Next Article in Journal
Simulation and Optimization of Automated Guided Vehicle Charging Strategy for U-Shaped Automated Container Terminal Based on Improved Proximal Policy Optimization
Previous Article in Journal
The “Simultaneous Development of Quantity and Quality”: Research on the Impact of the Digital Economy in Enabling Manufacturing Innovation
 
 
Font Type:
Arial Georgia Verdana
Font Size:
Aa Aa Aa
Line Spacing:
Column Width:
Background:
Article

From Shock to Adaptation: Evaluating the Mechanisms of Trade Friction on Firms’ Total Factor Productivity Through the Lens of Digital Transformation

by
Xiyin Zhang
and
Xindong Zhang
*
School of Economics and Management, Shanxi University, Taiyuan 030031, China
*
Author to whom correspondence should be addressed.
Systems 2024, 12(11), 471; https://doi.org/10.3390/systems12110471
Submission received: 27 September 2024 / Revised: 1 November 2024 / Accepted: 2 November 2024 / Published: 4 November 2024

Abstract

Against the backdrop of frequent global trade conflicts and accelerated competition in the digital economy, we investigated how trade friction shocks affect firms’ total factor productivity (TFP), with a focus on the role of digital transformation. We employed a statistical analysis method based on the multi-period difference-in-differences model with anti-dumping and countervailing measures as quasi-natural experiments to analyze firm-level panel data for Chinese exporters from 2003 to 2016. The results indicate that trade frictions compel export firms to enhance their TFP, while digital transformation further promotes this growth. This main conclusion still holds after a series of tests such as parallel trend checks, placebo tests, and variations in primary variables. The mechanism analysis shows that, in response to trade friction shocks, firms aiming to boost productivity have strategically reallocated internal resources by increasing exports of alternative products and expanding into overseas markets rather than solely relying on innovation. Additionally, digital transformation mitigates the negative effects of trade friction on firm innovation and facilitates faster internal resource reallocation during such challenges. The heterogeneity analysis reveals that digital transformation proves more beneficial for firms that are multi-product, non-state-owned, engaged in general trade, and operating in highly competitive industries. This paper contributes to the understanding of trade friction and productivity at the micro level, offering valuable insights into digital transformation strategies for firms navigating these challenges.

1. Introduction

Productivity gains are essential for long-term economic growth and the high-quality development of international trade [1]. Since Melitz (2003) introduced the theory of heterogeneous firm trade, export trade has been recognized as a crucial driver of productivity enhancement. In recent years, however, global trade protectionism has surged, heightening economic and trade tensions between major nations such as China and the United States. According to the World Trade Organization, there were 6917 anti-dumping and countervailing investigations worldwide from 1995 to 2023, with China facing 1846 of these cases, representing 26.7% of the total. This has made China the most frequent target of such investigations for nearly three decades1, impacting various aspects of corporate operations including production, export behavior, sales management, R&D investments, and financial activities [2,3,4,5,6]. As firms face external shocks such as trade friction, any costly and irreversible investment decisions may create uncertainty regarding future productivity [7]. Despite the extensive literature on the trade behaviors of heterogeneous firms with endogenous productivity differences [7,8,9,10] and the effects of trade remedies or trade policy uncertainty on country, region, and industry productivity [11,12,13,14], the specific effect of external trade friction on the productivity of individual firms has received limited attention in the existing studies. This study aims to examine the influence of trade friction on the total factor productivity of export-oriented firms and its mechanism, highlighting the importance of adapting to an uncertain trade environment to foster high-quality foreign trade development.
The transformation brought about by digital technology has profoundly altered the landscape of international trade [15,16]. Digital applications such as smart manufacturing and cross-border e-commerce have provided new impetus and advantages for China’s export development. As the world’s second-largest digital economy, China has seen a dramatic increase in its digital trade, with cross-border e-commerce imports and exports reaching CNY 21.1 trillion by 2022, a nearly tenfold increase from five years earlier. Meanwhile, trade in digitally deliverable services surged by 62.6%, amounting to CNY 2.3 trillion during this period. Digital transformation represents a disruptive innovation process whereby enterprises overhaul their production systems, operational mechanisms, and core business processes by integrating digital technologies [17,18]. According to neoclassical economic growth theory, the adoption of new technologies significantly boosts enterprise productivity. Numerous studies substantiate that digital transformation substantially enhances a firm’s total factor productivity [19,20,21]. However, digital transformation presents both benefits and challenges to firms. The high complexity of the digital transformation process and the uncertainty surrounding its outcomes increase the difficulty of reaping benefits from it. Amid trade tensions, the costs associated with export activities have increased, and investments in digital technology applications may further intensify the pre-existing financing constraints and financial distress faced by enterprises. Therefore, this study further investigated whether digital transformation can effectively boost the total factor productivity of export firms amidst trade frictions and explored whether the impact varies among different types of firms. Our research contributes to the theories of heterogeneous enterprise trade and digital economics and aims to promote the integration of digital technology with export trade.
The first area of research concerns the influence of trade friction on productivity. Scholars typically analyze this impact at the national or industry level. For instance, Zhou and Ji (2022) observed the pronounced negative effect of increased trade policy uncertainty during the U.S.–China trade frictions on China’s TFP and technological progress [11]. Li and Whalley (2015) identified that anti-dumping actions in both developed and developing countries substantially boost labor productivity [14]. Delving deeper, Li (2017) reported that anti-dumping measures taken by developed countries spur technological advancement and improve China’s industrial TFP, whereas such measures in developing countries do not significantly affect the TFP of the targeted Chinese industries [13]. Few scholars have explored the impact of trade friction on firm-level productivity, generally concluding that these frictions have a negative effect. Xie et al. (2017) found that anti-dumping barriers constrain the productivity of Chinese export firms, mainly through reductions in enterprise value-added and a lack of production factor adjustments [22]. Chandra and Long (2013) noted a greater than 5% decline in TFP for Chinese firms targeted by U.S. duties, primarily due to reduced economies of scale [23]. Overall, the literature suggests a need for further exploration into the effects of trade frictions on enterprise TFP and their underlying mechanisms, particularly looking at how firms can mitigate these impacts through digital transformation.
The second literature stream focuses on the effects of digital transformation on enterprise productivity. The research consistently demonstrates significant productivity enhancements attributable to digitalization. Yu et al. (2024) found that digital transformation elevates firm-level TFP by enriching production factors, enhancing labor division efficiency, reducing labor costs, and optimizing the human capital structure [20]. Wang (2023) showed that digital transformation reduces information asymmetry within firms, optimizes internal processes, and thus boosts TFP [19]. Wu et al. (2024) reported that digital transformation supports TFP improvement through the promotion of innovative green technologies [24]. Moreover, digital technologies are credited with fostering enterprise export growth, improving export quality and technological sophistication, facilitating strategic transformations, and enhancing international competitiveness [25,26,27]. However, despite these advancements, there remains a paucity of research on how digital transformation can specifically address trade friction impacts and enhance productivity in such contexts.
In conclusion, while the existing research has made strides in understanding the relationships between trade friction and productivity, as well as those between digital transformation and productivity, the effects of trade friction on firm-level total factor productivity and the underlying mechanisms remain ambiguous. Furthermore, there is a relative scarcity of theoretical analyses and empirical evidence concerning the role of digital transformation in trade friction. Our study makes three primary contributions to the literature.
First, it enhances the theoretical and empirical discourse by elucidating how digital transformation can bolster TFP amidst trade frictions. This analysis not only supplements existing studies on the integration of digital technologies in international trade but also deepens the understanding of the potential mechanisms by which trade conflicts impact export enterprises’ TFP.
Second, our research diverges from traditional findings that associate trade barriers—like anti-dumping measures—with reduced innovation and productivity. We find that, while trade frictions do impede firms’ innovation capabilities, their negative impact is significantly overshadowed by the positive effects stemming from internal resource reallocation to enhance productivity. Moreover, despite adverse conditions, trade frictions generally still promote TFP. Our study further identifies that digital transformation acts as a critical lever for enhancing TFP by fostering technological innovation and enabling firms to transform their export operations more effectively under trade frictions.
Third, from a policy perspective, we recommend that, in the current climate of rising trade protectionism and frequent frictions, export firms—particularly those that are multi-product, non-state-owned, adopting a general trade mode, and operating in highly competitive industries—should prioritize embedding digital technologies into their production and operational processes to foster high-quality development. For exporters, digital strategic integration can elevate their TFP by promoting technological innovation, increasing the diversity of export products, and helping them expand into new markets. In summary, this research substantively contributes to the existing body of knowledge by dissecting the interplay between trade friction, digital transformation, and TFP, offering valuable insights for both scholars and policymakers in navigating the complexities of international trade in the digital age.
The rest of this paper is organized as follows. Section 2 provides the theoretical framework and assumptions. Section 3 describes the empirical strategy and data. Section 4 reports the empirical results. Section 5 concludes the paper.

2. Literature Review and Research Hypotheses

2.1. The Effect of Trade Friction on Firms’ TFP

The enhancement of firms’ total factor productivity can be approached via two principal methods: technological advancement propelled by enterprise research and development, and the strategic reallocation and recombination of production factors. Consequently, this analysis investigated the impact of trade friction on TFP from dual channels: technological innovation and resource allocation.

2.1.1. Innovation Inhibition Effect

According to Schumpeter’s theory of innovation and endogenous growth, technological progress through research, development, and innovation activities is intrinsic to economic growth [28]. These innovation activities play a role in “creative destruction”, which promotes technological progress and thereby drives the endogenous growth of productivity [29]. The positive contributions of various types of innovation by enterprises to total factor productivity have been well documented in the literature [30,31,32]. On the one hand, enterprises can efficiently reduce material waste, improve equipment efficiency, lower labor costs, and optimize production processes by introducing new processes, technologies, or equipment, or even by adopting new manufacturing methods. On the other hand, organizational innovation can improve the organizational structure, boost management efficiency, and streamline institutional settings. Reduced management costs, as well as improved efficiency in labor division and collaboration, contribute to a higher TFP.
However, extensive research has found that trade frictions exert a significant negative influence on firm innovation, consequently detrimentally impacting firms’ TFP. This negative impact is primarily reflected in the following aspects: In terms of returns to scale, in the short run, trade friction shocks reduce the size of the export market of the enterprises involved in the case to the initiating country, as well as export revenues [33], which do not provide more funds for reinvestment and growth to help firms to upgrade their technological quality and service standards [34], raising the relative opportunity cost of innovation for firms and reducing the expected returns on innovation. From the perspective of financing constraints, trade frictions exacerbate enterprise financing constraints and inhibit enterprise innovation. The huge tariffs of anti-dumping and other trade friction measures raise the cost of exporting, increase the risk in obtaining cash flow, aggravate the financing constraint dilemma, and inhibit the innovation ability of enterprises [35]. The rise in uncertainty in the trade environment triggered by trade friction measures exacerbates the risk in corporate investment [36] and also inhibits corporate investment behavior in innovation. The “competition effect” brought about by exports makes exporting enterprises face more intense market competition than non-exporting enterprises, which prompts enterprises to innovate to “escape from competition” [37]. Trade friction has caused some firms to exit the export market, and competition in the export market has weakened, reducing incentives for incumbent firms to innovate. From the perspective of technology spillovers and the “learning effect”, exports are often seen as an important way for developing countries to acquire advanced technology, knowledge, and experience from developed countries, which can help to enhance the R&D and innovation capacity of firms and the level of new product design [38]. Increased iceberg trade costs due to trade friction reduce the rate of technology adoption and economic growth [39], and the ability of firms to capture technology spillovers through international trade, investment, and talent exchanges is significantly reduced. Trade barriers impede technology transfer and technology spillover from exporting countries for the initiating countries of trade protection measures such as anti-dumping, preventing exporting enterprises from accessing and utilizing advanced technologies in exporting countries and transferring them to local applications [40], which to some extent impedes technology spillover and diffusion and the transfer of production and innovation factors and is detrimental to the enterprise’s “learning in export” effect and enterprise innovation and research and development.
In summary, all of these reasons may, to a certain extent, reduce the total factor productivity of export enterprises by inhibiting their innovative activities.
Hypothesis 1a:
Trade frictions negatively affect the innovation level of enterprises and thereby reduce the TFP of enterprises.

2.1.2. Intra-Firm Reallocation Effect

Heterogeneous trade theory argues that international trade prompts firms with a higher productivity to enter the export market, while forcing firms with the lowest productivity to exit, and that productivity heterogeneity leads to the intra-industry reallocation of resources, such as labor, capital, and technology [7]. Trade friction shocks increase the productivity threshold for enterprises to enter the export market, and more low-productivity firms exit. For the incumbent firms surviving in the export market, such firms usually have a higher productivity and larger size; there is a “winner effect” [41]. From the view of resource base theory, these enterprises have a sufficient export transformation capacity and potential supply capacity, and can effectively adjust and combine resources quickly in response to international market shocks [42]. The exogenous shock of trade friction changes the relative costs between the products of enterprises and breaks the export inertia and path dependence of enterprises, and enterprises are very likely to adjust their exports after the shock. Moreover, since the production and operation and resource allocation of enterprises depend on the external environment to obtain [43], the increased uncertainty of the intra-industry trade environment caused by trade friction forces enterprises to actively adjust internal resource allocation to effectively respond to the disadvantages brought by such uncertainty. Changes in the competitive conditions in export markets and in the demand for products in export markets caused by trade friction shocks can lead to an optimal allocation of resources within firms, thus improving their production efficiency [44].
This resource reallocation effect is mainly reflected in two aspects: product structure optimization and export market adjustment. On the one hand, after suffering from trade friction measures, if the enterprise still concentrates on the production of the product involved in the case, the increase in trade costs may lead to a decline in enterprise performance and to cash flow constraints, and business activities may be affected [45]. In order to avoid and diversify the risk, the involved enterprises will increase the production of other non-involved products and simultaneously increase the export of non-involved products sold to anti-dumping and other trade-initiating countries [46], or promote a shift in the export product mix to core products with competitive advantages and accelerate the elimination of internal product superiority and inferiority [47]. The diversification of export product categories can satisfy a wider group of consumers and bring economic benefits and productivity gains [10]. On the other hand, trade frictions such as anti-dumping and countervailing have a “trade diversion effect”, whereby trade protection measures force enterprises in the country involved to start transferring their investments to third countries other than the initiating country [48]. The establishment of diversified export markets to further develop the international market, seek more trade partnerships, and expand trade networks is conducive to expanding the export market share, the formation of economies of scale, and promoting enterprise productivity [49]. In addition, the learning effect in exports brought about by export market diversification helps enterprises to learn about and access more new overseas production technology and gain excellent management experience, which is conducive to improving technology and productivity [50]. In general, trade friction shocks increase firms’ productivity through intra-firm resource reallocation effects. Based on the above theory, this paper puts forward Hypothesis 1b:
Hypothesis 1b:
Trade frictions stimulate intra-firm resource reallocation, leading to total factor productivity gains.
Supported jointly by the theories of Hypothesis 1a and Hypothesis 1b, we propose Hypothesis 1:
Hypothesis 1:
At the overall level, the effect of trade friction shocks on firms’ TFP is characterized by uncertainty, depending on the combined effects of two different mechanisms, namely, the resource replacement effect and the innovation inhibition effect.

2.2. The Role of Digital Transformation in Enhancing Enterprise TFP Under Trade Frictions

In the face of enormous cost, efficiency, and competitive pressures, digital transformation has become an important way for enterprises to enhance their competitiveness and expand their international markets, providing all kinds of enterprises with opportunities to achieve success through export trade [51]. The facilitating role of enterprise digital transformation in coping with the impact of trade friction and enhancing the TFP of export enterprises is mainly reflected in the following aspects:

2.2.1. Mitigating the Innovation Inhibition Effect

Enterprise digital transformation can significantly reduce the dampening effect of trade friction shocks on firm innovation. The majority of China’s export products have little technological content and are easily substituted in the export market [36]. To effectively deal with the impact associated with trade friction, maintain their current market share in the export market, and further consolidate their low-cost advantage, export enterprises can be motivated to improve their innovation capability through digital transformation in order to enhance their competitiveness and production efficiency.
Digitalization can promote the association and reorganization of factors of production, help form new combinations of factors of production or create new production functions, change the process and results of innovation, bring new products and services to the enterprise, change the enterprise’s inherent organizational structure, and change the original business model [52]. Digital factors are characterized by low cost, scale availability, and externalities compared to traditional factors of production [53]. The application of digital technology to R&D innovation results in lower innovation costs [54]. Therefore, in the face of rising trade costs and financing constraints brought about by trade friction and other shocks, digital technology applied to innovation is more likely to replace traditional innovation as the innovation method prioritized by exporting enterprises, providing support for their export market diversification strategy and giving them the dual advantage of enriching their product portfolio and seizing potential competitive positions. In addition, digital transformation requires enterprises to have more highly skilled labor, which encourages enterprises to improve their human capital structure and transform and upgrade their labor resources [30]. The improvement in human capital quality brought about by digital transformation helps to improve business processes, reduce production and transaction costs, and increase enterprise productivity [55]. It has been mentioned that trade friction somehow hinders technology spillover and diffusion as well as the transfer of production factors and innovation factors, which is not conducive to the “learning in export” effect of enterprises. However, the theory of digital innovation diffusion shows that digital technology has changed the attributes of innovation, broken through the traditional factor boundaries, and expanded the knowledge boundary, organizational boundaries, and geographic boundaries; it has changed the spatial structure and time trajectory of the innovation process, recombined knowledge, and deeply mined existing information with brand new functions, which has made the diffusion of innovations more efficient [56]. Digitization can increase enterprises’ access to information elements and intellectual capital such as foreign knowledge, ideas, and advanced management experience in exports, and help them to improve existing production technology and enhance productivity through the deep integration of innovative resources in the trade network. In addition, under a trade uncertainty environment, enterprises tend to adopt a collaborative innovation approach with upstream and downstream enterprises, colleges and universities, and research institutions [57]. Digital technology can help enterprises build a new mode of network information exchange, which is conducive to the diffusion of new knowledge and technology among enterprises [58], accelerates inter-enterprise R&D spillovers, promotes collaborative cooperation among exporting enterprises, and is conducive to the enhancement of the all-embracing productivity of enterprises. At the same time, the application of digital technology to innovation increases the probability of “creative destruction”, that is, new products are more likely to replace existing products, reduce market entry barriers [54], and break through limitations on trade barriers.
Hypothesis 2a:
Digital transformation can mitigate the negative impact of trade friction shocks on firms’ innovation.

2.2.2. Enhancing Intra-Firm Reallocation Effects

Firm digital transformation can help enterprises affected by trade friction to allocate internal resources more effectively. Frequent trade friction will significantly increase the uncertainty of the trade environment for enterprises in an industry [36]. When the uncertainty of the external environment increases, the enterprises involved in the case will actively adjust their allocation of internal resources, in order to effectively avoid and diversify the risks brought about by such uncertainty. Digital transformation enhances internal resource allocation within firms facing trade friction through the following two aspects:
On the one hand, digital transformation facilitates the diversified product allocations of export enterprises under trade frictions. In the traditional production model, differentiated production is often constrained by factors such as economies of scale, leading to certain limitations in the choice of product diversification. By embedding digital technologies in products and services, enterprises can continuously expand the boundaries of products and services, which helps to realize the real-time updating and linking of capital flow, logistics, and information flow [59]. From the product supply side, firms can use digital technology to gather a vast quantity of consumer information, allowing them to establish flexible factories, implement on-demand production and product customization, and meet consumers’ varied needs. Owned digital platforms and the new demand-oriented organizational model help export enterprises to effectively integrate various user subjects through this flexible and scalable distributed marketing model, giving their products a strong ability to satisfy heterogeneous demands [50]. From the perspective of product demand, customers can actively participate in the process of conceptualizing, ideating, and enhancing products using digital platforms, among other things [60]. Consumers can provide continuous experience and feedback on all kinds of products, and promote the continuous optimization and improvement of products, which in turn encourages enterprises to produce diversified products, realizing a diversified production and operation.
On the other hand, digital transformation improves the efficiency of factor allocation among export markets and fosters the market diversification of export firms amidst trade friction. In international trade, enterprises have exited and entered export markets frequently over the years, with large adjustments in overseas market portfolios [61], and they are faced with large differences in product market differences, export trade costs, and total consumer preferences. Digital technology can significantly reduce the trade fixed costs and unit transportation costs of export firms and accelerate resource integration to form economies of scale [62], which promotes the rapid adjustment and combination of resources in international markets. The application of digital technology can closely link various market players together, significantly improve the exchange and communication efficiency between them, and effectively reduce the cost of the negotiation and consultation required for enterprises to carry out trading activities [63]. Digital platforms and others help exporters to broaden the channels for obtaining information, and exporters can quickly mine, process, and analyze detailed information about different overseas markets, consumers, and competitors, which can effectively alleviate the information asymmetry between exporters and local consumers, as well as that between exporters and local competing enterprises [64]. The reduction in the cost of information acquisition and learning significantly reduces the cost of operation and marketing, which helps enterprises to expand diversified international markets and enhance their TFP. Digital transformation also helps to improve inter-factory export coordination management and forecasting capabilities, reduce the cost of searching for new markets and export-switching costs, and reduce the misallocation of enterprise resources [65], which expands trade networks and accelerates the establishment of diversified export markets. Based on the above analysis, this paper proposes Hypothesis 2b.
Hypothesis 2b:
Digital transformation promotes the diversification of export products and markets, and accelerates internal resource allocation under trade frictions.
Supported jointly by the theories of Hypotheses 2a and 2b, we propose Hypothesis 2:
Hypothesis 2:
Under a trade friction shock, digital transformation helps to improve the TFP of export enterprises by alleviating the inhibition effect of innovation and intensifying the positive effect of internal resource allocation.
Figure 1 shows the above theoretical framework and research hypotheses.

3. Research Design

3.1. Empirical Strategy

This study used a multi-period difference-in-differences (DID) model to examine the causal effect of trade friction on total factor productivity and the response effect of digital innovation. The traditional DID model assumes that the treatment and control groups are identical in terms of the timing of policy implementation, but in practice, policy implementation often takes place at different time points. In this study, each firm suffered from a trade friction policy at a different point in time, and the multi-period DID method can effectively deal with this situation by comparing the changes in the treatment and control groups at different points in time to estimate the average treatment effect of the policy. The multi-period DID method effectively addresses the endogeneity problem caused by selectivity bias, as well as the problem of different firms targeted by anti-dumping and countervailing measures each year, which is extensively utilized in the analysis of trade policy shocks. This study matched the China Customs Database and Temporary Trade Barriers Database (TTBD) to identify firms suffering from trade friction each year through the countries that impose anti-dumping and countervailing measures on China each year and the product codes (HS 6-digit codes) involved in the cases. Enterprises that suffered from anti-dumping or countervailing measures during the sample period were set as the treatment group, and the enterprises that did not suffer from these trade remedies were set as the control group. The differences in the changes in productivity of the two groups of enterprises before and after the trade friction shocks were examined, so that other consensual factors or disturbances brought about by other policy shocks occurring at the same time as the anti-dumping and countervailing could be eliminated.
We refer to Yan et al. (2024) [66] to construct the following multi-period DID models:
T F P i , t + 1 = α + β F r i c i , t + γ C o n t r o l s + μ i + λ t + ε i , t
T F P i , t + 1 = α + β F r i c i , t + β 1 F r i c i , t × D i g i i , t + β 2 D i g i i , t + γ C o n t r o l s + μ i + λ t + ε i , t
First, this study explored the impact of trade friction on the TFP of export firms based on the regression model (1), which is the basis for exploring the role of digital transformation in trade friction shocks. The dependent variable T F P i , t + 1 indicates the total factor productivity of firm i in year t + 1 , considering the possible lagged economic effect of trade friction on firms’ TFP. The current mainstream methods for measuring TFP are the LP method (Levinsohn and Petrin, 2003) [67] and the OP method (Olley and Pakes, 1996) [68], both of which can well solve the sample selection bias problem. This study used the LP method in the benchmark regression and the OP method in the subsequent analysis to verify the robustness of the results. The total factor productivity based on the LP method was mainly estimated using the logarithmic form of the following Cobb–Douglas production model(3):
y i t = β l l i t + β k k i t + β m m i t + e i t ,
where y i t denotes the logarithm of firm i ’s output in year t , l i t is the logarithm of the labor inputs, k i t represents the logarithm of the capital inputs, m i t is the logarithm of the intermediate inputs, and e i t is a residual term. β l , β k , and β m are the coefficients. The firm output, capital inputs, labor inputs, and intermediate goods inputs were measured by firm revenue, net fixed assets, the number of employees, and the cash paid for goods and services, respectively. After obtaining the coefficients for each input factor, the production equation was fitted to obtain the logarithm of the residuals, which was the logarithm of the total factor productivity. The whole process was mainly realized using the “levpet” program in the Stata17 software. The OP method is similar to the LP method, except that the amount of enterprise investment is used as a proxy for unobservable productivity shocks instead of intermediate inputs. In this study, firm investment was measured by cash paid for the purchase of fixed assets, intangible assets, and other long-term assets.
The independent variable F r i c i , t is a dummy variable whose value takes 1 for the year t and all subsequent years within the sample period if firm i is subject to foreign anti-dumping or countervailing investigations in year t ; otherwise, it takes 0. The reason we chose anti-dumping and countervailing trade remedies as the proxy variable for trade friction shocks is that these are the two most common means of international trade friction. Between 1995 and 2023, a total of 6917 anti-dumping and countervailing actions were launched internationally, accounting for 92.55% of the total number of trade remedies initiated. The coefficient β captures the marginal and disposition effects of trade friction events on total factor productivity, which is one of the most important coefficients as far as we are concerned.
Next, this study verified the positive effect of digital transformation on total factor productivity under trade friction based on model (2). D i g i i , t denotes the degree of digital transformation of firm i in year t . This study constructed digital transformation indicators based on annual report text analysis, which can reflect the degree of digital transformation at the micro enterprise level in a more comprehensive and detailed manner. The specific steps for constructing the indicator were as follows: First, the annual reports of listed export enterprises from 2003 to 2016 were collected and converted into text format. Second, a dictionary2 of enterprise digital transformation terms was constructed with reference to Wu et al. (2021) [69], and the vocabulary was expanded into Python’s jieba library. Third, the frequency of each word in the dictionary that was disclosed in the full text of the annual report was counted, the numbers of digital transformation-related words were summed, and the logarithms of these sums were taken as the total digital transformation degrees of enterprises. The regression model (2) also adds the interaction term of trade friction and digital transformation ( F r i c i , t × D i g i i , t ) to capture how the digital transformation moderates the relationship between trade friction and total factor productivity. β 1 > 0 indicates that digital transformation has a positive effect on the total factor productivity of export firms under trade friction.
In addition, to mitigate the impact of finance and governance characteristics on the total factor productivity of enterprises, this study incorporated control variables such as the return on assets (ROA), asset–liability ratio (Lev), current asset ratio (Liq), enterprise size (Size), equity concentration (Share), enterprise age (Age), ownership property (SOE), and innovation capability (Innovation) into the model. Meanwhile, to address the endogeneity problem caused by omitted variables, firm fixed effects ( μ i ) and year fixed effects ( λ t ) were further included in the model to eliminate the interference of firm-level influences that do not vary over time and year-level influences that do not vary individually in the estimation of the model, respectively. ε i , t denotes the error term. To make the statistical inference results more robust, the regression model used robust standard errors. Table 1 details the symbols, definitions, and measurement methods of the main variables.

3.2. Data and Sample

The main data sources of this study included the World Bank’s Temporary Trade Barriers Database (TTBD), the China Customs Database, the China Stock Market and Accounting Research Database (CSMAR), and the annual reports of the listed companies. Data on trade friction cases suffered by enterprises were collected from the TTBD. This dataset includes a significant amount information on trade remedy actions implemented by countries, including the initiating date (and the timing of their progression), the name and customs code of the product involved, the foreign entities targeted, and the resulting measured applied. The export data came from the China Customs Database, which records the HS code, export destination country, export amount, export quantity, and other information about the enterprise’s export products. Control variables for firm-level financial and governance characteristics were obtained from the CSMAR database. The output deflator used to calculate the firm-level total factor productivity was derived from the China Statistical Yearbook, and asset prices were replaced with provincial data from the province statistical yearbooks. The remaining statistics and variables for calculating the total factor productivity were derived from listed companies’ annual reports. The digital transformation data were obtained using text analysis methods on the full text of the annual reports of listed companies to obtain relevant word frequencies. To match and integrate the above data, this study first matched the anti-dumping and countervailing measure data with the customs export data based on the destination country, the year, and the HS code of the export firm’s products to obtain the number of trade friction cases at the product level, to determine whether the enterprise suffered from trade friction in that year. Because the first six digits of the customs code are common to all countries, this study employed the HS 6-digit code for product-level matching. Then, based on the stock code and year information, the A-share listed firms were matched with the firm-level financial and governance data and patent data to obtain the final panel data.
This study selected a sample of export firms among the A-share listed companies from 2003 to 2016, considering that the CSMAR database contains corporate governance data from as early as 2003 and the China Customs Database is only updated to 2016. The final sample contained 7653 firm–year observations after deleting “Special Treatment” (ST) stocks with two consecutive years of losses or abnormal financial conditions3, financial firms, and observations with missing primary variables. To avoid the impact of extreme values on the results, all the continuous variables were bilaterally winsorized with diminishing tails at the 1% and 99% levels.
Table 2 shows the descriptive statistics for the main variables. The mean total factor productivity (TFP) of the firms in this study was 7.992, which is comparable to the total factor productivity values of prior research, showing that the sample selection in this work was appropriate. The mean value of enterprise digital transformation was 0.598, the median was 0, the maximum was 3.689, and the minimum was 0, indicating that the overall level of the digital transformation of the sample’s export enterprises remains low, and the degree of digital transformation varies greatly between enterprises. The remaining variables were all within a reasonable range of values.

4. Empirical Results

4.1. Baseline Regression Results

Table 3 reports the effects of trade friction on the total factor productivity of export firms and the effects of firms’ digital transformation in response to trade friction shocks. Columns (1)–(3) of Table 3 present the results of the regressions in regression model (1). Column (1) includes independent variables as well as firm and year fixed effects. Column (2) controls only for year fixed effects in addition to independent variables, and column (3) includes all the control variables as well as firm and year fixed effects. The results in all three columns indicate that the effect of trade friction on firms’ total factor productivity is significantly positive, and the regression coefficients are all significantly positive at the 1% significance level. Specifically, compared to firms not involved in trade remedy cases, export firms subjected to trade friction show a significant increase in total factor productivity of 6.1% in the next period (results considering the inclusion of all the control variables and fixed effects). In the theoretical analysis outlined in Section 2.1 and Hypothesis 1, it is noted that the impact of trade friction shocks on enterprise TFP is uncertain, hinging on the balance between the positive effects of resource allocation and the negative effects on innovation. The results above imply that the positive effects of improved internal resource allocation outweigh the negative impacts of reduced innovation levels, which jointly lead to an increase in TFP.
Columns (4)–(6) present the results of regression model (2). Again, column (4) includes independent variables as well as firm and year fixed effects, column (5) controls only for year fixed effects in addition to independent variables, and column (6) includes all the control variables and firm and year fixed effects. The results show that, with or without control variables and fixed effects, digital transformation positively contributes to the total factor productivity improvement of enterprises under trade friction shocks. Export enterprises involved in a case with a high degree of digital transformation can further improve their total factor productivity by 2.4% compared to those involved in a case with a lower level of digital transformation (considering the inclusion of all the control variables and individual and year fixed effects). The above results indicate that, under trade frictions, digital transformation helps to improve the TFP of export enterprises, which partly supports Hypothesis 2.
The controlled variable coefficients indicate that larger, more liquid, more mature, stronger-profitability, equity concentrated export enterprises with a high innovation output tend to exhibit better overall productivity, which is consistent with the existing literature.

4.2. Robust Checks

4.2.1. Parallel Trends

The key to the estimation strategy of the multi-period DID model is to satisfy the parallel trend test—that is, to ensure that there is no significant difference in the productivity of firms between the treatment and control groups before suffering a shock from trade friction, after controlling for firm and year fixed effects and various control variables. This study constructed a regression model drawing on He et al. (2022) [70] and Beck et al. (2010) [71] to examine the dynamic effects of the trade friction shock.
T F P i , t + 1 = α + n = 4 n = 4 β n D i , n + γ C o n t r o l s i , t + μ i + λ t + ε i , t ,
where D i , n denotes a set of dummy variables, indicating whether firm i suffered a trade friction shock in year t n . The observation period before and after the trade friction shock was four years ( n 4 , 4 ), and t = 0 was set as the base period. We also chose a window period of n 3 , 3 and n 5 , 5 to conduct parallel trend tests; the results are shown in the Appendix A. The control variables in model (4) are the same as those in models (1) and (2).
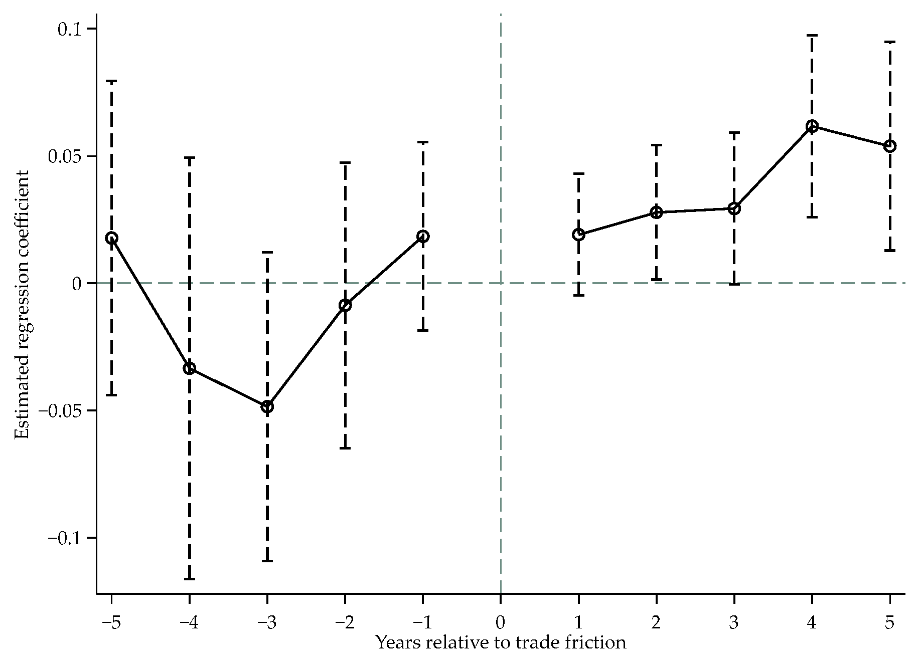
First, a parallel trend test was conducted to examine the negative effect of trade friction on firm productivity. Figure 2 depicts the regression coefficients estimated for the full sample using regression model (4). The horizontal axis indicates the time interval from the year in which the trade friction case occurred, period 0 indicates the base period in which the trade friction case occurred, and the vertical axis indicates the regression coefficients of trade friction and firm productivity from model (4). The results show that the coefficients before the base period of trade friction shocks are not significant based on the 95% confidence interval, which indicates that there is no significant difference between the productivity levels of the treatment group and the control group before the occurrence of the trade friction cases; the parallel trend test was passed, and the use of the multi-period DID model in the study was justified. The dynamics of the coefficients also reveal the dynamic trend of the impact of trade friction shocks on firms’ productivity. The coefficients are all significantly positive in the second year after a trade friction shock and beyond, which indicates that the trade friction shock forces firms to improve their TFP and that the impact on TFP has a long-term effect lasting at least four years.
Next, this study checked the parallel trend test for the effect of firms’ digital transformation to cope with trade friction shocks. We distinguished between the digital transformation group and the non-digital transformation group according to whether the degree of digital transformation was 0, and tested the parallel trends of two groups of samples using model (4). Figure 3 shows that the regression coefficients of both groups are insignificant before the trade friction shock, which satisfies the assumptions of the parallel trend test. For the sample of enterprises without digital transformation shown in Figure 3a, there is no significant difference between the productivity of involved enterprises and non-involved enterprises after the trade friction shock. In the sample of enterprises with digital transformation shown in Figure 3b, there is a significant increase in the TFP of involved enterprises compared with that of non-involved enterprises in the first year after the trade friction shock. The results verify that carrying out digital transformation can help the involved enterprises to promote their TFP under trade friction shocks and accelerate the process of productivity improvement.

4.2.2. Placebo Test

To exclude the influence of non-policy factors on the estimation results of the DID model, this study adopted the random sampling method to construct a “pseudo-policy shock” variable for regression. If the trade friction shock effect is still significant, it indicates that the benchmark regression results are not reliable, and if the contrary, it will further strengthen the robustness of the regression results of the multi-period DID model. In this study, a random sample of 500 times was selected to test whether the regression coefficients were significantly different from the results of the benchmark regression in this study. Figure 4 reports the results of the placebo test in detail, where the blue hollow circles are the p-values and the red solid line is the estimated coefficient kernel density. Figure 4 shows that the random coefficients are mostly clustered around 0 with a normal distribution, all to the left of the actual coefficient value of 0.061. Most of the p-values are larger than 0.1, indicating that the trade friction effect was significantly weakened in terms of significance and effect strength after the randomization process, which indirectly confirms the robustness of the main conclusions of this paper.

4.2.3. Other Robustness Checks

The PSM-DID method: The propensity scores matching the difference–difference (PSM-DID) model were used for robustness testing in our study to control the impact of the sample self-selection problem due to some observable characteristics in the conclusions. Based on using the firm-level control variables as covariates in models (1) and (2) to obtain the propensity score, the radius-matching method (with the caliper set to 0.02 and its value being less than 0.25 times the sample standard deviation of the propensity score) was used to screen for the sample with the closest propensity score among the samples of firms that had not suffered from trade frictions as the control group. The matched samples were regressed based on models (1) and (2), respectively. The regression results are presented in Table 4, Panel A, columns (1)–(2). It is observed that trade friction measures significantly enhance the total factor productivity of exporting enterprises, while digital transformation significantly promotes productivity improvement among enterprises facing trade friction, thereby aligning with the primary research findings.
Considering the repercussions of the financial crisis following the 2008 global economic downturn, the world entered a phase characterized by “low growth, low interest rates, low inflation, and high debt”. This period witnessed an upsurge in anti-globalization sentiments that significantly impacted export-oriented enterprises. To exclude the effects of the 2008 financial crisis, we recalibrated our benchmark model using data from 2009 to 2016. The outcomes of our analyses are presented in columns (3) and (4) of Panel A in Table 4. These results demonstrate that trade frictions continue to exert a substantial positive influence on firm productivity, while digital transformation also plays a constructive role in shaping the relationship between trade frictions and firm productivity. Consequently, it can be inferred that, despite its implications for exporting firms and the macro-export environment resulting from the financial crisis, this paper’s key conclusions remain unaffected.
Altering the measurement of the primary variable: First, the total factor productivity variable was substituted. In this study, we employed the OP method to calculate the total factor productivity as the dependent variable for re-regression models (1) and (2), with the results presented in columns (1) and (2) of Panel B in Table 4. Second, the trade friction variables were replaced. Using the final affirmative injury of anti-dumping and countervailing cases as the criteria for determining whether firms suffered from trade friction shocks4, the independent variables were reconstructed and regressed on the baseline model (the results are presented in Panel B, columns (3)–(4)). Finally, the digital transformation variable was replaced. The dummy variable of whether the enterprise was digitally transformed or not was used to replace the digital transformation degree variable, and the presence of the relevant words related to digital transformation in the firm’s annual report took a value of 1; otherwise, it took 0. The frequency of words related to digital transformation was likewise measured using the word classification of Wu et al. (2021) [69]. In addition, the method of Zhao et al. (2021) [55] was used to construct a digital transformation dictionary for text analysis and perform statistics on the digital transformation word frequency in the firm’s annual report, to reconstruct the enterprise digital transformation index. Model (2) was regressed separately using two new measures of digital transformation (see Panel B, columns (5)–(6)). The robustness results for the above replacement variables are all consistent with the benchmark results, further supporting the main conclusions of this paper.

4.3. Discussion of Mechanisms

Consistent with the hypotheses posited by the preceding theoretical frameworks, the impact of trade friction on the total factor productivity (TFP) of export-oriented firms can be attributed to two primary mechanisms: the intra-firm resource reallocation effect and the dampening effect on innovation. It is posited that digital transformation acts as a catalyst for the former while mitigating the latter, thereby enhancing firm productivity. To substantiate these theoretical predictions, empirical validation of the proposed mechanisms’ operational efficacy is imperative. This necessitates a rigorous examination of the intrinsic mechanisms by which trade frictions affect TFP and the moderating roles played by digital transformation in the context of trade friction-induced productivity shifts.

4.3.1. Channel A: Innovation Inhibition Effect

We first explored the effect of anti-dumping and countervailing trade friction measures on the innovation level of export firms and the role of digital transformation, which was estimated using multi-period double difference models (5) and (6). We used R&D investments and patent applications to measure firms’ innovation capability. The control variables included all the control variables in Table 1 except Innovation.
I n n o v a t i o n i , t = α + β F r i c i , t + γ C o n t r o l s + μ i + λ t + ε i , t
I n n o v a t i o n i , t = α + β F r i c i , t + β 1 F r i c i , t × D i g i i , t + β 2 D i g i i , t + γ C o n t r o l s + μ i + λ t + ε i , t
Columns (1) and (2) of Table 5 show that the effect of trade friction on the innovation capability of enterprises, in terms of both innovation inputs and outputs, is significantly negative at the 1% level. The results indicate that trade frictions diminish firms’ innovative capacity. Additionally, extensive literature corroborates that shifts in innovative capacity generally align with changes in firms’ productivity progress [30,31,32]. Together, these findings support Hypothesis 1a.
In addition, the interaction terms between trade frictions and digital transformation in columns (3) and (4) have a significantly positive effect on firm innovation under trade frictions, indicating that an increase in the degree of digital transformation is conducive to mitigating the negative impact of trade friction shocks on firm innovation, which verifies Hypothesis 2a.

4.3.2. Channel B: Intra-Firm Resource Reallocation Effect

Then, we analyzed the effect of anti-dumping and countervailing trade remedies on the reallocation of resources within the enterprise and role of digital transformation by estimating the following models (7) and (8).
P r o V a r i , t / M a r V a r i , t = α + β F r i c i , t + γ C o n t r o l s + μ i + λ t + ε i , t
P r o V a r i , t / M a r V a r i , t = α + β F r i c i , t + β 1 F r i c i , t × D i g i i , t + β 2 D i g i i , t + γ C o n t r o l s + μ i + λ t + ε i , t
In the model, the explanatory variables were export product diversification (ProVar) and export market diversification (MarVar). The export product diversification (ProVar) was measured by the number of product categories with HS 6-digit customs codes exported by firm i in year t . The export market diversification (MarVar) was measured by the number of export destination countries of firm i in year t . Table 6 reports the results of regression for models (7) and (8).
The results in columns (1) and (2) show that trade friction shocks expand the number of types of export products and the number of export trade targets; that is, they promote the diversification of enterprises’ export products and markets. In terms of the coefficient of “Fric”, the positive effect of resource reallocation within enterprises is much larger than the negative effect of innovation, which causes firms’ TFP to rise in general. Trade conflicts, such as anti-dumping and countervailing, diminish enterprises’ price advantage. To maintain the stability of exports and mitigate the adverse effects of trade frictions, export firms may shift their products to other countries or regions not imposing such trade remedies, or they might increase exports of products that have not been targeted by these measures. This strategy potentially fosters diversification in both the enterprise’s export markets and product offerings. By diversifying their export products and markets, enterprises aim to either spread out or minimize the trade losses resulting from anti-dumping or countervailing actions, thereby enhancing their productivity. These results verify Hypothesis 1b.
The results in columns (3) and (4) show that the coefficients of the interaction term “Fric*Digi” are significantly positive, indicating that the digital transformation of enterprises contributes to the diversification of export products and markets under trade friction, which proves the role of the digital transformation of enterprises in making internal resource allocation amidst trade frictions. These results verify Hypothesis 2b.

4.4. Heterogeneous Effects

This paper first focuses on the heterogeneity of single-product exporters and multi-product exporters in facing trade friction shocks and in adopting digital transformation. With the development of new trade theories, ever more international trade literature has recently begun to focus on the export behavior of multi-product firms and how they adjust their export behavior in the face of external shocks such as trade frictions [9]. Multi-product exporters are the core strength of China’s export enterprises, with the number of enterprises accounting for nearly 80% of the total number of export enterprises and the average value of the export amount accounting for more than 95% of the total amount [47]. Therefore, we regressed the firms into two types—single-product and multi-product exporters—based on the sample data. The results in Table 7 show that, among the multi-product exporting firms, trade friction shocks could force firms to increase their TFP, and digital transformation could help exporting firms to increase their productivity further. This suggests that multi-product firms are able to cope with external shocks and changes in destination demand by reallocating resources across products within the firm better than a single-product firm, and digital transformation improves the efficiency of resource allocation in the firm.
Differences in the nature of the property rights of enterprises lead to differences in strategic decisions, resource allocation, and management styles, which will have a certain impact on total factor productivity. In this study, the sample was divided into state-owned and non-state-owned enterprises according to the nature of the property rights. Columns (1) and (2) of Table 8 show that the coefficients on the independent variables are negative at the 10% significance levels, indicating that trade friction shocks have a significant positive impact on the productivity of both SOEs and non-SOEs. Columns (3) and (4) show that the coefficient of the interaction term “Fric*Digi” is significantly positive at the 5% level in non-SOEs but not in SOEs, which suggests that the facilitating effect of digital transformation on innovation under trade friction is mainly reflected in the sample of non-SOEs. There are two possible reasons: on the one hand, compared with state-owned enterprises, non-state-owned enterprises are more flexible and open in terms of corporate culture, organizational structure, employee thinking, etc., and are able to adapt to the requirements of the enterprise’s digital transformation regarding changes in corporate culture, management mode, and organizational form [72], so it is easier to observe the results of digital transformation in non-state-owned enterprises; on the other hand, non-state-owned enterprises tend to pursue a single economic goal, while state-owned enterprises have multiple goals (e.g., they bear more social responsibilities, such as stabilizing employment and poverty alleviation, in addition to their economic responsibilities), and non-state-owned enterprises have a stronger motivation to achieve innovation and empowerment through digital transformation [73]. Therefore, compared with that in SOEs, digital transformation in non-SOEs is more helpful for enhancing their TFP under trade friction shocks.
The degree of industry competition is also an important external environmental factor that enterprises need to consider in their production and operation. In this study, we divided the full sample into higher- and lower-competition groups according to the mean value of the Herfindahl index (HHI). Table 9 reports the impact of trade friction on total factor productivity and the role of digital transformation in dealing with trade friction shocks under different degrees of competition. Columns (1) and (2) show that, in the group with a lower degree of competition, the “Fric” coefficient is significantly positive at the 1% significance level, indicating that trade friction shocks force firms to increase their total factor productivity when the degree of competition in the industry is low. In industries characterized by low levels of domestic competition, export-oriented firms that face anti-dumping or countervailing measures can potentially enhance their productivity by strategically reallocating resources across their product lines and leveraging sales in the domestic market. This reallocation enables them to capitalize on market opportunities and offset the adverse effects of trade remedies. Conversely, firms operating in highly competitive domestic markets may struggle to penetrate their home market and capture a share of the profits, thereby hindering their ability to adjust product resources and achieve efficiency gains through domestic sales. This dichotomy underscores the importance of market dynamics in shaping the strategic responses of firms to trade barriers.
The results in columns (3) and (4) show that the coefficient of the interaction term of trade friction and digital transformation (Fric*Digi) is insignificant in the group with a lower degree of industry competition, whereas the coefficient of the interaction term of trade friction and digital transformation (Fric*Digi) is significantly positive (significant at the 5% level) in the group with a higher degree of industry competition, indicating that a higher degree of industry competition increases the incentives for firms to enhance their TFP through digital transformation under trade friction. In industries with a high degree of external competition, enterprises face the risk of being squeezed by other enterprises in the industry in terms of operating profits and market share at any time [74], and enterprises have more incentives to utilize new digital technologies in business models, management models, and production models to empower total factor productivity improvement in the digital era. Therefore, in industries with a high degree of industry competition, digital transformation further increases the total factor productivity of enterprises under the impact of trade friction. This indicates that higher industry competition motivates firms to improve total factor productivity through digital transformation.
The large number of processing trade enterprises is also an important aspect of the heterogeneity of enterprises in China, and distinguishing between different trade types enables a better understanding of the differences in the impact of trade friction on the productivity of different types of export enterprises and the differences in the role of digital transformation. All enterprises can be categorized according to their trade mode: general trade enterprises (GenTra) and processing trade enterprises (ProTra). The regression results(Table 10) by trade mode show that trade friction has a certain positive inverse effect on the total factor productivity of both types of enterprises; however, for general trade enterprises, digital transformation has a more obvious effect on productivity enhancement under trade friction. This observed phenomenon may stem from the intrinsic nature of processing trade, which predominantly operates through the importation of intermediate goods, their subsequent domestic processing and assembly, and eventual exportation [75]. This sector predominantly fulfills production mandates from globally recognized brands and engages in a labor-intensive production link in the global value chain. Consequently, its inclination and capacity to adopt digital technologies and to undergo transformative and evolutionary processes are relatively diminished. In contrast, general trade enterprises, which incur higher trade-related costs, exhibit heightened susceptibility to the financial constraints precipitated by trade disputes. The integration of digital transformation within these enterprises not only serves to mitigate the financial impediments they encounter but also amplifies their operational efficiency. As a result, general trade enterprises are more proactive in embracing digital technologies and in spearheading digital transformation initiatives. The consequent enhancement in productivity, attributable to digital transformation, is notably more pronounced in the case of general trade enterprises when juxtaposed with their counterparts in the processing trade sector.

5. Conclusions and Outlook

5.1. Conclusions and Recommendations

Combining the panel data of Chinese exporters from 2003 to 2016, this study employed a multi-period difference-in-differences approach to explore the effects of trade friction shocks—such as anti-dumping measures and countervailing duties—on firms’ total factor productivity (TFP) and how digital transformation can bolster TFP amidst trade tensions. Our results reveal that trade frictions force export firms to enhance their TFP, and digital transformation helps to further promote TFP. Specifically, compared to unaffected firms, export firms affected by trade frictions show a significant increase in TFP of 6.1% in the next year. Digital transformation can further help the affected firms improve their TFP by 2.4%. This finding remained robust after a range of tests, including parallel trend checks, placebo tests, propensity score matching, and checks with alternative variable measurements. Our mechanism analysis indicates that trade frictions exert a relatively minor inhibitory effect on firms’ innovation compared to their significant positive impact on the efficiency of internal resource allocation, ultimately leading to an increase in firms’ TFP. Digital transformation mitigates the adverse impacts on innovation and improves resource allocation, thereby increasing firm TFP under frictions. The heterogeneity analysis shows that the benefits of digital transformation on TFP under frictions are more significant in multi-product export firms, non-state-owned companies, industries facing greater competition, and firms engaged in general trade modes. The dynamics of trade shocks in the parallel trend analysis may reveal additional intriguing insights. The positive impact of trade friction shocks on firms’ TFP typically takes one to two years to materialize; however, once established, these effects can persist for at least four years. Digital transformation could potentially shorten the time required for the positive effects of trade frictions on TFP to manifest by mitigating their short-term negative impacts. Additionally, it may enhance both the magnitude and duration of these positive effects.
Our research contributes new empirical evidence to the discourse on trade frictions and productivity, offering vital policy recommendations for governments and export firms navigating the complexities of trade protectionism and maintaining digital trade growth.
First, we should give full play to the long-term positive effects of trade protection measures such as anti-dumping and countervailing measures on the TFP, and circumvent the adverse effects of trade friction shocks. We find that trade frictions enhance firms’ TFP because their negative impact on innovation is outweighed by their positive effect on internal resource allocation. Therefore, at the firm level, during periods of frequent trade disputes, firms should reallocate internal resources to mitigate the negative impacts of trade friction on innovation and productivity. On the one hand, firms should shift their resources’ focus from sanctioned products to diverse products to boost profitability and productivity. On the other hand, firms ought to change their export structures and explore emerging markets to reduce the risk of over-reliance on specific export destinations. The government should both encourage firms to intensify their efforts in independent innovation and further guide and support them in “going global” to connect with more international markets, thereby turning trade sanctions into opportunities for productivity growth.
Second, the application of digital technology in mitigating international trade disruptions should be emphasized. We find that digital transformation can further improve the TFP of firms under friction compared to that of firms without it or with lower levels of digital transformation, and this positive effect varies with the heterogeneity of firm ownership, industry, export scope, and trade modes. Firms undergoing digital transformations should tailor these efforts to their specific needs, utilizing digital tools to maximize digitalization’s impact on productivity. Digital platforms, including cross-border e-commerce, can significantly reduce export costs and enhance global competitiveness. Government policies should support firms in their digital transitions, increase digital literacy, and promote adaptations in foreign trade practices. This support is particularly vital for enterprises with multi-product, non-state-owned, general trade modes and in highly competitive industries, to help them navigate trade barriers more effectively.
Third, it is essential to keep open the channels through which digital transformation can address trade friction and augment productivity. A mechanism analysis reveals that digital transformation primarily boosts productivity through enhanced R&D investment and increased patent output, along with diversifying export products and markets. Firms should apply digital technology extensively in R&D and utilize it to minimize trade-related costs, thereby enhancing their market and product strategy diversification. Governments can empower digitally transformed enterprises for independent innovation and internationalization development by fostering international cooperation, participating in the creation of digital trade regulations, enhancing the digital trade infrastructure, and preparing robust responses to trade friction. These strategies offer a proactive approach for firms and governments alike, aiming to turn challenges into opportunities through digital empowerment and strategic market engagement.

5.2. Limitations and Outlook

When exploring the measurement of trade friction, this study selected anti-dumping and countervailing investigations as indicators, these being the forms of trade remedies most commonly used to measure the impact of trade friction. Although this choice was totally reasonable, the manifestations of trade friction gradually extend beyond these measures to include technical trade barriers, intellectual property barriers, environmental barriers, and export restrictions, among other emerging forms in recent years. The impact of these novel forms of trade friction at the firm level and their mechanisms of action are important directions for future research on trade policies.
Regarding the time span of the study, due to the availability of data from the Temporary Trade Barriers Database and China Customs Database, this research focused on the productivity of export firms from 2003 to 2016. Given the significant changes in the global political and economic landscape and the escalating severity of trade frictions in recent years, it is essential to broaden the scope of this study. However, acquiring the latest firm-level data on trade frictions and exports presents a challenge. Moving forward, we plan to gather the most recent data on trade frictions from the China Trade Remedies Information website and use web crawling techniques, along with the textual analysis of annual reports, to obtain up-to-date export data from firms. This approach will aim to capture the latest dynamics of trade frictions’ impacts on enterprise productivity.
In exploring the role of digital transformation in responding to external shocks, this study examined the potential impact of digital transformation on enhancing corporate productivity under trade friction impacts. Digital transformation in export firms may involve the use of segmented digital technologies such as cross-border e-commerce and artificial intelligence. How these technologies help companies cope with trade frictions and other external shocks is a question worth further refinement and in-depth investigation. Future research could more meticulously analyze the specific applications of digital technologies, their effectiveness, and their differentiated impacts across various industries and firms.

Author Contributions

Conceptualization, X.Z. (Xiyin Zhang) and X.Z. (Xindong Zhang); data curation, X.Z. (Xiyin Zhang); formal analysis, X.Z. (Xiyin Zhang); funding acquisition, X.Z. (Xindong Zhang); investigation, X.Z. (Xiyin Zhang); methodology, X.Z. (Xiyin Zhang) and X.Z. (Xindong Zhang); project administration, X.Z. (Xindong Zhang); resources, X.Z. (Xindong Zhang); software, X.Z. (Xiyin Zhang); supervision, X.Z. (Xindong Zhang); validation, X.Z. (Xindong Zhang); visualization, X.Z. (Xiyin Zhang); writing—original draft, X.Z. (Xiyin Zhang); writing—review and editing, X.Z. (Xiyin Zhang) and X.Z. (Xindong Zhang). All authors have read and agreed to the published version of the manuscript.

Funding

This research was funded by the National Natural Science Foundation of China, grant number 72372093, and the Shanxi Province Philosophy and Social Science Research Project, grant number 2023YY038.

Data Availability Statement

The original contributions proposed in the study are included in the article, and further inquiries can be directly addressed to the corresponding author.

Conflicts of Interest

The authors declare no conflicts of interest.

Appendix A

We also select the three- and five-year windows before and after the trade friction shocks for parallel trend checks. Figure A1, Figure A2, Figure A3 and Figure A4 report the results.
Figure A1. Parallel Trends I: The effect of trade frictions on firms’ TFP with three-year period before and after the shock.
Figure A1. Parallel Trends I: The effect of trade frictions on firms’ TFP with three-year period before and after the shock.
Systems 12 00471 g0a1
Figure A2. Parallel Trends II: The response of digital transformation to the impact of trade friction with three-year period before and after the shock.
Figure A2. Parallel Trends II: The response of digital transformation to the impact of trade friction with three-year period before and after the shock.
Systems 12 00471 g0a2
Figure A3. Parallel Trends I: The effect of trade frictions on firms’ TFP with five-year period before and after the shock.
Figure A3. Parallel Trends I: The effect of trade frictions on firms’ TFP with five-year period before and after the shock.
Systems 12 00471 g0a3
Figure A4. Parallel Trends II: The response of digital transformation to the impact of trade friction with five-year period before and after the shock.
Figure A4. Parallel Trends II: The response of digital transformation to the impact of trade friction with five-year period before and after the shock.
Systems 12 00471 g0a4

Notes

1
According to statistics from the Ministry of Commerce of China, as of 2023, China has been the country subject to the most anti-dumping investigations for 29 consecutive years and the country subject to the most countervailing investigations for 18 consecutive years.
2
The dictionary contains 76 digitization-related word frequencies in five dimensions: artificial intelligence technology, big data technology, cloud computing technology, blockchain technology, and digital technology application.
3
Such stocks are at risk of delisting and the presence of a large number of extreme or outliers may cause errors in the estimates.
4
Antidumping/countervailing measures primarily include the five phases: initiation of the investigation, preliminary dumping/countervailing decision, preliminary injury decision, final dumping/subsidy decision and final injury decision. Final Affirmative Injury indicates that after a country has initiated an anti-dumping or countervailing investigation into imports, it has recognized, at the “Final Injury Decision” stage, that those imports have caused significant injury to the domestic industry.

References

  1. Abeberese, A.B.; Chen, M. Intranational trade costs, product scope and productivity: Evidence from India’s golden quadrilateral project. J. Dev. Econ. 2022, 156, 102791. [Google Scholar] [CrossRef]
  2. Gao, X.; Miyagiwa, K. Antidumping protection and R&D competition. Can. J. Econ./Rev. Can. D’économique 2005, 38, 211–227. [Google Scholar]
  3. Konings, J.; Vandenbussche, H. Antidumping protection hurts exporters: Firm-level evidence. Rev. World Econ. 2013, 149, 295–320. [Google Scholar] [CrossRef]
  4. Benguria, F.; Choi, J.; Swenson, D.L.; Xu, M.J. Anxiety or pain? the impact of tariffs and uncertainty on Chinese firms in the trade war. J. Int. Econ. 2022, 137, 103608. [Google Scholar] [CrossRef]
  5. Han, P.; Jiang, W.; Mei, D. Mapping U.S.—China technology decoupling: Policies, innovation, and firm performance. Manag. Sci. 2024, 1–28. [Google Scholar] [CrossRef]
  6. Ma, A. The role of management characteristics in trade frictions and corporate financialization. Financ. Res. Lett. 2024, 65, 105505. [Google Scholar] [CrossRef]
  7. Melitz, M.J. The impact of trade on intra-industry reallocations and aggregate industry productivity. Econometrica 2003, 71, 1695–1725. [Google Scholar] [CrossRef]
  8. Melitz, M.J.; Ottaviano, G.I.P. Market size, trade, and productivity. Rev. Econ. Stud. 2008, 75, 295–316. [Google Scholar] [CrossRef]
  9. Bernard, A.B.; Redding, S.J.; Schott, P.K. Multiproduct Firms and Trade Liberalization. Q. J. Econ. 2011, 126, 1271–1318. [Google Scholar] [CrossRef]
  10. Mayer, T.; Melitz, M.J.; Ottaviano, G.I.P. Market size, competition, and the product mix of exporters. Am. Econ. Rev. 2014, 104, 495–536. [Google Scholar] [CrossRef]
  11. Zhou, Y.; Ji, Y. Trade policy uncertainty, innovation and total factor productivity. Sustainability 2022, 14, 266. [Google Scholar] [CrossRef]
  12. Zhou, K.; Yu, L.; Jiang, X.; Kumar, S. The impact of regional trade policy uncertainty on the productivity of Chinese export enterprises: The case of China—ASEAN free trade area. Pac. Econ. Rev. 2023, 28, 218–240. [Google Scholar] [CrossRef]
  13. Li, C. Anti-dumping shock and the productivity response of Chinese industries. China World Econ. 2017, 25, 107–126. [Google Scholar] [CrossRef]
  14. Li, C.; Whalley, J. Chinese firm and industry reactions to antidumping initiations and measures. Appl. Econ. 2015, 47, 2683–2698. [Google Scholar] [CrossRef]
  15. Azmeh, S.; Foster, C.; Echavarri, J. The international trade regime and the quest for free digital trade. Int. Stud. Rev. 2020, 22, 671–692. [Google Scholar] [CrossRef]
  16. Feliciano-Cestero, M.M.; Ameen, N.; Kotabe, M.; Paul, J.; Signoret, M. Is digital transformation threatened? A systematic literature review of the factors influencing firms’ digital transformation and internationalization. J. Bus. Res. 2023, 157, 113546. [Google Scholar] [CrossRef]
  17. Roblek, V.; Meško, M.; Pušavec, F.; Likar, B. The Role and Meaning of the Digital Transformation as a Disruptive Innovation on Small and Medium Manufacturing Enterprises. Front. Psychol. 2021, 12, 592528. [Google Scholar] [CrossRef]
  18. Bresciani, S.; Huarng, K.; Malhotra, A.; Ferraris, A. Digital transformation as a springboard for product, process and business model innovation. J. Bus. Res. 2021, 128, 204–210. [Google Scholar] [CrossRef]
  19. Wang, L. Digital transformation and total factor productivity. Financ. Res. Lett. 2023, 58, 104338. [Google Scholar] [CrossRef]
  20. Yu, J.; Xu, Y.; Zhou, J.; Chen, W. Digital transformation, total factor productivity, and firm innovation investment. J. Innov. Knowl. 2024, 9, 100487. [Google Scholar] [CrossRef]
  21. Liu, W.; Liu, C.; Luo, J.; Liu, F. How does digital transformation promote total factor productivity? Strategy, technology, and application. Manag. Decis. Econ. 2024, 45, 2739–2750. [Google Scholar] [CrossRef]
  22. Xie, S.; Zhang, M.; Huang, B. The impact of antidumping on China’s export firms’ productivity. J. Quant. Technol. Econ. 2017, 34, 105–120. [Google Scholar]
  23. Chandra, P.; Long, C. Anti-dumping duties and their impact on exporters: Firm level evidence from China. World Dev. 2013, 51, 169–186. [Google Scholar] [CrossRef]
  24. Wu, Y.; Shi, F.; Wang, Y. Driving impact of digital transformation on total factor productivity of corporations: The mediating effect of green technology innovation. Emerg. Mark. Financ. Trade 2024, 60, 950–966. [Google Scholar] [CrossRef]
  25. Hongliang, L.; Zeren, Z.; Haoran, M. The impact of digital transformation on enterprise export resilience: Evidence from China. Int. Rev. Econ. Financ. 2024, 95, 103500. [Google Scholar] [CrossRef]
  26. Liang, S.; Tan, Q. Can the digital economy accelerates China’s export technology upgrading? Based on the perspective of export technology complexity. Technol. Forecast. Soc. Chang. 2024, 199, 123052. [Google Scholar] [CrossRef]
  27. Chiappini, R.; Gaglio, C. Digital intensity, trade costs and exports’ quality upgrading. World Econ. 2024, 47, 709–747. [Google Scholar] [CrossRef]
  28. Aghion, P.; Howitt, P. A model of growth through creative destruction. Econometrica 1992, 60, 323–351. [Google Scholar] [CrossRef]
  29. Aghion, P.; Blundell, R.; Griffith, R.; Howitt, P.; Prantl, S. The effects of entry on incumbent innovation and productivity. Rev. Econ. Stat. 2009, 91, 20–32. [Google Scholar] [CrossRef]
  30. Huang, B.; Li, H.; Liu, J.; Lei, J. Digital technology innovation and the high-quality development of Chinese enterprises: Evidence from enterprise’s digital patents. Econ. Res. J. 2023, 58, 97–115. [Google Scholar]
  31. Zhai, S.; Liu, Z. Artificial intelligence technology innovation and firm productivity: Evidence from China. Financ. Res. Lett. 2023, 58, 104437. [Google Scholar] [CrossRef]
  32. Demmel, M.C.; Máñez, J.A.; Rochina-Barrachina, M.E.; Sanchis-Llopis, J.A. Product and process innovation and total factor productivity: Evidence for manufacturing in four Latin American countries. Rev. Dev. Econ. 2017, 21, 1341–1363. [Google Scholar] [CrossRef]
  33. Huang, X.; Qing, T. Export trade cost and enterprise innovation: Theoretical mechanism and empirical test. World Econ. Stud. 2020, 315, 3–16, 315. [Google Scholar]
  34. Guan, J.; Ma, N. Innovative capability and export performance of Chinese firms. Technovation 2003, 23, 737–747. [Google Scholar] [CrossRef]
  35. Shen, H.; Cheng, X.; Wan, Q. Does Anti-dumping against China inhibit corporate innovation? Financ. Trade Econ. 2021, 42, 149–164. [Google Scholar]
  36. Wei, M.; Liu, X. Trade-related environmental uncertainty and firm’s innovation: Evidence from Chinese listed firms. Nankai Bus. Rev. 2021, 24, 16–27. [Google Scholar]
  37. Tao, A.; Wu, W.; Kuai, P. Does the import and export trade inhibit enterprise innovation—Based on the moderating role of income gap. J. Int. Trade 2020, 116–130. [Google Scholar] [CrossRef]
  38. Criscuolo, C.; Haskel, J.E.; Slaughter, M.J. Global engagement and the innovation activities of firms. Int. J. Ind. Organ. 2010, 28, 191–202. [Google Scholar] [CrossRef]
  39. Perla, B.J.; Tonetti, C.; Waugh, M.E. Equilibrium technology diffusion, trade, and growth. Am. Econ. Rev. 2021, 111, 73–128. [Google Scholar] [CrossRef]
  40. Qiao, X.; Hou, T.; Zhang, H.; Chen, X.; Zheng, M. The impact of digital service trade barriers on production sharing activities: Empirical evidence from China as the host country. South China J. Econ. 2024, 1–29. [Google Scholar] [CrossRef]
  41. Yang, W.; Huang, Y.; Zhong, C. Does anti-dumping restraint exporters’ innovation? Research based on the perspective of outward investment and export network. Nankai Econ. Stud. 2022, 116–131. [Google Scholar] [CrossRef]
  42. Liu, H. Research on the export capability of Chinese enterprises under the impact of uncertainty. Econ. Res. J. 2022, 57, 103–120. [Google Scholar]
  43. Pfeffer, J.; Salancik, G. The External Control of Organizations: A Resource Dependence Perspective; Harper & Row: New York, NY, USA, 1978. [Google Scholar]
  44. Yuan, L.; Li, R.; Ji, P. Export demand shock, product mix and firm productivity—Microcosmic evidence from China’s industrial firms. China Econ. Q. 2020, 19, 1167–1190. [Google Scholar]
  45. Jiang, W.; Sun, P. Anti-dumping, firm heterogeneous response and export performance. J. Quant. Technol. Econ. 2016, 33, 59–76. [Google Scholar]
  46. Long, X.; Fang, F.; Chandra, P. The spillover effects of US antidumping duties against China on export products. J. World Econ. 2018, 41, 76–98. [Google Scholar]
  47. Xu, J.; Zhang, J.; Liu, Z. Antidumping and multiproduct firm export activity: Evidence from Chinese manufacturing firms. J. Financ. Res. 2021, 491, 97–116. [Google Scholar]
  48. Park, S. The trade depressing and trade diversion effects of antidumping actions: The case of China. China Econ. Rev. 2009, 20, 542–548. [Google Scholar] [CrossRef]
  49. Sun, P.; Song, C. Trade network, market access and improved business productivity. J. World Econ. 2023, 46, 125–153. [Google Scholar]
  50. Mao, Q.; Zhong, Y. How Does export diversification affect Chinese manufacturing capacity utilization? J. Quant. Technol. Econ. 2023, 40, 113–135. [Google Scholar]
  51. Yi, J.; Wang, Y. Research on the impact of digital transformation on firm exports. China Soft Sci. 2021, 3, 94–104. [Google Scholar]
  52. Yan, J.; Ji, W.; Xiong, Z. The research review and prospect of digital innovation. Sci. Res. Manag. 2021, 42, 11–20. [Google Scholar]
  53. Hong, J.; Jiang, M.; Zhang, C. Digital transformation, innovation and the improvement of enterprises’ export quality. J. Int. Trade 2022, 48, 1–15. [Google Scholar]
  54. Guellec, D. Chapter 9. Digital Innovation and the Distribution of Income; University of Chicago Press: Chicago, IL, USA, 2021; pp. 323–370. [Google Scholar]
  55. Zhao, C.; Wang, W.; Li, X. How does digital transformation affect the total factor productivity of enterprises? Financ. Trade Econ. 2021, 42, 114–129. [Google Scholar]
  56. He, Q.; Ai, W.; Pan, N. Innovation diffusion in the context of digital transition: Theory evolution, research hotspots and innovation methods: From the perspective of knowledge map. Sci. Sci. Manag. Sci. Technol. 2022, 43, 17–50. [Google Scholar]
  57. Huang, H.; Xu, C.; Li, Y. Can “banding together for warmth” cope with the “cold winter”? Trade policy uncertainty and firm’s collaborative innovation: Empirical evidence from the US-China trade friction. Financ. Trade Res. 2024, 35, 35–53. [Google Scholar]
  58. Zheng, Z.; He, J. Impact of enterprise digital transformation on technology innovation model. Foreign Econ. Manag. 2023, 45, 54–68. [Google Scholar]
  59. Dai, X.; Zeng, L.; Xu, H. Enterprise digital transformation to enhance export resilience: Mechanism and empirical analysis. China Soft Sci. 2023, 389, 44–53. [Google Scholar]
  60. Nambisan, S.; Lyytinen, K.; Majchrzak, A.; Song, M. Digital innovation management: Reinventing innovation management research in a digital world. MIS Q. 2017, 41, 223–238. [Google Scholar] [CrossRef]
  61. Wei, H.; Tu, Y. Foreign demand changes and Chinese firms’ export destination market adjustment. J. Quant. Technol. Econ. 2023, 40, 28–50. [Google Scholar]
  62. Bai, J.; Chen, M.; Liu, J.; Mu, X.; Xu, D.Y. Search and Information Frictions on Global E-Commerce Platforms: Evidence from Aliexpress; NBER Working Paper; National Bureau of Economic Research: Cambridge, MA, USA, 2021. [Google Scholar]
  63. Shi, B.; Li, J. Does the internet promote division of labor? Evidences from Chinese manufacturing enterprises. Manag. World 2020, 36, 130–149. [Google Scholar]
  64. Vial, G. Understanding digital transformation: A review and a research agenda. J. Strateg. Inf. Syst. 2019, 28, 118–144. [Google Scholar] [CrossRef]
  65. Zhang, P.; Liu, W.; Tang, Y. Enterprises’ export resilience under trade frictions: The role of digital transformation. China Ind. Econ. 2023, 422, 155–173. [Google Scholar]
  66. Yan, B.; Wu, Q.; Wang, N. Anti-dumping, trade connections and outward foreign direct investment. China Ind. Econ. 2024, 60–78. [Google Scholar] [CrossRef]
  67. Levinsohn, J.; Petrin, A. Estimating production functions using inputs to control for unobservables. Rev. Econ. Stud. 2003, 70, 317–341. [Google Scholar] [CrossRef]
  68. Olley, G.S.; Pakes, A. The dynamics of productivity in the telecommunications equipment industry. Econometrica 1996, 64, 1263–1297. [Google Scholar] [CrossRef]
  69. Wu, F.; Hu, H.; Lin, H.; Ren, X. Enterprise digital transformation and capital market performance: Empirical evidence from stock liquidity. J. Manag. World 2021, 37, 10, 130–144. [Google Scholar]
  70. He, H.; Zheng, L.; Zhang, F. Anti-dumping on intermediate products and the innovation of Chinese downstream firm. World Econ. Stud. 2022, 3–17, 135. [Google Scholar] [CrossRef]
  71. Beck, T.; Levine, R.; Levkov, A. Big bad banks? the winners and losers from bank deregulation in the united states. J. Financ. 2010, 65, 1637–1667. [Google Scholar] [CrossRef]
  72. Liu, J.; Ren, L.; Wang, S. How can enterprise digital transformation effectively reduce the cost of equity capital? Manag. Rev. 2024, 36, 29–41. [Google Scholar]
  73. Bai, C.; Li, D.D.; Tao, Z.; Wang, Y. A multitask theory of state enterprise reform. J. Comp. Econ. 2000, 28, 716–738. [Google Scholar] [CrossRef]
  74. Tang, H.; Chen, A. How do market power and industry competition influence the effect of corporate governance on earnings management? Q. Rev. Econ. Financ. 2020, 78, 212–225. [Google Scholar] [CrossRef]
  75. Bai, X.; Hong, S.; Wang, Y. Learning from processing trade: Firm evidence from China. J. Comp. Econ. 2021, 49, 579–602. [Google Scholar] [CrossRef]
Figure 1. Theoretical framework.
Figure 1. Theoretical framework.
Systems 12 00471 g001
Figure 2. Parallel trends I: the effect of trade friction on firms’ TFP.
Figure 2. Parallel trends I: the effect of trade friction on firms’ TFP.
Systems 12 00471 g002
Figure 3. Parallel trends II: the response of digital transformation to the impact of trade friction.
Figure 3. Parallel trends II: the response of digital transformation to the impact of trade friction.
Systems 12 00471 g003
Figure 4. Placebo test.
Figure 4. Placebo test.
Systems 12 00471 g004
Table 1. Variables’ definitions.
Table 1. Variables’ definitions.
Variable NameSymbolMeasures
Total factor productivityTFPConstructed with the LP and OP method
Trade frictionFricTaking a value of 1 for the year t and all subsequent years if the firm suffers from anti-dumping or countervailing investigations in year t
Digital transformationDigiThe text analysis method of calculating the frequency of words related to digital transformation
Return on assetsROAThe ratio of EBIT to total assets
Firm sizeSizeThe logarithm of total employees
Firm ageAgeThe natural logarithm is calculated by adding 1 to the number of years established
Asset–liability ratioLevThe ratio of total liabilities to total assets
Current ratioLiqThe current assets as a percentage of total assets
Ownership concentrationShareThe proportion of the top five shareholders
Innovation capabilityInnovationPatent applications
Ownership propertySOEA dummy variable, taking a value of 1 for state-owned firms and 0 for others
Firm fixed effectFirmFirm dummy variables
Year fixed effectYearYear dummy variables
Table 2. Summary statistics.
Table 2. Summary statistics.
VariableObservationsMeanMedianStandard DeviationMinMax
TFP76537.9927.8960.9515.15611.94
Digi76530.59800.99303.689
Size76537.6567.5771.0962.94412.58
Age76532.5502.6390.3961.0993.296
Lev76530.4220.4160.2000.06600.884
Liq76530.5750.5830.1690.1860.927
Share765354.3754.9014.1522.9587.06
Innovation76530.2530.05000.974020.64
SOE76530.42400.49401
ROA76530.03700.03400.0500−0.1330.182
Table 3. Baseline regression.
Table 3. Baseline regression.
The Effect of Trade Friction on TFPResponse to Digital Transformation
(1)(2)(3)(4)(5)(6)
Fric0.079 ***0.383 ***0.061 ***0.08 ***0.391 ***0.062 ***
(4.533)(17.08)(3.883)(4.563)(17.443)(3.926)
Digi 0.08 ***0.107 ***0.062 ***
(9.132)(8.378)(7.776)
Fric*Digi 0.036 **0.053 **0.024 *
(2.565)(2.168)(1.861)
Size 0.211 *** 0.205 ***
(12.371) (12.22)
Age 0.404 *** 0.396 ***
(6.712) (6.634)
Lev 0.666 *** 0.649 ***
(10.922) (10.798)
Liq 0.641 *** 0.663 ***
(8.758) (9.136)
Share 0.002 ** 0.002 ***
(2.233) (2.685)
Innovation 0.016 *** 0.01 *
(2.906) (1.866)
SOE −0.03 −0.03
(−0.808) (−0.801)
ROA 1.925 *** 1.823 ***
(11.861) (11.391)
FirmYesNoYesYesNoYes
YearYesYesYesYesYesYes
Observations765376537653765376537653
R20.8960.0590.9130.8980.070.914
Note. t statistics are in brackets; ***, **, and * indicate significance at the 1%, 5%, and 10% statistical levels, respectively.
Table 4. Other robust checks.
Table 4. Other robust checks.
Panel A: Robust Checks I
PSM-DID MethodExcluding the Effects of the Financial CrisisIndustry and Province Fixed Effect
(1)(2)(3)(4)(5)(6)
Fric0.061 ***0.062 ***0.046 **0.041 **0.058 ***0.06 ***
(3.887)(3.931)(2.302)(2.109)(3.74)(3.82)
Fric*Digi 0.025 * 0.024 * 0.025 *
(1.938) (1.739) (1.945)
Digi 0.062 *** 0.053 *** 0.056 ***
(7.774) (6.311) (7.004)
ControlsYesYesYesYesYesYes
FirmYesYesYesYesYesYes
YearYesYesYesYesYesYes
Industry----YesYes
Province----YesYes
Observation763876385721572176497649
R20.9120.9130.9250.9260.9160.917
Panel B Robust Checks II: replacement of primary variable
TFPFricDigi
(1)(2)(3)(4)(5)(6)
Fric0.036 **0.04 ***0.032 *0.042 **0.063 ***0.059 ***
(2.44)(2.702)(1.919)(2.458)(4.049)(3.656)
Fric*Digi 0.025 ** 0.035 **0.049 **0.02 *
(2.046) (2.303)(2.254)(1.652)
Digi 0.047 *** 0.062 ***0.044 ***0.061 ***
(6.18) (6.888)(3.642)(7.438)
ControlsYesYesYesYesYesYes
FirmYesYesYesYesYesYes
YearYesYesYesYesYesYes
Observations691069106820682076537653
R20.9010.9020.9150.9160.9130.910
Note. t statistics are in brackets; ***, **, and * indicate significance at the 1%, 5%, and 10% statistical levels, respectively.
Table 5. Channel A: innovation inhibition effect.
Table 5. Channel A: innovation inhibition effect.
(1)(2)(3)(4)
R&DPatentR&DPatent
Fric−0.229 ***−0.109 ***−0.242 ***−0.102 ***
(−2.901)(−4.324)(−2.985)(−4.138)
Fric*Digi 0.158 ***0.05 **
(2.748)(2.373)
Digi 0.135 ***0.043 ***
(2.8)(2.928)
ControlsYesYesYesYes
FirmYesYesYesYes
YearYesYesYesYes
Observations5768765357687653
R20.8550.7100.8550.711
Note. t statistics are in brackets; ***, ** indicate significance at the 1% and5%statistical levels, respectively.
Table 6. Channel B: intra-firm resource reallocation effect.
Table 6. Channel B: intra-firm resource reallocation effect.
(1)(2)(3)(4)
ProVarMarVarProVarMarVar
Fric7.46 ***4.688 ***7.28 ***4.594 ***
(4.263)(10.033)(4.189)(9.912)
Fric*Digi 1.933 ***0.947 ***
(3.157)(3.799)
Digi 2.418 ***1.252 ***
(3.293)(5.431)
ControlsYesYesYesYes
FirmYesYesYesYes
YearYesYesYesYes
Observations7653765376537653
R20.7850.8820.7860.883
Note. t statistics are in brackets; *** indicates significance at the 1%statistical level.
Table 7. Heterogeneous effects of export products.
Table 7. Heterogeneous effects of export products.
Single-Product ExportersMulti-Product ExportersSingle-Product ExportersMulti-Product Exporters
Fric−0.0710.035 **−0.0490.035 **
(−1.05)(2.274)(−0.573)(2.26)
Digi 0.0360.016 *
(0.671)(1.91)
Fric*Digi 0.0490.019 *
(0.528)(1.835)
ControlsYesYesYesYes
FirmYesYesYesYes
YearYesYesYesYes
Observations82166248216624
R20.9420.9230.9420.923
Note. t statistics are in brackets; **, and * indicate significance at the 5%, and 10% statistical levels, respectively.
Table 8. Heterogeneous effects of ownership nature.
Table 8. Heterogeneous effects of ownership nature.
(1)(2)(3)(4)
SOENon-SOESOENon-SOE
Fric0.046 *0.039 *0.05 *0.037 *
(1.923)(1.954)(1.929)(1.86)
Digi 0.061 ***0.05 ***
(4.302)(5.273)
Fric*Digi 0.0090.034 **
(0.358)(2.245)
ControlsYesYesYesYes
FirmYesYesYesYes
YearYesYesYesYes
Observations3230438932304389
R20.9260.8980.9260.899
Note. t statistics are in brackets; ***, **, and * indicate significance at the 1%, 5%, and 10% statistical levels, respectively.
Table 9. Heterogeneous effects of industry competition.
Table 9. Heterogeneous effects of industry competition.
(1)(2)(3)(4)
High CompetitionLow CompetitionHigh CompetitionLow Competition
Fric0.0320.068 ***0.0290.069 ***
(1.335)(3.181)(1.217)(3.255)
Digi 0.063 ***0.053 ***
(5.456)(4.684)
Fric*Digi 0.036 **0.003
(1.962)(0.197)
ControlsYesYesYesYes
FirmYesYesYesYes
YearYesYesYesYes
Observations3782375937823759
R20.9050.9350.9060.936
Note. t statistics are in brackets; *** and ** indicate significance at the 1% and 5%statistical levels, respectively.
Table 10. Heterogeneous effects of trade mode.
Table 10. Heterogeneous effects of trade mode.
(1)(2)(3)(4)
GenTraProTraGenTraProTra
Fric0.039 *0.056 **0.038 *0.063 **
(1.853)(2.15)(1.832)(2.241)
Fric*Digi 0.028 *0.340
(1.809)(1.133)
Digi 0.072 ***0.041 ***
(6.524)(2.89)
ControlsYesYesYesYes
FirmYesYesYesYes
YearYesYesYesYes
Observations4193316641933166
R-squared0.9070.930.9090.93
Note. t statistics are in brackets; ***, **, and * indicate significance at the 1%, 5%, and 10% statistical levels, respectively.
Disclaimer/Publisher’s Note: The statements, opinions and data contained in all publications are solely those of the individual author(s) and contributor(s) and not of MDPI and/or the editor(s). MDPI and/or the editor(s) disclaim responsibility for any injury to people or property resulting from any ideas, methods, instructions or products referred to in the content.

Share and Cite

MDPI and ACS Style

Zhang, X.; Zhang, X. From Shock to Adaptation: Evaluating the Mechanisms of Trade Friction on Firms’ Total Factor Productivity Through the Lens of Digital Transformation. Systems 2024, 12, 471. https://doi.org/10.3390/systems12110471

AMA Style

Zhang X, Zhang X. From Shock to Adaptation: Evaluating the Mechanisms of Trade Friction on Firms’ Total Factor Productivity Through the Lens of Digital Transformation. Systems. 2024; 12(11):471. https://doi.org/10.3390/systems12110471

Chicago/Turabian Style

Zhang, Xiyin, and Xindong Zhang. 2024. "From Shock to Adaptation: Evaluating the Mechanisms of Trade Friction on Firms’ Total Factor Productivity Through the Lens of Digital Transformation" Systems 12, no. 11: 471. https://doi.org/10.3390/systems12110471

APA Style

Zhang, X., & Zhang, X. (2024). From Shock to Adaptation: Evaluating the Mechanisms of Trade Friction on Firms’ Total Factor Productivity Through the Lens of Digital Transformation. Systems, 12(11), 471. https://doi.org/10.3390/systems12110471

Note that from the first issue of 2016, this journal uses article numbers instead of page numbers. See further details here.

Article Metrics

Back to TopTop