Next Article in Journal
Parking Choice Analysis of Automated Vehicle Users: Comparing Nested Logit and Random Forest Approaches
Previous Article in Journal
Digital Organizational Resilience in Latin American MSMEs: Entangled Socio-Technical Systems of People, Practices, and Data
 
 
Font Type:
Arial Georgia Verdana
Font Size:
Aa Aa Aa
Line Spacing:
Column Width:
Background:
This is an early access version, the complete PDF, HTML, and XML versions will be available soon.
Article

Vulnerability Analysis of the Sea–Railway Cross-Border Intermodal Logistics Network Considering Inter-Layer Transshipment Under Cascading Failures

Business School, University of Shanghai for Science & Technology, Shanghai 200093, China
*
Author to whom correspondence should be addressed.
Systems 2025, 13(10), 890; https://doi.org/10.3390/systems13100890
Submission received: 14 August 2025 / Revised: 26 September 2025 / Accepted: 8 October 2025 / Published: 10 October 2025
(This article belongs to the Section Supply Chain Management)

Abstract

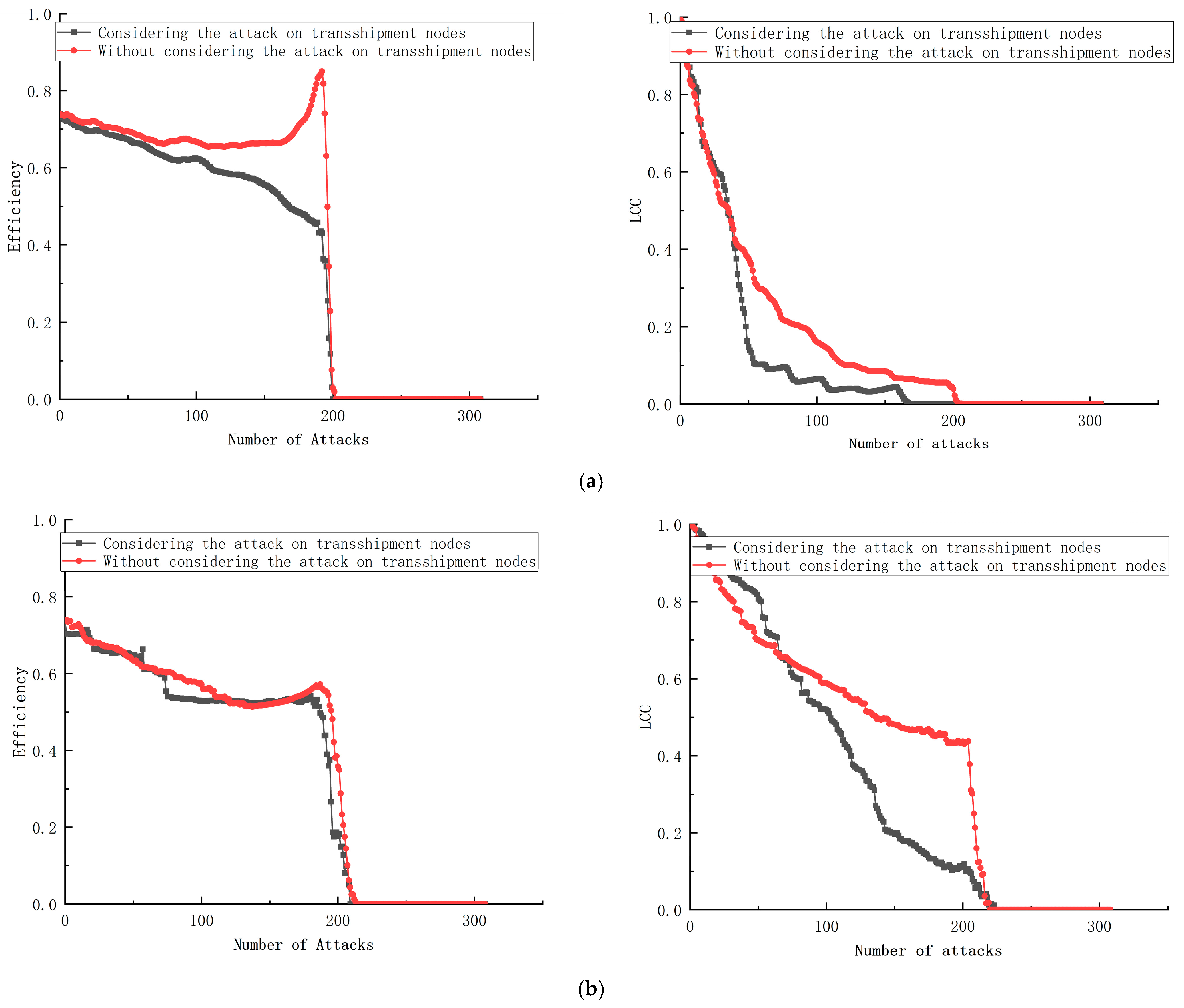
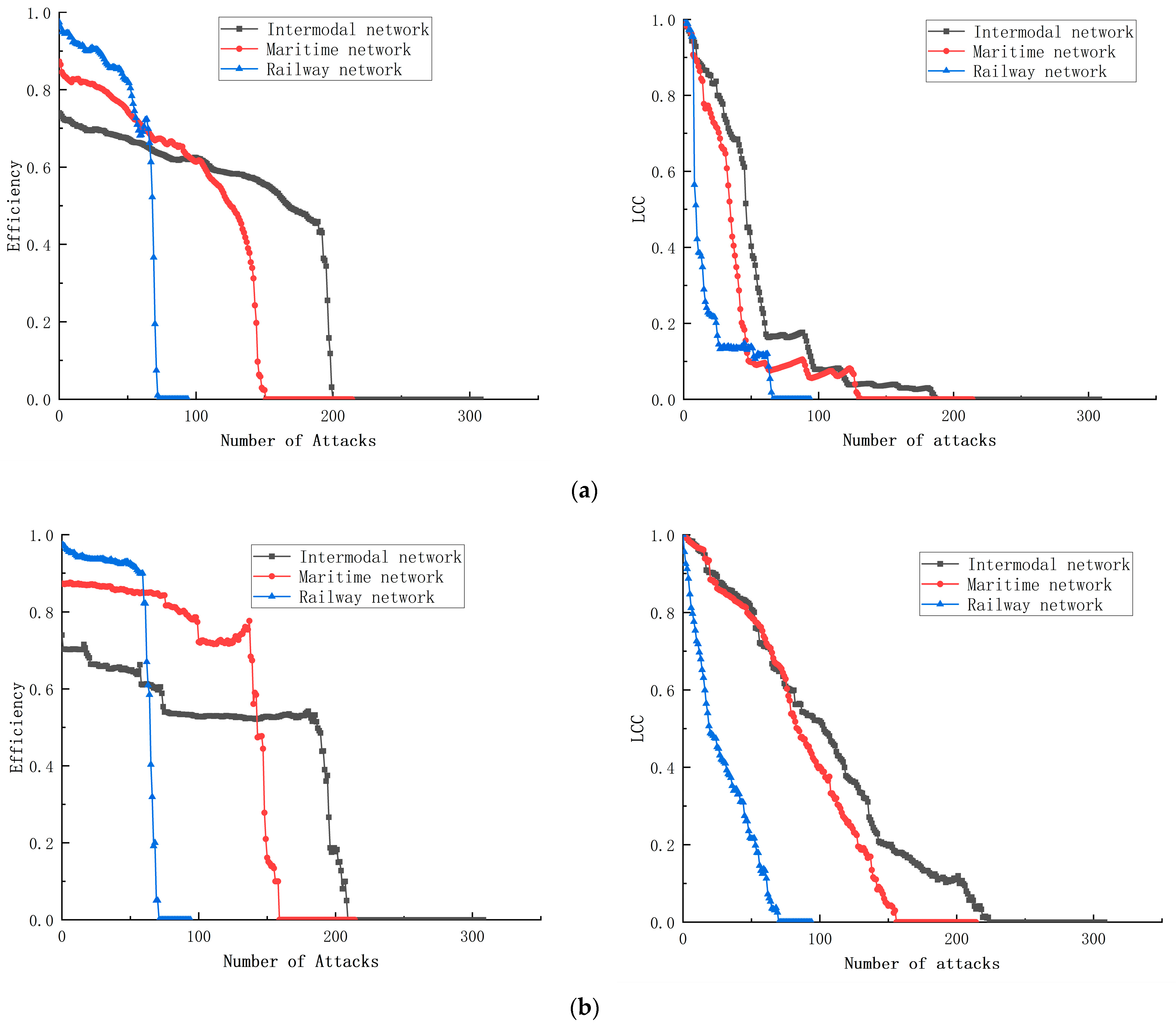
Maritime logistics and railway logistics are crucial in cross-border logistics, and their integration forms a sea-rail cross-border intermodal logistics network. Against the backdrop of frequent unexpected events in today’s world, the normal operation of the sea-rail cross-border intermodal logistics network is under considerable threat. Therefore, researching the vulnerability of the intermodal network is extremely urgent. To this end, this paper first constructs a topological model of the sea-rail cross-border intermodal logistics network, designed to reflect the crucial process of “inter-layer transshipment” via transshipment nodes. Subsequently, a cascading failure model is developed to evaluate network vulnerability, featuring a load redistribution process that distinguishes between transshipment and non-transshipment nodes. The paper yields three primary findings. First, it identifies the optimal values for the capacity factor, overload factor, and inter-layer load transfer rate that most effectively mitigate the network’s vulnerability. Second, compared to a single sub-network (such as a maritime logistics network or a railway logistics network), the sea-rail cross-border intermodal network exhibits lower vulnerability when facing attacks. Third, it highlights the critical role of transshipment nodes, confirming that their failure will make the entire sea-rail cross-border intermodal logistics network more vulnerable.
Keywords: cascading failure; inter-layer transshipment; maritime logistics; railway logistics; sea–railway cross-border intermodal logistics network; vulnerability cascading failure; inter-layer transshipment; maritime logistics; railway logistics; sea–railway cross-border intermodal logistics network; vulnerability

Share and Cite

MDPI and ACS Style

Wei, H.; Qi, H. Vulnerability Analysis of the Sea–Railway Cross-Border Intermodal Logistics Network Considering Inter-Layer Transshipment Under Cascading Failures. Systems 2025, 13, 890. https://doi.org/10.3390/systems13100890

AMA Style

Wei H, Qi H. Vulnerability Analysis of the Sea–Railway Cross-Border Intermodal Logistics Network Considering Inter-Layer Transshipment Under Cascading Failures. Systems. 2025; 13(10):890. https://doi.org/10.3390/systems13100890

Chicago/Turabian Style

Wei, Hairui, and Huixin Qi. 2025. "Vulnerability Analysis of the Sea–Railway Cross-Border Intermodal Logistics Network Considering Inter-Layer Transshipment Under Cascading Failures" Systems 13, no. 10: 890. https://doi.org/10.3390/systems13100890

APA Style

Wei, H., & Qi, H. (2025). Vulnerability Analysis of the Sea–Railway Cross-Border Intermodal Logistics Network Considering Inter-Layer Transshipment Under Cascading Failures. Systems, 13(10), 890. https://doi.org/10.3390/systems13100890

Note that from the first issue of 2016, this journal uses article numbers instead of page numbers. See further details here.

Article Metrics

Back to TopTop