutions of multi-population evolutionary games are strict Nash equilibria, and strict Nash equilibria are necessarily pure strategies, the analysis focuses on pure-strategy points [92,93]. According to Lyapunov stability theory, a necessary and sufficient condition for the system to be stable is that all eigenvalues of the Jacobian matrix have negative real parts. For the three-dimensional dynamical system, the Jacobian matrix is constructed as:
where
By substituting each equilibrium point into the Jacobian matrix in Equation (16), the eigenvalues corresponding to each equilibrium point can be obtained and summarized in Table 2. Based on the participation of various stakeholders, the evolutionary outcomes can be categorized by degree of desirability into four levels: least desirable, undesirable, desirable, and most desirable. This classification considers both the government’s role in promoting social welfare and the cooperative willingness of the three stakeholders. Specifically, the least desirable outcomes correspond to equilibria where both the contractor and the on-site team adopt opportunistic or low-effort strategies, leading to dynamic instability and poor overall performance. The undesirable outcomes arise when only one of the three parties adopts a positive strategy, which produces limited improvements but lacks long-term stability. The desirable outcomes involve two parties adopting cooperative strategies, significantly improving system efficiency compared to the previous two levels, but still placing certain pressures on social welfare costs. Finally, the most desirable outcomes occur when the government shifts away from strict enforcement and adopts flexible regulation, while the contractor chooses deep adoption and the on-site team maintains high-effort collaboration. In this case, the system achieves evolutionary stability and attains the highest overall efficiency.
Table 2.
Equilibrium point stability analysis.
Proposition 4.
In the process of promoting the application of the HRC system in building construction, the state
represents the most desirable outcome that the game participants are likely to achieve at present.
Proof.
Since , is not an evolutionarily stable strategy. Based on the stability analysis summarized in Table 2, the final result shows that seven gradually stable points are obtained. When and , the tripartite evolutionary game system evolves to . In this state, under government promotion of the HRC system in construction projects, the contractor’s revenue from deep adoption exceeds that from symbolic adoption, and the on-site team’s revenue from high-effort collaboration exceeds that from low-effort collaboration. The tripartite game strategies are flexible supervision by the government, deep adoption by the contractor, and high-effort collaboration by the on-site team. This implies that the government prefers flexible supervision, the contractor prefers deep adoption, and the on-site team prefers high-effort collaboration. Compared with rigid supervision, this approach reduces excessive intervention while fostering trust and motivation among participants, thereby encouraging HRC system adoption. This not only mitigates the risk of low-efficiency behaviors but also establishes a virtuous cycle of positive interactions among stakeholders. On one hand, the contractor’s willingness to adopt is enhanced, actively integrating HRC systems into project management and implementation. On the other hand, the on-site team is more willing to engage in high-effort collaboration under incentive and guidance mechanisms. In practice, this state can be further reinforced through market-based incentives, behavioral constraints, and regulatory systems to avoid free-riding behavior. This will strengthen the willingness of the contractor and on-site team to collaborate, build mutual trust among stakeholders, and ultimately promote the evolution of the game system toward a stable, ideal equilibrium state. □
5. Numerical Simulation
To verify the dynamic characteristics and strategy stability of the evolutionary game model, and to enhance the intuitiveness and persuasiveness of the theoretical analysis, a simulated project scenario is constructed for numerical simulation. As an important complement to the game-theoretic model, numerical simulation can dynamically illustrate the evolutionary trends of the system under different strategy choices and parameter configurations, revealing the mechanisms through which key variables influence system behavior. In this section, MATLAB R2024b is used to simulate the dynamic evolutionary process. Expert consultations in the fields of intelligent construction and applications of HRC systems in the construction industry were conducted, combined with case evidence from the promotion of robots in a construction project in Nanjing, China, as well as relevant scholarly research on game-model simulations [94,95,96,97]. Based on the basic conditions of the theoretical model, parameter values are set according to the system’s stable state at project initiation: , , , , , , , , , , , , , , , .
5.1. System Stability Test
By substituting the specified parameters into the model and allowing the replicator dynamic equations to evolve over time, the evolutionary trajectories of the three parties are obtained, as shown in Figure 2. The different lines in the figure represent the evolutionary trends starting from different initial state points. It can be observed that, when the simulation process satisfies the corresponding constraint conditions, a sufficiently long evolutionary time and continuous iteration will lead all stakeholders to gradually evolve toward their respective stable states. This verifies the feasibility and correctness of the conditions in the evolutionary model, while also providing a basis for setting the initial states in the subsequent sensitivity analysis.
Figure 2.
Evolutionary Trajectories of Stakeholders. Note: The different colored lines represent the evolutionary strategies adopted by each stakeholders. Each line indicates the change in strategy over time, showing how the stakeholders’ decisions evolve toward equilibrium under different initial conditions.
5.2. Influence of Relevant Parameters on the Evolution of Stakeholder Behavior
This study aims to explore how the government can guide and coordinate the application of HRC systems in construction projects to balance and optimize the allocation of interests among stakeholders during implementation. Therefore, numerical simulations are conducted on the government’s incentive measure , the penalties and imposed by the government on contractors and on-site teams for improper behavior, the bilateral penalty coefficient for joint violations, and the revenue parameters and associated with different contractor strategies.
In addition, to eliminate the influence of the initial strategy selection probabilities of the stakeholders on system evolution, the simulations are initialized with a standardized setting in which the initial strategy points for the government, contractor, and on-site team are .
The government’s incentive intensity is set to 2, 3, and 4, respectively. Based on the three-dimensional dynamical system, the results (Figure 3) show that as the government increases the incentive intensity , the system evolves toward the state at a faster pace. Although an increase in leads to higher values of and , compared with , the sensitivity of and to changes in is not as pronounced. The underlying reasons are as follows. First, as stated in Proposition 4, when returns are sufficiently attractive, contractors and work teams tend to exert positive effort in the construction process. In such circumstances, additional government subsidies have only a limited marginal effect on the HRC adoption market. Over-reliance on subsidies not only fails to regulate the market effectively but may also distort it, enabling certain stakeholders to engage in opportunistic behaviors that undermine fairness and competitiveness. Second, government subsidies are closely related to social welfare costs; excessive subsidies may increase the government’s contingent liabilities and, in turn, reduce overall welfare—an outcome the government seeks to avoid. As shown in Figure 3, with the increase of , the probability of evolving toward 1 decreases, and the speed at which it approaches 0 accelerates.
Figure 3.
Effect of variation of parameter .
By setting to 4, 3, and 2, the simulated results of the dynamic equations over time are reproduced as shown in Figure 4. By setting to 3, 2, and 1, the corresponding simulation results are shown in Figure 5. By setting to 1.2, 1.5, and 1.8, the results are illustrated in Figure 6. Figure 4 shows that as the penalty intensity imposed by the government on contractors decreases, the speed of evolution toward 1 slows down. Figure 5 indicates that as the penalty intensity for the passive behavior of work teams decreases, the system evolves from the stable state to . This implies that work teams gradually abandon high-effort levels, no longer actively responding to the collaborative mechanism, thereby weakening the overall effectiveness of the HRC system. Without the necessary behavioral constraints and incentive feedback, the motivational mechanism of the end-execution actors will fail, ultimately impeding the system’s evolution toward high-quality cooperation. This finding suggests that in promoting the implementation of HRC systems, the government should not only focus on regulatory intensity and adoption incentives but also on designing reasonable behavioral guidance and reward–punishment mechanisms for frontline operational teams, to achieve the policy objective of multi-party collaboration and win–win evolutionary development. Figure 6 shows that as the bilateral penalty coefficient for violations increases, both and evolve toward positive strategies. This indicates that enhancing the penalty intensity in institutional design and increasing marginal penalty sensitivity help to shrink the survival space for non-cooperative behaviors, thereby driving the system toward an evolutionary equilibrium characterized by “deep adoption by contractors and high-effort collaboration by work teams.” This result also validates that under a flexible regulatory framework, the government can guide all participants to form a behavioral feedback loop through a differentiated reward–punishment mechanism, which is a key pathway to the effective implementation and coordinated optimization of HRC systems.
Figure 4.
Effect of variation of parameter .
Figure 5.
Effect of variation of parameter .
Figure 6.
Effect of variation of parameter .
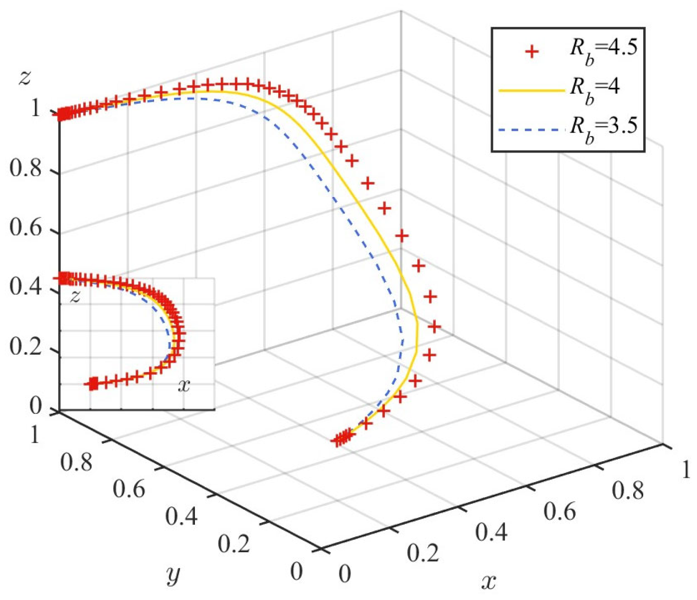
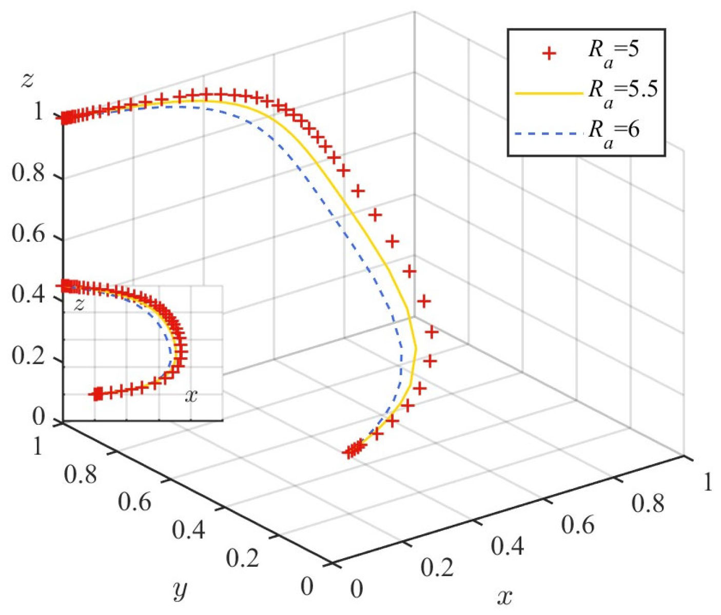
By setting to 5, 5.5, and 6, the simulated results of the dynamic equations over time are reproduced as shown in Figure 7. By setting to 4.5, 4.0, and 3.5, the corresponding simulation results are shown in Figure 8. As illustrated in Figure 7 and Figure 8, when the returns from deep adoption by contractors decrease, or the returns from perfunctory adoption increase, the evolution of the three parties’ strategies toward the state slows down. In other words, when the benefits of high-effort adoption are insufficient, contractors are more likely to opt for a low-investment, low-responsiveness perfunctory adoption strategy, thereby delaying the system’s evolution toward the desired state. This finding suggests that in incentive design, the government should ensure that high-effort behaviors yield sufficient returns to guide contractors toward genuine adoption and foster stable collaboration.
Figure 7.
Effect of variation of parameter .
Figure 8.
Effect of variation of parameter .
6. Discussion
This section explains the mechanisms behind the results and translates them into actionable implications. This section first connects the principal findings back to the model’s assumptions and decision logic and then derives guidelines for policy and management design.
Based on the parameter sensitivity simulation results, the mechanism behind the parameter evolution under the optimal combination can be explained as follows. First, moderately increasing the government’s incentive intensity can accelerate stabilization and promote the system’s convergence toward the optimal combination, but there are diminishing marginal effects and fiscal constraints, and subsidies alone are difficult to sustain genuine investment. Second, lowering the penalty intensities and for contractors and on-site teams will, respectively, induce low-effort behaviors from both, causing the increase of y and z to slow significantly or even deviate from the original stable state. In contrast, increasing the penalty coefficient for bilateral violations can simultaneously increase the probability of both parties choosing positive strategies and compress the space for undesirable behaviors. Third, when the payoff of deep adoption decreases or the payoff of perfunctory adoption increases, the system’s convergence toward the optimal combination slows significantly, indicating a bidirectional coupling between incentives and effort. Therefore, policy design should achieve dynamic matching among incentives, sanctions, and performance feedback, adopt flexible regulations to reduce institutional frictions, use sanctions as a backstop to maintain the payoff differential, and utilize observable performance to stabilize frontline effort, thus providing a mechanism basis for differentiated penalties and stage-specific tool combinations.
The key findings strongly align with and extend previous findings on technology adoption in the construction industry. They demonstrate how a balanced policy mix can coordinate multi-agent behavior under bounded rationality. Empirical research has found persistent barriers to HRC adoption, such as high upfront costs, uncertain returns, capability gaps, and safety or availability issues for frontline personnel, leading firms to delay or adopt superficially [4,7,9,46,50,82]. The proposed evolutionary game simulations demonstrate that when incentives moderately enhance the relative benefits of deep adoption while credible sanctions disincentivize facile compliance, the system will tend toward flexible government regulation, deep contractor adoption, and efficient collaboration among field teams. This complements earlier game-theoretic analyses of building innovation technologies, which show that combinations of incentives and penalties, along with transparency in enforcement, are more effective than single instrument policies [35,60,69].
The first policy implication concerns subsidy calibration. Simulation results suggest that increasing incentives can lead to accelerating benefits, but the returns decline once proactive strategies dominate. This pattern reflects research showing that excessive subsidies can induce opportunism or undermine policy credibility, while moderate and time-limited support is most effective in shifting expectations and investment timing [69,70]. For HRC, targeted subsidies tied to verifiable milestones (such as production performance or worker skill improvement) may preserve the differential returns to deep adoption without creating long-term fiscal dependency.
A second implication is the role of penalty and regulation. The simulations indicate that reducing the contractor penalty parameter slows the evolution of the contractor’s strategy toward deep adoption, while reducing the on-site team penalty parameter shifts the system away from the preferred equilibrium by weakening frontline effort. In contrast, increasing the bilateral violation coefficient accelerates the joint movement of contractor adoption and team effort toward the stable and desirable state. In policy terms, an effective regime employs moderate and predictable penalties that escalate for violations, are adjusted by project stage, and complement rather than substitute targeted incentives. Excessively weak enforcement invites rent-seeking, whereas overly stringent penalties create compliance drag and crowd out innovation, consistent with threshold or inverted-U effects of regulatory intensity reported in the construction management literature [71,72]. Regulation should, therefore, operate within an effective policy range that keeps the contractor’s expected return from deep adoption and the team’s expected return from high effort strictly higher than their opportunistic alternatives, ensuring rapid and robust convergence toward the preferred steady state.
A third implication concerns frontline effort and feedback. The simulations show that convergence weakens when the payoff advantage of high-effort collaboration narrows; conversely, stronger performance-linked rewards for teams support stable high effort and indirectly reinforce contractor adoption. This aligns with evidence that team-level incentives and behavioral feedback reduce free-riding and sustain safe and productive HRC operations [11,13,32,33]. For implementation, contractors can preserve a portion of incentive funds for workers’ bonuses, skill credentials, and workload protections related to human–robot tasks.
Taken together, the findings point to a dynamic matching principle for HRC policy design. Firstly, flexible regulations are needed to reduce institutional frictions and learning costs during the early stages of adoption. Secondly, moderate incentives combined with sanctions are required to sustain a positive payoff for contractors. Finally, performance-linked rewards with transparent feedback are essential to stabilize on-site team effort.
From a systems perspective, the findings demonstrate how local changes in incentive or penalty parameters propagate through feedback loops to reshape the overall dynamics of adoption and collaboration. This confirms that system outcomes in socio-technical transitions cannot be linearly derived from single interventions but rather emerge from multi-agent co-evolution. Such insights enrich the systems’ literature on governance mechanisms by explicitly modeling the adaptive behaviors of on-site teams, who are an often neglected but crucial component in system stability.
Therefore, it can be argued that in the process of promoting HRC, attention should be paid to ensuring that subsidies focus on capacity building and system integration that enhance the contractor’s genuine adoption benefits, rather than on universal financial allocations that may foster symbolic adoption. Contracting and performance management should link observable indicators such as rework rates, safety incidents, and schedule deviations to incentive mechanisms, so that high effort becomes self-financing. At the same time, the establishment of minimum penalty thresholds can provide a safeguard against opportunistic behavior. Under flexible regulation, risk-based inspections may be employed to reduce compliance costs, while fiscal sustainability constraints must be considered, with the relative weights of policy instruments dynamically adjusted across different project stages. Such an approach can preserve the net benefit differential of deep adoption while stabilizing frontline effort, thereby driving the system from initial implementation toward a stable and efficient state.
7. Conclusions
With the development of intelligent construction technology, HRC systems are becoming a key technological pathway for improving construction efficiency, reducing safety risks, and driving the digital transformation of the construction industry. However, in the construction sector, the promotion of HRC systems still faces the practical dilemma of weak incentives, insufficient constraints, and passive adoption. To address this issue, this study constructs a tripartite evolutionary game model based on bounded rationality to systematically simulate the strategic evolution of the government, contractors, and on-site teams under the coexistence of incentives and constraints. The model results show that when the government adopts flexible regulations, contractors engage in deep adoption, and on-site teams maintain high effort collaboration, the strategies of all three parties can stably evolve toward the system’s optimal state, thereby achieving both effective promotion of HRC systems and simultaneous improvement of construction project performance.
Further numerical simulations indicate that the design of a coordinated combination of government incentive intensity and penalty mechanisms has a significant impact on the evolutionary path of behavioral strategies. Single subsidy measures are often insufficient to drive genuine investment from contractors and on-site teams and may instead lead to strategic collusion characterized by superficial adoption and low-effort collaboration. Conversely, when the government establishes a dynamic feedback mechanism that integrates positive incentives with punitive constraints, particularly by strengthening the identification and sanctioning of the combination strategy of low effort and shallow adoption, it can effectively enhance the stability of cooperation among the three parties. Moreover, the model reveals the critical role of the on-site team in the strategy evolution process. The effort level of the on-site team is not only constrained by direct incentive intensity but also exerts important reverse feedback on contractors’ adoption behavior, making it a key end variable in the promotion of HRC systems.
In terms of theoretical contributions, this study extends the conventional government–contractor binary framework by explicitly incorporating on-site teams as endogenous actors, thereby uncovering the bidirectional feedback mechanism between frontline effort and contractor adoption decisions. In addition, by integrating insights from public finance on the marginal cost of subsidies and from organizational behavior on the effort–performance trade-off, the study refines the understanding of how regulatory flexibility and joint sanctioning interact to sustain stable cooperation. These extensions enrich the evolutionary game literature on incentive and constraint mechanisms in construction governance.
In terms of practical implications, the findings provide concrete guidance for policy design in HRC promotion. Subsidies should be targeted at capacity building and system integration that enhance contractors’ genuine adoption benefits, rather than distributed universally, which risks fostering symbolic adoption. Contracting and performance management should link observable indicators such as rework rates, safety incidents, and schedule deviations to incentive schemes, thereby making high effort self-sustaining. At the same time, establishing minimum penalty thresholds and credible joint sanctions can deter opportunistic behavior. Under flexible regulation, risk-based inspections can reduce compliance costs while maintaining enforcement credibility, and the relative weights of different policy tools should be dynamically adjusted across project stages to account for fiscal sustainability. Together, these measures can help shift the system away from fragile equilibria characterized by superficial adoption and low effort toward a stable and efficient state defined by flexible regulation, deep adoption, and high-effort collaboration.
In terms of contribution to the systems discipline, this study illustrates how evolutionary game theory can serve as a bridge between mathematical modeling and system-level contextualization. By incorporating bounded rationality, feedback mechanisms, and stability analysis, the work deepens our understanding of how complex adaptive systems in construction evolve toward desirable or undesirable equilibria. Moreover, the framework is not limited to construction; it can be extended to other domains of socio-technical transitions, such as energy systems, smart cities, or digital platforms, thereby offering methodological and theoretical value to the broader systems community.
Although this study theoretically models and empirically simulates the tripartite interaction mechanism in the promotion process of HRC systems, certain limitations remain. First, the model has not fully considered the differences in strategic preferences and resource constraints among different types of enterprises (such as large enterprises and small firms). Future research could incorporate enterprise heterogeneity to enhance model applicability. Second, this study does not include the strategic interactions of fourth-party participants such as equipment suppliers and technology platforms, making it difficult to fully reflect the multi-party game relationships in complex real-world scenarios. Finally, future studies could combine actual case studies and survey data to develop more representative empirical models and policy simulation frameworks.
Author Contributions
Conceptualization, G.Z., L.C., X.L. and Q.L.; methodology, G.Z., L.C., X.L., W.L. and Q.L.; validation, G.Z., L.C. and Q.L.; formal analysis, G.Z. and L.C.; investigation, G.Z., W.L. and L.Z.; resources, G.Z., X.L. and Q.L.; data curation, G.Z., L.Z. and W.L.; writing—original draft preparation, G.Z., L.C., X.L., W.L. and Q.L.; writing—review and editing, G.Z., L.C. and W.L.; visualization, G.Z. and L.C.; supervision, X.L. and Q.L.; project administration, G.Z.; funding acquisition, G.Z. and L.Z. All authors have read and agreed to the published version of the manuscript.
Funding
This research was funded by the National Key Research and Development Program of China (Grant No. 2022YFC3802201), the National Natural Science Foundation of China (Grant No. 72301131), and the Postgraduate Research and Practice Innovation Program of Jiangsu Province, China (Grant No. KYCX22_0218).
Data Availability Statement
The authors confirm that the data supporting the findings of this study are available within the article.
Acknowledgments
We sincerely appreciate all the experts who participated in this research interview.
Conflicts of Interest
The authors declare no conflicts of interest.
Abbreviations
The following abbreviations are used in this manuscript:
| BIM | Building Information Modeling |
| HRC | Human–Robot Collaboration |
References
- Skibniewski, M.J. The Present and Future of Smart Construction Technologies. Engineering 2025, 44, 21–23. [Google Scholar] [CrossRef]
- Vararean-Cochisa, D.; Crisan, E.-L. The digital transformation of the construction industry: A review. IIM Ranchi J. Manag. Stud. 2024, 4, 3–16. [Google Scholar] [CrossRef]
- Rinchen, S.; Banihashemi, S.; Alkilani, S. Driving digital transformation in construction: Strategic insights into building information modelling adoption in developing countries. Proj. Leadersh. Soc. 2024, 5, 100138. [Google Scholar] [CrossRef]
- Liang, C.-J.; Wang, X.; Kamat Vineet, R.; Menassa Carol, C. Human–Robot Collaboration in Construction: Classification and Research Trends. J. Constr. Eng. Manag. 2021, 147, 03121006. [Google Scholar] [CrossRef]
- Brosque, C.; Galbally, E.; Khatib, O.; Fischer, M. Human-Robot Collaboration in Construction: Opportunities and Challenges. In Proceedings of the 2020 International Congress on Human-Computer Interaction, Optimization and Robotic Applications (HORA), Ankara, Turkey, 26–28 June 2020; pp. 1–8. [Google Scholar]
- Wu, M.; Lin, J.-R.; Zhang, X.-H. How human-robot collaboration impacts construction productivity: An agent-based multi-fidelity modeling approach. Adv. Eng. Inform. 2022, 52, 101589. [Google Scholar] [CrossRef]
- Burden, A.G.; Caldwell, G.A.; Guertler, M.R. Towards human–robot collaboration in construction: Current cobot trends and forecasts. Constr. Robot. 2022, 6, 209–220. [Google Scholar] [CrossRef]
- Olukanni, E.; Akanmu, A.; Jebelli, H.; Ammar, A.; Okunola, A. Competencies for human–robot collaboration in the construction industry: Perspectives from academia and industry. Constr. Robot. 2025, 9, 15. [Google Scholar] [CrossRef]
- Davila Delgado, J.M.; Oyedele, L.; Ajayi, A.; Akanbi, L.; Akinade, O.; Bilal, M.; Owolabi, H. Robotics and automated systems in construction: Understanding industry-specific challenges for adoption. J. Build. Eng. 2019, 26, 100868. [Google Scholar] [CrossRef]
- Liu, J.; Wang, X.; Liu, T. Behavior Choice Mechanisms and Tax Incentive Mechanisms in the Game of Construction Safety. Buildings 2022, 12, 1078. [Google Scholar] [CrossRef]
- Feng, Q.; Wang, K.; Feng, Y.; Shi, X.; Rao, Y.; Wei, J. Incentives for Promoting Safety in the Chinese Construction Industry. Buildings 2023, 13, 1446. [Google Scholar] [CrossRef]
- Gurgun, A.P.; Koc, K.; Kunkcu, H. Exploring the adoption of technology against delays in construction projects. Eng. Constr. Archit. Manag. 2022, 31, 1222–1253. [Google Scholar] [CrossRef]
- Ji, L.; Liu, W.; Zhang, Y. Research on the Tournament Incentive Mechanism of the Safety Behavior for Construction Workers: Considering Multiple Heterogeneity. Front. Psychol. 2021, 12, 796295. [Google Scholar] [CrossRef]
- Li, J.; Greenwood, D.; Kassem, M. Blockchain in the Construction Sector: A Socio-technical Systems Framework for the Construction Industry. In Advances in Informatics and Computing in Civil and Construction Engineering; Springer: Cham, Switzerland, 2019; pp. 51–57. [Google Scholar]
- Jin, X.; Shen, G.Q.P.; Ekanayake, E.M.A.C. Improving Construction Industrialization Practices from a Socio-Technical System Perspective: A Hong Kong Case. Int. J. Environ. Res. Public Health 2021, 18, 9017. [Google Scholar] [CrossRef]
- Edmondson, D.L.; Kern, F.; Rogge, K.S. The co-evolution of policy mixes and socio-technical systems: Towards a conceptual framework of policy mix feedback in sustainability transitions. Res. Policy 2019, 48, 103555. [Google Scholar] [CrossRef]
- Edmondson, D.L.; Rogge, K.S.; Kern, F. Zero carbon homes in the UK? Analysing the co-evolution of policy mix and socio-technical system. Environ. Innov. Soc. Transit. 2020, 35, 135–161. [Google Scholar] [CrossRef]
- Liu, Y.; Zuo, J.; Pan, M.; Ge, Q.; Chang, R.; Feng, X.; Fu, Y.; Dong, N. The incentive mechanism and decision-making behavior in the green building supply market: A tripartite evolutionary game analysis. Build. Environ. 2022, 214, 108903. [Google Scholar] [CrossRef]
- Yuan, R.; Zhang, B. An Evolutionary Game Study on the Collaborative Mechanism for Construction Digitalization Among Governments, Contractors, and Service Providers. Buildings 2025, 15, 1933. [Google Scholar] [CrossRef]
- Su, Y.; Zhang, Z. Evolutionary Game Analysis on the Promotion of Green Buildings in China Under the “Dual Carbon” Goals: A Multi-Stakeholder Perspective. Buildings 2025, 15, 1392. [Google Scholar] [CrossRef]
- Yang, C.; Xiong, F.; Hu, Q.; Liu, R.; Li, S. Incentive Mechanism of BIM Application in Prefabricated Buildings Based on Evolutionary Game Analysis. Buildings 2023, 13, 1162. [Google Scholar] [CrossRef]
- Wang, Q.; Guo, W.; Xu, X.; Deng, R.; Ding, X.; Chen, T. Analysis of Carbon Emission Reduction Paths for the Production of Prefabricated Building Components Based on Evolutionary Game Theory. Buildings 2023, 13, 1557. [Google Scholar] [CrossRef]
- Feng, T.; Tai, S.; Sun, C.; Man, Q. Study on Cooperative Mechanism of Prefabricated Producers Based on Evolutionary Game Theory. Math. Probl. Eng. 2017, 2017, 1676045. [Google Scholar] [CrossRef]
- Gurevich, U.; Sacks, R. Longitudinal Study of BIM Adoption by Public Construction Clients. J. Manag. Eng. 2020, 36, 05020008. [Google Scholar] [CrossRef]
- Qin, X.; Shi, Y.; Lyu, K.; Mo, Y. Using a TAM-TOE model to explore factors of Building Information Modelling (BIM) adoption in the construction industry. J. Civ. Eng. Manag. 2020, 26, 259–277. [Google Scholar] [CrossRef]
- Li, X.-J. Research on investment risk influence factors of prefabricated building projects. J. Civ. Eng. Manag. 2020, 26, 599–613. [Google Scholar] [CrossRef]
- Shi, Q.; Wang, Z.; Zhu, J. Developing Collaborative Driving Mechanism of Prefabricated Buildings Using Multiagent Stochastic Evolutionary Game. J. Constr. Eng. Manag. 2024, 150, 04024050. [Google Scholar] [CrossRef]
- Park, S.; Yu, H.; Menassa, C.C.; Kamat, V.R. A Comprehensive Evaluation of Factors Influencing Acceptance of Robotic Assistants in Field Construction Work. J. Manag. Eng. 2023, 39, 04023010. [Google Scholar] [CrossRef]
- Okonkwo, C.; Liang, X.; Rasheed, U.; Awolusi, I.; Cai, J.; Wibranek, B. Construction Worker Workload Assessment for Human-Human versus Human-Robot Collaboration in Wood Assembly. In Proceedings of the Computing in Civil Engineering 2023, Corvallis, OR, USA, 25–28 June 2023; pp. 322–330. [Google Scholar]
- Wang, X.; Veeramani, D.; Dai, F.; Zhu, Z. Context-aware hand gesture interaction for human–robot collaboration in construction. Comput.-Aided Civ. Infrastruct. Eng. 2024, 39, 3489–3504. [Google Scholar] [CrossRef]
- Wu, G.; Yang, R.; Li, L.; Bi, X.; Liu, B.; Li, S.; Zhou, S. Factors influencing the application of prefabricated construction in China: From perspectives of technology promotion and cleaner production. J. Clean. Prod. 2019, 219, 753–762. [Google Scholar] [CrossRef]
- Wang, Y.; Chen, L.; Li, Y.; Chen, C.; Zhuang, J. Incentive strategy of safe and intelligent production in assembled steel plants from the perspective of evolutionary game. Sci. Rep. 2023, 13, 15. [Google Scholar] [CrossRef]
- Zhu, J.; Zhang, C.; Wang, S.; Yuan, J.; Li, Q. Evolutionary Game Analysis of Construction Workers’ Unsafe Behaviors Based on Incentive and Punishment Mechanisms. Front. Psychol. 2022, 13, 907382. [Google Scholar] [CrossRef]
- Xing, M.; Cao, J.; Cao, D. Impacts of Policy Mix Comprehensiveness on BIM Implementation: Moderating Effects of Environmental State and Response Uncertainty. J. Constr. Eng. Manag. 2023, 149, 04022171. [Google Scholar] [CrossRef]
- An, X.; Ren, S.; Wang, L.; Huang, Y. Evolutionary game analysis of collaborative application of BIM platform from the perspective of value co-creation. Eng. Constr. Archit. Manag. 2024, 32, 4458–4474. [Google Scholar] [CrossRef]
- Si, Y.; Yang, Y.; Shao, Z. Green Building Design and Sustainable Development Optimization Strategy Based on Evolutionary Game Theory Model. Sustainability 2025, 17, 2649. [Google Scholar] [CrossRef]
- Chen, W.; Yang, Z.; Yan, H.; Zhao, Y. How to reduce construction risks in rural areas: An evolutionary game analysis. Eng. Constr. Archit. Manag. 2024, 32, 4495–4521. [Google Scholar] [CrossRef]
- Wan, X.; Liu, J.; Zhao, S. Evolutionary game study on the governance and development of online car-hailing based on blockchain technology. Sci. Rep. 2022, 12, 9388. [Google Scholar] [CrossRef]
- Pi, B.; Deng, L.J.; Feng, M.; Perc, M.; Kurths, J. Dynamic Evolution of Complex Networks: A Reinforcement Learning Approach Applying Evolutionary Games to Community Structure. IEEE Trans. Pattern Anal. Mach. Intell. 2025, 1–18, Early Access. [Google Scholar] [CrossRef] [PubMed]
- Sehwag, U.M.; McAvoy, A.; Plotkin, J.B. Collective artificial intelligence and evolutionary dynamics. Proc. Natl. Acad. Sci. USA 2025, 122, e2505860122. [Google Scholar] [CrossRef]
- Gokhale, C.S.; Traulsen, A. Evolutionary Multiplayer Games. Dyn. Games Appl. 2014, 4, 468–488. [Google Scholar] [CrossRef]
- Cheng, L.; Peng, P.; Lu, W.; Sun, J.; Wu, F.; Shi, M.; Yuan, X.; Chen, Y. The evolutionary game equilibrium theory on power market bidding involving renewable energy companies. Int. J. Electr. Power Energy Syst. 2025, 167, 110588. [Google Scholar] [CrossRef]
- Fontaneda, I.; Camino López, M.A.; González Alcántara, O.J.; Greiner, B.A. Construction Accidents in Spain: Implications for an Aging Workforce. BioMed Res. Int. 2022, 2022, 9952118. [Google Scholar] [CrossRef]
- Hasan, A.; Baroudi, B.; Elmualim, A.; Rameezdeen, R. Factors affecting construction productivity: A 30 year systematic review. Eng. Constr. Archit. Manag. 2018, 25, 916–937. [Google Scholar] [CrossRef]
- Jian, F.; Liu, Q.; Feng, C.; Hu, Q.; Yu, Q.; Guo, Q. Critical Factors Affecting Construction Labor Productivity: A Systematic Review and Meta-Analysis. Buildings 2025, 15, 2463. [Google Scholar] [CrossRef]
- Marinelli, M. From industry 4.0 to construction 5.0: Exploring the path towards human–robot collaboration in construction. Systems 2023, 11, 152. [Google Scholar] [CrossRef]
- Albeaino, G.; Gheisari, M.; Issa, R.R. Human-drone interaction (HDI): Opportunities and considerations in construction. In Automation and Robotics in the Architecture, Engineering, and Construction Industry; Springer: Cham, Switzerland, 2022; pp. 111–142. [Google Scholar]
- Ekanayake, B.; Wong, J.K.-W.; Fini, A.A.F.; Smith, P. Computer vision-based interior construction progress monitoring: A literature review and future research directions. Autom. Constr. 2021, 127, 103705. [Google Scholar] [CrossRef]
- Reja, V.; Pradeep, M.; Varghese, K. A systematic classification and evaluation of automated progress monitoring technologies in construction. In Proceedings of the ISARC International Symposium on Automation and Robotics in Construction, Bogotá, Colombia, 13–15 July 2022; pp. 120–127. [Google Scholar]
- Wu, Z.; Liao, Q.; Chen, K.; Antwi-Afari, M.F.; Chen, Y.; Bao, Z. A systematic review of digital auxiliary technologies enabling human-robot collaboration in construction. Eng. Constr. Archit. Manag. 2025. [Google Scholar] [CrossRef]
- Wei, H.-H.; Zhang, Y.; Sun, X.; Chen, J.; Li, S. Intelligent robots and human-robot collaboration in the construction industry: A review. J. Intell. Constr. 2023, 1, 1–12. [Google Scholar] [CrossRef]
- Chen, Z.; Zhao, Y.; Zhou, X.; Hao, S.; Li, J. Identifying the risk factors and their interactions of human–robot collaboration implementation during engineering project construction: Evidence from China. Eng. Constr. Archit. Manag. 2022, 30, 3073–3094. [Google Scholar] [CrossRef]
- Saka, N.; Olanipekun, A.O.; Omotayo, T. Reward and compensation incentives for enhancing green building construction. Environ. Sustain. Indic. 2021, 11, 100138. [Google Scholar] [CrossRef]
- Giel, B.K.; Issa, R.R.A. Return on Investment Analysis of Using Building Information Modeling in Construction. J. Comput. Civ. Eng. 2013, 27, 511–521. [Google Scholar] [CrossRef]
- Zhang, G.; Luo, X.; Zhang, L.; Li, W.; Wang, W.; Li, Q. A Framework of Indicators for Assessing Team Performance of Human–Robot Collaboration in Construction Projects. Buildings 2025, 15, 2734. [Google Scholar] [CrossRef]
- Siegele, D.; Emig, J.; Slongo, C.; Matt, D.T. Advancing Construction Efficiency Through Collaborative Robotics: A Scalable Multi-agent-Based Logistics Solution. In Construction Logistics, Equipment, and Robotics; Springer: Cham, Switzerland, 2024; pp. 176–183. [Google Scholar]
- Garcia, R.B. Establishing an On-Site Construction Pilot for Collaboration Between Humans and Heavy-Duty Robots. In Proceedings of the 3rd Future of Construction Workshop at the International Conference on Robotics and Automation (ICRA 2024), Yokohama, Japan, 13–17 May 2024; pp. 1–4. [Google Scholar]
- Eriksson, T.; Poulsen, A.; Villeval, M.C. Feedback and incentives: Experimental evidence. Labour Econ. 2009, 16, 679–688. [Google Scholar] [CrossRef]
- Zhao, N.; Hong, J.; Lau, K.H. Impact of supply chain digitalization on supply chain resilience and performance: A multi-mediation model. Int. J. Prod. Econ. 2023, 259, 108817. [Google Scholar] [CrossRef]
- Jia, C.; Zhang, R.; Wang, D. Evolutionary Game Analysis of BIM Adoption among Stakeholders in PPP Projects. Complexity 2021, 2021, 5553785. [Google Scholar] [CrossRef]
- Gosling, J.; Naim, M.; Towill, D. Identifying and Categorizing the Sources of Uncertainty in Construction Supply Chains. J. Constr. Eng. Manag. 2013, 139, 102–110. [Google Scholar] [CrossRef]
- Childerhouse, P.; Towill, D.R. Reducing uncertainty in European supply chains. J. Manuf. Technol. Manag. 2004, 15, 585–598. [Google Scholar] [CrossRef]
- Aitken, J.; Childerhouse, P.; Deakins, E.; Towill, D. A comparative study of manufacturing and service sector supply chain integration via the uncertainty circle model. Int. J. Logist. Manag. 2016, 27, 188–205. [Google Scholar] [CrossRef]
- Towill, D.R.; Childerhouse, P.; Disney, S.M. Integrating the automotive supply chain: Where are we now? Int. J. Phys. Distrib. Logist. Manag. 2002, 32, 79–95. [Google Scholar] [CrossRef]
- Zhang, N.; Lu, K.B. The evolutionary game and simulation of key players in the green supply chain of construction industry. Mod. Supply Chain. Res. Appl. 2022, 4, 223–237. [Google Scholar] [CrossRef]
- Liu, J.; Ma, G. Study on incentive and supervision mechanisms of technological innovation in megaprojects based on the principal-agent theory. Eng. Constr. Archit. Manag. 2020, 28, 1593–1614. [Google Scholar] [CrossRef]
- Xiang, Q.; Jing, Z.; Ruwen, T.; Minjiu, Y. Incentive Regulation of Construction Waste Resource Recycling: Subsidy and Tax Incentive. Math. Probl. Eng. 2022, 2022, 8333438. [Google Scholar] [CrossRef]
- Wang, Y.; Chen, L.; Zhuang, J.; Li, Y. Research on Excessive Revenue Distribution and Incentive Mechanism of Transportation PPP Projects from the Perspective of Fairness Preference. J. Transp. Econ. Policy 2024, 58, 99–126. [Google Scholar]
- Wang, Y.; Hu, Y.; Zhuang, J.; Xu, H. Tripartite Evolution Game of Intelligent Carbon Reduction Transformation in the Construction Industry: A Comparative Analysis of Carbon-Tax Incentives and Financial Subsidies. J. Constr. Eng. Manag. 2025, 151, 04025137. [Google Scholar] [CrossRef]
- Sun, C.; Wang, M.; Man, Q.; Wan, D. Research on the BIM Application Mechanism of Engineering-Procurement-Construction Projects Based on a Tripartite Evolutionary Game. J. Constr. Eng. Manag. 2023, 149, 04022182. [Google Scholar] [CrossRef]
- Meng, Q.; Liu, Y.; Li, Z.; Wu, C. Dynamic reward and penalty strategies of green building construction incentive: An evolutionary game theory-based analysis. Environ. Sci. Pollut. Res. 2021, 28, 44902–44915. [Google Scholar] [CrossRef]
- Jiang, X.; Sun, H.; Lu, K.; Lyu, S.; Skitmore, M. Using evolutionary game theory to study construction safety supervisory mechanism in China. Eng. Constr. Archit. Manag. 2022, 30, 514–537. [Google Scholar] [CrossRef]
- Wu, F.; Xu, H.; Sun, K.-S.; Hsu, W.-L. Analysis of Behavioral Strategies of Construction Safety Subjects Based on the Evolutionary Game Theory. Buildings 2022, 12, 313. [Google Scholar] [CrossRef]
- Villena, M.G.; Villena, M.J. Evolutionary Game Theory and Thorstein Veblen’s Evolutionary Economics: Is EGT Veblenian? J. Econ. Issues 2004, 38, 585–610. [Google Scholar] [CrossRef]
- Hou, Y.; Ong, Y.S.; Feng, L.; Zurada, J.M. An Evolutionary Transfer Reinforcement Learning Framework for Multiagent Systems. IEEE Trans. Evol. Comput. 2017, 21, 601–615. [Google Scholar] [CrossRef]
- Falniowski, F.; Mertikopoulos, P. On the discrete-time origins of the replicator dynamics: From convergence to instability and chaos. Int. J. Game Theory 2025, 54, 7. [Google Scholar] [CrossRef]
- Gao, Y.; Jia, R.; Yao, Y.; Xu, J. Evolutionary Game Theory and the Simulation of Green Building Development Based on Dynamic Government Subsidies. Sustainability 2022, 14, 7294. [Google Scholar] [CrossRef]
- Liu, Q. Asymmetric Evolutionary Game Analysis of Building Information Modeling (BIM) Technology Diffusion. Adv. Civ. Eng. 2021, 2021, 4464737. [Google Scholar] [CrossRef]
- Dou, Y.; Sun, X.; Ji, A.; Wang, Y.; Xue, X. Development strategy for prefabricated construction projects: A tripartite evolutionary game based on prospect theory. Eng. Constr. Archit. Manag. 2021, 30, 105–124. [Google Scholar] [CrossRef]
- Yuan, M.; Li, Z.; Li, X.; Li, L.; Zhang, S.; Luo, X. How to promote the sustainable development of prefabricated residential buildings in China: A tripartite evolutionary game analysis. J. Clean. Prod. 2022, 349, 131423. [Google Scholar] [CrossRef]
- Wang, Y.; Zhuang, J.; Lai, R.; Chen, L. A Tripartite Governance Strategy for Infrastructure REITs Considering Tax Incentives and Antiavoidance Regulations. J. Constr. Eng. Manag. 2024, 150, 13. [Google Scholar] [CrossRef]
- Chen, Y.; Zeng, Q.; Zheng, X.; Shao, B.; Jin, L. Safety supervision of tower crane operation on construction sites: An evolutionary game analysis. Saf. Sci. 2022, 152, 105578. [Google Scholar] [CrossRef]
- Narbaev, T.; Hazır, Ö.; Agi, M. A Review of the Use of Game Theory in Project Management. J. Manag. Eng. 2022, 38, 03122002. [Google Scholar] [CrossRef]
- Li, X. Evolutionary Game Analysis of Green Building Development Dynamic System under Government Regulation: From the Perspective of the Contractor. Math. Probl. Eng. 2022, 2022, 1987229. [Google Scholar] [CrossRef]
- Xue, Y.; Liu, F.; Wang, G.; Shao, J. Research on Strategy Evolution of Contractor and Resident in Construction Stage of Old Community Renovation Project. Sustainability 2023, 15, 1650. [Google Scholar] [CrossRef]
- Huang, Z.; Fan, H. A Novel Quantitative Model for Determining Subsidy Levels to Accelerate the Replacement of In-Use Construction Equipment for Emissions Reduction. J. Manag. Eng. 2022, 38, 04021100. [Google Scholar] [CrossRef]
- Khalid, U.; Sagoo, A.; Benachir, M. Safety Management System (SMS) framework development—Mitigating the critical safety factors affecting Health and Safety performance in construction projects. Saf. Sci. 2021, 143, 105402. [Google Scholar] [CrossRef]
- Hanna Awad, S.; Taylor Craig, S.; Sullivan Kenneth, T. Impact of Extended Overtime on Construction Labor Productivity. J. Constr. Eng. Manag. 2005, 131, 734–739. [Google Scholar] [CrossRef]
- Johari, S.; Jha Kumar, N. Interrelationship among Belief, Intention, Attitude, Behavior, and Performance of Construction Workers. J. Manag. Eng. 2020, 36, 04020081. [Google Scholar] [CrossRef]
- Madeira, J. Overtime Labor, Employment Frictions, and the New Keynesian Phillips Curve. Rev. Econ. Stat. 2014, 96, 767–778. [Google Scholar] [CrossRef]
- Geng, X.; Lv, L.; Wang, Y.; Sun, R.; Wang, X. Evolutionary Game Research on Green Construction Considering Consumers’ Preference under Government Supervision. Int. J. Environ. Res. Public Health 2022, 19, 16743. [Google Scholar] [CrossRef]
- Feng, D.; Klaus, B. Preference revelation games and strict cores of multiple-type housing market problems. Int. J. Econ. Theory 2022, 18, 61–76. [Google Scholar] [CrossRef]
- Li, J.; Kendall, G.; John, R. Computing Nash Equilibria and Evolutionarily Stable States of Evolutionary Games. IEEE Trans. Evol. Comput. 2016, 20, 460–469. [Google Scholar] [CrossRef]
- Cheng, B.; Wei, Y.; Zhang, W.; Zhou, X.; Chen, H.; Huang, L.; Huang, J.; Kang, X. Evolutionary Game Simulation on Government Incentive Strategies of Prefabricated Construction: A System Dynamics Approach. Complexity 2020, 2020, 8861146. [Google Scholar] [CrossRef]
- Liu, K.; Liu, Y.; Zhou, H.; Kou, Y.; Ji, Q.; Li, D. Evolutionary game and numerical simulation of participants’ collaborative behavior in integrated project delivery project. Alex. Eng. J. 2021, 60, 373–385. [Google Scholar] [CrossRef]
- Zhang, Y.; Yi, X.; Li, S.; Qiu, H. Evolutionary game of government safety supervision for prefabricated building construction using system dynamics. Eng. Constr. Archit. Manag. 2022, 30, 2947–2968. [Google Scholar] [CrossRef]
- Zhang, R.; Li, L. Research on Evolutionary Game and Simulation of Information Sharing in Prefabricated Building Supply Chain. Sustainability 2023, 15, 9885. [Google Scholar] [CrossRef]
Disclaimer/Publisher’s Note: The statements, opinions and data contained in all publications are solely those of the individual author(s) and contributor(s) and not of MDPI and/or the editor(s). MDPI and/or the editor(s) disclaim responsibility for any injury to people or property resulting from any ideas, methods, instructions or products referred to in the content. |
© 2025 by the authors. Licensee MDPI, Basel, Switzerland. This article is an open access article distributed under the terms and conditions of the Creative Commons Attribution (CC BY) license (https://creativecommons.org/licenses/by/4.0/).







