Blockchain Adoption to Fight Counterfeiting at the Source in a Vertically Differentiated Competition
Abstract
1. Introduction
1.1. Background and Motivation
1.2. Research Questions and Innovations
1.3. Paper Organization
2. Literature Review
2.1. Relevant Research on Counterfeits
2.2. Using Blockchain to Combat Counterfeiting
2.3. Vertically Differentiated Competition
2.4. Comparison to Closely Related Models
3. Model Setup
3.1. Markets
3.2. Products
3.3. Consumers
4. Monopoly in the Presence of Counterfeiting
4.1. No Use of Blockchain
4.2. Use of Blockchain
- (a)
- the price and market share of an authentic product increases; the profits of an authentic firm increase if ;
- (b)
- a deceptive counterfeiter’s market share and profits both decrease if .
5. Vertically Differentiated Competition in the Presence of Counterfeiting
5.1. Competition Scenarios
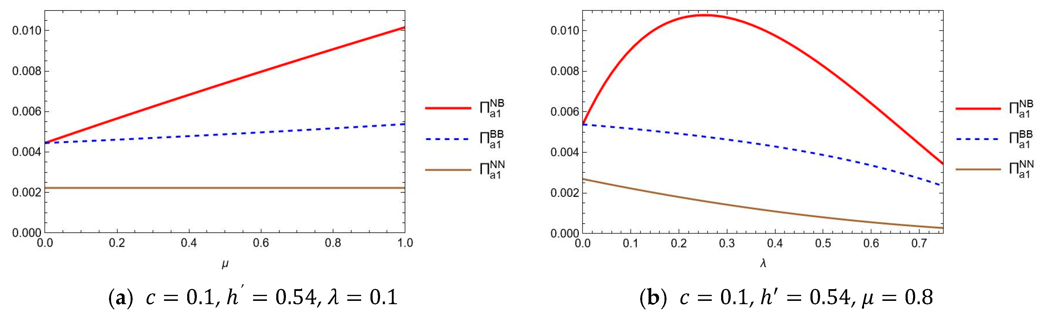
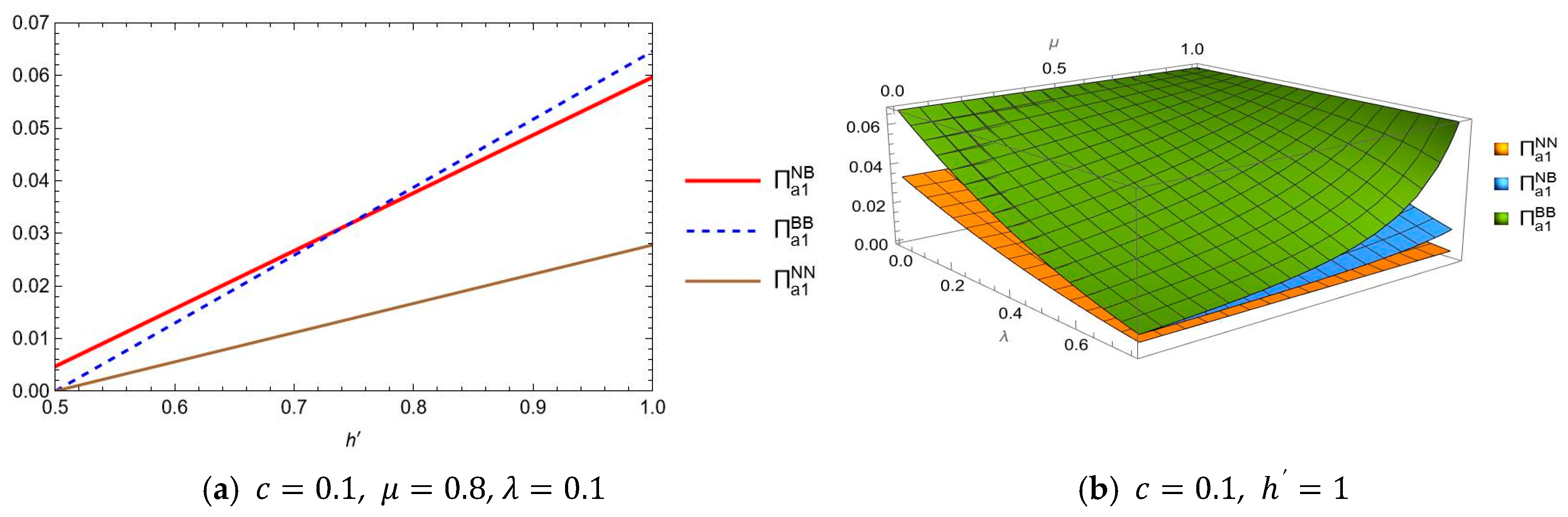
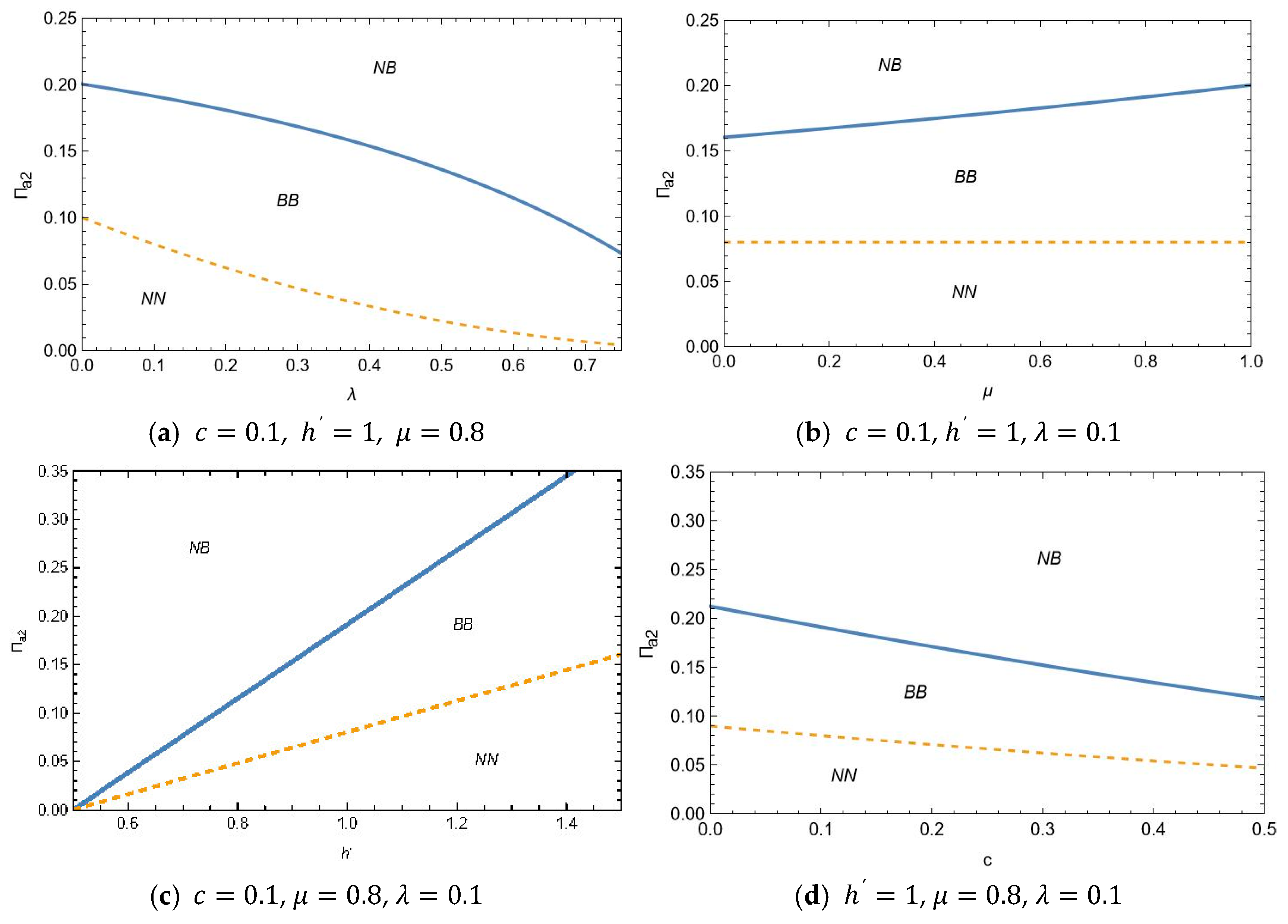
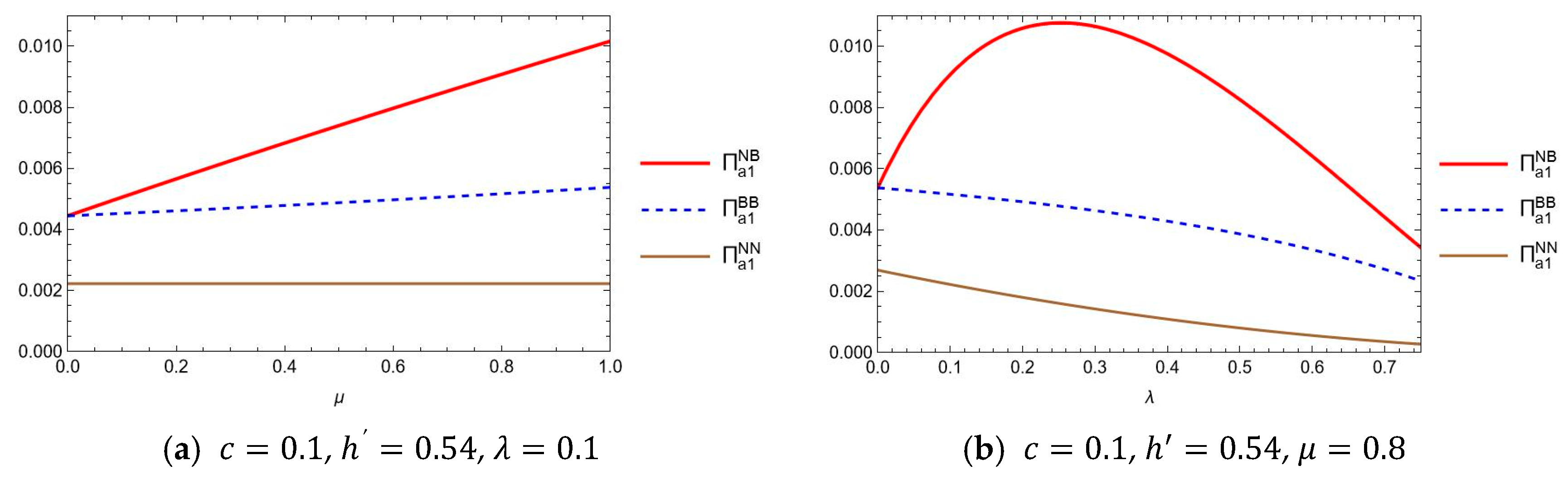
5.2. Analysis and Results
6. Extensions
6.1. Nonuniform Consumer Preference Distribution
6.2. Considering BCT Costs in the Competition
6.3. Implementation of Conditions and Managerial Guidance
6.4. Policy Implications
7. Conclusions
8. Scope and Limitations
Author Contributions
Funding
Data Availability Statement
Conflicts of Interest
Appendix A
Appendix B
Appendix C. Equilibrium Results
| Variables | Results |
|---|---|
| () | |
| Variables | Results |
|---|---|
| () | |
| Variables | Results |
|---|---|
| () | |
References
- Shen, B.; Dong, C.; Minner, S. Combating copycats in the supply chain with permissioned blockchain technology. Prod. Oper. Manag. 2022, 31, 138–154. [Google Scholar] [CrossRef]
- Cho, S.H.; Fang, X.; Tayur, S. Combating strategic counterfeiters in licit and illicit supply chains. Manuf. Serv. Oper. Manag. 2015, 17, 273–289. [Google Scholar] [CrossRef]
- Gao, Y. On the use of overt anti-counterfeiting technologies. Mark. Sci. 2018, 37, 403–424. [Google Scholar] [CrossRef]
- Shen, B.; Cheng, M.; Dong, C.; Xiao, Y. Battling counterfeit masks during the COVID-19 outbreak: Quality inspection vs. blockchain adoption. Int. J. Prod. Res. 2023, 61, 3634–3650. [Google Scholar] [CrossRef]
- Grossman, G.M.; Shapiro, C. Counterfeit-product trade. Am. Econ. Rev. 1988, 78, 59–75. [Google Scholar]
- Ahmadi, R.; Yang, B.R. Parallel imports: Challenges from unauthorized distribution channels. Mark. Sci. 2000, 19, 279–294. [Google Scholar] [CrossRef]
- Qian, Y. Counterfeiters: Foes or Friends? How Counterfeits Affect Sales by Product Quality Tier. Manag. Sci. 2014, 60, 2381–2400. [Google Scholar] [CrossRef]
- Lw, A.; Mag, B.; Mp, C. Is it fake? Using potentially low quality suppliers as back-up when authentic suppliers are unavailable. Int. J. Prod. Econ. 2019, 213, 185–200. [Google Scholar]
- Hamelin, N.; Nwankwo, S.; Hadouchi, R.E. ‘Faking brands’: Consumer responses to counterfeiting. J. Consum. Behav. 2013, 12, 159–170. [Google Scholar] [CrossRef]
- Zhou, Y.; Gao, X.; Luo, S.; Xiong, Y.; Ye, N.Y. Anti-Counterfeiting in a retail Platform: A Game-Theoretic approach. Transp. Res. Part E Logist. Transp. Rev. 2022, 165, 102839. [Google Scholar] [CrossRef]
- Qian, Y.; Gong, Q.; Chen, Y. Untangling Searchable and Experiential Quality Responses to Counterfeits. Mark. Sci. 2015, 34, 522–538. [Google Scholar] [CrossRef]
- Gao, Y.; Lim, W.S.; Tang, C.S. Entry of copycats of luxury brands. Mark. Sci. 2017, 36, 272–289. [Google Scholar] [CrossRef]
- Guo, S.; Sun, X.; Lam, H.K. Applications of blockchain technology in sustainable fashion supply chains: Operational transparency and environmental efforts. IEEE Trans. Eng. Manag. 2020, 70, 1312–1328. [Google Scholar] [CrossRef]
- Lu, W.; Yu, J.; Chen, Z.; Ji, X. Blockchain adoption in a supply chain system to combat counterfeiting. Comput. Ind. Eng. 2022, 171, 108408. [Google Scholar] [CrossRef]
- Wu, J.; Yan, Y.; Wang, S.; Zhen, L. Optimizing Blockchain-Enabled Sustainable Supply Chains. IEEE Trans. Eng. Manag. 2025, 72, 426–445. [Google Scholar] [CrossRef]
- Schneider, S.; Leyer, M.; Tate, M. The transformational impact of blockchain technology on business models and ecosystems: A symbiosis of human and technology agents. IEEE Trans. Eng. Manag. 2020, 67, 1184–1195. [Google Scholar] [CrossRef]
- Hou, P.; Zhang, C.; Li, Y. The interplay of manufacturer encroachment and blockchain adoption to combat counterfeits in a platform supply chain. Int. J. Prod. Res. 2024, 62, 1382–1398. [Google Scholar] [CrossRef]
- Dutta, P.; Choi, T.M.; Somani, S.; Butala, R. Blockchain technology in supply chain operations: Applications, challenges and research opportunities. Transp. Res. Part E Logist. Transp. Rev. 2020, 142, 102067. [Google Scholar] [CrossRef] [PubMed]
- Luo, S.; Choi, T.M. E-commerce supply chains with considerations of cyber-security: Should governments play a role? Prod. Oper. Manag. 2022, 31, 2107–2126. [Google Scholar] [CrossRef]
- Chod, J.; Trichakis, N.; Tsoukalas, G.; Aspegren, H.; Weber, M. On the Financing Benefits of Supply Chain Transparency and Blockchain Adoption. Manag. Sci. 2020, 66, 4378–4396. [Google Scholar] [CrossRef]
- Wang, J.; Zhang, Q.; Hou, P. Combating deceptive counterfeits with blockchain technology under asymmetric information. IEEE Trans. Eng. Manag. 2022, 71, 3951–3963. [Google Scholar] [CrossRef]
- Choi, T.M.; Guo, S.; Liu, N.; Shi, X. Optimal pricing in on-demand-service-platform-operations with hired agents and risk-sensitive customers in the blockchain era. Eur. J. Oper. Res. 2020, 284, 1031–1042. [Google Scholar] [CrossRef]
- Lu, Q.; Liao, C.; Chen, X. The blockchain adoption strategies of online retailer in a dual-channel supply chain. Int. J. Prod. Econ. 2024, 274, 109322. [Google Scholar] [CrossRef]
- Choi, T.M. Creating all-win by blockchain technology in supply chains: Impacts of agents’ risk attitudes towards cryptocurrency. J. Oper. Res. Soc. 2021, 72, 2580–2595. [Google Scholar] [CrossRef]
- Zhao, Q.; Fan, Z.P.; Sun, M. Sales mode selection and blockchain technology adoption decisions in a platform supply chain. Int. J. Prod. Econ. 2024, 272, 109255. [Google Scholar] [CrossRef]
- Gupta, S.; Modgil, S.; Choi, T.M.; Kumar, A.; Antony, J. Influences of artificial intelligence and blockchain technology on financial resilience of supply chains. Int. J. Prod. Econ. 2023, 261, 108868. [Google Scholar] [CrossRef]
- Choi, T.M.; Guo, S.; Luo, S. When blockchain meets social-media: Will the result benefit social media analytics for supply chain operations management? Transp. Res. Part E Logist. Transp. Rev. 2020, 135, 101860. [Google Scholar] [CrossRef]
- Choi, T.M. Blockchain-technology-supported platforms for diamond authentication and certification in luxury supply chains. Transp. Res. Part E Logist. Transp. Rev. 2019, 128, 17–29. [Google Scholar] [CrossRef]
- Pun, H.; Swaminathan, J.M.; Hou, P. Blockchain adoption for combating deceptive counterfeits. Prod. Oper. Manag. 2021, 30, 864–882. [Google Scholar] [CrossRef]
- Zhu, S.; Li, J.; Wang, S.; Xia, Y.; Wang, Y. The role of blockchain technology in the dual-channel supply chain dominated by a brand owner. Int. J. Prod. Econ. 2023, 258, 108791. [Google Scholar] [CrossRef]
- Choi, T.M.; Ouyang, X. Initial coin offerings for blockchain based product provenance authentication platforms. Int. J. Prod. Econ. 2021, 233, 107995. [Google Scholar] [CrossRef]
- Li, Z.; Xu, X.; Bai, Q.; Guan, X.; Zeng, K. The interplay between blockchain adoption and channel selection in combating counterfeits. Transp. Res. Part E Logist. Transp. Rev. 2021, 155, 102451. [Google Scholar] [CrossRef]
- Vandenbosch, M.B.; Weinberg, C.B. Product and price competition in a two-dimensional vertical differentiation model. Mark. Sci. 1995, 14, 224–249. [Google Scholar] [CrossRef]
- Kuksov, D.; Lin, Y. Information provision in a vertically differentiated competitive marketplace. Mark. Sci. 2010, 29, 122–138. [Google Scholar] [CrossRef]
- Tian, C.; Xiao, T.; Shang, J. Channel differentiation strategy in a dual-channel supply chain considering free riding behavior. Eur. J. Oper. Res. 2022, 301, 473–485. [Google Scholar] [CrossRef]
- Xu, J.; You, X.; Li, Y.; Lu, J. Channel and pricing strategy of competing retailers in a two-stage supply chain. IEEE Trans. Eng. Manag. 2020, 69, 2882–2896. [Google Scholar] [CrossRef]
- Jing, B. Customer recognition in experience vs. inspection good markets. Manag. Sci. 2016, 62, 216–224. [Google Scholar] [CrossRef]
- Tang, C.S.; Yoo, O.S.; Zhan, D. When should grocery stores adopt time-based pricing? Impact of competition and negative congestion externality. Prod. Oper. Manag. 2023, 32, 2805–2824. [Google Scholar] [CrossRef]
- Nire, K.; Matsubayashi, N. Entry decisions for vertically differentiated markets with brand spillovers. Eur. J. Oper. Res. 2024, 314, 565–578. [Google Scholar] [CrossRef]
- Zhou, Z.Z.; Choudhary, V. Impact of competition from open source software on proprietary software. Prod. Oper. Manag. 2022, 31, 731–742. [Google Scholar] [CrossRef]
- Zhao, C.; Wang, X.; Xiao, Y.; Sheng, J. Effects of online reviews and competition on quality and pricing strategies. Prod. Oper. Manag. 2022, 31, 3840–3858. [Google Scholar] [CrossRef]
- Guan, H.; Geng, X.; Gurnani, H. Peer-to-peer sharing platforms with quality differentiation: Manufacturer’s strategic decision under sharing economy. Prod. Oper. Manag. 2023, 32, 485–500. [Google Scholar] [CrossRef]
- Lu, L.; Menezes, M.B. Supply chain vertical competition and product proliferation under different power structures. Int. J. Prod. Econ. 2024, 267, 109097. [Google Scholar] [CrossRef]
- Zhou, W.; Huang, W.; Hsu, V.N.; Guo, P. On the benefit of privatization in a mixed duopoly service system. Manag. Sci. 2023, 69, 1486–1499. [Google Scholar] [CrossRef]
- Li, Y.; Jiang, S.; Shi, J.; Wei, Y. Pricing strategies for blockchain payment service under customer heterogeneity. Int. J. Prod. Econ. 2021, 242, 108282. [Google Scholar] [CrossRef]
- Kwark, Y.; Chen, J.; Raghunathan, S. User-generated content and competing firms’ product design. Manag. Sci. 2017, 64, 4608–4628. [Google Scholar] [CrossRef]
- Xu, J.; Huang, Y.; Avgerinos, E.; Feng, G.; Chu, F. Dual-channel competition: The role of quality improvement and price-matching. Int. J. Prod. Res. 2021, 60, 3705–3727. [Google Scholar] [CrossRef]
- Ye, F.; Liu, S.; Li, Y.; Zhan, Y.; Cai, Z.; Kumar, A. Early adopter or follower? The strategic equilibrium of blockchain technology adoption strategy for competing agri-food supply chains. IEEE Trans. Eng. Manag. 2022, 71, 12385–12399. [Google Scholar] [CrossRef]
- Liu, S.S.; Hua, G.; Ma, B.J.; Cheng, T.C.E. Competition between green and non-green products in the blockchain era. Int. J. Prod. Econ. 2023, 264, 108970. [Google Scholar] [CrossRef]
- Niu, B.; Ruan, Y.; Xu, H. Turn a blind eye? E-tailer’s blockchain participation considering upstream competition between copycats and brands. Int. J. Prod. Econ. 2023, 265, 109009. [Google Scholar] [CrossRef]





| Notation | Description |
|---|---|
| Subscript for firms (or products), | |
| Authentic firm (or authentic product) in a monopoly | |
| Authentic firm (or authentic product) in a competition | |
| Premium firm (or premium product) in a competition | |
| Deceptive counterfeiter (or deceptive counterfeit product) | |
| Superscript for scenarios in two markets, | |
| No use of BCT in a monopoly | |
| Use of BCT in a monopoly | |
| No use of BCT in both firms in a competition | |
| adopts BCT and does not adopt BCT in a competition | |
| Both firms adopt BCT in a competition | |
| Consumers’ taste for the quality of the product | |
| Probability of deceptive counterfeits in the market | |
| Searchable quality of an authentic product | |
| Experiential quality of an authentic product | |
| Experiential quality of a premium product | |
| Discount factor of the experiential quality of a deceptive counterfeit | |
| Security level of BCT traceability, | |
| Quality of a product , | |
| Retail price of a product in Scenario | |
| Demand for a product in Scenario | |
| Profits of the firm in Scenario | |
| Sensitivity of marginal cost to quality () |
| Firms | Typically Authentic Firm () | Premium Firm () |
|---|---|---|
| < < | < < | |
| < < | < < | |
| < < | < < |
| Scenarios | Scenario NN | Scenario NB | Scenario BB | |||||
|---|---|---|---|---|---|---|---|---|
| Parameters | ||||||||
Disclaimer/Publisher’s Note: The statements, opinions and data contained in all publications are solely those of the individual author(s) and contributor(s) and not of MDPI and/or the editor(s). MDPI and/or the editor(s) disclaim responsibility for any injury to people or property resulting from any ideas, methods, instructions or products referred to in the content. |
© 2025 by the authors. Licensee MDPI, Basel, Switzerland. This article is an open access article distributed under the terms and conditions of the Creative Commons Attribution (CC BY) license (https://creativecommons.org/licenses/by/4.0/).
Share and Cite
Shao, Z.; Chen, S.; Yang, Y.; Si, Y.; Meng, W. Blockchain Adoption to Fight Counterfeiting at the Source in a Vertically Differentiated Competition. Systems 2025, 13, 941. https://doi.org/10.3390/systems13110941
Shao Z, Chen S, Yang Y, Si Y, Meng W. Blockchain Adoption to Fight Counterfeiting at the Source in a Vertically Differentiated Competition. Systems. 2025; 13(11):941. https://doi.org/10.3390/systems13110941
Chicago/Turabian StyleShao, Ze, Shaohua Chen, Yi Yang, Yujing Si, and Weigao Meng. 2025. "Blockchain Adoption to Fight Counterfeiting at the Source in a Vertically Differentiated Competition" Systems 13, no. 11: 941. https://doi.org/10.3390/systems13110941
APA StyleShao, Z., Chen, S., Yang, Y., Si, Y., & Meng, W. (2025). Blockchain Adoption to Fight Counterfeiting at the Source in a Vertically Differentiated Competition. Systems, 13(11), 941. https://doi.org/10.3390/systems13110941

