A Study on Duopoly Competition in the Low-Altitude Economy Based on the Hotelling Model: Analysis of Air Taxi Advertising Strategies and Intercity Service Decisions
Abstract
1. Introduction
- In a duopoly market, should air taxi operators offer additional intercity services? If so, how should the optimal premium for such services be determined?
- For the emerging air taxi industry, is advertising investment a viable strategy? If viable, how does the advertising discount coefficient affect the profits of the operators and their competitors? What is the optimal discount coefficient?
- What effect do external disruptions have on air taxi operators? How should operators mitigate these effects?
- (1)
- It introduces two synergistic driving forces—government subsidies and the advertising economy—into the study of duopoly air taxi markets, expanding the dimensions of strategic choice analysis. Previous studies have mostly focused on the technical feasibility of air taxi or the behavior of a single market entity, lacking a unified theoretical framework that accounts for interactions between multiple variables.
- (2)
- It examines differentiated pricing and service strategy decisions of duopoly air taxi service providers. Using the Hotelling linear market model, the study designs four strategy models and an extended model considering external disturbances. Key variables, such as intercity service premium and advertising discount coefficient, are incorporated. Traditional applications of the Hotelling model tend to emphasize price competition alone, without aligning with the diverse service types and frequent external disturbances present in the air taxi industry.
- (3)
- Most of the existing literature on air taxi strategy remains qualitative and disconnected from the industry’s transition from technical feasibility to commercial sustainability. By contrast, this study quantitatively derives key insights, including the critical value for the optimal intercity service premium, the two-way competitive effect of the advertising discount coefficient, and its optimal threshold. It also proposes sustainable strategies for managing external disturbances, filling the gap between quantitative research with practical decision-making in this field.
2. Literature Review
2.1. Research on Hotelling Model
2.2. Research on the Low-Altitude Economy
2.3. Research on Duopoly Competition
2.4. Research on Advertising Strategies
3. Problem Description and Assumptions
4. Model Developments and Analysis
4.1. The Model
4.1.1. Mode NO
- (1)
- The optimal price and demand are
- (2)
- The optimal profit function for Service Provider 1 and Service Provider 2 is
- (1)
- .
- (2)
- The optimal prices for Service Provider 1 and Service Provider 2 are influenced by government subsidies, advertising discount coefficients, unit costs, and transportation unit costs. Both Service Provider 1 and Service Provider 2’s optimal prices increase as the government subsidy ratio n to consumers rises. Service Provider 1’s optimal price is inversely proportional to Service Provider 2’s advertising discount coefficient, while Service Provider 2’s optimal price is directly proportional to its advertising discount coefficient. The optimal prices for both Service Provider 1 and Service Provider 2 are directly proportional to their unit costs C and transportation unit costs t. This indicates that since Service Provider 2 runs advertising campaigns while Service Provider 1 does not, Service Provider 2’s optimal price increases based on its rising advertising discount coefficient, while Service Provider 1’s optimal price decreases based on Service Provider 2’s increasing advertising discount coefficient.
- (3)
- Advertising campaigns by air taxi service providers increase market demand. When neither provider offers intercity services but Provider 1 refrains from advertising while Provider 2 runs promotional campaigns, Provider 2 will capture a larger market share than Provider 1.
- (4)
- When , .
- (5)
- When , ; when , > 0, .
4.1.2. Mode NT
- (1)
- The optimal price and demand are
- (2)
- The optimal profit function for Service Provider 1 and Service Provider 2 is
- (1)
- ; .
- (2)
- The optimal prices of Service Provider 1 and Service Provider 2 are directly proportional to the government subsidy ratio n to consumers. When the government subsidy to consumers increases, the prices charged by service providers also rise. Service Provider 1’s optimal price is directly proportional to its advertising discount coefficient and inversely proportional to Service Provider 2’s advertising discount coefficient. Meanwhile, Service Provider 2’s optimal price is inversely proportional to Service Provider 1’s advertising discount coefficient and directly proportional to its own advertising discount coefficient.
4.1.3. Mode GO
- (1)
- The optimal price and demand are
- (2)
- The optimal profit function for Service Provider 1 and Service Provider 2 is
4.1.4. Mode GT
- (1)
- The optimal price and demand are
- (2)
- The optimal profit function for Service Provider 1 and Service Provider 2 is
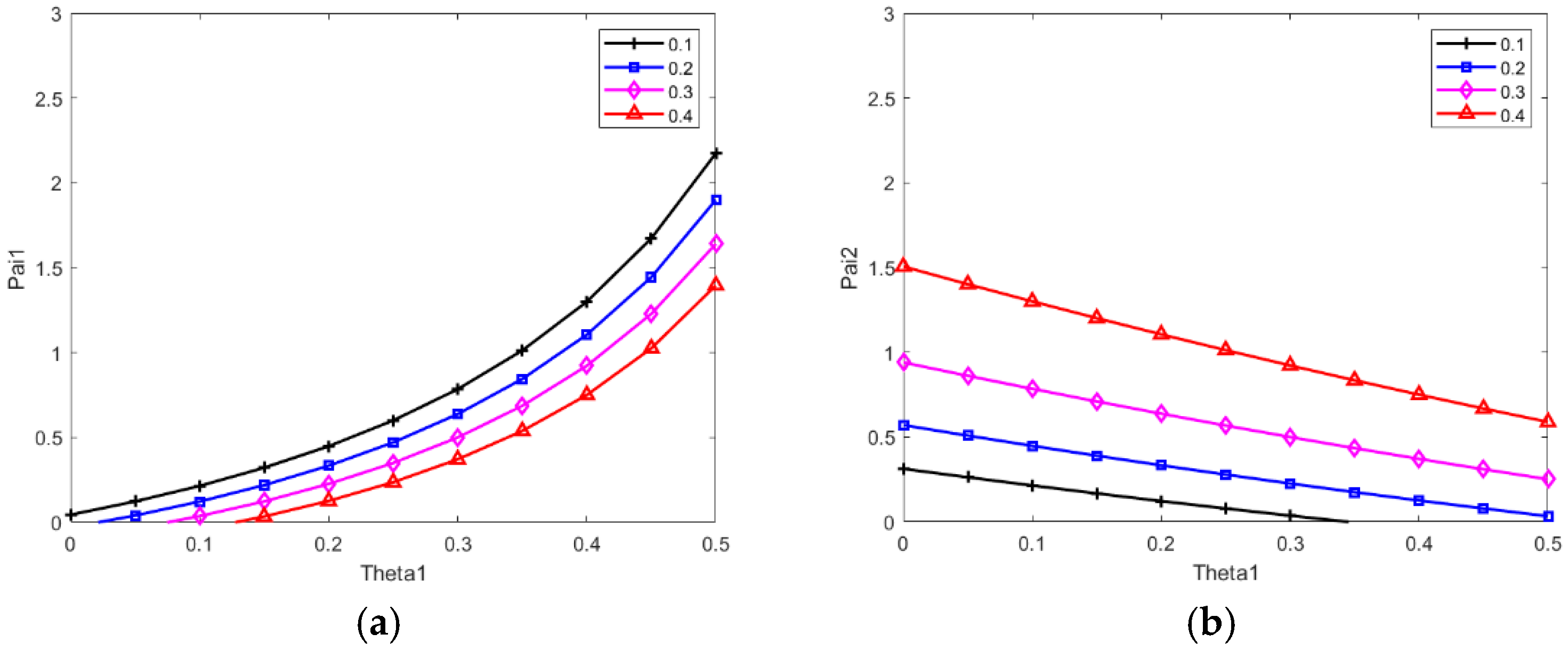
4.2. External Disturbance (GX)
5. Comparative Analysis
6. Simulation
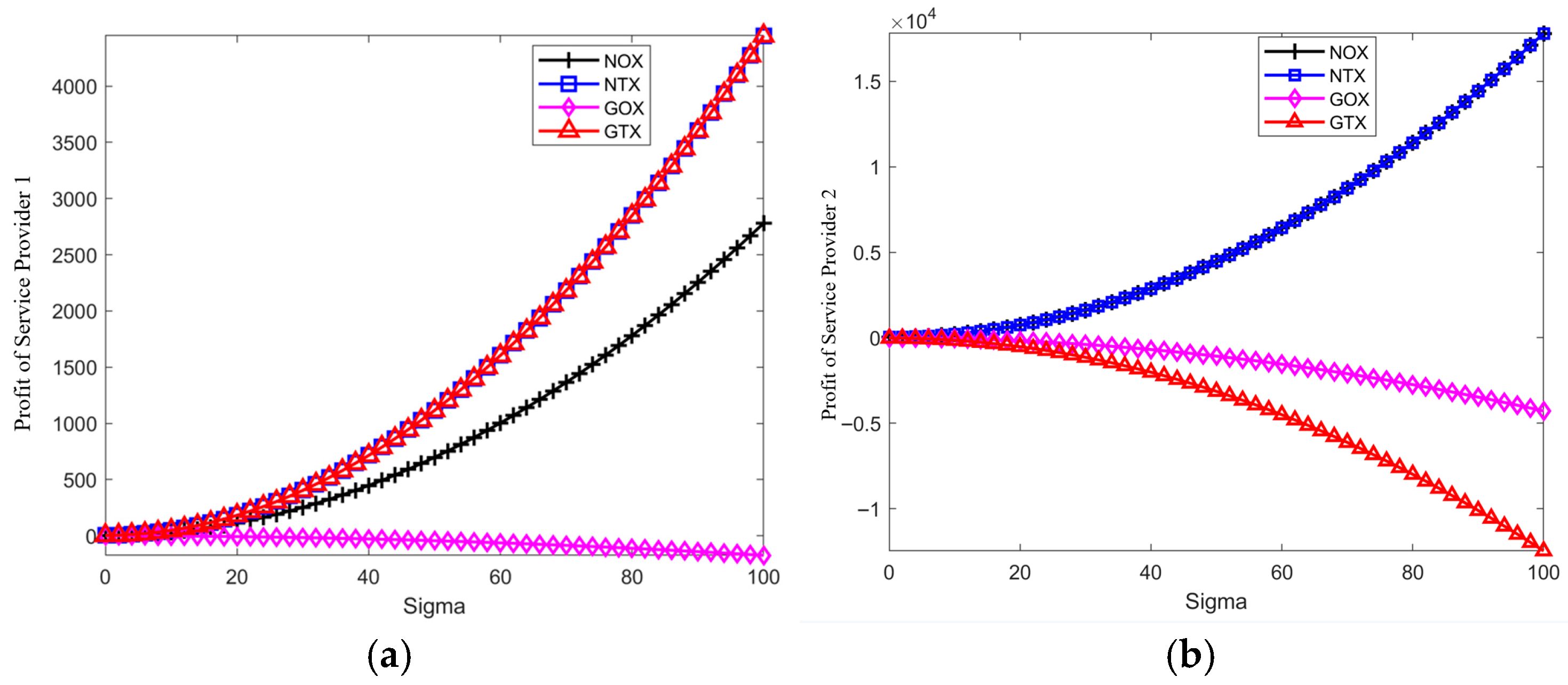
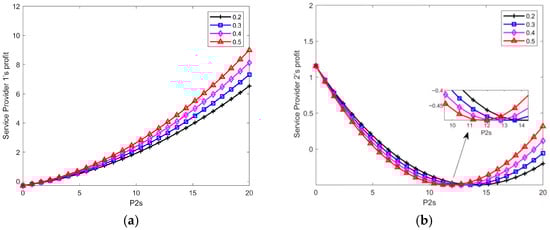
6.1. Profit Changes of Service Providers Under Different Modes
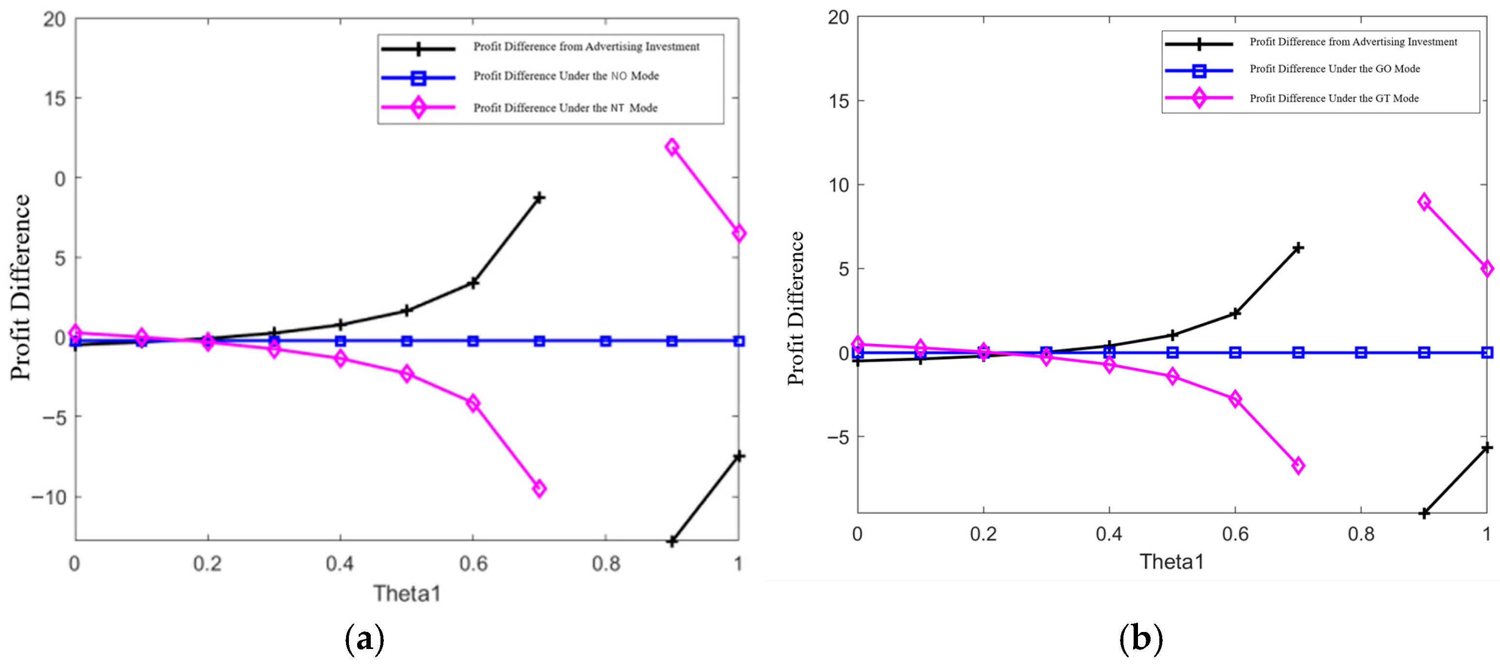
6.2. Impact of Different Modes on the Profit Difference Between Service Providers
6.3. Impact of Different Modes on Service Providers’ Profits
6.4. Impact of External Disturbances on Profits
7. Conclusions and Future Research
7.1. Conclusions
- (1)
- In a duopoly competitive market, one air taxi service provider can choose to offer intercity services. Doing so allows it to increase its optimal price and market share, thereby achieving higher profits.
- (2)
- If a service provider chooses to offer intercity services, the profits of both providers increase as the additional price for such services rises. However, the provider that offers intercity services must ensure that the additional price exceeds a critical threshold so that the profit from providing the services is higher than that from not providing them.
- (3)
- The advertising discount coefficient of one provider has a significant competitive effect on the profit of the other, and the competitor’s advertising strategy exerts a significant moderating effect on its own profit. If both providers launches advertising, the marginal effect of the advertising discount coefficient on each provider’s profit increases.
- (4)
- When a service provider chooses to conduct advertising, an optimal threshold exists for its advertising discount coefficient—it should be neither too high nor too low. At this threshold, the profit difference between conducting advertising and not conducting advertising is maximized.
- (5)
- In a disturbed environment, service providers should prioritize modes that do not involve intercity services. In particular, the mode with mutual advertising promotion (NTX mode) is more optimal under such conditions. If intercity services are offered, service providers must carefully assess disturbance risks or adopt flexible cost and operation strategies to offset negative effects.
7.2. Limitations and Future Research
Author Contributions
Funding
Data Availability Statement
Conflicts of Interest
Appendix A
Appendix A.1
- (1)
- The optimal price and demand are
- (2)
- The optimal profit function for Service Provider 1 and Service Provider 2 is
- (3)
- Let . By rearranging the profit functions of Service Provider 1 and Service Provider 2, we obtain
Appendix A.2
- (1)
- Since , ; thus, .
- (2)
- Since ; ;
- (3)
- Since , .
- (4)
- When neither Service Provider 1 nor Service Provider 2 offers services or conducts advertising, within the Hotelling linear model, .
- (5)
- When neither Service Provider 1 nor Service Provider 2 conducts advertising, within the Hotelling linear model, .
- (1)
- Since , , ; thus, > 0, > 0, and . Since , < 0; thus, < 0 and .Since , ; thus, < 0; therefore, , , and .
- (2)
- , since ; thus, > 0, and therefore . , since ; thus, > 0 and therefore .
Appendix A.3
References
- Available online: https://www.planning.org.cn/news/view?id=16083 (accessed on 7 June 2025).
- Available online: https://hznews.hangzhou.com.cn/chengshi/content/2023-01/05/content_8440758_0.htm (accessed on 7 June 2025).
- Available online: https://news.qq.com/rain/a/20250717A041PX00 (accessed on 7 June 2025).
- Wang, M.K.; Diepolder, J.; Zhang, S.G.; Söpper, M.; Holzapfel, F. Trajectory optimization-based maneuverability assessment of eVTOL aircraft. Aerosp. Sci. Technol. 2021, 117, 106903. [Google Scholar] [CrossRef]
- Sun, G.; Wang, J.; Ai, Y. The impact of government green subsidies on stock price crash risk. Energy Econ. 2024, 134, 107573. [Google Scholar] [CrossRef]
- Sharma, A.; Dwivedi, R.; Mariani, M.M.; Islam, T. Investigating the effect of advertising irritation on digital advertising effectiveness: A moderated mediation model. Technol. Forecast. Soc. Change 2022, 180, 121731. [Google Scholar] [CrossRef]
- Issouani, E.M.; Bertail, P.; Gautherat, E. Exponential bounds for regularized Hotelling’s T2 statistic in high dimension. J. Multivar. Anal. 2024, 203, 105342. [Google Scholar] [CrossRef]
- Grau-Climent, J.; Garcia-Perez, L.; Losada, J.C.; Alonso-Sanz, R. Simulation of the Hotelling-Smithies game: Hotelling was not so wrong. Commun. Nonlinear Sci. Numer. Simul. 2022, 112, 106513. [Google Scholar] [CrossRef]
- Atewamba, C.; Nkuiya, B. Testing the Assumptions and Predictions of the Hotelling Model. Environ. Resour. Econ. 2017, 66, 169–203. [Google Scholar] [CrossRef]
- Esteves, R.B.; Carballo-Cruz, F. A general framework for retailer competition under elastic demand and quantity-dependent transport costs. J. Retail. Consum. Serv. 2025, 87, 104358. [Google Scholar] [CrossRef]
- Esteves, R.B.; Shuai, J. Personalized pricing with a price sensitive demand. Econ. Lett. 2022, 213, 110396. [Google Scholar] [CrossRef]
- Zhou, Y.K. Unmanned aerial vehicles based low-altitude economy with lifecycle techno-economic-environmental analysis for sustainable and smart cities. J. Clean. Prod. 2025, 499, 145050. [Google Scholar] [CrossRef]
- Tan, H.J.; Guo, Z.L.; Yan, J.Y.; Zhang, D.; Chen, Y.; Zhang, H. Advancing low-carbon smart cities: Leveraging UAVs-enabled low-altitude economy principles and innovations. Renew. Sustain. Energy Rev. 2025, 222, 115942. [Google Scholar] [CrossRef]
- Li, Y.E.; Zeng, Q.H.; Shao, C.; Zhuo, P.; Li, B.W.; Sun, K.C. UAV Localization Method with Keypoints on the Edges of Semantic Objects for Low-Altitude Economy. Drones 2025, 9, 14. [Google Scholar] [CrossRef]
- Li, T.; Du, Y.; Zhang, Z.; Wang, Y. eVTOL Dispatch Cost Optimization Under Time-Varying Low-Altitude Delivery Demand. World Electr. Veh. J. 2025, 16, 220. [Google Scholar] [CrossRef]
- Wang, Y.; Ran, D. China’s low-altitude economy needs to grow with more caution. Nature 2025, 638, 891. [Google Scholar] [CrossRef] [PubMed]
- Fan, L.L.; Wang, X.X.; Yang, J.; Liu, Y.H.; Lv, C.; Yu, H.; Ma, J.; Wang, F.Y. Social Radars for Social Vision of Intelligent Vehicles: A New Direction for Vehicle Research and Development. IEEE Trans. Intell. Veh. 2024, 9, 4244–4248. [Google Scholar] [CrossRef]
- Huang, C.Q.; Fang, S.F.; Wu, H.; Wang, Y.; Yang, Y. Low-altitude intelligent transportation: System architecture, infrastructure, and key technologies. J. Ind. Inf. Integr. 2024, 42, 100694. [Google Scholar] [CrossRef]
- Wang, Y.; Jin, H.; Zheng, S.; Shang, W.-L.; Wang, K. Bike-sharing duopoly competition under government regulation. Appl. Energy 2023, 343, 121121. [Google Scholar] [CrossRef]
- Zhao, L.; Jin, S.; Jiang, H. Complex dynamics of dual oligopoly demand uncertainty under carbon emission trading mechanism. Chaos Solitons Fractals 2024, 179, 114435. [Google Scholar]
- Fanti, L.; Buccella, D. Tax evasion and competition in a differentiated duopoly. J. Ind. Bus. Econ. 2021, 48, 385–411. [Google Scholar] [CrossRef]
- Chen, J.L.; Xie, X.R.; Sun, C.Q.; Lin, L.; Liu, J.L. Optimal trade policy and welfare in a differentiated duopoly. Manag. Decis. Econ. 2022, 43, 3019–3043. [Google Scholar] [CrossRef]
- Kuang, Z.; Lian, Z.; Lien, J.W.; Zheng, J. Serial and parallel duopoly competition in multi-segment transportation routes. Transp. Res. Part E Logist. Transp. Rev. 2020, 133, 101821. [Google Scholar] [CrossRef]
- Gori, L.; Sodini, M. Price competition in a nonlinear differentiated duopoly. Chaos Solitons Fractals 2017, 104, 557–567. [Google Scholar] [CrossRef]
- Taboubi, S. Incentive mechanisms for price and advertising coordination in dynamic marketing channels. Int. Trans. Oper. Res. 2019, 26, 2281–2304. [Google Scholar] [CrossRef]
- Jorgensen, S.; Taboubi, S.; Zaccour, G. Cooperative advertising in a marketing channel. J. Optim. Theory Appl. 2001, 110, 145–158. [Google Scholar] [CrossRef]
- Thomas, M. Spillovers from Mass Advertising: An Identification Strategy. Mark. Sci. 2020, 39, 807–826. [Google Scholar] [CrossRef]
- Aust, G.; Buscher, U. Cooperative advertising models in supply chain management: A review. Eur. J. Oper. Res. 2014, 234, 1–14. [Google Scholar] [CrossRef]
- Bi, G.B.; Liu, Y.H.; Wang, P.F. Financing an online newsvendor with considering the impact of advertising strategy. Int. J. Prod. Res. 2024, 62, 7205–7225. [Google Scholar] [CrossRef]
- Sayadi, M.K.; Makui, A. Optimal advertising decisions for promoting retail and online channels in a dynamic framework. Int. Trans. Oper. Res. 2014, 21, 777–796. [Google Scholar] [CrossRef]
- Wang, T.; Zhou, J.; Zhang, G.G.; Wei, T.; Hu, S. Customer Perceived Value- and Risk-Aware Multiserver Configuration for Profit Maximization. IEEE Trans. Parallel Distrib. Syst. 2020, 31, 1074–1088. [Google Scholar] [CrossRef]
- Hotelling, H. Stability in competition. Econ. J. 1929, 39, 41–57. [Google Scholar] [CrossRef]
- Gao, F.; Su, X. Omnichannel retail operations with buy online and pickup in store. Manag. Sci. 2016, 63, 2478–2492. [Google Scholar] [CrossRef]
- Ye, F.; Ni, D.B.; Li, K.W. Competition between manufacturers and sharing economy platforms: An owner base and sharing utility perspective. Int. J. Prod. Econ. 2021, 234, 108022. [Google Scholar] [CrossRef]
- Dou, Y.; Wu, D.J. Platform competition under network effects: Piggybacking and optimal subsidization. Inf. Syst. Res. 2021, 32, 820–835. [Google Scholar] [CrossRef]
- Anderson, E.G., Jr.; Parker, G.; Tan, B. Platform performance investment in the presence of network externalities. Inf. Syst. Res. 2014, 25, 152–172. [Google Scholar] [CrossRef]
- Chen, Y.; Narasimhan, C.; Zhang, Z.J. Consumer heterogeneity and competitive price-matching guarantees. Mark. Sci. 2001, 20, 300–314. [Google Scholar] [CrossRef]
- Li, K.J. Product and service innovation with customer recognition. Decis. Sci. 2024, 55, 17–32. [Google Scholar] [CrossRef]
- Xu, J.; Huang, Y.; Avgerinos, E.; Feng, G.; Chu, F. Dual-channel competition: The role of quality improvement and price-matching. Int. J. Prod. Res. 2022, 60, 3705–3727. [Google Scholar] [CrossRef]
- Wang, Y.; Li, M.; Feng, H.; Feng, N. Which is better for competing firms with quality increasing: Behavior-based price discrimination or uniform pricing? Omega 2023, 118, 102870. [Google Scholar] [CrossRef]
- Lin, B.; Zhang, A. Impact of government subsidies on total factor productivity of energy storage enterprises under dual-carbon targets. Energy Policy 2024, 187, 114046. [Google Scholar] [CrossRef]
- Jiang, B.J.; Srinivasan, K. Pricing and persuasive advertising in a differentiated market. Mark. Lett. 2016, 27, 579–588. [Google Scholar] [CrossRef]
- Bagwell, K. The economic analysis of advertising. In Handbook of Industrial Organization; Elsevier: Amsterdam, The Netherlands, 2007; Volume 3, pp. 1701–1844. [Google Scholar]
- De Giovanni, P. Quality improvement vs. advertising support: Which strategy works better for a manufacturer? Eur. J. Oper. Res. 2011, 208, 119–130. [Google Scholar] [CrossRef]
- Babić, D.; Kalić, M. Modeling the selection of airline net-work structure in a competitive environment. J. Air Transp. Manag. 2018, 66, 42–52. [Google Scholar] [CrossRef]
- Barla, P.; Constantatos, C. Airline network structure under demand uncertainty. Transp. Res. Part E Logist. Transp. Rev. 2000, 36, 173–180. [Google Scholar] [CrossRef]










| Strategy Classification | NO | NT | GO | GT |
|---|---|---|---|---|
| Variable behavior | ||||
| Service Provider S1: Is this advertising? | × | √ | × | √ |
| Service Provider S2: Do you offer intercity services? | × | × | √ | √ |
| Fixed behavior | ||||
| Service Provider S1: Do you offer intercity services? | × | × | × | × |
| Service Provider S2: Is this advertising? | √ | √ | √ | √ |
| Summary of strategic differences | S1 No Ads + S2 No Intercity | S1 Ads + S2 No-Intercity | S1 No Ads + S2 Intercity | S1 Ads + S2 Intercity |
| Parameter Symbol | Parameter Description |
|---|---|
| Di | Market demand |
| Ui | Consumer utility |
| πi | Service provider profit |
| Pi | Service provider pricing |
| α | The share of intercity services provided by Service Provider 2 when offering intercity services |
| Advertising intensity | |
| Advertising cost parameters | |
| Advertising discount factor | |
| V | Maximum willingness to pay |
| V0 | The additional utility provided to consumers by intercity services |
| Ci | Service provider unit cost |
| k | Service Provider 2’s additional cost factor for intercity services |
| m | Government subsidies for enterprises providing intercity services |
| n | Government subsidy ratio for air taxi consumers |
| Modes | Optimal Solutions | |
|---|---|---|
| NOX | ||
| NTX | ||
| GOX | ||
| GTX |
| Models | Optimal Solutions | |
|---|---|---|
| NO | ||
| NT | ||
| GO | ||
| GT |
| Parameter | C | t | n | m | V0 | |||
|---|---|---|---|---|---|---|---|---|
| Value | 2 | 1 | 0.2 | 0.2 | 2 | 0.3 | 1 | 1 |
Disclaimer/Publisher’s Note: The statements, opinions and data contained in all publications are solely those of the individual author(s) and contributor(s) and not of MDPI and/or the editor(s). MDPI and/or the editor(s) disclaim responsibility for any injury to people or property resulting from any ideas, methods, instructions or products referred to in the content. |
© 2025 by the authors. Licensee MDPI, Basel, Switzerland. This article is an open access article distributed under the terms and conditions of the Creative Commons Attribution (CC BY) license (https://creativecommons.org/licenses/by/4.0/).
Share and Cite
Zhou, H.; Zhu, J.; Wang, Z.; Yang, X. A Study on Duopoly Competition in the Low-Altitude Economy Based on the Hotelling Model: Analysis of Air Taxi Advertising Strategies and Intercity Service Decisions. Systems 2025, 13, 1049. https://doi.org/10.3390/systems13121049
Zhou H, Zhu J, Wang Z, Yang X. A Study on Duopoly Competition in the Low-Altitude Economy Based on the Hotelling Model: Analysis of Air Taxi Advertising Strategies and Intercity Service Decisions. Systems. 2025; 13(12):1049. https://doi.org/10.3390/systems13121049
Chicago/Turabian StyleZhou, Huini, Junying Zhu, Zixuan Wang, and Xingyi Yang. 2025. "A Study on Duopoly Competition in the Low-Altitude Economy Based on the Hotelling Model: Analysis of Air Taxi Advertising Strategies and Intercity Service Decisions" Systems 13, no. 12: 1049. https://doi.org/10.3390/systems13121049
APA StyleZhou, H., Zhu, J., Wang, Z., & Yang, X. (2025). A Study on Duopoly Competition in the Low-Altitude Economy Based on the Hotelling Model: Analysis of Air Taxi Advertising Strategies and Intercity Service Decisions. Systems, 13(12), 1049. https://doi.org/10.3390/systems13121049
