Next Article in Journal
Research on the Impact of Inter-Industry Innovation Networks on Collaborative Innovation Performance: A Case Study of Strategic Emerging Industries
Previous Article in Journal
Blockchain-Based Security Factors on Sustainable Supply Chain Management in UK Manufacturing Firms: A Hybrid SEM-ANN Approach
 
 
Font Type:
Arial Georgia Verdana
Font Size:
Aa Aa Aa
Line Spacing:
Column Width:
Background:
Article

Public Policy on Agricultural Projects Assessing the Impact: A Hass Avocado Crop System Dynamics Applied Valuation

by
Yesid Ediver Anacona-Mopan
1,*,
Oscar Rubiano-Ovalle
2,
Helmer Paz
1,
Ana Luna
3,
Andrés Felipe Solis Pino
1 and
Mario Chong
3,*
1
Facultad de Ingeniería, Corporación Universitaria Comfacauca-Unicomfacauca, Cl. 4 N. 8-30, Popayán 190001, Colombia
2
Facultad de Ingeniería, Universidad del Valle, Cl. 13 #100-00, Cali 760042, Colombia
3
Facultad de Ingeniería, Universidad del Pacifico, Lima 15072, Peru
*
Authors to whom correspondence should be addressed.
Systems 2024, 12(6), 210; https://doi.org/10.3390/systems12060210
Submission received: 10 April 2024 / Revised: 9 June 2024 / Accepted: 10 June 2024 / Published: 13 June 2024
(This article belongs to the Section Systems Engineering)

Abstract

Colombia has positioned itself as a significant actor in Hass avocado production, capitalizing on the rising global demand and its suitable climate for the crop. These conditions have led to considerable investments from farmers. In this business environment, this research presents a systematic simulation and methodological approach for the evaluation of crops focusing on the Hass avocado and its extension to small-scale producers in Colombia. The initial phase involved a comprehensive analysis of key variables in the Hass avocado production chain, assessing productivity and viability. Subsequently, a dynamic model was developed to explore four scenarios spanning 13 years. The first scenario evaluated the production chain’s current behavior, while the second scrutinized the impact of credit accessibility. The third scenario analyzed the associativity among producers’ effects, and the fourth assessed the impact of government support. The results underscore that the implementation of each strategy improves the economic returns. Integrating all three strategies is the most effective method. These scenarios serve as proactive tools for investors, equipping them valuable insights and enabling informed decisions. Moreover, the study advocates for the promotion of rural economic development through strategic agricultural interventions.

1. Introduction

Globalization and international trade have heightened the expectations for Colombian agricultural producers [1]. Among the most highly sought-after crops in the global markets, the Hass avocado stands out for its high levels of monounsaturated fatty acids and antioxidants that positively benefit human health [2]. Considering its increasing demand, projections indicate that avocados will be the most extensively traded tropical fruit by 2030 [3,4]. Colombia boasts 54,000 cultivable hectares for this growing market, constituting 6% of the global area. As the third-largest worldwide producer and the fourth-largest in production, Colombia contributes 11% of the annual avocado production, producing an impressive output exceeding 540,000 tons [5].
While the economic outlook for avocado production in Colombia holds promise, it is crucial to acknowledge and address the significant challenges within this industry. A fundamental difficulty lies in understanding the avocado tree’s eco-physiology and its profound impact on Colombia’s growth, development, and overall production [6]. Furthermore, it is imperative to enhance the postharvest management practices, ensuring strict adherence to sanitary and phytosanitary requirements [7]. Regarding industry technology, the sustained surge in avocado production has presented challenges in consolidating the production chain in terms of product value, diversifying markets, traceability certification, and technical support [8]. In many cases, unstable production systems necessitate a focus on technical, economic, environmental, and social sustainability approaches [9]. Unfortunately, this unstable production system has indirectly contributed to environmental problems: deforestation, a loss of biodiversity, and water scarcity [10]. In the social approach, many poor Colombian farmers focus on avocado production as their “green gold” [11]. However, farmer associations require additional financial capital, technology, and infrastructure to support their effective transition from subsistence agriculture to a global agribusiness industry [12,13]. Addressing these multidimensional challenges in the avocado industry is vital for Colombian farmers to be resilient, sustainable, and socially equitable [14].
The Colombian government has strategically allocated investments in the agricultural sector, emphasizing uplifting small-scale producers and ensuring their crops’ long-term viability [15]. This effort includes public policies targeting credit access, collaborative initiatives among farmers’ promotions, and government subsidies [16]. These policies fulfill a crucial function in empowering farmers with essential resources and tools, fostering economic prosperity and the sustainable development of their crops [17]. However, agricultural projects must accurately assess the feasibility of agri-food system dynamics [18]. Evaluators present challenges, encompassing uncertainties in project outcomes, fluctuations in costs and revenues, environmental and social impact evaluation, and an overarching sustainability assessment [19]. In essence, the evaluation of project feasibility must include the complexities of risks, uncertainties, and adaptability in the surrounding environment [20]. This scenario underscores a project assessment and adaptive approach to ensure the effectiveness and resilience of Colombia’s agricultural initiatives.
The assessment of agricultural projects’ access viability in developing countries relies on different methodologies and tools [21]. The most commonly used indicators of agricultural projects’ technical feasibility [21] and the net present value (NPV) [22] may have limitations when applied [22]. This is primarily attributed to the crop’s inherent biological traits, production cycles, long-term fluctuations in costs and revenues, and environmental and social sustainability factors [23]. Consequently, accurately determining the actual project’s value and its long-term or medium-term contributions becomes a complex endeavor [24].
Innovative methodologies and tools have been developed to elevate agricultural projects’ feasibility assessment. Among these, fundamental options theories [25], risk analysis [26], multi-criteria analysis [27], and life cycle analysis stand out [28]. System dynamics has proven valuable in modeling various scenarios and outcomes in this domain [29]. For example, system dynamics has been used to comprehensively assess the behavior of different production chains, such as those of cassava, yam, plantain, avocado, and mango [30], as well as to analyze the effects of changes in the key variables of systems on the viability of renewable energy systems [31]. Researchers opt for system dynamics due to its flexibility [32]. Consequently, simulation models constitute essential tools in understanding the complexity inherent in crops and their ecological and environmental systems. According to [33], these models allow for analyses of the technological, economic, and environmental impacts, as well as the evaluation of production strategies and crop yield forecasts.
This research proposes using a system dynamics evaluation model to effectively assess agricultural projects in the Colombian context. This model integrates specific enhanced comprehension scenarios and policy feedback regarding the project’s effectiveness and long-term impacts. The primary contribution of the research lies in expanding the empirical evidence for the evaluation of agricultural projects, specifically focusing on the Hass avocado.
Finally, the rest of the document is organized as follows. The Section 2 delves into the related works, providing a comprehensive review of the existing literature. The Section 3 then outlines the methodology and resources employed in the research. The Section 4 briefly summarizes and presents the obtained results. Finally, the Section 5 emphasizes critical conclusions from the research and outlines potential avenues for future work in this domain.

2. Related Works

Project evaluation methodologies are essential in gauging success or failure within a specified timeframe. These methodologies are instrumental in delineating clear objectives, assessing performance, pinpointing areas for improvement, and supporting informed decision-making [34]. Project evaluation is ubiquitous across diverse knowledge fields [35], and various innovative strategies and methodologies have enriched it. These approaches empower stakeholders to discern a project’s actual value over time and its various influencing factors’ responsiveness [36]. Illustrative methodologies include feasibility studies [37], strategic planning [35], balanced scorecards [36], and decision tree analysis [38], among others.
Agricultural project evaluations have been adopting an engineering-oriented approach that effectively determines a project’s feasibility. One such method is participatory rural appraisal (PRA), which collects information about a community’s resources, needs, and priorities through participatory mapping, ranking, and scoring [39]. A noteworthy PRA application can be observed in a study of Tanzania’s production and consumption [40], examining its seasonality, constraints, and opportunities. This study describes community attitudes and practices concerning quality and safety through the use of participatory rural appraisal techniques. Another study [39] employed PRA to assess public participation in environmental impact assessments (EIA) for photovoltaic projects in the South African context. This research underscores that PRA offers valuable insights, fosters meaningful public involvement, improves livelihoods, and promotes sustainable resource utilization. In summary, PRA exhibits substantial potential to enhance public participation in EIAs. The project management technique (PMT) is a widely employed methodology in diverse agricultural scenarios, encompassing applications in farm investments and irrigation projects [41]. Value chain finance is another emerging approach with significant interest, drawing attention from prominent organizations such as the International Fund for Agricultural Development (IFAD) and other developmental agencies. Financial institutions and individuals actively promoting and developing value chains increasingly adopt this approach [42].
Government and financial entities, such as the Inter-American Development Bank (IDB) [43] and the World Bank [44], have formulated comprehensive guidelines for the performance of impact assessments for agricultural projects to enhance production, productivity, and profitability. These guidelines address specific issues, such as using indicators and considering indirect effects. Additionally, they confront the challenges associated with impact assessment methods, agricultural data collection, and the overarching design strategy of an evaluation plan. Three illustrative case studies are presented to demonstrate the practical implementation of these guidelines. The first is from the Dominican Republic, offering insights into the application of the guidelines. The second case study delves into forestry and technology in Nicaragua, while the third centers on crop insurance in Peru. These case studies serve as practical examples showcasing the outlined guidelines for real-world applications.
Yazdani [45] examines portfolio selection methods in the evolution of agriculture in this context. The author indicates that it is essential to consider the data sources and uncertainties inherent in the field approach because it encompasses behavioral methods, information gap theory, real options, and integrated methodologies. The author introduces a multi-criteria methodology to identify risk factors and suitable areas, presenting a model with potential value for the construction of decision support tools in the agricultural sector. In parallel, in [41], the objective is to elevate agricultural planning and target setting for the implementation of agricultural plans in Russia. The study critically analyzes planning tools’ limitations within agricultural production and rural development and in government regulation systems, underscoring the significance of targeted budget allocation [46]. The proposed model integrates project management principles in agriculture, assimilating state/regional strategic planning elements. Incorporating management tools grounded in the project approach leads to government programs that enhance effectiveness and facilitate growth within the agricultural sector.
Finally, in the context of the Cauca region, feasibility studies on the Hass avocado have been conducted using a system dynamics model to assess the viability of the crop. This research’s primary contribution lies in applying a system dynamics model to assess the feasibility of cultivating Hass avocados in the Department of Cauca. This analysis considers various scenarios, including credit, access, associativity, and governmental support in terms of technical assistance and fertilizers. This work is distinguished from previous studies and introduces a novel and original agriculture and rural planning methodology. The outcomes from this research serve as a valuable guide to shape public policies and devise rural development strategies in the region, making a significant contribution to decision-making within the agricultural sector.

3. Methods and Procedures

System dynamics modeling is a methodology that enables a comprehensive and diverse scenario analysis, as stated by Jay Wright Forrester in his work [47]. Additionally, Sterman [48] emphasizes the importance of interactive simulations in teaching system dynamics, arguing that these tools not only facilitate the understanding of complex concepts, but also promote active and participatory learning. The Vensim PLE software (10.1.4) stands out for its exceptional capability to facilitate the creation of computational models that reflect a system’s feedback complexity. Additionally, it offers a rich array of data visualization options that augment the model’s interpretability and potential for insights [49].
In our current research, we have selected Vensim as our analytical tool to assess the economic viability of Hass avocado cultivation. Acknowledging the complex and variable nature of agriculture, especially concerning factors such as market prices, credit rates, and raw material costs, we have opted for an extended simulation horizon. Covering a period of 13 years, from 2023 to 2035, our approach enables us to capture long-term fluctuations in these key variables and evaluate how they impact the viability of Hass avocado production.
Furthermore, the age of the existing crops in our study area, ranging between 13 and 15 years, provides valuable historical data that we can utilize to validate the consistency and accuracy of our model. By comparing the observed data with our model’s projections over time, we demonstrate our model’s ability to accurately represent the behavior of Hass avocado cultivation under real-world conditions.

3.1. Data Source

Our system dynamics model is based on primary data collected through extensive field research, structured questionnaires, and personal interviews conducted with various stakeholders, including farmers, association leaders, traders, and retailers in local areas. The data collection specifically targeted farmers cultivating Hass avocados, focusing on trees aged 5 to 10 years. These primary data were enriched with information from authoritative sources such as Colombia’s Agricultural Sector Information and Communication Network (Agronet) and financial institutions like the Agricultural Sector Financing Fund (Finagro). To comprehensively understand the market dynamics, fruit prices at different stages were obtained from the Price Information System (SIPSA) spanning 2019 to 2021. International price benchmarks were extracted from the Food and Agriculture Organization of the United Nations’ (FAO) corporate statistics database. Given the volatility of such prices, probability distributions were estimated to account for this variability in the model. For example, the base price was adjusted to a normal distribution with the following parameters (RANDOM UNIFORM (2*4000, 4*4000, 0)), and similar estimations were made for the variability of other key factors, such as costs and interest rates. This detailed data compilation increased the reliability and depth of the system dynamics model, providing a solid foundation for the subsequent analysis of the economic viability of the Hass avocado crop.
The farmer survey emerged as a pivotal element in identifying the primary factors constraining the production of high-quality fruits and hindering agro-industrial development. Additionally, the gathered information played a crucial role in quantifying each factor’s influence and elucidating the intricate relationships between farmers and other stakeholders within the production chain. It is essential to recognize that, as is typical in many scenarios in developing countries, there were limitations in the available data for the quantification of certain relationships. In instances where comprehensive information was lacking, pragmatic estimates were derived based on the data provided by the farmers. This was particularly relevant when addressing gaps, such as the scarcity of information on distributors. Despite these constraints, the farmer survey provided valuable insights into the farmers’ challenges and interactions with agro-industrial actors.
The survey provided valuable insights into various facets of production, including growth patterns; comprehensive production costs covering labor, raw materials, and indirect expenses; the prevailing market trends; and potential buyer preferences. Additionally, it played a crucial role in enhancing our understanding of the regulatory landscape and policies supporting regional producers. The assimilation of this wealth of information into the simulation model allowed for a thorough evaluation of the feasibility of cultivating Hass avocados in the specified area. Consequently, the findings offer invaluable guidance for prospective producers interested in investing and becoming part of the burgeoning avocado industry. This analysis serves as a valuable resource for decision-making and contributes to the sustainable development of the avocado sector in the region.

3.2. Hass Avocado Production Chain—Causal Loop Diagram

The causal loop diagram is invaluable in unraveling the intricate causal relationships among the variables that impact the Hass avocado crop within a complex system. This qualitative model is instrumental in addressing challenges within the production process and discerning effective solutions to enhance the crop’s profitability and sustainability. Figure 1, employing a causal loop diagram to illustrate the system’s feedback structure, delineates the significant feedback loops driving the system’s dynamic behavior [50]. This diagram reveals two balancing loops (B1 and B2) and two reinforcement loops (R1 and R2). Each of these loops is accompanied by a detailed explanation, facilitating a comprehensive understanding of the system’s behavior and the interconnections between various variables involved in the Hass avocado crop production process. This diagram is crucial in identifying critical points and key factors influencing crop yields and sustainability, enabling the necessary adjustments and modifications to achieve the desired outcomes in the cultivation of Hass avocados.
The product quality loop (B1) highlights the discrepancy between a product’s quality and the desired standard, emphasizing the need for strategic investments in improvement programs aligned with the requirements established by inspection agencies for Good Agricultural Practices (GAP) certification. Closing this gap requires a targeted approach to meet and exceed the established standards. Conversely, the reinvestment loop (B2) indicates that increasing investment in improvement programs raises the production costs, initiating a reciprocal relationship where increasing production costs adversely affect profits, given the inverse proportionality between profits and production costs. Elevated production costs are synonymous with reduced profits, whereas reduced production costs correlate with increased profits. Simultaneously, the product quality and productivity loops (R1 and R2) operate in parallel, illustrating that allocating resources to improvement programs positively influences product quality and productivity. These enhancements, in turn, contribute to increasing revenues and profits, creating a synergistic effect that underscores the importance of strategic investment in improvement programs for sustainable and profitable outcomes.
The presented causal loop diagram illustrates the positive relationship between the investment capacity and profit [51]. Investments are strategically allocated towards implementing improvement programs, directly impacting the production costs and the profit margin. Nonetheless, implementing improvement programs yields a positive effect on quality and productivity. Consequently, this leads to a higher percentage of export-quality fruit and an increased yield in tons per hectare in future harvests. This underscores the pivotal role of strategic investment in improvement initiatives in fostering profitability and enhancing the overall quality and productivity of the harvests in future cycles.
Therefore, the objective is to recover the investment costs associated with improvement plans and generate increased profits. Ensuring the desired quality involves finely adjusting the investment rate in breeding programs. The overarching goal is to adhere to the export standards throughout the production process. Given that the current profit is insufficient to cover the expenses of improvement programs, three strategic interventions are proposed. The first involves facilitating access to credit for small producers [52].
Additionally, fostering collaboration among small producers is proposed to mitigate both the production and debt costs, as emphasized by Benson et al. [53], where associations can negotiate lower interest rates. Finally, the consideration of state subsidies to offset specific production costs is recommended. Each alternative is subjected to a detailed financial viability assessment, with the net present value (NPV) as the primary economic evaluation metric.

3.3. Stock and Flow Diagram

The preceding section delved into the intricate causal connections, providing a deeper comprehension of the dynamic intricacies inherent in a complex system. This exploration was facilitated by a verbal and mental model, elucidating the cause-and-effect relationships among the principal variables within the Hass avocado production chain. However, to portray these relationships and underscore the loop structures of the system, the stock and flow diagram emerges as the most fitting representation, surpassing the capability of causal loops in capturing the stock and flow dynamics of systems [54]. The complete stock and flow diagram is presented in Appendix A, which encapsulates the system through first-order differential equations, offering a visual representation that enables the quantitative and dynamic simulation of the entire production line system (refer to Figure 2, Figure 3, Figure 4 and Figure 5).

3.3.1. Section 1: Hass Avocado Production and Marketing

This section comprehensively explores the production and marketing aspects of the Hass avocado, focusing on two pivotal variables: “accumulated productivity” and the “rate of quality increase”. The intricate dynamics of these variables are influenced by several critical factors, with “investment” standing out as a key determinant, representing expenditures on improvement programs. The variable “belonging to an association” is also examined to understand whether producers operate independently or engage in collaborative efforts through associations. These factors collectively shape the landscape of Hass avocado production and marketing, offering valuable insights into the interplay of the elements contributing to the industry’s dynamics.
Within the marketing realm, additional variables include the shrinkage rate, which indicates the quantity of fruit lost during harvesting due to wastage. The assessment incorporates two distinct fruit qualities: the first aligns with export standards, while the second targets the local market. For the local market, fruit prices are stratified into three classes (first, second, and third) based on the fruit size, with larger fruit commanding higher prices, as visually depicted in Figure 2.

3.3.2. Section 2: Cash Flow for Producers

This section provides a comprehensive understanding of the cash flows generated by the producer, which can be scrutinized across three pivotal levels: the “gross profit”, the “operating profit”, and the “net profit”. The “gross profit” is computed by aggregating the total income and subtracting the “operating profit”. Subsequently, the “operating profit” is derived by deducting the “fixed costs” from this resulting value. Finally, the “net profit” is ascertained by subtracting the producer’s domestic expenses. This detailed breakdown offers insights into the financial intricacies of the producer’s revenue streams and expenses, facilitating a nuanced analysis of their financial performance.
In addition, the periodic cash flow considers various factors, such as discounts on the producer’s debt obligations when accessing credit and the investment rate in improvement programs. The investment rate is contingent upon the costs associated with these programs. If the costs exceed the available investment rate, the farmer may need to supplement the remaining amount with credit, as illustrated in Figure 3.

3.3.3. Section 3: Producer’s Financial Commitments

The financial module in this study adopts the framework proposed by Osorio et al. [55] and Ovalle et al. [56], who developed dynamic simulation models to assess reinvestment strategies in small-scale coffee producers. Recognizing the shared characteristics between the avocado and coffee crops as permanent crops, the existing framework was tailored to construct the model for this case study. The initial step involved determining the available funds for investment and assessing their sufficiency to cover essential household expenses. Figure 4 illustrates the producers’ financial obligations within the avocado production context. The stock and flow diagram shows the interactions between various financial elements, such as debt, cash flow, loans, and expenses. The diagram indicates that the cash flow is affected by the income generated from the avocado harvest and obtained loans, and it is subsequently impacted by the production costs, household expenses, and loan repayments. Notably, producers affiliated with an association benefit from lower interest rates and a higher borrowing capacity, as depicted in the model. This adapted framework offers a comprehensive view of the financial commitments faced by producers, facilitating an in-depth analysis of the complex interplay between income generation, expenditure, and borrowing within the avocado production context.

3.3.4. Section 4: Hass Avocado Production Financial Evaluation

This section outlines the structure employed to model the net present value (NPV) through system dynamics, as illustrated in Figure 5. The NPV is widely acknowledged in evaluating long-term investment projects. It is a pivotal metric in ascertaining whether an investment aligns with the primary financial objective: maximizing profitability. The NPV involves calculating the present value of a series of future net cash flows generated by an investment. The use of system dynamics to model the NPV provides a distinct advantage by facilitating the consideration of system feedback effects and time lags (Figure 6).
Within Vensim, the variable “NPV” represents the net present value of the cash flows associated with an investment project. When a cash flow is introduced, the differential Equation (1) governing the “NPV” variable can be articulated as follows:
d   N P V   d t = T R C A     ( T C + W C + F I + P a y m e n t   f e e ) ( 1 + D F )   T i m e
In this scenario, a set of variables and constants has been established to describe the rate of change of the “NPV” variable over time, expressed as dNPV/dt. The total revenues (TR) represent the total income generated by the project, while the total costs (TC) encompass all expenses incurred. The working capital (WC) is a fixed value representing the necessary capital for the project, and the fixed investment (FI) represents the initial investment. The payment fee variable accounts for the debt payments associated with the project, while the discount factor (DF) indicates the discount rate applied to the project’s cash flows. These defined variables and constants collectively contribute to the dynamic modeling of the NPV within the Vensim framework.
The differential equation for the “NPV” shows the influence of the project’s discounted cash flows on the variable’s change rate. For a visual representation of the intricate interconnections within the system, Figure 6 presents the NPV causal tree.
Adopting this approach enables the observation of the impacts of implementing new strategies or organizational forms in the system [17]. This study delves into four scenarios to scrutinize their effects on the net present value (NPV) financial indicator.
This study explores four distinct scenarios to evaluate the financial viability of the Hass avocado production chain. The initial scenario encapsulates the existing behavior of the production chain, characterized by individual producers operating without access to credit or government support. Subsequent scenarios build upon this baseline. In the second scenario, this study assesses the profitability and sustainability of the crop when producers have access to credit. The third scenario delves into positive and sustainable behavior, examining the outcomes when investors collaborate with other producers. Finally, the fourth scenario scrutinizes the profitability performance when producers receive government support in terms of technical assistance.

3.4. Scenario Design

3.4.1. Scenario 1: Production Chain Current Behavior

In the first scenario, the analysis focused on the key factors influencing Hass avocado production in a standard 4-hectare farm with 350 trees per hectare. It examined the costs related to planting, maintenance, harvesting, and crop management, accounting for a 5% loss during harvesting. The average yield achieved was 5.9 tons per hectare. However, a comparative assessment against leading avocado-producing countries such as Mexico, where the yields range from 9 to 12 tons per hectare, highlights the local production’s lesser competitiveness. This scenario identifies contributing factors to this situation, encompassing the climate, crop management, seed quality, and access to the international market [57].
The global demand for Hass avocados in international markets is anticipated to witness 5% annual growth by 2025, driven by consumer preferences and the recognized nutritional benefits of avocados [58]. With this sustained and robust demand anticipated in the coming years, small-scale avocado producers are strongly encouraged to strategically target the export market. Moreover, the per capita avocado consumption in the United States is expected to rise, presenting a significant opportunity for avocado-producing countries such as Colombia. However, challenges persist in the avocado sector, encompassing price fluctuations, competition from other countries, and the need to meet stringent sanitary and phytosanitary requirements in destination markets. In navigating these challenges, small producers can position themselves to capitalize on the burgeoning global demand for Hass avocados by adopting informed and targeted strategies [59].
Our marketing findings underscore a noteworthy aspect of the Hass avocado industry. Out of the total production of 7000 tons in the study region in 2019, a mere 19 tons met the stringent requirements for the international demand and were consequently exported. In contrast, the substantial bulk of the production, amounting to 6981 tons, found its place in the local market. The exported avocados commanded a price of USD 3.65 per kilogram, with the highest recorded price in the international market reaching USD 5.16 per kilogram [60]. Notably, these prices significantly exceed those obtained in the domestic market, where the average price for Hass avocados stood at a mere USD 0.88 per kilogram. Consequently, the export of Hass avocados emerges as a promising avenue for small local producers to augment their incomes and bolster their competitiveness in the global market.
Model Validation
At this point, we propose to verify the reliability of the results obtained in our simulation. The validation is performed on Scenario 1, because it is the one that represents the current situation. To do this, we use the relative error statistical technique to assess the degree of discrepancy between the simulated data and the actual data. According to Berlas’ research [61] on the validation of simulation models, it is established that a model can be considered valid if the error rate is less than 5%. Consequently, the absolute relative error rate is used to determine the credibility of the model, as described in Equation (2).
% R e l a t i v e   e r r o r = s i m u l a t e d   d a t a a c t u a l   d a t a a c t u a l   d a t a     100
The variables selected for the validation analysis are representative of the system and summarize, to a large extent, the behavior of the object of the study. For this purpose, the following are considered: avocado production, export quality, premium quality and second quality. Table 1 summarizes the average statistical behavior of the analyzed data. From the analysis of these data, it is determined that the mean obtained between the real data and the data obtained via simulation show little variation, which indicates that they are approximate averages. The percentage of the absolute value of the mean error obtained from each of the analyzed variables is less than 5%; this indicates that the representation of the proposed model is reliable.
The “production” variable exhibits the highest error rate, reaching 5.2%. This phenomenon is attributed to the variability in the amount of fruits per tree, which is influenced by the degree of technification of the crop.
Description of the Main Parameters of the Scenarios
In Table 2, the significant changes made in each scenario are summarized. In Scenario 1, where there is no access to credit, there is also no interest rate or repayment term for the credit, and the costs must be covered in full. In contrast, in Scenario 2, there is access to credit of COP 32 million, calculated based on the crop modernization needs. An interest rate of 0.07 + DTF % EA is stipulated, with a repayment term of 10 years. In addition to regular costs, from the third year onwards, installments must be paid, as it is expected that, by then, the producer will have income.
On the other hand, in Scenario 3, it is contemplated that the producers work in partnership, which grants access to higher credit amounts. Although the amount remains at COP 32 million, by obtaining credit in the name of an association, the financial entities reduce the interest rate from 0.07 + DTF to 0.05 + DTF. The repayment term is the same, but the costs are reduced by 7% due to greater bargaining power when purchasing raw materials wholesale.
In contrast, in Scenario 4, only credit of COP 15 million is needed, with the same term and interest rate. The costs are reduced by more than 20% because the government finances the most representative costs in production, such as the purchase of fertilizers and the provision of technicians to supervise production and ensure the application of good agricultural practices.

3.4.2. Scenario 2: Access to Credit

In the second scenario, we explore the crucial aspect of access to credit for small-scale farmers. Credit accessibility is paramount for the sustenance and expansion of their businesses, ultimately contributing to improving their livelihoods [62]. Despite its significance, small-scale farmers often face challenges when attempting to secure credit from traditional banks. These challenges are commonly attributed to a lack of collateral or an established credit history. Consequently, the growing importance of alternative financing options becomes evident as these farmers seek viable avenues to overcome credit-related hurdles.
In Colombia, various financial institutions, such as Finagro, Banco Agrario de Colombia, and savings and credit cooperatives, offer tailored financing options to address the unique needs of small-scale producers. These options encompass a spectrum of loans, including those designated for development, investment, and working capital [63]. Some loans may feature additional benefits, such as subsidies, incentives, or discounts, especially for producers meeting specific criteria, such as adopting environmentally friendly practices or operating in designated regions. For instance, Finagro provides a promotional loan designed for small-scale producers, incorporating an interest rate that combines the current Indicator Bancario de Referencia (IBR) of 1.75% with an additional 6.7%. This credit support serves small-scale producers’ working capital needs and investment projects, offering a tangible means to enhance their financial capabilities.
Beyond credit products, discussions have also focused on policies related to interest rates, repayment terms, and insurance. Interest rates play a pivotal role in determining the accessibility and affordability of credit for small-scale producers. Consequently, policies advocating for fair and reasonable interest rates can substantially improve credit access for these producers [64].
In essence, the availability of financing options and supportive policies for small-scale farmers plays a pivotal role in fostering sustainable agricultural practices and elevating the economic well-being of rural communities [65]. By obtaining access to credit, small-scale farmers can make vital investments in their businesses, enhance their productivity and competitiveness, and contribute to the overall development of the agricultural sector. However, certain challenges and constraints impede producers in capitalizing on these opportunities. These challenges include information gaps, insufficient financial training, geographical barriers, collateral requirements, and informality [66]. Addressing these challenges necessitates the strengthening of mechanisms for the dissemination of information, providing guidance and support to farmers, and ensuring their access to credit that aligns with their needs and capacities. Additionally, promoting coordination between financial institutions, the government, and producer organizations is indispensable in enhancing the rural sector’s availability and demand for credit. This collaborative approach ensures a more robust support system that empowers small-scale farmers to navigate challenges and seize opportunities for sustainable agricultural development.

3.4.3. Scenario 3: Associativity in Hass Avocado Production

In the third scenario, we explore the dynamics of associativity among small-scale producers in the Hass avocado industry. Small producers can operate independently or form partnerships with similar growers, strategically positioning themselves in the industry. The decision between these options depends on each grower’s individual circumstances and the specific characteristics of the region in which they operate. This scenario delves into the potential benefits and challenges of collaboration and associativity, offering insights into how collective efforts can shape the Hass avocado production chain landscape.
Opting for independent operation in the Hass avocado industry offers distinct advantages, giving growers greater control and autonomy in their financial and crop management. The potential for higher profits is also a noteworthy advantage if the business succeeds commercially [67]. However, this choice has disadvantages, such as a higher initial investment and financial burden, diminished bargaining power with buyers and suppliers, and the possibility of encountering lower prices and higher costs [68].
Conversely, collaborating with other small producers yields benefits such as shared financial and labor burdens, consequently lowering the costs and individual risks. This collaborative approach also enhances the bargaining power with buyers and suppliers, resulting in improvements in prices and the quality of supplies. Furthermore, partnering allows for the exchange of knowledge and experience with fellow producers [69]. However, this option has drawbacks, such as the necessity to share control and decision-making, potentially leading to conflicts and disagreements [68]. Additionally, there is the possibility of diminished individual profits if the business attains commercial success. The financial implications of both decisions are rigorously assessed to determine the most advantageous option for the investor.

3.4.4. Scenario 4: Access to Credit, Associativity, and Government Support in the Hass Avocado Venture

In Scenario 4, we combine the aspects explored in Scenarios 2 and 3, where producers can access credit and engage in collaboration. Additionally, we examine the potential advantages of government support for new participants, particularly smallholders, entering the Hass avocado market. This government assistance entails economic incentives to cover the initial expenses for fertilizers and planting materials, thereby reducing the costs and enhancing the overall profitability [70]. These incentives empower smallholders by facilitating export certification and adherence to global standards through training programs and agricultural guidance. This comprehensive approach improves product quality and facilitates international market access for smallholders [71]. However, conducting a thorough financial analysis remains essential to assess the profitability of Hass avocado cultivation. Factors such as the production costs and market prices must be considered to comprehensively understand the venture’s economic viability. Research suggests that smallholders operating in regions with favorable climate and soil conditions may find avocado cultivation profitable [17]. Nonetheless, successful outcomes depend on effective crop management, strategic marketing approaches, and access to credit. While government support alleviates the startup costs and enhances profitability, smallholders must navigate challenges such as market volatility and price fluctuations. Thus, implementing effective risk management strategies becomes crucial to ensure the long-term sustainability of Hass avocado cultivation. Government support programs can significantly benefit small growers entering the Hass avocado business. However, determining profitability requires a thorough financial analysis. Proper crop management, effective risk management strategies, and access to international markets can help small growers to survive and thrive in Hass avocado cultivation, thereby improving their livelihoods [72].

4. Results and Discussion

This study employed a system dynamics approach to conduct a financial feasibility analysis of the cultivation of Hass avocados in the Cauca Department. We formulated four distinct scenarios to evaluate the impact of various factors on the project’s profitability. Each scenario for the dynamic models was designed with specific parameters and connections to reflect the unique conditions under evaluation. The first scenario, established as a baseline, excluded any consideration of access to credit, producer associations, or government support. This resulted in appropriate adjustments and deactivations in the parameters and connections of the model representing these aspects.
On the other hand, in the second scenario, we incorporated access to credit as a crucial factor. We made specific adjustments to the parameters related to the interest rates, repayment terms, and available loan amounts and activated corresponding connections in the model to represent how this access to credit influenced the system dynamics. Similarly, for the third scenario, which analyzed the presence of producer associations, we adjusted the parameters representing collaboration among producers and activated connections, showing how this associativity affected the avocado cultivation productivity and profitability.
Lastly, in the fourth scenario, which considered government support through fertilizer subsidies, we made adjustments related to the input costs and activated connections representing how this support affected the production costs and, consequently, project profitability. The results of each of the mentioned scenarios are detailed below.

4.1. Analysis of Scenario 1: Production Chain Current Behavior

Figure 7 provides a 13-year financial analysis of Scenario 1 for the Hass avocado crop. The graph illustrates the total costs, revenues, and cash flow trajectory. A noteworthy observation is evident in the initial six years, where the total costs surpass the total revenues, resulting in a negative cash flow. This phenomenon is attributed to avocado trees requiring a considerable period before yielding fruit, positioning them as a long-term investment [73]. Nevertheless, a pivotal shift occurs around the ninth year, with a discernible income and cash flow increase. This surge signifies an elevated level of crop maturity. Subsequently, the cash flow exhibits a sustained positive trajectory despite the ongoing cost increase, albeit at a moderated rate.
Recognizing the substantial upfront costs and the demand for a significant initial investment is crucial, given that income is not realized immediately. In Scenario 1, the first-year total costs amount to COP 72 million, surpassing zero total revenue. Hence, meticulously considering these initial costs is imperative when strategizing an investment in the Hass avocado crop.

4.2. Analysis of Scenario 2: Access to Credit

Figure 8 presents a comprehensive 13-year financial analysis for Scenario 2. It delineates the annual total costs, revenues, and cash flow. The total costs encompass the fixed and variable expenses associated with Hass avocado production, including credit costs. Meanwhile, the total revenue signifies the earnings derived from Hass avocado sales, and the cash flow delineates the disparity between the total revenue and total costs.
In the first year of Scenario 2, the cash flow is negative at COP −40 million due to the total costs surpassing the total revenues. This scenario unfolds as the farmer must make loan payments while concurrently endeavoring to generate sufficient income to offset these expenses. In the second year, the cash flow becomes even more negative (COP –56 million) as the total costs remain high while the total revenues remain at zero. This negative trend persists because the total costs remain elevated while the total revenues remain at zero. The protracted time required for Hass avocado trees to yield commercially viable fruit becomes apparent during this period, with the farmer yet to harvest any produce.
By the fourth year, the cash flow becomes positive (COP 5 million), with the total revenues surpassing the total costs. This positive transformation can be attributed to the farmer’s strategic investment, which improves the quality and increases the yield of Hass avocado production. In the following years, the cash flow consistently remains positive and demonstrates substantial growth, signifying that the farmer has achieved an enhanced income through their investment. In summary, credit availability has proven advantageous for the small farmer, improving the product quality and ensuring a better long-term income.

4.3. Analysis of Scenario 3: Associativity in Hass Avocado Production

Figure 9 provides crucial insights into Scenario 3, shedding light on the producer’s ability to access credit and collaborate with fellow producers. Collaborative efforts empower producers to secure more favorable conditions to obtain inputs and financing, ultimately enhancing their competitiveness and overall income. The results highlight a notable reduction in total costs and a significant increase in the net cash flow in the years after gaining access to credit. While the net cash flow is negative during the initial years (1 to 3), indicating project losses, it becomes positive after the third year, signifying that the initial investment is yielding profitability. This positive shift in the net cash flow can be attributed to the reduced total costs and increased total income resulting from the producer’s strategic partnership with others.
Despite the decrease in total costs in Scenario 3, the repayment of loan installments is extended over a more prolonged period. Producers must consider this aspect when making financial decisions. Therefore, although the costs are lower in Scenario 3, it is important to acknowledge that the complete repayment of the investment will require an extended timeframe.

4.4. Analysis of Scenario 4: Access to Credit, Associativity, and Government Support in the Hass Avocado Venture

In Figure 10, a comprehensive analysis of Scenario 4 is provided, showcasing a significant decrease in the total costs compared to the previous scenarios. This notable reduction is attributed to the collaborative efforts among small producers, enabling them to optimize their costs and access financing at lower interest rates. Moreover, government assistance, in the form of technical guidance and input financing, further contributes to the overall cost reduction.
Moreover, Figure 10 demonstrates that the total income surpasses the outcomes observed in the previous scenarios, underscoring the positive impact of amalgamating these strategies on the profitability of the Hass avocado crop. Small producers can enhance their investment in crop improvements by obtaining credit, resulting in higher yields. The collaborative approach enables cost optimization and access to financing at reduced interest rates. Through technical guidance and input financing, government support is crucial in reducing costs and improving crop quality, ultimately leading to an increased income.
A positive cash flow commences in the fourth year and consistently grows in the following years. This trend suggests that the initial investment yields profitability and smallholders consistently generate a positive cash flow. The sustained nature of this positive cash flow underscores the long-term viability of this strategic approach.
In summary, the synergistic integration of credit access, producer collaboration, and government support significantly enhances the profitability of the Hass avocado crop. The reduction in total costs, the increased income, and the sustained positive cash flow underscore this strategy’s potential profitability and viability for small producers and investors venturing into the Hass avocado crop industry.

4.5. Net Present Value (NPV) Evaluation for Each Scenario

The net present value (NPV) is a pivotal financial tool in assessing an investment’s profitability. This method comprehensively compares the anticipated future cash flows with the initial investment costs. Of significant importance is integrating a discount rate, which mirrors the opportunity cost of investing in the project rather than an alternative investment [74]. In the feasibility study of the Hass avocado crop, the NPV has been calculated for the four distinct scenarios. This approach standardizes the anticipated financial outcomes in agricultural contexts [75].
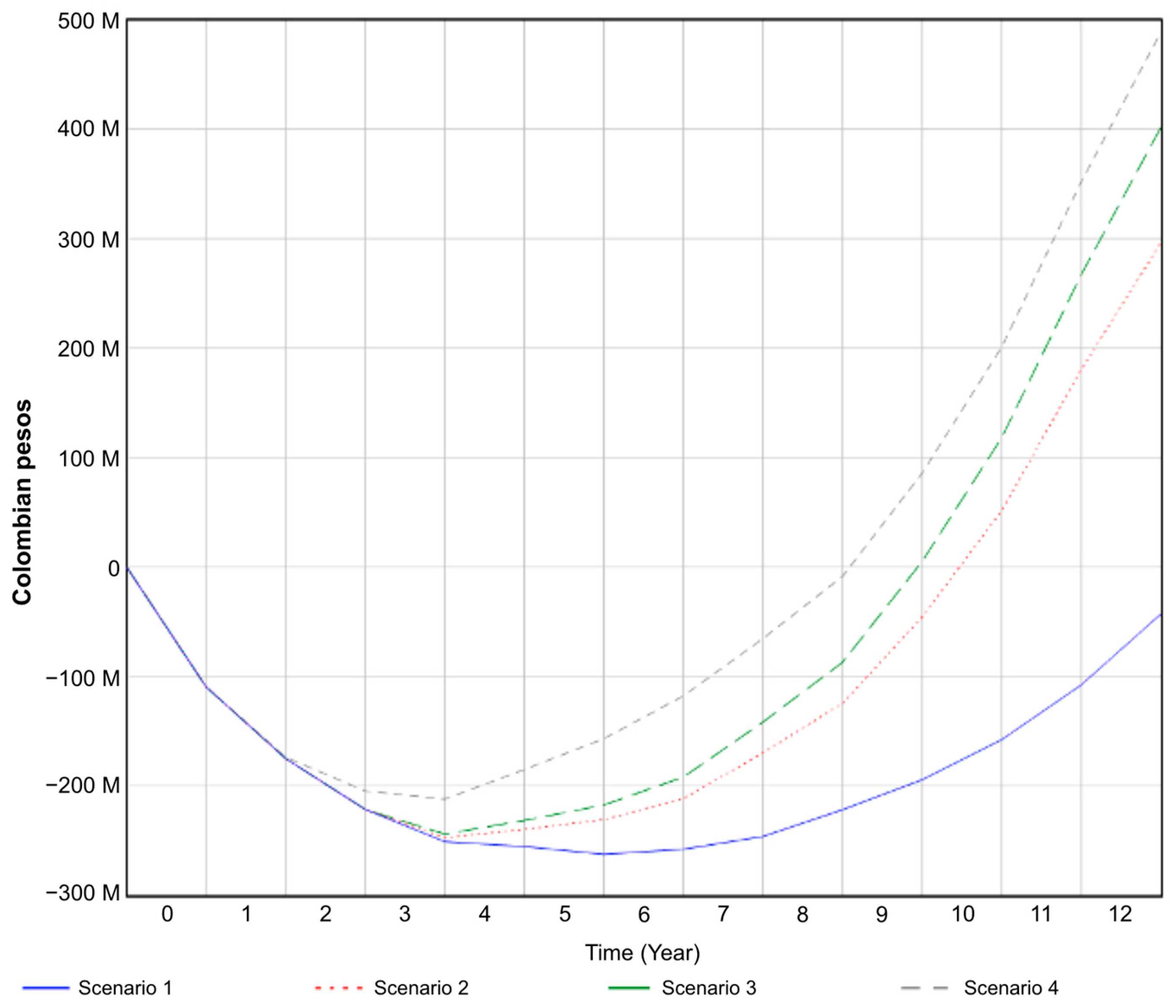
In Scenario 1, where none of the proposed strategies are implemented, the consistently negative NPV values suggest that the project’s profitability could be improved. In Scenario 2, introducing access to credit enables smallholders to fund the necessary inputs and equipment for Hass avocado production. Despite an initially unfavorable NPV, it becomes positive after the fifth year, indicating that access to credit can yield long-term profitability. Scenario 3 involves the collaboration of small producers to achieve economies of scale. While the NPV is initially negative, it becomes positive after the sixth year, suggesting that associativity can be profitable in the medium term. Scenario 4 combines access to credit, the associativity of small producers, and government support, including inputs and technical advice for avocado production. The NPV for this scenario is positive from the first year, implying that this combination of strategies and government support can be highly profitable for Hass avocado projects. Notably, Scenario 4 exhibits the highest NPV and the quickest return on investment, making it the most favorable scenario for potential investors. The consolidated NPV results are presented in Figure 11.

4.6. Sensitivity Analysis

Conducting a sensitivity analysis is essential in evaluating how variations in key variables impact a project’s NPV. This analysis considers changes in variables like the sales price, production costs, and cultivated area to comprehensively understand the project’s financial viability under different scenarios [76]. This study defines ranges of variation for each crucial variable, encompassing optimistic and pessimistic scenarios. In the optimistic scenario, a 10% rise in the selling price, a 5% reduction in production costs, and a crop area exceeding 4 hectares are assumed. Conversely, the pessimistic scenario contemplates a 10% decline in sales price, a 5% rise in production costs, and a crop area limited to 2 hectares.
The sensitivity analysis for Scenario 4, the most promising, was accomplished using the Vensim DSS software (academic version). Different confidence levels (50%, 75%, 95%, and 100%) were assessed. The outcomes, depicted in Figure 11 and Figure 12, utilize color coding: green for a positive NPV, blue for a very positive NPV, and gray for an extremely positive NPV. Figure 12 illustrates that, at all confidence levels, the NPV values in the final period remain above zero. This indicates the continued profitability of the crop, even with a 10% increase in production costs and a 10% decrease in sales prices per kilogram, as long as the cultivated area exceeds 4 hectares.
Figure 13 highlights a critical insight from the sensitivity analysis: a crop area of less than three hectares is not economically viable in the most recent period. This research underscores the importance of a minimum crop area, namely a four-hectare equilibrium point, for profitable Hass avocado production. This finding provides valuable guidance for smallholders to ensure financial viability, sustainability, and an optimal crop scale.
As previously discussed, the impact of investing in crop improvement is substantial. Specifically, increased technification enhances the crop quality, leading to a higher percentage of export-quality avocado fruit. This results in higher selling prices for exported goods. The increased revenue from these exports can then be reinvested into further technification, such as autonomous irrigation systems and specialized machinery. This creates a feedback loop, ultimately aiming to achieve export-quality standards for nearly 100% of the harvest. The Forrester model assesses this process, including investment costing, financing, income, and expenses, allowing for the calculation of the NPV, as illustrated in Figure 11. Moreover, this approach is not limited to a single type of crop; it can be effectively applied to other crops.

5. Conclusions

This research evaluates agricultural projects under various policy scenarios and employs a system dynamics approach. The four-scenario methodology provides empirical evidence supporting organized and systematic evaluation for long-term projects. The findings enhance the robustness and further compare the present value and sensitivity. The research concludes that Hass avocados crops can be profitable under specific conditions, emphasizing significant factors such as financing access, producer collaborations, fertilizer subsidies, and government support. These findings offer valuable insights for small producers, policymakers, and stakeholders involved in Hass avocado production in this regional rural development zone, the Cauca Department.
In this context, projects with key variable fluctuations in the sensitivity analysis could benefit from this profitability-gauging proposal. The agricultural project considered in this research highlights the minimum crop area, namely than four hectares, for profitability, particularly in the most pessimistic scenario. Tools like the Vensim DSS software, used for sensitivity analysis, support diverse scenario evaluations and present well-informed decisions on project feasibility.
Subsequent research endeavors focusing on agricultural projects could explore their profitability and environmental ramifications in multiple scenarios. Considering the Hass avocado crop’s profitability in diverse regions or countries, such studies would yield valuable comparative insights. Additionally, exploring supplementary public policies’ impacts, encompassing aspects like market access and infrastructure development, on agricultural project profitability could offer a more comprehensive understanding. Future research should be extended to the avocado crop’s environmental consequences and consider strategies to mitigate the negative impacts. Moreover, this approach is versatile and can be applied to other crops. Each crop has unique requirements and market conditions, but the underlying principle of reinvestment in technification to improve the quality and profitability remains consistent.

Author Contributions

Conceptualization, Y.E.A.-M. and A.F.S.P.; methodology, Y.E.A.-M., O.R.-O. and H.P.; software, Y.E.A.-M. and A.F.S.P.; validation, M.C. and O.R.-O.; formal analysis, Y.E.A.-M., O.R.-O. and H.P.; drafting, revision, and editing, Y.E.A.-M., A.F.S.P., M.C. and A.L. All authors have read and agreed to the published version of the manuscript.

Funding

Yesid Ediver Anacona Mopan, Helmer Paz, and Andrés Felipe Solis Pino gratefully acknowledge the support of the Corporación Universitaria Comfacauca-Unicomfacauca. Yesid Ediver, Anacona Mopan, and Oscar Rubiano Ovalle are additionally grateful to Universidad del Valle. Mario Chong and Ana Luna would like to acknowledge CONCYTEC’s and PROCIENCIA’s contributions (E041-2021-01-AECID); this work was subsidized according to contract No. 068-2021 within the framework of the “Cooperation Project with the Spanish Agency for International Development Cooperation—AECID”, formalized through the Resolution of the Presidency of AECID, dated 9 June 2021 and Universidad del Pacífico—Project 2022-2024—“Oportunidades para las pequeñas unidades familiares productoras de papa, mediante la implementación del ecodiseño como estrategia de reactivación económica frente al COVID-19”.

Data Availability Statement

The data available are provided in this article.

Acknowledgments

Thanks to the Hass avocado leaders and producers in the Department of Cauca for providing us with the data and sharing their experiences.

Conflicts of Interest

The authors declare no conflicts of interest.

Appendix A. The Complete Stock and Flow Diagram

Figure A1. Stock and flow diagram.
Figure A1. Stock and flow diagram.
Systems 12 00210 g0a1

References

  1. Inter-American Network of Academies of Sciences (IANA). Challenges and Opportunities for Food and Nutrition Security in the Americas; The View of the Academies of Sciences: Mexico City, Mexico, 2017. [Google Scholar]
  2. Wang, L.; Tao, L.; Hao, L.; Stanley, T.H.; Huang, K.H.; Lambert, J.D.; Kris-Etherton, P.M. A Moderate-Fat Diet with One Avocado per Day Increases Plasma Antioxidants and Decreases the Oxidation of Small, Dense LDL in Adults with Overweight and Obesity: A Randomized Controlled Trial. J. Nutr. 2020, 150, 276–284. [Google Scholar] [CrossRef]
  3. Porat, R.; Lichter, A.; Terry, L.A.; Harker, R.; Buzby, J. Postharvest losses of fruit and vegetables during retail and in consumers’ homes: Quantifications, causes, and means of prevention. Postharvest Biol. Technol. 2018, 139, 135–149. [Google Scholar] [CrossRef]
  4. Nor, S.M.; Ding, P. Trends and advances in edible biopolymer coating for tropical fruit: A review. Food Res. Int. 2020, 134, 109208. [Google Scholar] [CrossRef] [PubMed]
  5. García, J.S.A.; Hurtado-Salazar, A.; Ceballos-Aguirre, N. Current overview of Hass avocado in Colombia. Challenges and opportunities: A review. Ciên. Rural 2021, 51, 276–284. [Google Scholar] [CrossRef]
  6. De Jesús Guerrero, E.; Rubio, W.; Torres, W.; Saavedra, S.H.; Muñoz, L.M.M.; Reyes, C.; Villegas, B.; Morales, C.S.; de Jesús Sarma, A.; Aranda, Y.; et al. Manual para el Cultivo de Frutales en el Trópico; Produmedios: Bogotá, Columbia, 2012. [Google Scholar]
  7. Ramírez-Gil, J.G.; Franco, G.; Henao-Rojas, J.C. Review of the concept of quality in Hass avocado and the pre-harvest and harvest factors that determine it under tropical conditions. Rev. Colomb. Cienc. Hortícolas 2019, 13, 359–370. [Google Scholar] [CrossRef]
  8. Correa, M.C.G.; del Mar Chacón Molina, M.; Jaramillo, S.J. El mercado del aguacate Hass en Japón: Retos para los exportadores colombianos. Online J. Mundo Asia Pac. 2021, 10, 86–99. [Google Scholar]
  9. Paz-Orozco, H.; Meléndez-Bermúdez, O.; Gonzalez-Feliu, J.; Morillo, D.; Rey, C.; Gatica, G. The Organization of Fruit Collection Transport in Conditions of Extreme Rurality: A Rural CVRP Case. In Workshop on Engineering Applications; Springer: Berlin/Heidelberg, Germany, 2022; pp. 234–242. [Google Scholar]
  10. Cho, K.; Goldstein, B.; Gounaridis, D.; Newell, J.P. Where does your guacamole come from? Detecting deforestation associated with the export of avocados from Mexico to the United States. J. Environ. Manag. 2021, 278, 111482. [Google Scholar] [CrossRef] [PubMed]
  11. Solarte-Toro, J.C.; Ortiz-Sanchez, M.; Alzate, C.A.C. Environmental life cycle assessment (E-LCA) and social impact assessment (SIA) of small-scale biorefineries implemented in rural zones: The avocado (Persea Americana var. Americana) case in Colombia. Environ. Sci. Pollut. Res. 2023, 30, 8790–8808. [Google Scholar] [CrossRef] [PubMed]
  12. Lissbrant, S.; Espitia, P.J.P.; Mendoza, A.; Lissbrant, S.; Espitia, P.J.P.; Mendoza, A. Challenges faced by smallholder farmers in a former conflict area in Colombia: The case of Montes de María. Investig. Desarro. 2018, 26, 6–39. [Google Scholar] [CrossRef]
  13. Lyons, K.M. Decomposition as Life Politics: Soils, Selva, and Small Farmers under the Gun of the U.S.–Colombia War on Drugs. Cult. Anthr. 2016, 31, 56–81. [Google Scholar] [CrossRef]
  14. Renteria-Ramos, R.; Chong, M.; de Brito Junior, I.; Luna, A.; Quiliche, R. An entropy-based approach for disaster risk assessment and humanitarian logistics operations planning in Colombia. J. Humanit. Logist. Supply Chain. Manag. 2021, 39, 428–456. [Google Scholar] [CrossRef]
  15. Serrano, A.; Brooks, A. Who is left behind in global food systems? Local farmers failed by Colombia’s avocado boom. Environ. Plan. E Nat. Space 2019, 2, 348–367. [Google Scholar] [CrossRef]
  16. Gaitan, S.B.; Ríos, M.D. Socio-economic and technological typology of avocado cv. Hass farms from Antioquia (Colombia). Ciênc. Rural 2020, 50, e20190188. [Google Scholar] [CrossRef]
  17. Mopan, Y.E.A.; Rubiano-Ovalle, O.; Paz, H.; Pino, A.F.S.; Chong, M.; Luna, A. Fresh Product Supply Chain Analysis in Cauca, Colombia—A Hass Avocado System Dynamics Approach. Systems 2023, 11, 29. [Google Scholar] [CrossRef]
  18. Peano, C.; Tecco, N.; Dansero, E.; Girgenti, V.; Sottile, F. Evaluating the Sustainability in Complex Agri-Food Systems: The SAEMETH Framewor. Sustainability 2015, 7, 6721–6741. [Google Scholar] [CrossRef]
  19. Elkadeem, M.R.; Wang, S.; Sharshir, S.W.; Atia, E.G. Feasibility analysis and techno-economic design of grid-isolated hybrid renewable energy system for electrification of agriculture and irrigation area: A case study in Dongola, Sudan. Energy Convers. Manag. 2019, 196, 1453–1478. [Google Scholar] [CrossRef]
  20. Chopin, P.; Mubaya, C.P.; Descheemaeker, K.; Öborn, I.; Bergkvist, G. Avenues for improving farming sustainability assessment with upgraded tools, sustainability framing and indicators. A review. Agron. Sustain. Dev. 2021, 41, 19. [Google Scholar] [CrossRef]
  21. Reidsma, P.; König, H.; Feng, S.; Bezlepkina, I.; Nesheim, I.; Bonin, M.; Sghaier, M.; Purushothaman, S.; Sieber, S.; Van Ittersum, M.K.; et al. Methods and tools for integrated assessment of land use policies on sustainable development in developing countries. Land Use Policy 2011, 28, 604–617. [Google Scholar] [CrossRef]
  22. Garcia, X.; Pargament, D. Reusing wastewater to cope with water scarcity: Economic, social and environmental considerations for decision-making. Resour. Conserv. Recycl. 2015, 101, 154–166. [Google Scholar] [CrossRef]
  23. Closas, A.; Rap, E. Solar-based groundwater pumping for irrigation: Sustainability, policies, and limitations. Energy Policy 2017, 104, 33–37. [Google Scholar] [CrossRef]
  24. Chapman, C.; Ward, S. Project Risk Management Processes, Techniques and Insights; John Wiley & Sons Ltd.: Hoboken, NJ, USA, 2003. [Google Scholar]
  25. Wang, Z.; Tang, X. Research of investment evaluation of agricultural venture capital project on real options approach. Agric. Agric. Sci. Procedia 2010, 1, 449–455. [Google Scholar] [CrossRef][Green Version]
  26. Yet, B.; Constantinou, A.; Fenton, N.; Neil, M.; Luedeling, E.; Shepherd, K. A Bayesian network framework for project cost, benefit and risk analysis with an agricultural development case study. Expert Syst. Appl. 2016, 60, 141–155. [Google Scholar] [CrossRef]
  27. Latinopoulos, D.; Kechagia, K. A GIS-based multi-criteria evaluation for wind farm site selection. A regional scale application in Greece. Renew. Energy 2015, 78, 550–560. [Google Scholar] [CrossRef]
  28. Castillo, J.C.; Goicochea, E.; Chong, M.; Rodriguez, M. Inmegacity characterization: Trends and realities. Manag. Res. J. Iberoam. Acad. Manag. 2019, 17, 187–204. [Google Scholar] [CrossRef]
  29. Yih, P.T.; Oria, M.; Nesheim, M.C. A Framework for Assessing Effects of the Food System; National Academies Press: Washington, DC, USA, 2015. [Google Scholar]
  30. López, J.A.A.; Salas, K.M.C. Dinámica de sistemas aplicado en el análisis de cadenas productivas agroindustriales en el departamento de Bolívar. Sist. Telemática 2013, 11, 27–37. [Google Scholar]
  31. Demczuk, A.; Padula, A.D. Using system dynamics modeling to evaluate the feasibility of ethanol supply chain in Brazil: The role of sugarcane yield, gasoline prices and sales tax rates. Biomass Bioenergy 2017, 97, 186–211. [Google Scholar] [CrossRef]
  32. Buchholz, T.S.; Volk, T.A.; Luzadis, V.A. A participatory systems approach to modeling social, economic, and ecological components of bioenergy. Energy Policy 2007, 35, 6084–6094. [Google Scholar] [CrossRef]
  33. Hernández, N.; Soto, F.; Caballero, A. Modelos de simulación de cultivos: Características y usos. Cultiv. Trop. 2009, 30, 73–83. [Google Scholar]
  34. Brancalion, P.H.S.; Holl, K.D. Guidance for successful tree planting initiatives. J. Appl. Ecol. 2020, 57, 2349–2361. [Google Scholar] [CrossRef]
  35. Rekalde-Rodríguez, I.; Gil-Molina, P.; Cruz-Iglesias, E. The Questionnaires: Assessment of Transversal Competencies for Sustainability. J. Teach. Educ. Sustain. 2021, 23, 22–40. [Google Scholar] [CrossRef]
  36. Chaparro, X.A.F.; de Vasconcelos Gomes, L.A.; de Souza Nascimento, P.T. The evolution of project portfolio selection methods: From incremental to radical innovation. Rev. Gest. 2019, 26, 212–236. [Google Scholar] [CrossRef]
  37. Hematyar, H.; Sari, A.A.; Jafari, D.D.; Pourreza, A. The feasibility study of investment in public hospital construction project using the real options model. J. Educ. Health Promot. 2019, 8, 190. [Google Scholar] [CrossRef] [PubMed]
  38. Anysz, H.; Dąbrowska, M. The Risk Indicators of Construction Projects’ Cost Overruns Assessed with PCA, Decision Trees, and Pearson’s Correlations. In XXX Russian-Polish-Slovak Seminar Theoretical Foundation of Civil Engineering (RSP 2021); Akimov, P., Vatin, N., Eds.; Springer International Publishing: Cham, Switzerland, 2022; pp. 424–432. [Google Scholar]
  39. Sandham, L.A.; Chabalala, J.J.; Spaling, H.H. Participatory Rural Appraisal Approaches for Public Participation in EIA: Lessons from South Africa. Land 2019, 8, 150. [Google Scholar] [CrossRef]
  40. Häsler, B.; Msalya, G.; Roesel, K.; Fornace, K.; Eltholth, M.; Sikira, A.; Kurwijila, L.; Rushton, J.; Grace, D. Using participatory rural appraisal to investigate food production, nutrition and safety in the Tanzanian dairy value chain. Glob. Food Secur. 2019, 20, 122–131. [Google Scholar] [CrossRef]
  41. Kholodova, M.; Podgorskaya, S. Project management methods in agriculture. In E3S Web of Conferences; EDP Sciences: Les Ulis, France, 2020; p. 11007. [Google Scholar]
  42. German, L.A.; Bonanno, A.M.; Foster, L.C.; Cotula, L. “Inclusive business” in agriculture: Evidence from the evolution of agricultural value chains. World Dev. 2020, 134, 105018. [Google Scholar] [CrossRef]
  43. Winters, P.; Salazar, L.; Maffioli, A. Designing Impact Evaluations for Agricultural Projects; Inter-American Development Bank, Office of Strategic Planning and Development Effectiveness (SPD): Washington, DC, USA, 2010. [Google Scholar]
  44. Casley, D.J.; Kumar, K. Project Monitoring and Evaluation in Agriculture; World Bank: New York, NY, USA, 1987. [Google Scholar]
  45. Yazdani, M.; Gonzalez, E.D.R.S.; Chatterjee, P. A multi-criteria decision-making framework for agriculture supply chain risk management under a circular economy context. Manag. Decis. 2021, 59, 1801–1826. [Google Scholar] [CrossRef]
  46. Garcia-Pajoy, J.; Ruiz, N.P.; Chong, M.; Luna, A. Utilising PLS-SEM and Km2 Methodology in Urban Logistics Analysis: A Case Study on Popayan, Colombia. Sustainability 2023, 15, 12976. [Google Scholar] [CrossRef]
  47. Forrester, J.W. Industrial Dynamic; MIT Press: Cambridge, MA, USA, 1961. [Google Scholar]
  48. Sterman, J. Business Dynamics: Systems Thinking and Modeling for a Complex World; Irwin: Burr Ridge, IL, USA; McGraw-Hill: New York, NY, USA, 2000. [Google Scholar]
  49. Adusumilli, N.; Davis, S.; Fromme, D. Economic evaluation of using surge valves in furrow irrigation of row crops in Louisiana: A net present value approach. Agric. Water Manag. 2016, 174, 61–65. [Google Scholar] [CrossRef]
  50. Bala, B.K.; Arshad, F.M.; Noh, K.M. Causal Loop Diagrams. In System Dynamics: Modelling and Simulation; Bala, B.K., Arshad, F.M., Noh, K.M., Eds.; Springer Texts in Business and Economics; Springer: Singapore, 2017; pp. 37–51. [Google Scholar] [CrossRef]
  51. Arora, A.; Belenzon, S.; Sheer, L. Knowledge spillovers and corporate investment in scientific research. Am. Econ. Rev. 2021, 111, 871–898. [Google Scholar] [CrossRef]
  52. Quiliche, R.; Rentería-Ramos, R.; de Brito Junior, I.; Luna, A.; Chong, M. Using Spatial Patterns of COVID-19 to Build a Framework for Economic Reactivation. Sustainability 2021, 13, 18. [Google Scholar] [CrossRef]
  53. Benson, A.; Faguet, J.-P.; López-Uribe, M.P. Increasing Access to agricultural credit: The heterogeneous effects of Collective Action. Doc. CEDE 2020. Available online: https://repositorio.uniandes.edu.co/entities/publication/affa554e-1515-49e9-8785-4cefaaaa8013 (accessed on 9 June 2024). [CrossRef]
  54. Bala, B.K.; Arshad, F.M.; Noh, K.M. «Stock and Flow Diagram», en System Dynamics: Modelling and Simulation; Bala, B.K., Arshad, F.M., Noh, K.M., Eds.; Springer Texts in Business and Economics; Springer: Singapore, 2017; pp. 53–118. [Google Scholar] [CrossRef]
  55. Osorio, F.A.; Aramburo, S.A.; Morales, Y.O. Simulation of investment strategies for small coffee farmers in Colombia. Rev. Fac. Nac. Agron. Medellín 2011, 64, 6277–6290. [Google Scholar]
  56. Ovalle, O.R.; Orozco, H.P.; Sinisterra, H.A. Analysis of Financial Flow for Small Producers of Colombian Coffee: A Systemic Approach. In Handbook of Research on Urban and Humanitarian Logistics; IGI Global: Hershey, PA, USA, 2019; pp. 158–178. [Google Scholar]
  57. Sánchez, M.A.F.; Rodríguez, J.A.L.; González, J.M.S.; Ramos, M.A.; Munguía, A.G. Análisis de costos y competitividad en la producción de aguacate en Michoacán, México. Rev. Mex. Cienc. Agrícolas 2018, 9, 391–403. [Google Scholar]
  58. Arias, F.; Montoya, C.; Velásquez, O. Dinámica del mercado mundial de aguacate. Rev. Virtual Univ. Católica Norte 2018, 55, 22–35. [Google Scholar] [CrossRef]
  59. Mordor Intelligence. Informe de Mercado del Aguacate Hass: Amaño, Participación, Crecimiento y Tendencias (2022–27). 2023. Available online: https://www.analdex.org/2024/03/18/informe-exportaciones-de-aguacate-hass-2023/ (accessed on 9 June 2024).
  60. Cruz-López, D.F.; Caamal-Cauich, I.; Pat-Fernández, V.G.; Salgado, J.R. Competitividad de las exportaciones de aguacate Hass de México en el mercado mundial. Rev. Mex. De Cienc. Agríc. 2022, 13, 335–362. [Google Scholar] [CrossRef]
  61. Barlas, Y. Formal aspects of model validity and validation in system dynamics. Syst. Dyn. Soc. 1996, 12, 183–210. [Google Scholar] [CrossRef]
  62. Baker, T.H.; Judge, K. How to help small businesses survive COVID-19. In Columbia Law and Economics Working Paper No. 620; Columbia Law School: New York, NY, USA, 2020. [Google Scholar] [CrossRef]
  63. Benson, A.; Faguet, J.-P. Increasing Access to Formal Agricultural Credit: The Role of Rural Producer Organisations. J. Dev. Stud. 2023, 59, 21–38. [Google Scholar] [CrossRef]
  64. Shamshur, A.; Weill, L. Does bank efficiency influence the cost of credit? J. Bank. Financ. 2019, 105, 62–73. [Google Scholar] [CrossRef]
  65. Bisht, I.S.; Rana, J.C.; Ahlawat, S.P. The Future of Smallholder Farming in India: Some Sustainability Considerations. Sustainability 2020, 12, 3751. [Google Scholar] [CrossRef]
  66. Pomeroy, R.; Arango, C.; Lomboy, C.G.; Box, S. Financial inclusion to build economic resilience in small-scale fisheries. Mar. Policy 2020, 118, 103982. [Google Scholar] [CrossRef]
  67. Ogolla, K.O.; Chemuliti, J.K.; Ngutu, M.; Kimani, W.W.; Anyona, D.N.; Nyamongo, I.K.; Bukachi, S.A. Women’s empowerment and intra-household gender dynamics and practices around sheep and goat production in South East Kenya. PLoS ONE 2022, 17, e0269243. [Google Scholar] [CrossRef] [PubMed]
  68. Perea, A.F. Asociatividad para mejora de la competitividad de pequeños productores agrícolas. An. Cien. 2015, 76, 177–185. [Google Scholar] [CrossRef]
  69. Adu-Baffour, F.; Daum, T.; Birner, R. Can small farms benefit from big companies’ initiatives to promote mechanization in Africa? A case study from Zambia. Food Policy 2019, 84, 133–145. [Google Scholar] [CrossRef]
  70. Pérez, L.F.; Gómez, M.I. Public-private strategies to establish a successful avocado export cycle: Cases from Colombia. J. Agribus. Dev. Emerg. Econ. 2022, 12, 4. [Google Scholar] [CrossRef]
  71. Vásquez-Aguilar, R.F.; García-Hevia, S. Technical-economic study in avocado cultivation, Atahualpa Canton, El Oro Province. Rev. Cienc. Téc. Agropecu. 2021, 30, 91–101. [Google Scholar]
  72. Yang, J.; Liu, X. The role of sustainable development goals, financial knowledge and investment strategies on the organizational profitability: Moderating impact of government support. Econ. Res. 2023, 36, 1570–1591. [Google Scholar] [CrossRef]
  73. Cohen, H.; Bar-Noy, Y.; Irihimovitch, V.; Rubinovich, L. Effects of seedling and clonal West Indian rootstocks irrigated with recycled water on ‘Hass’ avocado yield, fruit weight and alternate bearing. N. Z. J. Crop Hortic. Sci. 2023, 51, 39–51. [Google Scholar] [CrossRef]
  74. Knoke, T.; Gosling, E.; Paul, C. Use and misuse of the net present value in environmental studies. Ecol. Econ. 2020, 174, 106664. [Google Scholar] [CrossRef]
  75. Marchioni, A.; Magni, C.A. Investment decisions and sensitivity analysis: NPV-consistency of rates of return. Eur. J. Oper. Res. 2018, 268, 361–372. [Google Scholar] [CrossRef]
  76. Anas, A.V.; Amalia, R.; Qaidahiyani, N.F.; Djamaluddin; Herin, S.R.D. Sensitivity Analysis of Net Present Value due to Optimal Pit Limit in PT Ceria Nugraha Indotama, Kolaka Regency, Southeast Sulawesi Province. IOP Conf. Ser. Mater. Sci. Eng. 2020, 875, 012050. [Google Scholar] [CrossRef]
Figure 1. Causal loop diagram depicting the Hass avocado production chain.
Figure 1. Causal loop diagram depicting the Hass avocado production chain.
Systems 12 00210 g001
Figure 2. Stock flow diagram for Hass avocado production and commercialization.
Figure 2. Stock flow diagram for Hass avocado production and commercialization.
Systems 12 00210 g002
Figure 3. Producer’s stock and flow diagram.
Figure 3. Producer’s stock and flow diagram.
Systems 12 00210 g003
Figure 4. Stock and flow diagram: producer’s financial commitments.
Figure 4. Stock and flow diagram: producer’s financial commitments.
Systems 12 00210 g004
Figure 5. Stock and flow diagram: financial evaluation of Hass avocado production.
Figure 5. Stock and flow diagram: financial evaluation of Hass avocado production.
Systems 12 00210 g005
Figure 6. NPV causal tree.
Figure 6. NPV causal tree.
Systems 12 00210 g006
Figure 7. Cash flow analysis for Scenario 1.
Figure 7. Cash flow analysis for Scenario 1.
Systems 12 00210 g007
Figure 8. Cash flow analysis for Scenario 2.
Figure 8. Cash flow analysis for Scenario 2.
Systems 12 00210 g008
Figure 9. Cash flow analysis for Scenario 3.
Figure 9. Cash flow analysis for Scenario 3.
Systems 12 00210 g009
Figure 10. Cash flow analysis for Scenario 4.
Figure 10. Cash flow analysis for Scenario 4.
Systems 12 00210 g010
Figure 11. NPV results across scenarios.
Figure 11. NPV results across scenarios.
Systems 12 00210 g011
Figure 12. NPV production costs and sales prices—sensitivity analysis.
Figure 12. NPV production costs and sales prices—sensitivity analysis.
Systems 12 00210 g012
Figure 13. NPV crop area (hectares)—sensitivity analysis.
Figure 13. NPV crop area (hectares)—sensitivity analysis.
Systems 12 00210 g013
Table 1. Average statistical behavior of the data.
Table 1. Average statistical behavior of the data.
Overall Average (kg)ProductionExport
Quality
Premium
Quality
Second
Quality
Actual
Media19,326186786355599
Standard deviation3.463.072.892.89
Maximum data19,333187286405605
Minimum data19,317186286305592
Simulated data
Media18,328195487245816
Standard deviation113.185.923.552.36
Maximum data18,500196283705822
Minimum data18,200194987185810
% Error real/simulated data5.2%4.7%1.0%3.9%
Table 2. The main parameters that were changed in each scenario.
Table 2. The main parameters that were changed in each scenario.
ParameterScenario 1Scenario 2Scenario 3Scenario 4
Credit0COP 32 Mill COP 32 MillCOP 15 Mill
Interest Rate00.07 + DTF % EA0.05 + DTF % EA0.05 + DTF % EA
Term010 years10 years10 years
Costs100%100% + credit100% − 7% + credit100% − 7% − 20% + credit
Disclaimer/Publisher’s Note: The statements, opinions and data contained in all publications are solely those of the individual author(s) and contributor(s) and not of MDPI and/or the editor(s). MDPI and/or the editor(s) disclaim responsibility for any injury to people or property resulting from any ideas, methods, instructions or products referred to in the content.

Share and Cite

MDPI and ACS Style

Anacona-Mopan, Y.E.; Rubiano-Ovalle, O.; Paz, H.; Luna, A.; Pino, A.F.S.; Chong, M. Public Policy on Agricultural Projects Assessing the Impact: A Hass Avocado Crop System Dynamics Applied Valuation. Systems 2024, 12, 210. https://doi.org/10.3390/systems12060210

AMA Style

Anacona-Mopan YE, Rubiano-Ovalle O, Paz H, Luna A, Pino AFS, Chong M. Public Policy on Agricultural Projects Assessing the Impact: A Hass Avocado Crop System Dynamics Applied Valuation. Systems. 2024; 12(6):210. https://doi.org/10.3390/systems12060210

Chicago/Turabian Style

Anacona-Mopan, Yesid Ediver, Oscar Rubiano-Ovalle, Helmer Paz, Ana Luna, Andrés Felipe Solis Pino, and Mario Chong. 2024. "Public Policy on Agricultural Projects Assessing the Impact: A Hass Avocado Crop System Dynamics Applied Valuation" Systems 12, no. 6: 210. https://doi.org/10.3390/systems12060210

APA Style

Anacona-Mopan, Y. E., Rubiano-Ovalle, O., Paz, H., Luna, A., Pino, A. F. S., & Chong, M. (2024). Public Policy on Agricultural Projects Assessing the Impact: A Hass Avocado Crop System Dynamics Applied Valuation. Systems, 12(6), 210. https://doi.org/10.3390/systems12060210

Note that from the first issue of 2016, this journal uses article numbers instead of page numbers. See further details here.

Article Metrics

Back to TopTop