Exploring the Digital Transformation of Generative AI-Assisted Foreign Language Education: A Socio-Technical Systems Perspective Based on Mixed-Methods
Abstract
1. Introduction
- (1)
- What are the affordances and challenges of GenAI technologies for foreign language teaching and learning, as perceived by teachers and learners?
- (2)
- How do educational institutions adapt their strategies, policies, and practices to support the integration of GenAI in foreign language programs?
- (3)
- To what extent and under what conditions can GenAI enhance the effectiveness, efficiency, and equity of foreign language education, and what are the unintended consequences and ethical implications?
2. Problem Description and Theoretical Framework
2.1. Defining the Digital Transformation of Generative AI-Assisted Foreign Language Education
2.2. GAIFL-STS Model: Generative AI-Assisted Foreign Language Education Socio-Technical System Model
2.3. Validity and Operationalization of Mixed Research Methods
3. Research Process and Results
3.1. The Qualitative Study: An In-Depth Description of the Whole Process of Using GenAI for Foreign Language Teaching and Learning
3.1.1. Qualitative Research Design
3.1.2. Research Process
3.1.3. Research Findings
3.2. Modeling Simulation: The Use of GenAI in Foreign Language Education Systems and Its Implications
3.2.1. Simulation Modeling Process
- (1)
- AI Technology Enhancement Loop: AI language generation capability→Learning resource richness→Student learning motivation→Learning outcomes→Social acceptance of AI education→AI infrastructure investment→AI language generation capability
- (2)
- Teacher Professional Development Loop: AI literacy level→AI-assisted teaching time ratio→Teaching innovation→Student learning satisfaction→Teacher job satisfaction→Professional development investment→AI literacy level
- (3)
- Organizational Learning Loop: AI infrastructure investment→AI-assisted teaching effectiveness→Learning outcomes→Organizational innovation culture→Cross-departmental collaboration→AI infrastructure investment
- (4)
- Ethical Challenge Loop: AI usage level→Data privacy risk→Ethical norms completeness→AI usage restrictions→AI usage level
- (5)
- Role Conflict Loop: AI-assisted teaching time ratio→Teacher role change→Role identity decline→Teacher resistance→AI-assisted teaching time ratio
- (6)
- Skill Substitution Loop: AI capability enhancement→Certain language skill demand decrease→Student learning motivation change→Traditional language skill level→Dependence on AI→AI capability enhancement
- Update AI literacy based on AI language generation capability and organizational support
- Adjust work satisfaction based on organizational support and student language ability
- Modify innovation tendency based on AI language generation and organizational innovation
- Adapt role identity based on innovation tendency and AI-assisted teaching time
- Improve language ability based on AI language generation and teacher AI literacy
- Adjust learning motivation based on social acceptance and personal language ability
- Update AI acceptance based on AI language generation and social acceptance
- Enhance self-learning ability based on AI acceptance and learning resource richness
- Develop cross-cultural sensitivity based on cross-cultural opportunities
- Enhance language model complexity based on global AI advancements
- Improve personalization accuracy through continuous learning
- Increase response speed with technological improvements
- Reduce error rate through system optimizations
- Adapt learning ability based on interactions with teachers and students
- Multiscale modeling: The SD model captures macro-level system dynamics, while the ABM simulates micro-level individual behaviors. We defined clear interface variables to allow interaction between the two scales.
- Time synchronization: Both SD and ABM components use the same time step, ensuring consistent temporal evolution of the system.
- Data flow: ① Bottom-up: Aggregated agent behaviors influence SD variables (e.g., average teacher AI literacy affecting the system-level teacher_ai_literacy variable). ② Top-down: SD variables set the environment parameters for agent behaviors (e.g., ai_language_generation influencing individual agents’ attributes and decisions).
- Feedback loops: Cross-model feedback loops are implemented, such as the system-level social_acceptance influencing individual agents’ AI acceptance, which in turn affects the system-level variable.
- Parameter calibration: We use ABM micro-data to calibrate SD parameters and vice versa, enhancing the overall model accuracy and reliability.
- Emergent behavior detection: The ABM component allows for the detection of emergent behaviors, which can then be incorporated into the SD model as new variables or relationships.
- Scenario analysis: We design comprehensive scenarios that span both SD and ABM components, exploring how new AI policies might simultaneously affect system dynamics and individual behaviors.
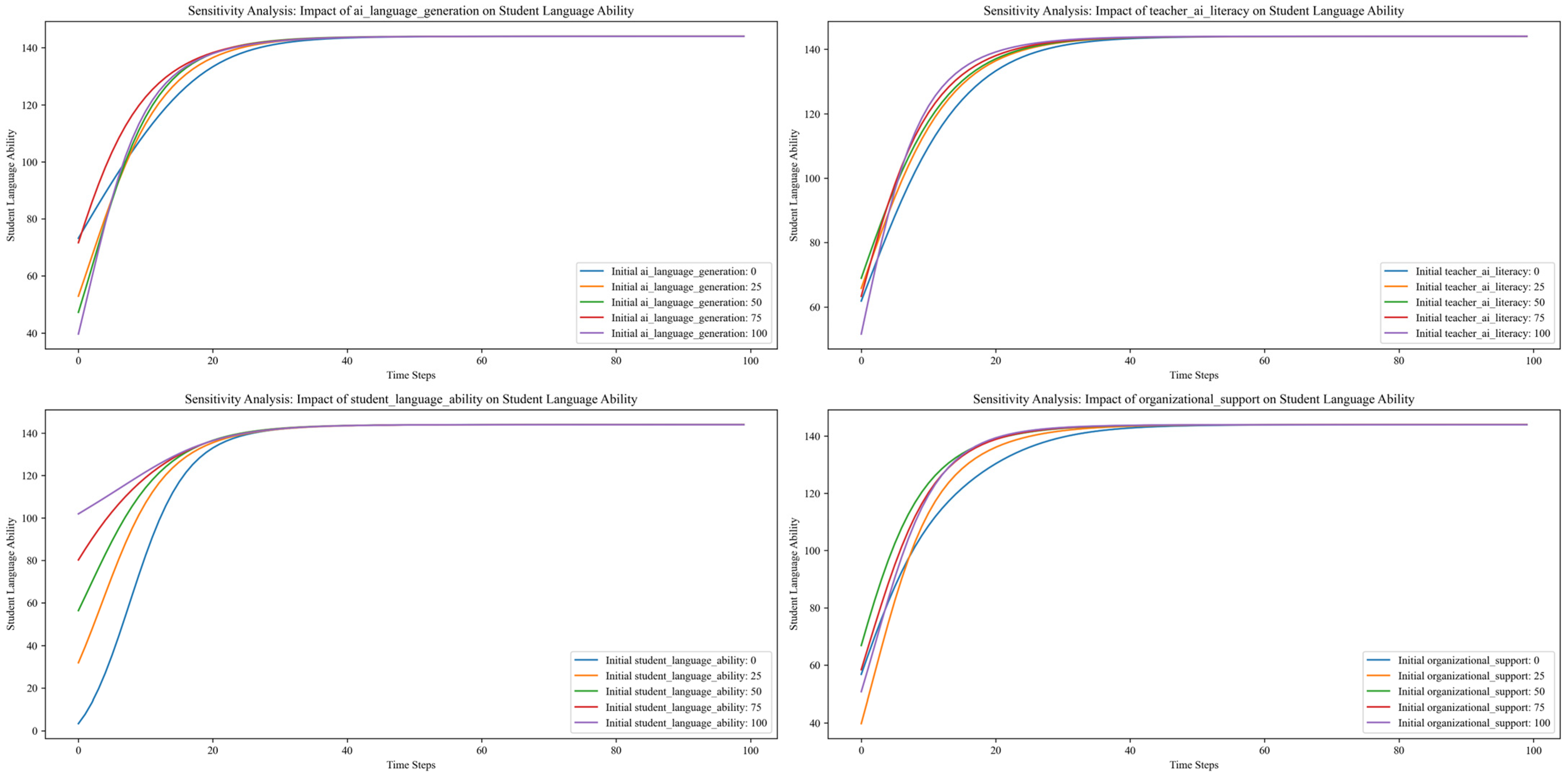
3.2.2. Model Simulation Results
3.3. Integration Analysis: Complementary Theoretical Findings Between Qualitative Research Findings and Model Simulation Results
4. Discussion
4.1. Summary of Research Findings
4.2. Limitations and Future Research
5. Conclusions
5.1. Practical Implications
5.2. Theoretical Contributions
Author Contributions
Funding
Institutional Review Board Statement
Informed Consent Statement
Data Availability Statement
Conflicts of Interest
Appendix A
| Data Source | Initial Code | Code Description | Example Quotes |
|---|---|---|---|
| Classroom Observation | AI-LI (AI-assisted Language Input) | AI system providing language input materials | “The AI-generated multi-perspective interpretations of ‘Pride and Prejudice’, including feminist, social class, and marriage views”. (Observation notes, Week 3) |
| Classroom Observation | AI-LO (AI-assisted Language Output) | AI system assisting student language production | “Students utilized AI writing assistants for essay composition, receiving real-time grammar corrections and stylistic suggestions”. (Observation notes, Week 5) |
| Classroom Observation | AI-IF (AI Instant Feedback) | Immediate learning feedback provided by AI | “During oral practice, the AI system analyzed students’ pronunciation and intonation in real-time, offering improvement suggestions”. (Observation notes, Week 2) |
| Classroom Observation | T-AI-I (Teacher-AI Interaction) | Interaction process between teachers and AI | “Professor Z used voice commands to instruct the AI to generate a set of analytical questions on Shakespeare’s sonnets”. (Observation notes, Week 7) |
| Classroom Observation | S-AI-I (Student-AI Interaction) | Interaction process between students and AI | “Students engaged with the AI chatbot, posing questions about stream of consciousness techniques in modernist literature”. (Observation notes, Week 9) |
| Classroom Observation | T-S-AI-I (Teacher-Student-AI Interaction) | Three-way interaction among teachers, students, and AI | “Dr. L facilitated a collaborative translation project where students and AI worked together, with ongoing discussions about AI’s translation suggestions”. (Observation notes, Week 11) |
| In-depth Interview | T-PR (Teacher Perceived Role) | Teachers’ perception of their changing role | “I now see myself more as a learning designer and facilitator, rather than just a transmitter of knowledge. It’s a paradigm shift in how we approach teaching”. (Professor W, English Literature) |
| In-depth Interview | S-ML (Student Metalearning) | Students’ reflection on their learning process | “AI has made me realize that the key isn’t memorizing information, but learning how to effectively utilize and analyze it. It’s changed how I approach my studies entirely”. (Student L, 3rd year student) |
| In-depth Interview | AI-AD (AI Advantages) | Perceived advantages of AI systems | “The AI’s ability to provide personalized learning paths is revolutionary. It’s like having a personal tutor for each student, which is impossible in traditional large classes”. (Dr. C, Comparative Literature) |
| In-depth Interview | AI-LI (AI Limitations) | Perceived limitations of AI systems | “While impressive, the AI sometimes generates content that seems plausible but is factually incorrect. It’s crucial to maintain a critical eye and cross-verify information”. (Student Z, graduate student) |
| In-depth Interview | E-CH (Ethical Challenges) | Ethical issues arising from AI application | “Ensuring academic integrity in an AI-assisted environment is one of our biggest challenges. We’re still grappling with where to draw the line”. (Professor L, Department Head) |
| In-depth Interview | P-CH (Policy Challenges) | Policy challenges brought by AI application | “We’re in the process of overhauling our examination and assessment policies to align with AI-era teaching practices. It’s a complex undertaking”. (Dr. W, Academic Affairs) |
| In-depth Interview | T-AI-L (Teacher AI Literacy) | Teachers’ AI-related competencies | “We’re learning the art of ‘prompting’-how to effectively instruct the AI to get the best educational outcomes. It’s becoming a crucial skill for educators”. (Dr. Z, Western Literary Theory) |
| In-depth Interview | S-AI-L (Student AI Literacy) | Students’ AI-related competencies | “Beyond language learning, we’re developing critical skills in using and evaluating AI tools. It feels like we’re preparing for a new kind of literacy”. (Student W, 4th year student) |
| Document Analysis | C-AI-I (Curriculum-AI Integration) | AI integration in curriculum design | Course syllabus: “20% of the course content will focus on AI-assisted literary criticism practices, blending traditional methods with cutting-edge technology”. |
| Document Analysis | AI-GF (AI-Generated Feedback) | Learning feedback generated by AI systems | AI system log: “Generated 500+ personalized learning recommendations, covering aspects of vocabulary, grammar, and style, tailored to individual student profiles”. |
| Document Analysis | S-AI-W (Student AI-assisted Work) | Student work completed with AI assistance | Student essay sample: “This paper’s initial structure was developed with AI assistance, followed by substantial human revision and deepening of arguments”. |
| Document Analysis | AI-ER (AI Evaluation Rules) | Evaluation rules regarding AI use | Departmental policy document: “Students must declare specific portions of assignments completed with AI assistance and explain its contribution to their work”. |
| Document Analysis | AI-TD (AI Teacher Development) | AI-related teacher development programs | Training document: “All foreign language faculty are required to complete the ‘AI-Assisted Teaching’ workshop series, totaling 40 h of professional development”. |
| Participatory Observation | CL-DY (Classroom Dynamics) | Classroom interaction dynamics post-AI introduction | “The classroom atmosphere has become more dynamic, with increased student engagement. However, there’s a noticeable tendency towards over-reliance on AI in some discussions”. (Researcher’s reflective journal, Week 8) |
| Participatory Observation | LR-CH (Learning Resource Changes) | Changes in nature and use of learning resources | “Traditional textbook usage has decreased significantly. There’s a clear shift towards real-time, AI-generated personalized learning materials”. (Researcher’s reflective journal, Week 6) |
| Participatory Observation | AS-TR (Assessment Transformation) | Transformation of assessment methods | “The assessment strategy has evolved from singular final exams to a more diverse, process-oriented approach, incorporating AI-assisted projects and reflective reports”. (Researcher’s reflective journal, Week 12) |
| Participatory Observation | TC-AD (Technology Adaptation) | Process of adapting to AI technology | “Observed a clear learning curve effect. Initial weeks showed struggles with AI integration, but by mid-semester, both teachers and students demonstrated markedly improved efficiency”. (Researcher’s reflective journal, Week 10) |
| Participatory Observation | SP-DI (Spatial Design Impact) | Impact of teaching space design on AI application | “Traditional classroom layouts prove challenging for AI-assisted group collaborations. There’s a growing need for more flexible, technology-integrated space designs”. (Researcher’s reflective journal, Week 4) |
| Focus Group | AI-CP (AI and Critical Pedagogy) | Discussions on AI’s role in fostering critical thinking | “While AI can provide diverse perspectives, we must ensure it doesn’t replace the development of students’ own critical faculties”. (Professor Y, Focus Group 2) |
| Focus Group | AI-CL (AI and Collaborative Learning) | Impact of AI on collaborative learning practices | “AI has transformed group projects. Students now collaborate not just with each other, but with AI as a kind of digital team member”. (Dr. L, Focus Group 1) |
| Focus Group | AI-IC (AI and Intercultural Competence) | AI’s influence on intercultural competence development | “The AI’s ability to provide instant cultural context has both positive and potentially problematic implications for intercultural learning”. (Professor Z, Focus Group 3) |
| Student Reflective Journals | AI-LS (AI and Learning Strategies) | Changes in learning strategies due to AI integration | “I’ve had to develop new strategies for information synthesis. It’s not just about finding information anymore, but about critically evaluating AI-generated content”. (Student Journal, Week 9) |
| Student Reflective Journals | AI-MO (AI and Learning Motivation) | AI’s impact on student motivation | “The AI writing assistant has boosted my confidence in expressing complex ideas in English. I feel more motivated to tackle challenging texts”. (Student Journal, Week 7) |
| Student Reflective Journals | AI-ID (AI and Learner Identity) | Influence of AI on learner identity | “Using AI has made me question what it means to be ‘fluent’ or ‘proficient’ in a language. It’s reshaping how I view my language learning journey”. (Student Journal, Week 11) |
References
- Kasneci, E.; Seßler, K.; Küchemann, S.; Chemann, S.; Bannert, M.; Dementieva, D.; Fischer, F.; Gasser, U.; Groh, G.; Günnemann, S.; et al. ChatGPT for good? On opportunities and challenges of large language models for education. Learn. Individ. Differ. 2023, 103, 102274. [Google Scholar] [CrossRef]
- Wu, T.; He, S.; Liu, J.; Sun, S.; Liu, K.; Han, Q.; Tang, Y. A brief overview of ChatGPT: The history, status quo and potential future development. IEEE CAA J. Autom. Sin. 2023, 10, 1122–1136. [Google Scholar] [CrossRef]
- Pan, S.J.; Yang, Q. A survey on transfer learning. IEEE Trans. Knowl. Data Eng. 2009, 22, 1345–1359. [Google Scholar] [CrossRef]
- Golonka, E.M.; Bowles, A.R.; Frank, V.M.; Richardson, D.L.; Freynik, S. Technologies for foreign language learning: A review of technology types and their effectiveness. Comput. Assist. Lang. Learn. 2014, 27, 70–105. [Google Scholar] [CrossRef]
- Yang, H.; Kyun, S. The current research trend of artificial intelligence in language learning: A systematic empirical literature review from an activity theory perspective. Australas. J. Educ. Technol. 2022, 38, 180–210. [Google Scholar] [CrossRef]
- Fryer, L.K.; Nakao, K.; Thompson, A. Chatbot learning partners: Connecting learning experiences, interest and competence. Comput. Hum. Behav. 2019, 93, 279–289. [Google Scholar] [CrossRef]
- Duan, R.; Kawahara, T.; Dantsuji, M.; Nanjo, H. Cross-lingual transfer learning of non-native acoustic modeling for pronunciation error detection and diagnosis. IEEE ACM Trans. Audio Speech Lang. 2019, 28, 391–401. [Google Scholar] [CrossRef]
- Ramesh, D.; Sanampudi, S.K. An automated essay scoring systems: A systematic literature review. Artif. Intell. Rev. 2022, 55, 2495–2527. [Google Scholar] [CrossRef]
- Lamb, M. The motivational dimension of language teaching. Lang. Teach. 2017, 50, 301–346. [Google Scholar] [CrossRef]
- Gligorea, I.; Cioca, M.; Oancea, R.; Gorski, A.-T.; Gorski, H.; Tudorache, P. Adaptive Learning Using Artificial Intelligence in e-Learning: A Literature Review. Educ. Sci. 2023, 13, 1216. [Google Scholar] [CrossRef]
- Geels, F.W. From sectoral systems of innovation to socio-technical systems: Insights about dynamics and change from sociology and institutional theory. Res. Policy 2004, 33, 897–920. [Google Scholar] [CrossRef]
- Santana, C.; Albareda, L. Blockchain and the emergence of Decentralized Autonomous Organizations (DAOs): An integrative model and research agenda. Technol. Forecast. Soc. Chang. 2022, 182, 121806. [Google Scholar] [CrossRef]
- Mishra, P.; Koehler, M.J. Technological pedagogical content knowledge: A framework for teacher knowledge. Teach. Coll. Rec. 2006, 108, 1017–1054. [Google Scholar] [CrossRef]
- Mariani, M.M.; Machado, I.; Magrelli, V.; Dwivedi, Y.K. Artificial intelligence in innovation research: A systematic review, conceptual framework, and future research directions. Technovation 2023, 122, 102623. [Google Scholar] [CrossRef]
- Braun, V.; Clarke, V. Conceptual and design thinking for thematic analysis. Qual. Psychol. 2022, 9, 3–26. [Google Scholar] [CrossRef]
- Bond, M.; Zawacki-Richter, O.; Nichols, M. Revisiting five decades of educational technology research: A content and authorship analysis of the British Journal of Educational Technology. Br. J. Educ. Technol. 2019, 50, 12–63. [Google Scholar] [CrossRef]
- Kulik, J.A.; Fletcher, J.D. Effectiveness of intelligent tutoring systems: A meta-analytic review. Rev. Educ. Res. 2016, 86, 42–78. [Google Scholar] [CrossRef]
- Orlikowski, W.J.; Scott, S.V. 10 sociomateriality: Challenging the separation of technology, work and organization. Acad. Manag. Ann. 2008, 2, 433–474. [Google Scholar] [CrossRef]
- Weiss, K.; Khoshgoftaar, T.M.; Wang, D. A survey of transfer learning. J. Big Data 2016, 3, 1–40. [Google Scholar] [CrossRef]
- Dessì, D.; Fenu, G.; Marras, M.; Recupero, D.R. Bridging learning analytics and cognitive computing for big data classification in micro-learning video collections. Comput. Hum. Behav. 2019, 92, 468–477. [Google Scholar] [CrossRef]
- Ouyang, F.; Zheng, L.; Jiao, P. Artificial intelligence in online higher education: A systematic review of empirical research from 2011 to 2020. Educ. Inf. Technol. 2022, 27, 7893–7925. [Google Scholar] [CrossRef]
- Huang, W.; Hew, K.F.; Fryer, L.K. Chatbots for language learning—Are they really useful? A systematic review of chatbot-supported language learning. J. Comput. Assist. Learn. 2022, 38, 237–257. [Google Scholar] [CrossRef]
- Zhan, Z.; Fong, P.S.; Mei, H.; Liang, T. Effects of gender grouping on students’ group performance, individual achievements and attitudes in computer-supported collaborative learning. Comput. Hum. Behav. 2015, 48, 587–596. [Google Scholar] [CrossRef]
- Scherer, R.; Siddiq, F.; Tondeur, J. The technology acceptance model (TAM): A meta-analytic structural equation modeling approach to explaining teachers’ adoption of digital technology in education. Comput. Educ. 2019, 128, 13–35. [Google Scholar] [CrossRef]
- Panadero, E. A review of self-regulated learning: Six models and four directions for research. Front. Psychol. 2017, 8, 422. [Google Scholar] [CrossRef]
- Selwyn, N. What’s the problem with learning analytics? J. Learn. Anal. 2019, 6, 11–19. [Google Scholar] [CrossRef]
- Sarker, S.; Chatterjee, S.; Xiao, X.; Elbanna, A. The sociotechnical axis of cohesion for the IS discipline: Its historical legacy and its continued relevance. MIS Q. 2019, 43, 695–720. [Google Scholar] [CrossRef]
- Lyytinen, K.; Nickerson, J.V.; King, J.L. Metahuman systems= humans+ machines that learn. J. Inf. Technol. 2021, 36, 427–445. [Google Scholar] [CrossRef]
- Faraj, S.; Pachidi, S.; Sayegh, K. Working and organizing in the age of the learning algorithm. Inf. Organ. 2018, 28, 62–70. [Google Scholar] [CrossRef]
- Starkey, L. A review of research exploring teacher preparation for the digital age. Camb. J. Educ. 2020, 50, 37–56. [Google Scholar] [CrossRef]
- Jain, R.; Garg, N.; Khera, S.N. Effective human—AI work design for collaborative decision-making. Kybernetes 2023, 52, 5017–5040. [Google Scholar] [CrossRef]
- Zawacki-Richter, O.; Martin, V.I.; Bond, M.; Gouverneur, F. Systematic review of research on artificial intelligence applications in higher education—where are the educators? Int. J. Educ. Technol. High. Educ. 2019, 16, 1–27. [Google Scholar] [CrossRef]
- Ouyang, F.; Xu, W.; Cukurova, M. An artificial intelligence-driven learning analytics method to examine the collaborative problem-solving process from the complex adaptive systems perspective. Int. J. Comput.-Support. Collab. Learn. 2023, 18, 39–66. [Google Scholar] [CrossRef]
- Wessel, L.; Baiyere, A.; Ologeanu-Taddei, R.; Cha, J.; Blegind-Jensen, T. Unpacking the difference between digital transformation and IT-enabled organizational transformation. J. Assoc. Inf. Syst. 2021, 22, 102–129. [Google Scholar] [CrossRef]
- Johnson, R.B.; Onwuegbuzie, A.J. Mixed methods research: A research paradigm whose time has come. Educ. Res. 2004, 33, 14–26. [Google Scholar] [CrossRef]
- Halverson, L.R.; Graham, C.R.; Spring, K.J.; Drysdale, J.S.; Henrie, C.R. A thematic analysis of the most highly cited scholarship in the first decade of blended learning research. Internet High. Educ. 2014, 20, 20–34. [Google Scholar] [CrossRef]
- Greene, J.C. Is mixed methods social inquiry a distinctive methodology? J. Mix. Method Res. 2008, 2, 7–22. [Google Scholar] [CrossRef]
- Lungu, M. The coding manual for qualitative researchers. Am. J. Qual. Res. 2022, 6, 232–237. [Google Scholar] [CrossRef]
- Viberg, O.; Hatakka, M.; Bälter, O.; Mavroudi, A. The current landscape of learning analytics in higher education. Comput. Hum. Behav. 2018, 89, 98–110. [Google Scholar] [CrossRef]
- Gašević, D.; Dawson, S.; Siemens, G. Let’s not forget: Learning analytics are about learning. TechTrends 2015, 59, 64–71. [Google Scholar] [CrossRef]
- Sghir, N.; Adadi, A.; Lahmer, M. Recent advances in Predictive Learning Analytics: A decade systematic review (2012–2022). Educ. Inf. Technol. 2023, 28, 8299–8333. [Google Scholar] [CrossRef] [PubMed]
- Dedrick, R.F.; Ferron, J.M.; Hess, M.R.; Hogarty, K.Y.; Kromrey, J.D.; Lang, T.R.; Niles, J.D.; Lee, R.S. Multilevel modeling: A review of methodological issues and applications. Rev. Educ. Res. 2009, 79, 69–102. [Google Scholar] [CrossRef]
- Grant, C.; Osanloo, A. Understanding, selecting, and integrating a theoretical framework in dissertation research: Creating the blueprint for your “house”. Adm. Issues J. 2014, 4, 4. [Google Scholar] [CrossRef]
- Celik, I.; Dindar, M.; Muukkonen, H.; Järvelä, S. The promises and challenges of artificial intelligence for teachers: A systematic review of research. TechTrends 2022, 66, 616–630. [Google Scholar] [CrossRef]
- Collins, K.M.; Onwuegbuzie, A.J.; Jiao, Q.G. Prevalence of mixed-methods sampling designs in social science research. Eval. Res. Educ. 2006, 19, 83–101. [Google Scholar] [CrossRef]
- Richards, K.A.R.; Hemphill, M.A. A practical guide to collaborative qualitative data analysis. J. Teach. Phys. Educ. 2018, 37, 225–231. [Google Scholar] [CrossRef]
- Broccardo, L.; Zicari, A.A.N.; Jabeen, F.; Bhatti, Z.A. How digitalization supports a sustainable business model: A literature review. Technol. Forecast. Soc. Chang. 2023, 187, 122146. [Google Scholar] [CrossRef]
- Ivankova, N.V.; Creswell, J.W.; Stick, S.L. Using mixed-methods sequential explanatory design: From theory to practice. Field Method 2006, 18, 3–20. [Google Scholar] [CrossRef]
- Gerring, J. What is a case study and what is it good for? Am. Political Sci. Rev. 2004, 98, 341–354. [Google Scholar] [CrossRef]
- Yin, R.K. Case Study Research: Design and Methods; Sage Publications: London, UK, 2009; pp. 16–20. [Google Scholar]
- Adeoye-Olatunde, O.A.; Olenik, N.L. Research and scholarly methods: Semi-structured interviews. J. Am. Coll. Clin. Pharm. 2021, 4, 1358–1367. [Google Scholar] [CrossRef]
- Lewis, S. Qualitative inquiry and research design: Choosing among five approaches. Health Promot. Pract. 2015, 16, 473–475. [Google Scholar] [CrossRef]
- Hays, D.G.; McKibben, W.B. Promoting rigorous research: Generalizability and qualitative research. J. Couns. Dev. 2021, 99, 178–188. [Google Scholar] [CrossRef]
- Zaman, R.; Jain, T.; Samara, G.; Jamali, D. Corporate governance meets corporate social responsibility: Mapping the interface. Bus. Soc. 2022, 61, 690–752. [Google Scholar] [CrossRef]
- Roberts, R.E. Qualitative Interview Questions: Guidance for Novice Researchers. Qual. Rep. 2020, 25, 3185–3203. [Google Scholar] [CrossRef]
- Kim, H.; Sefcik, J.S.; Bradway, C. Characteristics of qualitative descriptive studies: A systematic review. Res. Nurs. Health 2017, 40, 23–42. [Google Scholar] [CrossRef]
- Korstjens, I.; Moser, A. Series: Practical guidance to qualitative research. Part 4: Trustworthiness and publishing. Eur. J. Gen. Pract. 2018, 24, 120–124. [Google Scholar] [CrossRef]
- Braun, V.; Clarke, V. Using thematic analysis in psychology. Qual. Res. Psychol. 2006, 3, 77–101. [Google Scholar] [CrossRef]
- Nowell, L.S.; Norris, J.M.; White, D.E.; Moules, N.J. Thematic analysis: Striving to meet the trustworthiness criteria. Int. J. Qual. Methods 2017, 16, 1067544023. [Google Scholar] [CrossRef]
- Kiger, M.E.; Varpio, L. Thematic analysis of qualitative data: AMEE Guide No. 131. Med. Teach. 2020, 42, 846–854. [Google Scholar] [CrossRef] [PubMed]
- De Casterlé, B.D.; Gastmans, C.; Bryon, E.; Denier, Y. QUAGOL: A guide for qualitative data analysis. Int. J. Nurs. Stud. 2012, 49, 360–371. [Google Scholar] [CrossRef]
- Alam, M.K. A systematic qualitative case study: Questions, data collection, NVivo analysis and saturation. Qual. Res. Organ. Manag. 2021, 16, 1–31. [Google Scholar] [CrossRef]
- Holton, J.A. Grounded theory as a general research methodology. Grounded Theory Rev. 2008, 7, 67–93. Available online: https://groundedtheoryreview.com/2008/06/30/grounded-theory-as-a-general-research-methodology/ (accessed on 4 September 2024).
- Naeem, M.; Ozuem, W.; Howell, K.; Ranfagni, S. A step-by-step process of thematic analysis to develop a conceptual model in qualitative research. Int. J. Qual. Methods 2023, 22, 2139372957. [Google Scholar] [CrossRef]
- Braun, V.; Clarke, V. Toward good practice in thematic analysis: Avoiding common problems and be (com) ing a knowing researcher. Int. J. Transgender Health 2023, 24, 1–6. [Google Scholar] [CrossRef] [PubMed]
- Tracy, S.J. Qualitative quality: Eight “big-tent” criteria for excellent qualitative research. Qual. Inq. 2010, 16, 837–851. [Google Scholar] [CrossRef]
- Bethencourt-Aguilar, A.; Castellanos-Nieves, D.; Sosa-Alonso, J.E.; Area-Moreira, M. Use of generative adversarial networks (GANs) in educational technology research. J. New Approaches Educ. Res. 2023, 12, 153–170. [Google Scholar] [CrossRef]
- Siau, K.; Wang, W. Artificial intelligence (AI) ethics: Ethics of AI and ethical AI. J. Database Manag. 2020, 31, 74–87. [Google Scholar] [CrossRef]
- Tsai, Y.S.; Poquet, O.; Gašević, D.; Dawson, S.; Pardo, A. Complexity leadership in learning analytics: Drivers, challenges and opportunities. Br. J. Educ. Technol. 2019, 50, 2839–2854. [Google Scholar] [CrossRef]
- Rasul, T.; Nair, S.; Kalendra, D.; Robin, M.; de Oliveira Santini, F.; Ladeira, W.J.; Sun, M.; Day, I.; Rather, R.A.; Heathcote, L. The role of ChatGPT in higher education: Benefits, challenges, and future research directions. J. Appl. Learn. Teach. 2023, 6, 41–56. [Google Scholar] [CrossRef]
- Dimitrieska, V. Language teacher identity construction: Reflective conversation. J. Lang. Identity Educ. 2022, 23, 771–786. [Google Scholar] [CrossRef]
- Andersen, R.; Mørch, A.I.; Litherland, K.T. Collaborative learning with block-based programming: Investigating human-centered artificial intelligence in education. Behav. Inf. Technol. 2022, 41, 1830–1847. [Google Scholar] [CrossRef]
- Palvia, S.; Aeron, P.; Gupta, P.; Mahapatra, D.; Parida, R.; Rosner, R.; Sindhi, S. Online education: Worldwide status, challenges, trends, and implications. J. Glob. Inf. Technol. Manag. 2018, 21, 233–241. [Google Scholar] [CrossRef]
- Ertmer, P.A.; Ottenbreit-Leftwich, A.T. Teacher technology change: How knowledge, confidence, beliefs, and culture intersect. J. Res. Technol. Educ. 2010, 42, 255–284. [Google Scholar] [CrossRef]
- Lai, C.; Gu, M. Self-regulated out-of-class language learning with technology. Comput. Assist. Lang. Learn. 2011, 24, 317–335. [Google Scholar] [CrossRef]








| Data Source | Initial Code | Code Description | Example Quotes |
|---|---|---|---|
| Classroom Observation | AI-LI (AI-assisted Language Input) | AI system providing language input materials | “The AI-generated multi-perspective interpretations of ‘Pride and Prejudice’, including feminist, social class, and marriage views”. (Observation notes, Week 3) |
| In-depth Interview | T-PR (Teacher Perceived Role) | Teachers’ perception of their changing role | “I now see myself more as a learning designer and facilitator, rather than just a transmitter of knowledge. It’s a paradigm shift in how we approach teaching”. (Professor W, English Literature) |
| Document Analysis | C-AI-I (Curriculum-AI Integration) | AI integration in curriculum design | Course syllabus: “20% of the course content will focus on AI-assisted literary criticism practices, blending traditional methods with cutting-edge technology”. |
| Participatory Observation | TC-AD (Technology Adaptation) | Process of adapting to AI technology | “Observed a clear learning curve effect. Initial weeks showed struggles with AI integration, but by mid-semester, both teachers and students demonstrated markedly improved efficiency”. (Researcher’s reflective journal, Week 10) |
| No. | Potential Themes | Relevant Codes | Theme Description |
|---|---|---|---|
| 1 | AI-Enhanced Teaching Practices | AI-LI, AI-LO, AI-IF, T-AI-I, C-AI-I | Reflects how AI directly impacts and changes teaching methods and content delivery |
| 2 | Transforming Learning Experiences | S-AI-I, S-ML, AI-GF, S-AI-W, AI-LS, AI-MO | Describes how students interact with AI and how these interactions transform their learning processes and experiences |
| 3 | Reconstructing Educational Roles | T-PR, T-AI-L, AI-TD, AI-CP | Discusses the changing roles of teachers and the new skills and professional development required |
| 4 | Ethical and Policy Challenges | E-CH, P-CH, AI-ER | Addresses the ethical issues and policy adjustment needs brought about by AI application |
| 5 | AI Literacy and Critical Thinking | S-AI-L, AI-LI, AI-CP | Emphasizes the importance of cultivating critical thinking and AI literacy in the AI era |
| 6 | Reshaping Educational Spaces and Resources | LR-CH, SP-DI, CL-DY | Reflects the changes in physical and virtual educational spaces and learning resources |
| 7 | Innovating Assessment Methods | AS-TR, AI-ER | Explores new assessment methods and standards in the AI era |
| 8 | Cultural and Identity Issues | AI-IC, AI-ID | Considers AI’s impact on cultural understanding and learner identity formation |
| 9 | New Modes of Collaborative Learning | T-S-AI-I, AI-CL | Describes how AI changes the nature and form of collaborative learning |
| 10 | Technology Adaptation and Development | TC-AD, AI-AD, AI-LI | Reflects the process and challenges of educators and learners adapting to AI technology |
Disclaimer/Publisher’s Note: The statements, opinions and data contained in all publications are solely those of the individual author(s) and contributor(s) and not of MDPI and/or the editor(s). MDPI and/or the editor(s) disclaim responsibility for any injury to people or property resulting from any ideas, methods, instructions or products referred to in the content. |
© 2024 by the authors. Licensee MDPI, Basel, Switzerland. This article is an open access article distributed under the terms and conditions of the Creative Commons Attribution (CC BY) license (https://creativecommons.org/licenses/by/4.0/).
Share and Cite
Zhang, Y.; Dong, C. Exploring the Digital Transformation of Generative AI-Assisted Foreign Language Education: A Socio-Technical Systems Perspective Based on Mixed-Methods. Systems 2024, 12, 462. https://doi.org/10.3390/systems12110462
Zhang Y, Dong C. Exploring the Digital Transformation of Generative AI-Assisted Foreign Language Education: A Socio-Technical Systems Perspective Based on Mixed-Methods. Systems. 2024; 12(11):462. https://doi.org/10.3390/systems12110462
Chicago/Turabian StyleZhang, Yang, and Changqi Dong. 2024. "Exploring the Digital Transformation of Generative AI-Assisted Foreign Language Education: A Socio-Technical Systems Perspective Based on Mixed-Methods" Systems 12, no. 11: 462. https://doi.org/10.3390/systems12110462
APA StyleZhang, Y., & Dong, C. (2024). Exploring the Digital Transformation of Generative AI-Assisted Foreign Language Education: A Socio-Technical Systems Perspective Based on Mixed-Methods. Systems, 12(11), 462. https://doi.org/10.3390/systems12110462

