Abstract
This study examines 3256 Chinese A-share-listed companies from 2011 to 2022 to investigate the facilitative role and impact mechanism of industry–university–research (IUR) integration on corporate green technology innovation (GTI). The findings indicate that (1) the collaboration among IUR substantially enhances enterprises’ GTI, and this conclusion remains robust following various tests; (2) the integration of IUR can enhance GTI by mitigating managerial myopia and augmenting media attention; (3) integrating IUR into state-owned enterprises (SOEs) and large enterprises (LEs) has a stronger role in promoting GTI, according to a heterogeneity test; (4) further research shows that the impact of the depth and breadth of IUR cooperation on GTI presents an inverted U-shaped relationship from the promotion effect to the inhibition effect.
1. Introduction
In the context of global industrialization, several environmental issues, including severe weather and ecological environment degradation, not only threaten the ecological balance of nature but also adversely affect the political economy and other aspects of human society, which forces countries worldwide to acknowledge and defend the challenges brought about by environmental problems [1]. As traditional technologies and methods have been unable to solve these problems effectively [2], advanced green technologies have increasingly emerged as a crucial method for addressing environmental issues and fostering sustainable development. Their importance has become increasingly prominent. In recent years, China has prioritized green technology innovation (GTI), and the 19th CPC National Congress report explicitly stated the task requirements for building a market-oriented GTI system. The 20th CPC National Congress report outlined plans to enhance the ability of GTI and accelerate the development and spread of innovative, energy-efficient, and carbon-reduction technologies. The Third Plenary Session report of the 20th Party Central Committee emphasized supporting the manufacturing sector’s upscale, wise, and environmentally friendly growth and supporting enterprises to use digital intelligence technology and green technology to transform and upgrade traditional industries. GTI considers economic and environmental benefits and emphasizes technological breakthroughs [3]; it can drastically cut carbon emissions in the area [4,5], reduce resource consumption and environmental pollution, improve energy efficiency [6], and is the cornerstone of economic growth [7]. However, promoting GTI more effectively remains a complex problem. Currently, GTI faces many challenges, including an imperfect management system, a shortage of financial resources [8], imperfect market development [9], and the linkage bottleneck in the coordination mechanism. These problems not only limit the development speed and technical depth of GTI but also require that the promotion of GTI crosses a higher threshold and has a more substantial research and development capability [10]. In this complex situation, it is difficult for a single entity to cope with the difficulties and challenges of GTI [11], and multiple participants must cooperate to solve the problem. Therefore, enterprises expect to solve these challenges through the active policy support of the government and the technical assistance provided by scientific research institutions and universities. Strengthening the integration of IUR has become crucial for encouraging the expansion of businesses’ GTI, and the research on the integration of IUR has a significant impact on GTI.
By establishing an industry–university–research (IUR) integration system, collaborative enterprises, universities, and research institutions can address the challenges in GTI and advance its development. In this process, enterprises are market discerners and practitioners of innovation, able to provide market-relevant information and financial support for GTI [12]. Colleges and universities, as centers for knowledge dissemination [13], can conduct research on the theoretical foundations of GTI and develop advanced technical talent pertinent to technological innovation (TI) [14]. As research and development institutions, scientific research institutions can conduct research and development of key technologies of GTI and breakthroughs in key issues of GTI [15]. As an innovative model, the integration of IUR combines the cooperation of the three institutions, and its advantages are mainly reflected in the transformation of results, resource integration, and improvement in economic benefits [16]. Explicitly speaking, first of all, the integration of IUR can solve the application problem of the transformation of innovative achievements. In the process of tripartite cooperation, innovation results can be quickly transferred from the laboratories of universities and scientific research institutions to the market, which ensures that the scientific research results are highly matched with the market demand so that they can be applied more accurately. Secondly, integrating IUR can effectively promote the integration of resources, thereby helping enterprises to innovate. The integration of IUR effectively integrates the resources of IUR and forms innovation synergy through resource integration and complementarity, assisting enterprises to break through innovation difficulties and overcome their capacity limitations [17] to increase businesses’ abilities to independently innovate. The innovation outcomes produced by the collaboration of IUR can enhance the industrial structure and stimulate the advancement of associated sectors. The integration of IUR enables innovative scientific research results to be continuously transformed into productive forces, thereby forming a virtuous cycle, continuously giving back and promoting innovative development, driving the growth of related industries and modernizing the industrial structure, producing significant financial gains, and constantly enhancing inventive outcomes [18]. Although the existing research has affirmed the value of the integration of IUR for overall innovation, there is a lack of dedicated discussions on GTI. Moreover, most of the existing studies explain the cooperative effect from the perspective of technological improvement, paying less attention to its action path and the degree of cooperation. Therefore, this research addresses three inquiries: (1) From the overall perspective, can integrating IUR significantly promote GTI? (2) From the perspective of the mechanism of action, does the integration of IUR indirectly promote GTI through mechanisms such as external supervision and internal governance? (3) From the perspective of the cooperation mechanism, what is the relationship between the depth and breadth of the integration of IUR and GTI?
To reveal the internal mechanism by which the integration of IUR influences GTI, this paper constructs a multi-dimensional theoretical framework that encompasses internal capabilities of enterprises, acquisition of external resources, and knowledge interaction among organizations. The analysis is mainly based on the resource-based theory and the knowledge absorption theory. The resource-based theory emphasizes that an enterprise’s competitive advantage stems from its possession of scarce, difficult-to-imitate, and difficult-to-replace resources [19]. From this perspective, inter-organizational cooperation is regarded as an important way for enterprises to acquire external resources, which can compensate for the limitations of a single organization in resource acquisition [20]. In the context of GTI facing high uncertainty and high investment, this resource complementarity is particularly important. At the same time, the knowledge absorption theory points out that resource acquisition itself cannot directly translate into innovation performance; enterprises also need to have the ability to effectively identify and absorb external knowledge in order to realize the transformation of resource input into innovation outcomes [21]. Especially in the field of GTI, where enterprises obtain key resources through the integration of IUR, whether they can truly promote innovation development largely depends on the enterprise’s ability to absorb and transform these resources. From the perspective of combining the resource-based theory and the knowledge absorption theory, both reveal the basic logic of cooperation in the process of achieving innovation from different dimensions. This logic indicates that the promotion effect of the integration of IUR on GTI is not a simple addition of resources but is based on the enterprise’s reasonable integration and efficient utilization of resources [22]. The resource-based theory explains why industries, universities, and research institutions (IUR) need to cooperate, and the knowledge absorption theory further answers the key question of whether cooperation can effectively drive innovation. The two complement each other and jointly constitute the core support of the theoretical analysis in this paper.
The marginal contribution of this paper is primarily evident in four aspects: Initially, from the standpoint of research, this paper discusses the role of IUR integration in GTI and emphasizes the synergistic effect of the joint action of enterprises, universities, and scientific research institutions, and compared with previous studies on the influence of these three independent roles on GTI, it is more comprehensive. This integrated perspective not only makes up for the deficiency of previous studies in viewing innovation subjects in a fragmented way but also reveals the manifestation of the integration of IUR as a key driving force, enriching the understanding of the driving mechanism of GTI. Secondly, regarding the research subject, most of the current research on GTI focuses on information disclosure, corporate performance, and other influencing factors while paying insufficient attention to the role and influence of stakeholders. By integrating IUR as the starting point, combined with media attention, this paper can more deeply analyze the driving mechanism affecting GTI. This research content fills the gap in the exploration of the driving mechanism of stakeholder interaction and provides a more microscopic and dynamic analytical dimension for understanding the complex driving system of GTI. Thirdly, from the perspective of the research dimensions, in terms of measuring the integration of IUR, the existing literature generally relies on a single quantitative indicator, such as the number of joint patent applications, which makes it difficult to reflect the quality and structural characteristics of cooperation. Based on the reasonable utilization of the number of joint patent applications, this paper measures two key dimensions: the depth and breadth of IUR cooperation, and it empirically examines their nonlinear impacts on GTI. This multi-dimensional and refined research breaks through the limitations of traditional single indicators and deepens the understanding of how the IUR cooperation model differentiates and influences the innovation effect. Finally, in terms of the research methods, this paper employs a nonlinear regression model to examine the inverted U-shaped influence relationship between the depth and breadth of IUR cooperation and GTI. Compared with the standard linear regression models studied in the existing literature, this method can capture more complex nonlinear correlations, thereby making the research more in-depth. This research method fills the gap in the existing literature for the empirical testing of the nonlinear relationship between IUR cooperation and GTI, providing an accurate quantitative analytical tool for understanding the optimal threshold of cooperation depth and breadth and its dynamic influence mechanism.
The frame diagram of the full text is shown in Figure 1.
Figure 1.
Research framework.
2. Literature Review
This article refers to the critical literature review framework of Battistella (2016) [23] and lists the previous literature reviews as shown in Table 1. Most of the previous literature separately discuss the relationship between IUR and GTI; therefore, this article conducts a literature review on GTI from the perspectives of I in IUR, U in IUR (including the combined perspectives of I and U), and R in IUR (including the perspectives of I, U, and R).
Table 1.
Review of previous literature.
2.1. GTI from the Perspective of I in IUR
Businesses usually have a significant influence on GTI because they are the leading organization of GTI. Currently, enterprise GTI research focuses on the driving elements, which can be divided into two categories: internal and external driving factors:
(1) Internal factors: The existing literature proposes that digital transformation and financing constraints are internal factors affecting GTI. On the one hand, the digital revolution has an uneven effect on GTI, and it has a more substantial incentive effect on state-owned enterprises (SOEs), large enterprises (LEs), and non-heavy-polluting enterprises. Initially, digital transformation encourages GTI by boosting government green subsidies and company R&D expenditure, which has a more significant effect on SOEs than non-state-owned enterprises (NSOEs) [30]. Secondly, digital transformation promotes GTI through knowledge sharing, and this impact is influenced by the size of the organization, with larger organizations being more affected [31]. Finally, the lack of environmental awareness in heavily polluting industries leads to poor project quality control, which makes digital transformation less effective at promoting GTI than enterprises in non-heavily polluting industries [32]. On the other hand, most studies on the connection between GTI and financing constraints concentrate on how these restrictions moderate the effects of different factors on GTI. For instance, the merging of the digital and real economies is encouraged by digital transformation [33] and digital technology and traditional financial services [24], which effectively alleviates financing constraints and further improves the green innovation (GI) capabilities of enterprises. In addition, the CEO’s social capital [34], cross-shareholding between the legal subsidiary and parent company [35], and the firm’s occupation of a core position or strategic node in the social network [36] can also alleviate financing constraints and have a positive effect on enterprise GTI.
(2) External factors: Most studies focus on the environmental regulation level [37]. Environmental legislation can encourage GTI and is crucial in closing the gap between green and non-green technology [25]. Key components such as environmental regulation, justice, and legislation can also significantly improve enterprises’ GTI levels. For example, environmental regulation has a compensatory effect on GTI. As the level of environmental regulation changes from low to high, the impact on R&D efficiency presents an inverted U shape [38]. Environmental justice is a powerful environmental legislation that greatly enhances businesses’ GTI [39]. Environmental legislation has improved the environmental awareness of senior managers and increased cash holdings, thereby enhancing GI [40]. Enterprise innovation benefits from these policy connections created by environmental restrictions [41]; however, depending on these connections is insufficient to boost businesses’ capacities for innovation. To increase the effectiveness and quality of innovation, academia and industry must complement each other. This calls for close cooperation between academic institutions and private businesses and specific support from policymakers to foster productive connections and spur innovation development [42].
To sum up, as the main body of IUR cooperation, industries (I) mostly approach GTI research from internal and external driving factors, demonstrating their attention to mechanisms such as resource acquisition and attention allocation, and forming specific collaborative relationships with universities (U).
2.2. GTI from the Perspective of U in IUR
Colleges and universities are the key forces in the promotion of technological progress and innovation and play an essential role in GTI. The research on GTI from the perspective of universities mainly comes from the two perspectives of higher education and personnel training. Higher education can help China’s economy shift from being driven by factors to being driven by innovation and lessen the detrimental effects of natural resources on sustainable economic development [43]. The contribution of higher education to GI is reflected in three dimensions: technological development, economic growth, and knowledge transformation. Specifically, in terms of the first dimension, higher education and research institutions can promote the in-depth exploration of science and technology and stimulate the vitality of innovation, thereby effectively promoting the development of cleaner technologies and processes [26] and reducing carbon emissions [32,44]. Second, higher education is a crucial component of green development since it fosters technical innovation and supports it, both of which favor economic growth [45]. Third, higher education provides the inexhaustible impetus for innovative activities through the production and transformation of knowledge [46]. The academics now working on this topic are primarily focused on the human capital component of talent training, which includes health and green education and the general level of human capital. Human capital related to health education indirectly or directly affects GTI through the training of high-quality talents, enhancing green environmental awareness, improving labor efficiency, and other means [47]. The overall human capital level can affect the ability of GTI to translate into actual environmental benefits. Still, its index needs to reach a certain level to effectively regulate the impact of GTI on the ecological footprint [48]. Green human capital positively affects GTI [49] by encouraging entrepreneurs’ green behaviors and enhancing firms’ capabilities [50].
To sum up, as the main body of IUR cooperation, universities (U) have mostly explored GTI from the perspectives of higher education and talent cultivation in their current research, and this demonstrates their significant role as providers of knowledge and technology as well as sources of resources.
2.3. GTI from the Perspective of R in IUR
As one of the central bodies of IUR cooperation, scientific research institutions are closely related to GTI. The existing literature mainly starts in two parts: one discusses the independent role of scientific research institutions, and the other discusses them as part of the main body of IUR combined with universities and enterprises. From the perspective of the independent role of scientific research institutions, through direct or indirect knowledge cooperation, they can reduce the R&D cycle and generate spillover value [51], such as increases in knowledge production technology facilities and knowledge bases [28], which helps to enhance the GTI capabilities of enterprises. At the same time, random errors and environmental circumstances impact scientific research institutions’ creative promotion role [52]. On the one hand, as for environmental factors, a supportive policy environment, healthy economic environment, and good social and cultural environment can create a better atmosphere for innovation, help stimulate the creativity of researchers, and encourage scientific research institutions to give full play to their research and development capabilities, which will bring benefits to TI. On the other hand, random errors occur in the research of scientific research institutions, and the accumulation of random errors requires R&D personnel to spend more time adjusting the equipment, which leads to more significant costs and efforts for innovation in scientific research institutions, thereby reducing the efficiency of TI. From the perspective of the cooperation impact of scientific research institutions, combining enterprises and universities will first affect the innovation performances and participation of scientific research institutions and then ultimately affect GTI. Specifically, the scientific research and innovation performances of research institutions will be affected by the behavior of enterprises and universities in the collaboration network [53], and the incentive cost of talent training for enterprises and universities will affect the probability of TI training jointly conducted by the scientific research institutions of enterprises and universities [29]. Secondly, scientific research organizations can investigate the innovation requirements of different subjects in the innovation system, and they also affect the innovation of businesses and universities. Establishing significant hubs and networks for information feedback can reduce the asymmetry between the supply and demand of university resources in enterprises, allowing for the most efficient allocation of GTI resources [54].
In conclusion, as the main body of IUR cooperation, research institutions (R) play an independent role; however, their innovative effects are often explored within the framework of collaboration with industries (I) and universities (U), demonstrating their potential functions in behavior guidance and cooperative governance.
2.4. Literature Summary
In conclusion, even though current researchers have studied the integration of IUR and GTI in great detail, the following shortcomings remain: From a research standpoint, the majority of GTI studies solely concentrate on the three distinct IUR views, and this is not comprehensive enough to discuss the impact of GTI only from the perspective of their independent roles. In fact, given the increasing complexity of GTI, it is more influenced by the interaction of these agents. However, there are no studies from the perspective of IUR integration that integrate the roles of these three and explore their comprehensive impact on GTI in depth. Most of the literature on the influence of IUR on the GTI ability at the research object level uses macro-data at the provincial or regional level, which helps understand the overall trend and regional differences in promoting GTI by institutions in different provinces and regions. However, no literature uses data at the individual and industry levels; thus, the differences between various industries and individual institutions are ignored. As a result, the research is not detailed enough, and it is difficult to accurately reflect the specific behaviors and actual impacts of various institutions in the process of GTI.
3. Theoretical Analysis and Research Hypotheses
3.1. IUR Integration and GTI
The integration of IUR can enhance the GTI abilities of enterprises from many aspects, including resource sharing and integration, personnel training, risk reduction, technology transformation, research and development efficiency improvement, etc. These factors promote each other and work together to foster advancements in TI. To be specific, first of all, integrating IUR can encourage the sharing of resources among the three parties to achieve the effective use and distribution of resources. IUR has different advantageous resources, such as capital, talent, and technology [55]. Through the complete collaboration of the three parties, the exchange of information and the assimilation of knowledge are enhanced, resources are shared, and all parties can leverage the benefits of resource integration to compensate for their deficiencies in the innovation process. Given that GTI involves a wide range of fields and disciplines, this mode of cross-border resource sharing encourages different fields and disciplines to solve technical problems and thus enhances their innovation abilities jointly [56]. Secondly, integrating IUR can build a talent training system to train talents related to TI. Integrating production, learning, and research provides more learning platforms and opportunities for the personnel of IUR. Enterprises can have access to the most innovative scientific research findings, and the teachers, students, and personnel of universities and scientific research institutions have the opportunity to participate in the practical training provided by enterprises [57,58]. These activities not only stimulate the innovative consciousness of the three but also greatly expand the vision of the various personnel. Consequently, industry, academia, and research collaboration has progressively established an exemplary talent development system, ensuring a robust talent pool for GTI. Moreover, integrating IUR can reduce the risk level of innovation and share the benefits of innovation. Through IUR cooperation, IUR can jointly meet the challenges of GTI, share the resulting innovation risks, and share the benefits brought about by GTI [59]. In addition, through collaborative cooperation with all parties, enterprises can obtain the backing of the people and the government, which can help enterprises innovate green technology and thus reduce the cost and risk of GTI. Finally, integrating IUR can promote technology transformation and increase the output efficiency of creative accomplishments. In cooperation, enterprises have insight into the actual needs and market orientation. They can quickly put the theoretical results obtained by universities and scientific research institutions into practical production [60] to realize the transformation process from theory to practice. This model of collaboration among IUR can diminish time and labor expenses, allowing each entity to concentrate on its strengths, thereby facilitating the swift transformation of technological advancements, enhancing innovation efficiency, and advancing the progress of GTI.
Based on the previous analysis, this report suggests the following:
H1:
Enterprise GTI is positively impacted by the IUR partnership.
3.2. Analysis of the Mechanism of Promoting GTI Through the Integration of IUR
3.2.1. Internal Factors of Enterprise
- (1)
- Managerial myopia
When managers prioritize short-term financial advantages over long-term value solutions, this is known as managerial myopia. Managerial myopia has a significant impact on firms’ investment behavior, as it leads to lower technological content of R&D investments and narrower patent knowledge [61], increases firms’ financial and legal risks, undermines the image of firms’ social responsibility [62], significantly reduces firms’ information disclosure capabilities, and hinders firms’ promotion of GI [63]. Green finance and ESG ratings positively influence GTI. In contrast, managerial short-sightedness will impede the beneficial impact of green finance [64], which, as a potential influencing factor, makes it difficult to achieve substantial progress in GI [65]. It is a significant obstacle to achieving high ESG standards [66]. In summary, managerial myopia undermines the company’s technical capabilities, financial stability, and legal adherence while harming its reputation for social responsibility and its capacity for GI.
Managers’ short-sightedness will hurt GTI, so how to alleviate managers’ short-sightedness is a problem that enterprises must face. IUR cooperation can alleviate managers’ short-sightedness. The existing studies have found that the integration of IUR strengthens the transformation of scientific achievements through technology transfer, personnel training, and cooperative research and development and increases the conversion rate, which means that enterprises have a stronger right to speak in the market, which can promote managers to make long-term layout planning. Thus, managers can avoid short-sightedness [67]. Meanwhile, the ability of IUR cooperation to enhance the conversion rate of scientific achievements also means that more scientific research achievements can be transformed into products and services with market competitiveness, thereby providing enterprises with more innovation funds and forming a virtuous research and development cycle. Providing more adequate funds can make it so that managers are no longer limited by short-term financial pressure and allow them to consider more long-term development goals for their enterprises in the future [68], weakening their short-sightedness. Moreover, integrating IUR can enhance an enterprise’s reputation and allow it to establish a better brand image. To preserve the reputation and image brought about by IUR cooperation, managers will evaluate enterprise defects more strategically and prioritize long-term development over short-term interests, thereby mitigating managerial short-sightedness.
This paper proposes the following based on the preceding analysis:
H2:
IUR cooperation can improve enterprises’ GTI abilities by alleviating managers’ short-sightedness.
3.2.2. External Environment Factor
- (2)
- Media attention
Media attention has become a decisive factor in enterprise development and is a form of external governance. Media attention can stimulate enterprises’ enthusiasm for higher-quality information disclosure and raise the standard of corporate information disclosure overall [69]. This demonstrates how media attention can increase businesses’ commitment to upholding their environmental responsibilities while also improving the actual implementation level of enterprises in terms of ecological responsibility [70]. Simultaneously, media scrutiny encourages the involvement of regulatory and law enforcement bodies due to public opinion pressure, thereby positively influencing the risk-bearing capacities of enterprises [71,72] There is a favorable relationship between the progress of GTI and the levels of environmental responsibility awareness and risk-bearing capacities of enterprises [73]. Based on the positive correlation results, media attention can positively influence the GTI of enterprises and stimulate their innovation motivation.
The media will place greater emphasis on companies engaged in IUR cooperation. IUR cooperation is the in-depth cooperation among IUR. This cooperation mode has novelty, uniqueness, intense competitiveness, and high potential and can often produce a large number of valuable research and development results [74]. Therefore, IUR cooperation is highly topical and can attract media attention. Moreover, the government will consider stakeholders such as the media and the public when making decisions to fulfill sustainable development objectives and ideal governance [75]. This sustainability demand creates government support and encourages IUR cooperation. As stakeholders, the media pay high attention and attach importance to the government’s trends so that they will pay more attention to the IUR integration model supported and promoted by the government. Therefore, the cooperation between IUR will increase the media’s attention.
This paper proposes the following based on the preceding analysis:
H3:
IUR cooperation can promote GTI by raising media attention.
This study develops the framework for IUR integration’s influence on GTI, as shown in Figure 2, based on the theoretical framework, key determinants, and action paths.
Figure 2.
Influence mechanism of IUR integration on GTI.
4. Research Design
4.1. Specification of Model
Baseline Regression Model Setting
The subsequent baseline regression model is established to confirm the influence of IUR integration on enterprise GTI:
where represents the GTI of enterprise i in year t; represents the number of patents jointly applied for by core IUR; represents the intercept variable; represents a series of control variables; represents the fixed effect of industry; represents the fixed effect of time; and represents the random error term of the model.
To further examine the mechanism roles of managers’ short-sighted thinking and media attention in the integration of IUR and GTI, the mechanism testing model constructed is as follows:
is a variable for mechanism testing, including managers’ short-sightedness and media attention. represents a series of control variables, represents the industry fixed effects, represents the time fixed effects, and represents the random error term of the model. The subscripts i and t represent enterprises and years, respectively. Considering the possible heteroscedasticity issue, this paper uses the clustering standard error at the enterprise level for statistical analysis.
4.2. Set Variable
4.2.1. Explained Variable: IUR
Concerning the research of Liu Feiran (2020) [76], this paper measures the integration of IUR cooperation from the perspective of joint patent application. Based on the names of A-share-listed firms, the patent application status information of these listed companies was retrieved from the National Intellectual Property Administration website, and the joint patent applicants were screened according to three keywords: university, college, and research institute. After that, the invention patents jointly applied for by enterprises, universities, and scientific research institutions were defined as the result of IUR cooperation; if there was a result of IUR cooperation in the year, it was recorded as 1, and if there was no record, it was recorded as 0.
4.2.2. Variable Being Explained: GTI
There are many measurement methods for GTI. Based on the reference of previous empirical articles, this paper takes the number of green patent (GP) applications as the proxy variable of GTI concerning the research on GTI [77]. The total number of GP applications, the total number of patent applications for green inventions, and the number of green utility model patent applications were taken as the dependent variables, and a logarithm of 1 was added to measure the GTI levels of enterprises. To show enterprises’ GTI levels more intuitively, we drew the data graph of the Ln (1 + total number of GP applications) year distribution, as shown in Figure 3.
Figure 3.
GT1 age distribution from 2011 to 2022.
4.2.3. Control Variables
See Table 2 for details.
Table 2.
Primary variable definitions.
4.3. Data Sources
This study utilizes China’s A-share-listed companies as research samples from 2011 to 2022, as well as core explanatory variable integration data from the China State Intellectual Property Office website, explained variable enterprise GTI data from the China Research Data Service Platform (CNRDS), other data from the China Stock Market & Accounting Research Database (CSMAR), and listed company annual reports. The following was the exact technique for processing samples: (1) excluding financial companies and companies with ST, ST*, and PT in the current year; (2) after removing the samples with seriously missing data, 17,570 sample observations were finally obtained after screening.
5. Empirical Results and Analysis
5.1. Reference Regression
Table 3 reports the regression results of the effect of IUR integration on GTI. The results from columns 1 to 4 show that IUR integration has a significant promoting effect on GTI.
Table 3.
Benchmark regression.
5.2. Robustness Test
In this study, five methods were used to test robustness:
5.2.1. Endogenous Problem
To mitigate issues arising from sample selection bias, this study referenced the research conducted by Wang et al. (2023) [78]. It employed a tendentiousness-matching score (PSM) to solve the endogeneity problem in sample selection. The samples were divided into an experimental group and a control group (CG) according to whether or not the IUR group cooperated. Enterprises with IUR cooperation were the experimental group, and enterprises without IUR cooperation were the CG. The propensity-matching score was derived using the Size, Lev, ROA, FIXED, Growth, ListAge, Top1, and Tobin Q as covariates. The set logit model was used for regression, and one-to-one proximity matching and 0.05 calipers were used to limit the repeatability of matching. It can be seen from the results of the sample balance test that the p values after matching are all greater than 0.05, and the reduction in bias is about 90%. The results show that after matching, the difference in the variables between the CG and the treatment group (TG) was reduced, the bias was reduced, and the matching effect was better. This paper estimates the average processing effect of IUR integration on GTI based on the matched samples. It is found that the average treatment effect of IUR cooperation on GTI is positively significant at the level of 1%, indicating that the integration of IUR can significantly promote enterprises’ GTI, indicating that the empirical results are robust. The results are shown in Table 4 and Table 5.
Table 4.
PSM robustness test.
Table 5.
Estimates of average treatment effects.
5.2.2. Other Robustness Tests
(1) Substituting the measurement technique for elucidated variables: This study, referencing the study by Gao Zhilin et al. (2024) [79], modified the measurement approach for the explained variable of GTI, assigning weights of 0.6 to green invention patent applications and 0.4 to green utility model patent applications. The weighted average of these two indicators was calculated to determine the total number of new GP applications, after which 1 was added, and the logarithm was taken to derive a new enterprise GTI index. The findings are displayed in Table 6’s column (1). The promotional effect of IUR integration on GTI is still robust.
Table 6.
Replacement of measurement methods, change of sample interval, and robustness test of lagging variables.
(2) Changing the sample interval: Considering that the State Intellectual Property Office has modified the method of counting the number of GP applications since 2017, it may have affected the robustness of the baseline regression. Therefore, this study excluded the observed values in 2017 and estimated them based on the model. The results are shown in columns (2)–(4) of Table 6. The promotional effect of the integration of IUR on GTI is still robust.
(3) Reconsidering the lag effect: Because the output of GTI takes time, the impact of IUR integration on GTI should be sustainable. To confirm this conclusion, this paper adopted the GT1 of the t + 1 and t + 2 phases for regression, and the findings are presented in columns (5) and (6) of Table 6, where the regression coefficients for IUR stand at 0.262 and 0.287, respectively. Both values are statistically significant at the 1% level, underscoring the robustness of the results.
(4) The Heckman test: Due to the high requirement of the R&D ability for enterprises to enhance GTI, there is the phenomenon that some listed companies had zero patent application records in the research sample. If this group is ignored directly, estimating the impact of IUR integration on the probability of R&D success is difficult. In this paper, concerning Fang Xianming et al.’s (2023) [80] research, the Heckman test is adopted to investigate the sample selection problem. The specific model is as follows:
indicates whether enterprise i has innovation output in t + 1 year. Three dummy variables, GT1_dummy, GT2_dummy, and GT3_dummy, are set to indicate whether the value of the explained variables GT1, GT2, and GT3, respectively, is 0. F(⋅) is a probability distribution function. To ensure estimation efficiency, the virtual variable RD, which the second step does not include, is added to the first stage to measure whether the enterprise has R&D investment expenditure. The results are shown in Table 7. The Mills variable significantly indicates the existence of selection bias in the data. Still, it can be found that regardless of whether in the first-stage probit regression or the second-stage OLS regression, the coefficients of IUR on GT1 and GT2 remain unchanged, indicating that the integration of IUR has a promoting effect on GTI, and the conclusion is robust. At the same time, by observing columns (1), (3), and (5) in Table 7, it can be found that the regression coefficients of IUR for G1_dummy, GT2_dummy, and GT3_dummy are 0.356, 0.445, and 0.205, respectively, all of which are significant above 1%, indicating that IUR cooperation makes a breakthrough in GP from scratch. It shows that the collaboration of IUR can improve the probability of the success of R&D.
Table 7.
Heckman test.
5.3. Heterogeneity Test
This paper analyzes the effect of the heterogeneity of integrating IUR on GTI from two aspects: the enterprise scale and property correct attribute. Since the integration of IUR is a binary variable with only 0 and 1 values, this paper only draws a comparative statistical chart of GTI, as shown in Figure 4.
Figure 4.
Statistical comparison of GTI.
5.3.1. Enterprise Scale
Enterprise scale is an essential factor affecting enterprise GTI. Enterprises of different sizes have differences in their resource endowments, market positions, risk tolerances, and management structures, which directly affect their performances and strategies in GTI. Compared with small enterprises (SEs), LEs have a larger scale, more sufficient funds, more employees, more specialized and centralized departments, can adapt to more complex market environments, and have stronger innovation abilities. Although LEs also have problems with information transmission and innovation efficiency, SEs are limited by capital and workforce when dealing with environmental uncertainties. Even if they are highly willing to innovate, investing the same energy as LEs is difficult. Therefore, the relationship between IUR collaboration and GTI may be more pronounced in LEs.
This study defined the smallest 30% of listed companies as SEs and the most significant 30% as LEs. Then, (1) was re-estimated, and the Fisher combination test based on Bootstrapping was adopted, with the sampling times set to 1000 times to test the coefficient difference between groups. Table 8 shows the impact of IUR on GT1, GT2, and GT3 of LEs and SEs. By comparison, the effects of IUR integration on GTI present significant differences between groups. Columns (1)–(4) show that the regression coefficient of LEs is more critical than that of SEs (0.451 > 0.153, 0.448 > 0.152). Columns (5)–(6) indicate that the GT3 coefficient for LEs is significantly positive at the 1% level, whereas that for SEs is not significant. This suggests that integrating IUR has a more pronounced positive impact on GTI in LEs.
Table 8.
Heterogeneity test of firm size.
5.3.2. Characteristics of Property Right
The property rights of enterprises will also impact the relationship between IUR cooperation and GTI. This study divided the sample of enterprises into SOEs and NSOEs according to their property rights attributes, and the model (1) was re-estimated. Then, the Fisher combination test based on Bootstrapping was adopted, and the sampling times were set to 1000 times to test the coefficient difference between groups. The regression outcomes presented in columns (1)–(6) of Table 9 indicate that the regression coefficient for SOEs is markedly more significant than that for NSOEs (0.389 > 0.252, 0.381 > 0.253, 0.187 > 0.081). Therefore, it is believed that integrating IUR has a more significant promoting effect on GTI when enterprises are SOEs.
Table 9.
Property attribute heterogeneity test.
The empirical results are explained as follows: Compared with SOEs, NSOEs have certain disadvantages. SOEs have the advantages of government support and financing, while NSOEs face financial constraints and there are treatment differences in the financing process [81]. This means that NSOEs have more difficulty obtaining financing than SOEs, thereby affecting the investment of NSOEs in innovation. Moreover, SOEs have advantages in innovation coordination, implementation, and funding [82]. Therefore, when the enterprise is a state-owned one, the promoting effect of the integration of IUR on GTI will be more significant.
6. Mechanism Test
6.1. Managers’ Short-Sighted Mechanism
In light of Marginson and McAulay’s (2008) [83] discussion on the “short-termism” intertemporal trade-off imbalance theory, management tends to prioritize decisions that can yield returns in the near term while relatively neglecting investments that require continuous investment but are crucial to the long-term competitiveness and sustainable development of the enterprise (GTI). This preference reflects a suboptimal intertemporal trade-off that is detrimental to long-term outcomes. GTI usually has a long research and development cycle, high technological uncertainty, and delayed returns. If the management is trapped in short-termism, the corresponding investment is likely to be compressed or delayed. As an efficient model of knowledge transfer and collaborative innovation, IUR cooperation can extend project trials, share R&D risks, alleviate the short-sightedness of managers, and thereby promote improvement in the GTI performance through the close collaboration of the three institutions. Based on the study of Hu Nan et al. (2021) [84], integrated with the English “short-term vision” lexicon, characteristics of the MD&A Chinese dataset, and Word2Vec algorithm, this study selected 43 words that reflect managers’ “short-term vision”, such as “within days, months, years, and as soon as possible”. The ratio of these words’ frequency to the overall MD&A word count was determined using the dictionary method and multiplied by 100. Myopia measures how short-sighted managers are. Table 10 reports the results of the mechanism test. From column (1), we can see the regression results of IUR cooperation on managers’ short-sightedness. The significant and negative regression coefficient indicates that IUR cooperation can alleviate managers’ short-sightedness. As can be seen from columns (2)–(4), the coefficient of managers’ short-sightedness on GTI is significantly negative, indicating that managers’ short-sightedness will indeed hinder enterprises’ GTI. So, hypothesis 2 is true.
Table 10.
Test of managers’ short-sighted mechanism.
6.2. Media Attention Mechanism
The IUR integration model allows enterprises, universities, and research institutions to complement each other’s advantages and promotes knowledge sharing and technological breakthroughs. This novel and valuable cooperation model can arouse public interest and government attention, thereby increasing media attention. From the perspective of stakeholder theory, the media is not only an important channel for information dissemination but also amplifies the supervisory pressure from the public and the government on corporate behavior, making enterprises more vulnerable to the influence of different stakeholders [85]. Under higher exposure, enterprises face stronger external pressure to respond to the diverse and dynamic demands of stakeholders, thereby increasing investment in green technological innovation to safeguard their reputations and meet the requirements of sustainable development. From the perspective of the principal–agent theory, enterprises face risk-sharing conflicts between shareholders and managers in innovation investment. Managers tend to make conservative decisions due to the uncertainty and high risk of innovation [86]. However, media attention can serve as an external governance mechanism. Through open and transparent information disclosure and public opinion supervision, it can alleviate information asymmetry and force management to invest more resources in GTI. Meanwhile, media attention can improve the capital market’s perception of enterprises’ innovative investment, alleviate financing constraints, and enhance enterprises’ abilities to bear long-term risks. Therefore, the integration of IUR can enhance media attention and thus have a significant positive impact on GTI. This paper measures media attention by each company’s total annual media coverage plus a logarithm. Table 11 reports the results of the media attention mechanism test. As can be seen from column (1), the coefficient of IUR cooperation on media attention is significant and positive, indicating that IUR cooperation can enhance media attention. It can be seen from columns (2)–(4) that the regression coefficients of media attention on GT1, GT2, and GT3 are significantly positive, indicating that media attention can dramatically improve the GTI of enterprises and verifying hypothesis 3.
Table 11.
Media attention mechanism test.
7. Further Study
Depending on whether enterprises, universities, and research institutions (IUR) jointly apply for patents, the samples are divided into groups participating in IUR cooperation and groups not participating in IUR cooperation. The number of joint patent applications only represents the presence or absence of cooperation and cannot provide deeper information. To examine the effects of IUR integration on GTI in more detail, this paper refers to Liu Fei-ran’s study [87]. It measures the breadth of IUR cooperation by the number of different partners with enterprises and the depth of IUR cooperation by the total number of enterprises participating in IUR cooperation/the breadth of cooperation. The impact of IUR cooperation results on GTI is illustrated through the depth and breadth of cooperation. Considering that the effect of the depth and breadth of IUR cooperation on GTI may be nonlinear, this paper verifies the relationship between the variables through both linear and nonlinear models.
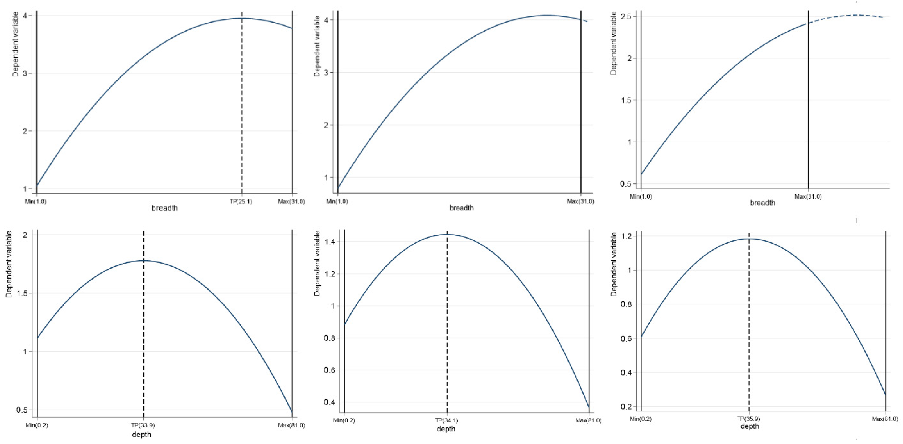
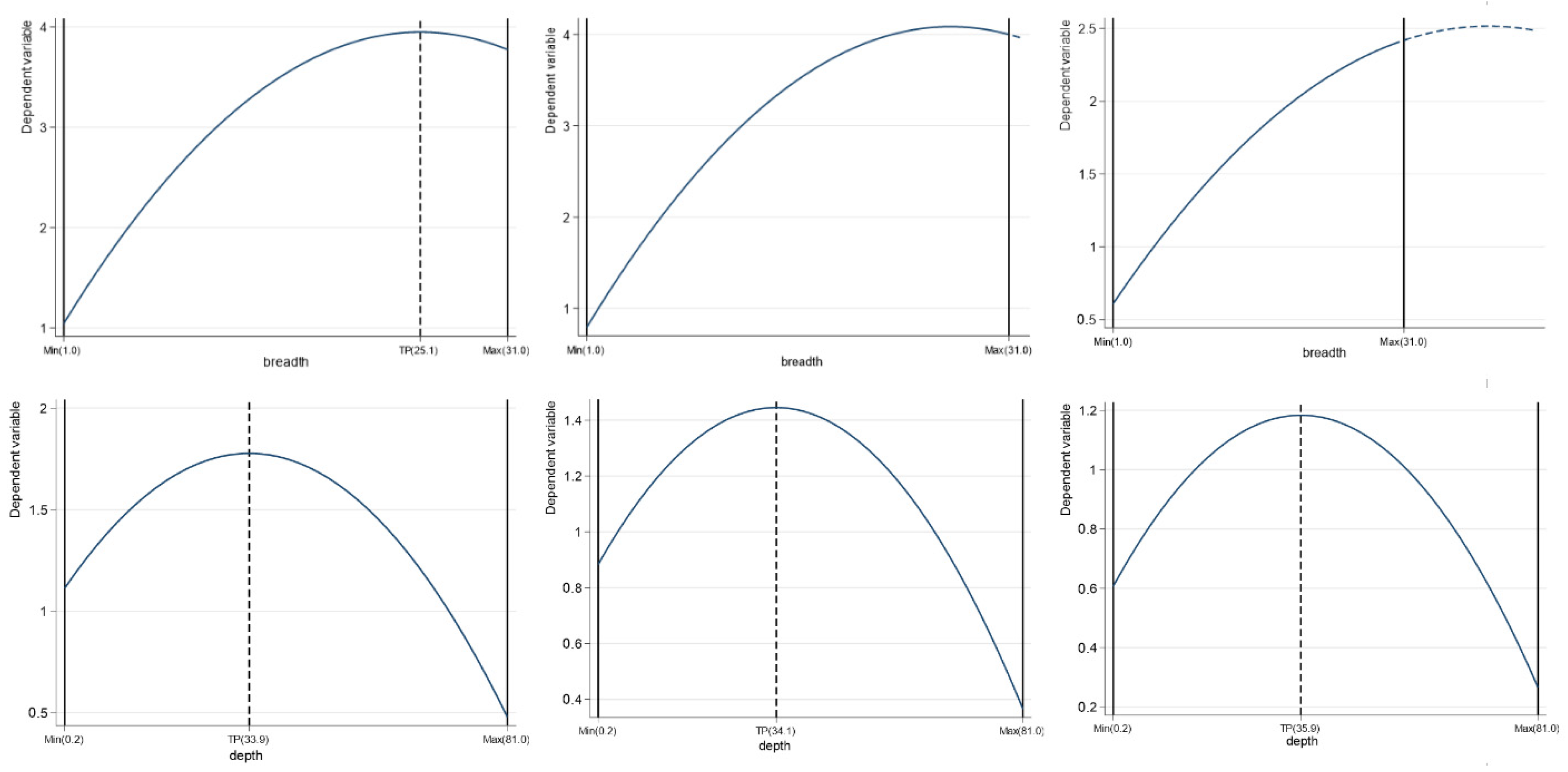
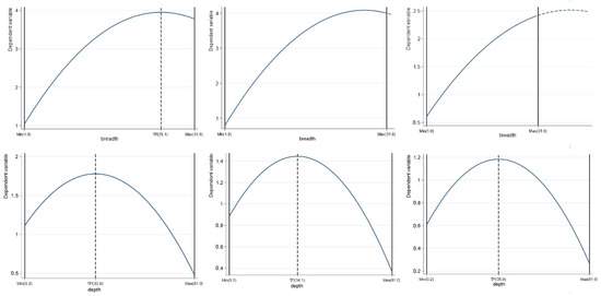
The influence of the depth and breadth of IUR cooperation on GTI is shown in Table 12. It was discovered that the breadth regression coefficients on GT1, GT2, and GT3 are positive and significant, while the square terms of the breadth and depth on GT1, GT2, and GT3 are negative and significant. To determine the breadthand depth of IUR cooperation, which has a nonlinear inverse U-shaped impact on GTI, a utest was conducted, and Figure 5 was drawn to show that the increase in the number of IUR partnerships and the deepening of cooperation have the effects of promoting and inhibiting GTI.
Table 12.
The impacts of the depth and breadth of IUR cooperation on GTI.
Figure 5.
The relationship between the depth and breadth of IUR and GTI. Note: TP is not marked if it failed the utest.
This paper believes that the empirical results show a relationship between promotion and inhibition because businesses must invest more money in personnel and material resources as the number of IUR partnerships grows. The depth of these partnerships increases, and such an increase in capital and manpower costs reduces the resources required for enterprise innovation, resulting in a decline in the level of enterprise GTI. At the same time, expanding the cooperation breadth and deepening the cooperation depth means that the participants are more diverse and the cooperation is closer. However, this may make it difficult for the partners’ interests to be reasonably distributed, affecting the enthusiasm of the partners and the stability of cooperation. Consequently, GTI is negatively impacted.
8. Discussion, Conclusions, and Enlightenment
8.1. Discussion
This study is based on the resource-based theory and the knowledge absorption theory, focusing on the impact of the integration of IUR on GTI. It particularly explores the mechanism of its effect and the nonlinear characteristics of cooperation. Firstly, the research results indicate that there is a significant positive correlation between the integration of IUR and GTI. This finding is consistent with the conclusions of Zhao et al. (2024) [27] and others regarding the promotion of innovation through IUR cooperation, and it expands the relevant research to the field of GTI, enriching the empirical basis of the IUR cooperation theory in environmental innovation.
Secondly, the research results indicate that the integration of IUR can enhance GTI by increasing media attention. The public trust and academic authority possessed by university research institutions make it so that the integration of IUR inherently has a high level of social visibility. In the context of highly sensitive green issues, frequent media exposure significantly amplifies the external reputation pressure on enterprises. This pressure prompts enterprises to invest more resources in green innovation to maintain their social image and respond to potential regulatory and risk challenges. This approach corroborates the research by Gao and Zhang (2025) [88] on the role of media opinion in serving as an environmental governance supervision function, and it further reveals that the cooperation between IUR is an important channel for triggering and strengthening such media supervision effects.
Again, the research results indicate that the integration of industry, academia, and research can reduce managers’ short-sightedness and thereby promote GTI. The integration of IUR enables managers to access cutting-edge green technology knowledge and long-term development concepts, prompting them to reduce their excessive focus on short-term financial indicators. This change in perception drives enterprises to adjust their internal governance structures, which is more conducive to the accumulation of green technologies, thereby creating a more favorable internal environment for GTI. This finding deepens the research conclusions of Li et al. (2024) [89] and others regarding the optimization of governance structures promoting long-term strategic investment, and it specifically clarifies the role of IUR integration in alleviating agency problems and guiding towards long-term orientation.
Finally, the research results indicate that the depth and breadth of the integration of IUR cooperation have an inverted U-shaped impact on GTI. This suggests that moderate cooperation can balance the diversity of knowledge and coordination efficiency, while excessive cooperation leads to resource dispersion and a decrease in innovation efficiency, thereby inhibiting GTI. This conclusion supports the viewpoint proposed by Murillo-Luna and Hernandez-Trasobares (2023) [90] that moderate cooperation is conducive to innovation, and it supplements the existing understanding by clearly stating that excessive cooperation will have negative effects in the specific context of GTI.
Therefore, this study not only confirmed the impact of the integration of industry–university–research on GTI but also systematically revealed the dual mechanism of external supervision and internal governance and the key nonlinear relationship, deepening the understanding of how IUR cooperation effectively empowers GTI. This study responds to the research by Loureiro et al. (2020) [91] on the mechanism of multi-party collaboration in promoting green innovation; explains how industry–university–research cooperation adjusts external supervision and internal strategies in the context of challenges faced by GTI, a point made by Zeng et al. (2023) [92]; and emphasizes the important role of Belderbos et al. (2004) [93] in the integration of resources and knowledge transfer in IUR cooperation.
8.2. Research Conclusions
Considering the key role of IUR integration and GTI in promoting sustainable development, a scientific assessment of the impact of IUR integration on GTI will help promote the popularization and application of green technology and help achieve China’s two-carbon goal. This study examined the heterogeneity of businesses with distinct attributes from the two aspects of enterprise size and property rights, and it empirically tested the effects of the mechanism of the integration of IUR on GTI using models like the intermediary effect based on data of A-share-listed companies from 2011 to 2022. The following are the primary conclusions: First, integrating IUR significantly promotes enterprises’ GTI levels. After conducting a series of robustness checks, the conclusion still holds. Secondly, the heterogeneity test shows that integrating IUR into LEs and SOEs has brought about a more substantial advancement in GTI. Moreover, integrating IUR mainly improves the enterprise’s GTI ability by alleviating managers’ short-sightedness and increasing media attention. Finally, the depth and breadth of IUR cooperation have a nonlinear effect on GTI. GTI exhibits a pattern of rising and falling in tandem with the expansion and strengthening of IUR collaboration.
8.3. Theoretical Contributions
The main theoretical contributions of this article are reflected in the following four points:
Firstly, the existing studies based on the resource-based theory and the knowledge spillover theory indicate that cross-organizational cooperation gives enterprises a competitive advantage. Enterprises obtain external knowledge input through cooperation, thereby promoting their own innovation activities. However, the empirical evidence for the results in the context of GTI is still insufficient [94]. This paper finds that the integration of IUR has a significant positive correlation with GTI, expanding the applicability of these theories in the context of GTI. Moreover, the research results also show that the integration of industry, academia, and research can promote GTI through internal and external mechanisms. This indicates that the role of the integration of IUR in GTI goes beyond the simple explanation of resource supply and enriches the basic theory of resources.
Secondly, empirical results prove that the integration of IUR can significantly increase media attention, and media attention can also positively influence GTI. This discovery expands the attention foundation view [95], indicating that cross-organizational collaboration can not only influence the allocation of decision-makers’ attention but also affect corporate strategic behavior by influencing the external information environment. Meanwhile, this result also reinforces the stakeholder theory [96]; that is, the IUR cooperation network enhances the social visibility of enterprises and strengthens external social supervision and reputation pressure, thereby motivating enterprises to carry out GTI.
Thirdly, research shows that the integration of IUR can reduce the short-sightedness of managers, and the greater the degree of reduction in managers’ short-sightedness, the higher the level of GTI. This discovery supplements the principal–agent theory and behavioral decision-making research. Traditional studies have emphasized that incentive contracts and equity structures can influence management preferences [97], while the results of this paper show that the integration of IUR, through standardized goals and the deployment of long-term R&D, prompts management to make long-term strategic considerations. Reducing short-term performance preferences is more conducive to promoting GTI.
Finally, the research results reveal that there is an inverted U-shaped relationship between the depth and breadth of IUR cooperation and GTI. This indicates that a moderate cooperation network is more beneficial for knowledge acquisition and coordination among all parties. According to the theory of knowledge absorption, absorption capacity has a positive impact on innovation [98]. The research in this paper further enriches this theory on the basis of consolidating it. Knowledge absorption has a certain threshold. Cooperation beyond the capacity range of the enterprise itself is prone to cause knowledge overload and weaken the output of innovation.
8.4. Policy Suggestion
First, we suggest building and optimizing the communication system of IUR to reduce communication barriers. We can broaden communication channels by establishing information platforms, exchanging meetings, and clarifying the distribution of interests in the early stage of cooperation to avoid conflicts later. Second, we suggest building a bridge of IUR cooperation for NSOEs and SEs to enhance their technological capabilities. Research shows that NSOEs and SEs have weak IUR cooperation abilities. Still, the proportion of capable enterprises can open the technology database and patent pool to them and accelerate the transformation of results through technology licensing and transfer. Third, we suggest attaching importance to the role of various stakeholders in IUR cooperation to create a good atmosphere for collaboration. There are many subjects involved in the process of IUR cooperation. To win over stakeholders’ support and confidence, the three parties of IUR cooperation should enhance their sense of social responsibility and strengthen their information disclosure to reduce misunderstandings caused by information opacity.
8.5. Research Limitations and Prospects
Regarding mechanism effect analysis, this paper only focuses on media attention and managers’ myopia, which may ignore other potential influencing factors and paths. Future studies can comprehensively examine the multiple impacts of IUR integration on GTI from the perspective of other stakeholders. In terms of sample selection, the data in this paper mainly comes from China’s A-share-listed companies, which fails to cover non-listed companies, which limits the general applicability of the research results. Future research should broaden the sample size to encompass a wider variety of enterprises to improve the generalizability and representativeness of the findings.
Author Contributions
Formal analysis, supervision, writing—review and editing, project administration, C.L.; data curation, resources, writing—original draft, formal analysis, validation, X.Z.; conceptualization, methodology, writing—review and editing, funding acquisition, formal analysis, L.W. All authors have read and agreed to the published version of the manuscript.
Funding
The research is supported by the National Social Science Fund of China (24FJYB037) and the Higher Education Reform and Research Project of Fujian Province Institute of Higher Education (FGJG202417).
Data Availability Statement
The datasets used and/or analyzed during the current study are available from the corresponding author upon reasonable request.
Conflicts of Interest
The authors declare that there are no conflicts of interest.
References
- Li, C.; Lei, T.; Wang, L. Examining the emission reduction effect of carbon emission trading and carbon tax synergism and their impact mechanisms to reduce the carbon emission of company: Based on 247 listed companies of China. Technol. Anal. Strateg. Manag. 2024, 1–16. [Google Scholar] [CrossRef]
- Lan, G.; Xiao, Y.; Ci, X.; Zhang, Y.; Xia, J. Spatial and temporal differentiation characteristics of green development levels in urban agglomerations within the Yangtze River economic Belt and analysis of influencing factors. Ecol. Indic. 2024, 166, 112552. [Google Scholar] [CrossRef]
- Nie, C.; Ye, S.; Feng, Y. Place-based policy and urban green technology innovation: Evidence from the revitalization of old revolutionary base areas in China. Econ. Anal. Policy 2024, 81, 1257–1272. [Google Scholar] [CrossRef]
- Li, C.; Wang, X.; Wang, L. Interplay of virtual and physical channels in propagating green behaviour: A study integrating motivation-opportunity-ability and theory of planned behaviour. Environ. Dev. 2024, 50, 100997. [Google Scholar] [CrossRef]
- Liao, T.; Yan, J.; Zhang, Q. The impact of green technology innovation on carbon emission efficiency: The intermediary role of intellectual capital. Int. Rev. Econ. Financ. 2024, 92, 520–532. [Google Scholar] [CrossRef]
- Shao, Y.; Xu, K.; Shan, Y.G. Leveraging corporate digitalization for green technology innovation: The mediating role of resource endowments. Technovation 2024, 133, 102999. [Google Scholar] [CrossRef]
- Li, H.; Liu, J.; Wang, H. Impact of green technology innovation on the quality of regional economic development. Int. Rev. Econ. Financ. 2024, 93, 463–476. [Google Scholar] [CrossRef]
- Kong, Z.; Du, J.; Kong, Y.; Cui, X. Financial development, environmental regulation, and corporate green technology innovation: Evidence from Chinese listed companies. Financ. Res. Lett. 2024, 62, 105122. [Google Scholar] [CrossRef]
- Si, R.; Wang, Y.; Cao, M.; Wen, H. Does green technology innovation promote green economic growth?—Examining regional heterogeneity between resource-based and non-resource-based cities. Int. Rev. Econ. Financ. 2024, 94, 103406. [Google Scholar] [CrossRef]
- Chen, J.; Wu, L.; Hao, L.; Yu, X.; Streimikiene, D. Does the import of green products encourage green technology innovation? Empirical evidence from China. Technol. Forecast. Soc. Change 2024, 200, 123137. [Google Scholar] [CrossRef]
- Oliver, A.; Montgomery, K.; Barda, S. The multi-level process of trust and learning in university–industry innovation collaborations. J. Technol. Transf. 2020, 45, 758–779. [Google Scholar] [CrossRef]
- Guo, Y.; Dong, B. Green technology innovation in enterprises and financial market valuation. Financ. Res. Lett. 2025, 75, 106812. [Google Scholar] [CrossRef]
- Perkmann, M.; Tartari, V.; McKelvey, M.; Autio, E.; Broström, A.; D’Este, P.; Fini, R.; Geuna, A.; Grimaldi, R.; Hughes, A.; et al. Academic engagement and commercialisation: A review of the literature on university–industry relations. Res. Policy 2013, 42, 423–442. [Google Scholar] [CrossRef]
- Fang, S.; Qin, Y. Social Identification in Open Innovation Projects: Role of Knowledge Collaboration and Resource Interdependence. Systems 2025, 13, 129. [Google Scholar] [CrossRef]
- Zhou, X.; Jia, M.; Li, W.; Zhao, X.; Gatto, A.; Ma, X. Higher education or scientific research: Which one contributes more to China’s green innovation? Socio-Econ. Plan. Sci. 2024, 94, 101919. [Google Scholar] [CrossRef]
- Leon-Roa, C.; Zuñiga-Collazos, A.; Villada Castillo, H.S.; Portela Guarin, H.; Gamboa Franco, C.M.; Rúa Gómez, D.C.; Gaviria Acosta, E.B. Valorization of research results for knowledge and technology transfer in public higher education institutions. J. Open Innov. Technol. Mark. Complex. 2024, 10, 100245. [Google Scholar] [CrossRef]
- Wang, M.; Li, Y.; Wang, Z.; Cao, X.; Shi, W. The Impact of Enterprise Generic Technology Innovation Participation on Enterprise Green Technology Innovation from the Perspective of Innovation Chain. Chin. J. Manag. 2023, 20, 856–866. (In Chinese) [Google Scholar]
- Romero-Sánchez, A.; Perdomo-Charry, G.; Burbano-Vallejo, E.L. Exploring the entrepreneurial landscape of university-industry collaboration on public university spin-off creation: A systematic literature review. Heliyon 2024, 10, e27258. [Google Scholar] [CrossRef]
- Varadarajan, R. Resource advantage theory, resource based theory, and theory of multimarket competition: Does multimarket rivalry restrain firms from leveraging resource Advantages? J. Bus. Res. 2023, 160, 113713. [Google Scholar] [CrossRef]
- Ozdemir, S.; Carlos Fernandez de Arroyabe, J.; Sena, V.; Gupta, S. Stakeholder diversity and collaborative innovation: Integrating the resource-based view with stakeholder theory. J. Bus. Res. 2023, 164, 113955. [Google Scholar] [CrossRef]
- Awwad, M.S.; Abuhommous, A.A.A.; Adaileh, A.M. Unravelling the relationship between absorptive capacity, innovation, and financial performance: A longitudinal study. Int. J. Innov. Stud. 2025, 9, 116–128. [Google Scholar] [CrossRef]
- Zhao, R.; Xu, J.; Zhao, Y.; Feng, Y. Resource allocation pattern to green technology innovation efficiency: Synergy between environmental resource orchestration and firms’ digital capabilities. J. Innov. Knowl. 2025, 10, 100760. [Google Scholar] [CrossRef]
- Battistella, C.; De Toni, A.F.; Pillon, R. Inter-organisational technology/knowledge transfer: A framework from critical literature review. J. Technol. Transf. 2016, 41, 1195–1234. [Google Scholar] [CrossRef]
- Li, N.; Zhou, Y. Can digital financial development promote corporate green technology innovation? Int. Rev. Econ. Financ. 2024, 92, 1562–1582. [Google Scholar] [CrossRef]
- Yan, Z.; Yu, Y.; Du, K.; Zhang, N. How does environmental regulation promote green technology innovation? Evidence from China’s total emission control policy. Ecol. Econ. 2024, 219, 108137. [Google Scholar] [CrossRef]
- Zheng, L.; Umar, M.; Safi, A.; Khaddage-Soboh, N. The role of higher education and institutional quality for carbon neutrality: Evidence from emerging economies. Econ. Anal. Policy 2024, 81, 406–417. [Google Scholar] [CrossRef]
- Zhao, Y.; Yang, Y.; Ma, J.; Lu, A.; Xu, X. Policy-induced cooperative knowledge network, university-industry collaboration and firm innovation: Evidence from the Greater Bay Area. Technol. Forecast. Soc. Change 2024, 200, 123143. [Google Scholar] [CrossRef]
- Robbiano, S. The innovative impact of public research institutes: Evidence from Italy. Res. Policy 2022, 51, 104567. [Google Scholar] [CrossRef]
- Ma, J.; Yang, D. Research on the mechanism of government-industry-university-research collaboration for cultivating innovative talent based on game theory. Heliyon 2024, 10, e25335. [Google Scholar] [CrossRef]
- Xu, C.; Sun, G.; Kong, T. The impact of digital transformation on enterprise green innovation. Int. Rev. Econ. Financ. 2024, 90, 1–12. [Google Scholar] [CrossRef]
- Sun, Y. Digital transformation and corporates’ green technology innovation performance–The mediating role of knowledge sharing. Financ. Res. Lett. 2024, 62, 105105. [Google Scholar] [CrossRef]
- Zheng, Y.; Zhang, Q. Digital transformation, corporate social responsibility and green technology innovation- based on empirical evidence of listed companies in China. J. Clean. Prod. 2023, 424, 138805. [Google Scholar] [CrossRef]
- Sun, G.; Fang, J.; Li, J.; Wang, X. Research on the impact of the integration of digital economy and real economy on enterprise green innovation. Technol. Forecast. Soc. Change 2024, 200, 123097. [Google Scholar] [CrossRef]
- Chen, Y.; Shen, B.; Cao, Y.; Cao, Y.; Wang, S. CEO social capital, financing constraints and corporate financialisation: Evidence from Chinese listed companies. Financ. Res. Lett. 2024, 60, 104781. [Google Scholar] [CrossRef]
- Li, N.; Wu, D. Cross-shareholding, financing constraints and firm innovation efficiency. Financ. Res. Lett. 2024, 62, 105091. [Google Scholar] [CrossRef]
- Zhao, T.; Xiao, M.; Zhang, B. Corporate social network, ownership structure, and corporate financing constraints: Evidence from China. Int. Rev. Econ. Financ. 2023, 88, 1547–1564. [Google Scholar] [CrossRef]
- Dou, Q.; Gao, X. How does the digital transformation of corporates affect green technology innovation? An empirical study from the perspective of asymmetric effects and structural breakpoints. J. Clean. Prod. 2023, 428, 139245. [Google Scholar] [CrossRef]
- Liu, P.; Huang, T.; Shao, Y.; Jia, B. Environmental regulation, technology density, and green technology innovation efficiency. Heliyon 2024, 10, e23809. [Google Scholar] [CrossRef]
- Han, L.; Xiao, Z.; Yu, Y. Environmental judicature and enterprises’ green technology innovation: A revisit of the porter hypothesis. J. Asian Econ. 2024, 91, 101693. [Google Scholar] [CrossRef]
- Zhang, X.; Niu, Y.; Si, D.-K.; Xiao, Z. Regulatory greening: The impact of environmental legislation on corporate green innovation. Econ. Anal. Policy 2024, 82, 359–376. [Google Scholar] [CrossRef]
- Zhang, S.M.; Han, C.; Chen, C. Repeated partnerships in university-industry collaboration portfolios and firm innovation performance: Roles of absorptive capacity and political connections. R&D Manag. 2022, 52, 838–853. [Google Scholar] [CrossRef]
- Zhao, M.; Fu, X.; Fang, G.; Cui, L.; Nassani, A.A. Exploring the impact of ESG ratings on enterprises’ green technology innovation. Environ. Dev. Sustain. 2024. [Google Scholar] [CrossRef]
- Li, X.; Ma, L.; Ruman, A.M.; Iqbal, N.; Strielkowski, W. Impact of natural resource mining on sustainable economic development: The role of education and green innovation in China. Geosci. Front. 2024, 15, 101703. [Google Scholar] [CrossRef]
- Wang, L.; Chen, L.; Long, Y.; Li, C. Spatio temporal evolution characteristics and spatial spillover effects of forest carbon sink efficiency in China. Environ. Dev. Sustain. 2024. [Google Scholar] [CrossRef]
- Kong, D.; Zhang, B.; Zhang, J. Higher education and corporate innovation. J. Corp. Financ. 2022, 72, 102165. [Google Scholar] [CrossRef]
- Zhang, T.; Ma, Z.; Shang, Y. Higher Education, Technological Innovation, and Green Development-Analysis Based on China’s Provincial Panel Data. Sustainability 2023, 15, 4311. [Google Scholar] [CrossRef]
- Zhang, J.; Li, S. The Impact of Human Capital on Green Technology Innovation—Moderating Role of Environmental Regulations. Int. J. Environ. Res. Public Health 2023, 20, 4803. [Google Scholar] [CrossRef]
- Alfalih, A.A.; Hadj, T.B. Ecological impact assessment of green technological innovation under different thresholds of human capital in G20 countries. Technol. Forecast. Soc. Change 2024, 201, 123276. [Google Scholar] [CrossRef]
- Ni, L.; Ahmad, S.F.; Alshammari, T.O.; Liang, H.; Alsanie, G.; Irshad, M.; Alyafi-AlZahri, R.; BinSaeed, R.H.; Al-Abyadh, M.H.A.; Abu Bakir, S.M.d.M. The role of environmental regulation and green human capital towards sustainable development: The mediating role of green innovation and industry upgradation. J. Clean. Prod. 2023, 421, 138497. [Google Scholar] [CrossRef]
- Meng, C.; Shi, D.; Wang, B. The impact of green human capital of entrepreneur on enterprise green innovation: A study based on the theory of pro-environmental behavior. Financ. Res. Lett. 2023, 58, 104453. [Google Scholar] [CrossRef]
- Cui, W.; Li, L.; Chen, G. Market-value oriented or technology-value oriented? -Location impacts of industry-university-research (IUR) cooperation bases on innovation performance. Technol. Soc. 2022, 70, 102025. [Google Scholar] [CrossRef]
- Qin, Y.; Zhang, P.; Deng, X.; Liao, G. Innovation efficiency evaluation of industrial technology research institute based on three-stage DEA. Expert Syst. Appl. 2023, 224, 120004. [Google Scholar] [CrossRef]
- Chen, K.; Zhang, Y.; Zhu, G.; Mu, R. Do research institutes benefit from their network positions in research collaboration networks with industries or/and universities? Technovation 2020, 94–95, 102002. [Google Scholar] [CrossRef]
- Xu, A.; Qiu, K.; Zhu, Y. The measurements and decomposition of innovation inequality: Based on Industry—University—Research perspective. J. Bus. Res. 2023, 157, 113556. [Google Scholar] [CrossRef]
- Zhou, J.; Wang, M. The role of government-industry-academia partnership in business incubation: Evidence from new R&D institutions in China. Technol. Soc. 2023, 72, 102194. [Google Scholar] [CrossRef]
- Wang, L.; Chen, L.; Li, C. Research on strategies for improving green product consumption sentiment from the perspective of big data. J. Retail. Consum. Serv. 2024, 79, 103802. [Google Scholar] [CrossRef]
- Li, C.; Yang, X.; Wang, L. The Impact of Renewable Energy Development on Regional Carbon Emission Reduction: Based on the Spatio-Temporal Analysis of 30 Provinces in China. Environ. Manag. 2024, 74, 439–460. [Google Scholar] [CrossRef]
- Xu, L.; Zeng, D. When does the divese partnership of R&D alliances promote new product development? The contingent effect of the knowledge base. Technol. Soc. 2021, 65, 101590. [Google Scholar] [CrossRef]
- Wang, L.; Chen, L.; Jin, S.; Li, C. Forecasting the green behaviour level of Chinese enterprises: A conjoined application of the autoregressive integrated moving average (ARIMA) model and multi-scenario simulation. Technol. Soc. 2025, 81, 102825. [Google Scholar] [CrossRef]
- Chen, K.; Zhang, C.; Feng, Z.; Zhang, Y.; Ning, L. Technology transfer systems and modes of national research institutes: Evidence from the Chinese academy of sciences. Res. Policy 2022, 51, 104471. [Google Scholar] [CrossRef]
- Yu, Y.; Xie, B.; Dou, Z.; Fu, Q. Managerial myopia and corporate innovation strategy. Financ. Res. Lett. 2024, 67, 105733. [Google Scholar] [CrossRef]
- Ding, H.; Jiang, F.; Zhang, S.; Ding, H.; Jiang, F.; Zhang, S.; Zhang, Z. Managerial myopia and corporate social responsibility: Evidence from the textual analysis of Chinese earnings communication conferences. J. Behav. Exp. Financ. 2024, 41, 100886. [Google Scholar] [CrossRef]
- Lu, Z.; Liang, Y.; Hu, Y.; Liu, Y. Is managerial myopia detrimental to corporate ESG performance? Int. Rev. Econ. Financ. 2024, 92, 998–1015. [Google Scholar] [CrossRef]
- Zhang, X.; Jiang, F.; Liu, H.; Liu, R. Green finance, managerial myopia and corporate green innovation: Evidence from Chinese manufacturing listed companies. Financ. Res. Lett. 2023, 58, 104383. [Google Scholar] [CrossRef]
- Geng, Y.; Chen, J.; Liu, R. ESG rating disagreement and corporate green innovation bubbles: Evidence from Chinese A-share listed firms. Int. Rev. Financ. Anal. 2024, 95, 103495. [Google Scholar] [CrossRef]
- Fan, Z.; Chen, Y.; Mo, Y. Management myopia and corporate ESG performance. Int. Rev. Financ. Anal. 2024, 92, 103071. [Google Scholar] [CrossRef]
- Li, C.; Li, K.; Wang, L. The influence effect of regional carbon emission reduction under the perspective of fiscal decentralization: Government intervention or market mechanism? Manag. Decis. Econ. 2024, 45, 3335–3358. [Google Scholar] [CrossRef]
- Li, C.; Wang, Y.; Wang, L. Guided by the goal of “double carbon”, what is the carbon emission reduction effect of the promotion and application of green technology in China? Environ. Res. 2024, 245, 117974. [Google Scholar] [CrossRef]
- Ho, K.; Shen, X.; Yan, C.; Yan, C.; Hu, X. Influence of green innovation on disclosure quality: Mediating role of media attention. Technol. Forecast. Soc. Change 2023, 188, 122314. [Google Scholar] [CrossRef]
- Yan, X. Media attention, urban environmental regulation and corporate environmental responsibility. Financ. Res. Lett. 2023, 58, 104532. [Google Scholar] [CrossRef]
- Li, C.; Zhang, G.; Wang, L. Spatio-Temporal Evolution and Scenario Analysis of End-Recycling Governance in China: Based on Gm-Svr-Bp Combined Forecasting Model. Energy Sources Part A Recovery Util. Environ. Eff. 2024, 46, 4733–4755. [Google Scholar] [CrossRef]
- Yu, C.; Song, A.; Yu, F. Media attention and corporate risk-taking: Evidence from China. Int. Rev. Econ. Financ. 2024, 93, 1459–1482. [Google Scholar] [CrossRef]
- Guo, J.; Lv, J. Media attention, green technology innovation and industrial enterprises’ sustainable development: The moderating effect of environmental regulation. Econ. Anal. Policy 2023, 79, 873–889. [Google Scholar] [CrossRef]
- Wang, L.; Chen, L.; Gao, P.; Li, C. Construction and Application of Carbon Performance Evaluation Index System for Chinese Industrial Enterprises From the Perspective of Low- Carbon Transition. J. Int. Dev. 2024, 37, 736–757. [Google Scholar] [CrossRef]
- Chu, Z.; Yang, T.; Zhang, Z. Assessing the role of public, media, and government attention on air pollution governance in China. Sustain. Cities Soc. 2024, 113, 105681. [Google Scholar] [CrossRef]
- Liu, F.; Hu, L.; Fan, X. Research on the Influence of Industry-University-Research Cooperation on Enterprise Innovation Quality. Bus. Manag. J. 2020, 42, 120–136. (In Chinese) [Google Scholar]
- Wang, L.; Gao, P.; Li, C. Public response to heterogeneous environmental policies: Scenario-based experiments from interest appeal, implementation costs, and commitment mechanism. Energy Sources Part B Econ. Plan. Policy 2024, 19, 2304905. [Google Scholar] [CrossRef]
- Wang, L.; Shang, Y.; Li, C. How to improve the initiative and effectiveness of enterprises to implement environmental management system certification? J. Clean. Prod. 2023, 404, 137013. [Google Scholar] [CrossRef]
- Gao, Z.; Tan, W. Will the Enterprise Digital Transformation Promote Corporate Green Technological Innovation? Empirical Evidence Based on Text Analysis Methods. Collect. Essays Financ. Econ. 2024, 40, 79–91. (In Chinese) [Google Scholar]
- Fang, X.; Hu, D. Corporate ESG Performance and Innovation: Empirical Evidence from A-share Listed Companies. Econ. Res. J. 2023, 58, 91–106. (In Chinese) [Google Scholar]
- Xu, S.; Chen, S.; Jiao, W.; Chen, M. State-owned enterprises shareholders and innovation of private enterprises: Evidence from China. Technovation 2025, 140, 103144. [Google Scholar] [CrossRef]
- Castelnovo, P. Innovation in private and state-owned enterprises: A cross-industry analysis of patenting activity. Struct. Change Econ. Dyn. 2022, 62, 98–113. [Google Scholar] [CrossRef]
- Marginson, D.; McAulay, L. Exploring the debate on short-termism: A theoretical and empirical analysis. Strateg. Manag. J. 2008, 29, 273–292. [Google Scholar] [CrossRef]
- Hu, N.; Xue, F.; Wang, H. Does Managerial Myopia Affect Long-term Investment? Based on Text Analysis and Machine Learning. Manag. World 2021, 37, 139–156+11+19–21. (In Chinese) [Google Scholar]
- Chen, D.; Zhang, Q. Media attention and corporate digital transformation. Int. Rev. Econ. Financ. 2025, 102, 104288. [Google Scholar] [CrossRef]
- Peña-Martel, D.; Díaz-Díaz, N.L.; Martín, D.J.S. Media attention and innovation. SSRN Electron. J. 2021. Available online: https://ssrn.com/abstract=3877912 (accessed on 1 July 2021).
- Liu, F.; Hu, L.; Fan, X. How does industry-University-research Cooperation affect the market performance of enterprises? Sci. Res. Manag. 2023, 44, 155–163. (In Chinese) [Google Scholar]
- Gao, X.; Zhang, G. Media coverage and corporate green innovation. Financ. Res. Lett. 2025, 74, 106740. [Google Scholar] [CrossRef]
- Li, S.; Yu, X.; Qian, K. How does the state capital participation optimize the corporate green innovation structure: Evidence from listed private firms. Int. Rev. Financ. Anal. 2024, 96, 103671. [Google Scholar] [CrossRef]
- Murillo-Luna, J.L.; Hernández-Trasobares, A. Cooperation with the Triple Helix and corporate environmental innovation. J. Clean. Prod. 2023, 384, 135479. [Google Scholar] [CrossRef]
- Loureiro, S.M.C.; Romero, J.; Bilro, R.G. Stakeholder engagement in co-creation processes for innovation: A systematic literature review and case study. J. Bus. Res. 2020, 119, 388–409. [Google Scholar] [CrossRef]
- Zeng, Q.; Tong, Y.; Yang, Y. Can green finance promote green technology innovation in enterprises: Empirical evidence from China. Environ. Sci. Pollut. Res. 2023, 30, 87628–87644. [Google Scholar] [CrossRef]
- Belderbos, R.; Carree, M.; Lokshin, B. Cooperative R&D and firm performance. Res. Policy 2004, 33, 1477–1492. [Google Scholar] [CrossRef]
- Jonek-Kowalska, I.; Rupacz, S. Inter-organizational cooperation in the diffusion and improving of innovativeness in micro and macro perspectives: A case of developing economy in an international context. J. Open Innov. Technol. Mark. Complex. 2025, 11, 100503. [Google Scholar] [CrossRef]
- Ocasio, W. Towards an attention-based view of the firm. Strateg. Manag. J. 1997, 18, 187–206. [Google Scholar] [CrossRef]
- Zhang, D.; Guo, P.; Zhao, J. The motives system for developing project-based inter-organizational cooperation. Int. J. Proj. Manag. 2022, 40, 167–180. [Google Scholar] [CrossRef]
- Keser, C.; Willinger, M. Theories of behavior in principal–agent relationships with hidden action. Eur. Econ. Rev. 2007, 51, 1514–1533. [Google Scholar] [CrossRef]
- Fan, Q.; Abbas, J.; Zhong, Y.; Pawar, P.S.; Adam, N.A.; Alarif, G.B. Role of organizational and environmental factors in firm green innovation and sustainable development: Moderating role of knowledge absorptive capacity. J. Clean. Prod. 2023, 411, 137262. [Google Scholar] [CrossRef]
Disclaimer/Publisher’s Note: The statements, opinions and data contained in all publications are solely those of the individual author(s) and contributor(s) and not of MDPI and/or the editor(s). MDPI and/or the editor(s) disclaim responsibility for any injury to people or property resulting from any ideas, methods, instructions or products referred to in the content. |
© 2025 by the authors. Licensee MDPI, Basel, Switzerland. This article is an open access article distributed under the terms and conditions of the Creative Commons Attribution (CC BY) license (https://creativecommons.org/licenses/by/4.0/).




