Next Article in Journal
Integrated Scheduling of Handling Equipment in Automated Container Terminal Considering Quay Crane Faults
Next Article in Special Issue
Supply Chain Integration Capability, Intra-Cluster Co-Opetition Strategy, and Breakthrough Innovation: The Moderating Effect of Environmental Turbulence
Previous Article in Journal
Exploring the Role of Top Management Team Diversity and Absorptive Capacity in the Relationship Between Corporate Environmental, Social, and Governance Performance and Firm Value
Previous Article in Special Issue
Supply Chain Sustainability: Influencing Factors and Empirical Study from a Marxist Political Economy Perspective
 
 
Font Type:
Arial Georgia Verdana
Font Size:
Aa Aa Aa
Line Spacing:
Column Width:
Background:
Article

Operational Strategy Analysis of Fashion Brands to Develop Digital Assets Under the Sustainability Goals

1
Glorious Sun School of Business and Management, Donghua University, Shanghai 200051, China
2
Inner Mongolia Modern Logistics and Supply Chain Management Research Center, Hohhot 010051, China
3
School of Economics and Management, Inner Mongolia University of Technology, Hohhot 010051, China
*
Author to whom correspondence should be addressed.
Systems 2024, 12(11), 449; https://doi.org/10.3390/systems12110449
Submission received: 23 September 2024 / Revised: 19 October 2024 / Accepted: 23 October 2024 / Published: 25 October 2024
(This article belongs to the Special Issue New Trends in Sustainable Operations and Supply Chain Management)

Abstract

This paper analyzes the strategic decisions of fashion brands regarding the development of digital assets based on blockchain technology, with a focus on achieving both sustainability and profitability goals. We first consider foundational factors such as the fashion value of products, their life cycle, and environmental taxes to construct a traditional fashion system involving the government, fashion brands, and consumers. Subsequently, we introduce a blockchain model that incorporates the added value of digital assets, the cost of technology, and the proportion of fashion consumers. Both models—traditional and digital—are solved mathematically, and numerical experiments are conducted to compare and analyze the impact of developing digital assets by fashion brands. The findings suggest that leveraging digital assets to enhance the fashion value of products can increase the profitability of fashion brands while also reducing environmental pollution caused by leftover inventory. Additionally, the development of digital assets may extend the life cycle of a product, although this does not always lead to improved environmental performance, highlighting a trade-off between the two objectives. Ultimately, the development of digital assets by fashion brands can result in a win-win for both profit and environmental performance, but this outcome is contingent on the cost of blockchain technology meeting specific conditions.

1. Introduction

Fashion products are among the world’s most popular consumer goods [1]; however, they are also among the leading contributors to carbon emissions [2]. According to a report by the United Nations Environment Programme (UNEP), carbon emissions from the fashion industry account for approximately 8% to 10% of global total emissions [3]. Nearly 85% of textile waste ultimately ends up in landfills, placing enormous pressure on the environment [4]. Much of this textile waste is generated by rapid consumer discards and excess inventory from fashion companies. The rapid decline in the perceived fashion value of products is the main cause of this phenomenon [5]. As Oscar Wilde stated, “Fashion is a form of ugliness so intolerable that we have to alter it every six months” [6]. Clearly, this is an undesirable and unsustainable situation, as most fashion companies and consumers focus on newer and more fashionable products, while outdated products are discarded in large quantities. In response, government agencies have initiated programs related to environmental taxes, which require fashion companies to pay fees to address environmental problems arising from leftover products [7]. However, not all fashion companies voluntarily pay environmental taxes, as it would reduce their profitability. Therefore, it is crucial for fashion companies to achieve a win-win situation in terms of profitability and environmental performance [8].
In recent years, significant intersections between blockchain technology and fashion have occurred, particularly as blockchain-based digital assets have gained popularity within the fashion industry [9]. According to BoF Insights, strong interest in digital assets—including digital skins, in-game items, digital fashion, and other forms of non-fungible tokens (NFTs)—is expressed by approximately 50% of consumers [10]. These novel digital assets are highly valued by Generation Z consumers, who view them not only as possessing fashion value but also as symbols of culture and status, for which a premium is willingly paid [11]. The attention of fashion companies, particularly luxury brands such as Louis Vuitton and Gucci, has been attracted by consumer reactions to blockchain-based digital assets such as NFTs [12]. Experiments have been conducted by these companies to offer consumers both physical and digital versions of their products, with the hope of further enhancing fashion value and increasing sales. To their credit, they have been successful in terms of profitability, which leads us to expect the use of digital assets to solve the environmental problems of fashion industry.
Blockchain technology, a peer-to-peer distributed data ledger, is characterized by decentralization, traceability, and immutability [13]. It has been hailed as one of the most important foundational technologies for humanity’s entry into the Web3 world, as it enables the authentication of product value in the Web3 world, preventing widespread piracy or copying of code [14]. Blockchain-based digital assets are regarded as virtual products with value equivalent to physical products. For example, in the strategy of fashion brands like Adidas, NFT products purchased by consumers are eligible for physical product redemption [15]. This is why we focus on blockchain technology over other technologies, i.e., blockchain technology enables the certification of the value of digital assets.
However, addressing environmental issues in the fashion industry through blockchain-based digital assets remains a topic for further discussion. Currently, most research on blockchain technology in operations management focuses on quality certification [16] and traceability management [17], while little research discusses the role of blockchain-based digital assets in sustainability. For this reason, the role of blockchain-based digital assets in the relationship between profit and environmental performance in fashion companies is discussed in this paper, with the following main research questions:
i.
Can fashion brands develop digital assets to achieve a mutually beneficial outcome in both profit and environmental performance? What motivates fashion brands to develop digital assets?
ii.
How do the blockchain technology, consumers’ factor, the production cost, and environmental tax affect the profits and environmental performance of fashion brands?
iii.
If the fashion value of a product naturally depreciates over time, what impact would the development of digital assets have on the product’s life cycle? Do changes in the product life cycle lead to adjustments in the operational strategies of fashion brands?
To address these issues, this paper constructs a fashion ecosystem involving the government, fashion brands, and consumers. In this system, fashion brands are responsible for producing and delivering fashion products to consumers, while the government imposes a tax on the disposal of unsold excess products at the end of the selling season based on their environmental impact. The government’s goal is to reduce the environmental impact of excess products through environmental taxes, while the aim of fashion brands is to sell more products to increase profit. Thus, reducing excess products becomes a shared goal for both the government and fashion brands. For this reason, two models are constructed for fashion brands to explore the role of digital assets developed using blockchain technology within the fashion system: the traditional model and the blockchain model. On this basis, the equilibrium results under both models were first obtained, and the economic and environmental impacts of fashion brands’ development of blockchain-based digital assets on the fashion system were discussed by analyzing the differences in optimal outcomes. The main conclusions derived from this analysis are summarized as follows. First, the development of digital assets by fashion brands significantly influences consumer type, pricing, sales volume, profit, and environmental performance. Second, digital assets enhance the fashion value of products, which can, in turn, extend their life cycle, enabling fashion brands to sell more products, though not always improving environmental performance; a balance must be struck between the two. Third, the development of digital assets by fashion brands can lead to a mutually beneficial outcome in both profit and environmental performance, but only if the technological cost of blockchain remains low. Factors such as the number of fashion consumers, the added value of digital assets, and the rate of fashion depreciation significantly influence this outcome.
This work advances the existing literature by providing significant contributions in three key areas. First, although prior studies have focused on the pricing strategies of fashion products within single or dual-cycle frameworks [18,19], they have often overlooked the continuous temporal degradation of fashion value. This work enhances the understanding of the temporal value attributes of fashion items, presenting a novel perspective on the dynamic valuation of fashion products. Second, this study explores the harmonization of economic and environmental performance within the fashion industry, demonstrating that reducing excess inventory can lead to mutually beneficial outcomes for both aspects, thereby providing innovative insights for sustainable practices in the industry. This contrasts with previous works [20,21], which have largely focused on the regulation of environmental policies while overlooking the direct approach of increasing product value to reduce excess inventory. Finally, the impact of blockchain technology and the development of digital assets on the fashion industry have been scarcely examined in existing research [22,23]. This work contrasts the decision-making effects of traditional fashion models with those incorporating blockchain-based digital assets, offering valuable guidance and strategies for the digital transformation and sustainable development of fashion enterprises.
The remainder of this paper is organized as follows. Section 2 reviews the relevant literature. Section 3 describes the associated problem and presents the modeling and solution approach. Section 4 compares and analyzes the equilibrium results of the different models. Section 5 presents experiments with numerical simulations and analyzes the effects of various parameters. Section 6 summarizes the main findings and provides managerial insights. All proofs are provided in the Appendix A and Appendix B.

2. Literature Review

This paper primarily relates to three streams of literature: sustainability in the fashion industry, blockchain technology and digital assets, and the fashion value of products.

2.1. Sustainability in the Fashion Industry

Sustainability has emerged as a critical research focus in the fashion industry due to its substantial environmental impact [20,21]. A major issue is consumer overconsumption, as customers frequently purchase significantly more fashion products than they use, resulting in a considerable amount of discarded items once their novelty fades [24]. This overconsumption significantly contributes to environmental problems, which are challenging to mitigate through changes in consumer behavior alone.
In response, researchers have explored the use of environmental taxes as a mechanism to mitigate the negative impacts of fashion consumption. For instance, Chan et al. highlighted the potential of environmental taxes to affect fashion industry practices [7]. Choi emphasized that many fashion brands rely on fixed production partners, often involving long-distance transportation and excessive carbon footprints. He suggested that a carbon footprint tax could incentivize brands to collaborate with local companies and adopt quick response systems, thereby balancing environmental and profitability goals [25]. Niu et al., in examining sourcing strategies, compared the control and agency models within the fashion industry. They found that while the control strategy is more profitable, it is less sustainable. Their study also discussed the influence of penalty and subsidy policies on fashion retailers’ purchasing strategies, emphasizing the need for policy interventions to promote sustainability [26]. Choi and Luo further developed theoretical models to investigate how data quality issues impact sustainable fashion supply chain operations. They focused on various environmental taxes, such as production tax, distribution tax, and leftover product tax, and their impact on sustainability [2]. This underscores the need for a multidimensional approach to address environmental issues in fashion supply chains.
Beyond environmental taxes, product greenness is essential for sustainability in fashion. Guo et al. emphasized the urgent need for developing green products through cleaner processes. They compared the impact of various retail competition scenarios on the performance of green fashion product development, indicating that retail strategies significantly affect sustainability outcomes [27]. The fast-fashion business model, characterized by rapid product design and response, presents additional environmental challenges. Cachon and Swinney noted that fast fashion enhances profitability in competitive markets through quick response systems and diverse product offerings [1]. However, they did not address the environmental implications of this model. Long and Nasiry analyzed the environmental impacts of fast fashion, finding that while waste disposal policies and production taxes can reduce surplus inventory, they may inadvertently lower product quality, potentially worsening environmental outcomes [28]. Regarding consumer behavior, Jacobs et al. found that positive attitudes toward social-ecological standards, biospheric and altruistic values, and a preference for online and catalog shopping enhance sustainable clothing purchases. Conversely, egoistic and hedonic values, along with a preference for durable clothing, hinder sustainable purchasing behavior [29]. This highlights the complexity of consumer motivations in achieving sustainable fashion practices.
This work builds on these insights by also implementing environmental taxes on leftover products. However, it diverges by emphasizing the management of leftover products to achieve sustainability. This study proposes a straightforward yet effective approach: increasing sales, reducing leftover stock, and enhancing sustainability. By focusing on minimizing the disposal of excess fashion products, this study presents a practical and attainable path toward sustainable fashion practices.

2.2. Blockchain Technology and Digital Assets

Blockchain technology has found significant applications in supply chain operations, particularly in quality certification [30,31]. For instance, Shen et al. investigated its role in disclosing the quality of secondhand products, which can enhance consumer trust [32]. Similarly, Shen et al. and Pun et al. examined blockchain platforms designed to prevent counterfeit products, benefiting manufacturers by ensuring product authenticity [33,34]. Additionally, blockchain plays a crucial role in information traceability. Biswas et al. argue that while blockchain can improve supply chain traceability, it may negatively impact the environment [35]. Similarly, Niu, Dong et al. highlighted the benefits of blockchain for transparency [36]. In terms of financing and operational decisions, Ma et al. explored how blockchain influences third-party remanufacturers with limited capital, providing insights into various cooperative and competitive financing models. Their study underscored the role of blockchain in facilitating better financing decisions and improving operational efficiency [37].
Recent studies have focused on the role of blockchain in sustainable supply chains. Li et al. explored green investment challenges and the decision to implement blockchain, considering retailers’ emotional fairness concerns [22]. Ma et al. discussed the optimal adoption of blockchain for recycling used products to achieve economic, environmental, and social sustainability [23]. Choi and Luo emphasized that blockchain can reduce demand volatility and excess products, thereby enhancing social welfare and supply chain profits [2]. Furthermore, Cao and Shen discussed blockchain’s effectiveness in preventing less sustainable products from entering global markets [38].
In addition, the rise of digital assets represented by non-fungible tokens (NFTs) has been driven by blockchain technology. NFTs are unique digital assets powered by blockchain technology; verifiable digital scarcity is provided, enabling secure ownership and trading of unique items or content in the virtual economy [39]. The mechanisms of digital asset ownership and the benefits of tokenization in asset trading were reviewed by Alsulaimani et al., who discussed the challenges of managing ownership provenance [40]. The uniqueness and security of NFTs in the Web3 domain, which make them difficult to copy or pirate, were highlighted by Belk et al. [41]. The differentiation between digital and non-digital assets was made by Tan and Carrillo, who compared the impact of agency and wholesale strategies on supply chain efficiency [42].
Despite the abundance of research on blockchain technology in the field of operations management, relatively little research on blockchain-based digital assets exists, and even less discussion in the field of sustainability, which makes this research groundbreaking. It is worth stating that the management issues between blockchain technology and government departments, which in reality are still in the discussion phase, are not discussed in this paper. The government department established in this paper has the primary responsibility of imposing environmental taxes rather than intervening in blockchain-based digital assets. In the previously mentioned cases similar to Nike, Adidas, and Louis Vuitton, blockchain-based digital assets are already being sold, which forms the practical basis for this paper.

2.3. The Value of Fashion Products

Finally, the concepts of value and life cycle of fashion products are examined in this work. Over time, fashion products inevitably lose their appeal, transitioning from trendy to outdated. Obsolescence results in their disposal, negatively impacting both business profits and the environment [43,44]. Therefore, it is necessary to discuss the value and life cycle of fashion products to improve the profitability and environmental performance of fashion companies.
Golrezaei et al. extended this discussion by examining how customer valuations of fashion products decline over time, similar to the depreciation seen in seasonal goods. They proposed mechanisms to optimize sales strategies in light of decreasing valuations, highlighting the critical challenge of maintaining fashion value over a product’s lifecycle [45]. Similarly, Aviv and Pazgal identified two key characteristics of consumer demand for fashion products: the time-varying peak in value at the beginning of a sale and the heterogeneous nature of consumer valuations. These insights informed their exploration of dynamic pricing strategies aimed at optimizing revenue in the face of declining fashion value [5].
Fast fashion, as analyzed by Cachon and Swinney, epitomizes the industry’s response to the transient nature of fashion value. The success of this model hinges on a delicate balance between rapid response and superior design, allowing products to resonate more closely with consumer preferences and trends while facilitating an accelerated fashion experience [1]. This agility in design and production enables consumers to continually engage with the latest fashions, thereby heightening the perceived fashion value. Li et al. further elucidated the relationship between consumer behavior and fashion value, finding that Chinese consumers’ propensity to purchase luxury fashion brands is deeply intertwined with their fashionable lifestyles and the perceived value of these brands. They also explored the influence of authentic and counterfeit luxury items on these dynamics, revealing that brand consciousness often aligns with the intrinsic fashion value of products [46].
However, it is found that in the existing literature, most studies on the value and life cycle of fashion products mainly focus on economic scenarios, while environmental performance scenarios are less common. As a result of this finding, three novel contributions are presented in this work. First, this study characterizes the decline in the value of fashion products, emphasizing the need to integrate this imperative into strategic development. Second, this study presents a business model in which fashion companies use blockchain technology to develop digital assets. This not only increases the added value of fashion products but also opens new avenues for consumer choice. Finally, it explores the role of digital assets in sustainability, providing important insights into the sustainability of the fashion industry.

3. The Model

3.1. Problem Description

We consider a fashion system that includes the government, fashion brands, and consumers. During the sales period, fashion brands sell their products to consumers. If surplus inventory remains at the end of the sales period, brands must pay an environmental tax on the leftover items to the government, i.e., the leftover tax c t l [2,7]. We focus on two different fashion models: (1) the traditional fashion model (denoted as Model T) and (2) the fashion model for blockchain-based digital assets (denoted as Model B). Figure 1 illustrates the structures of both the traditional and blockchain-based fashion models.
In the traditional fashion model (Model T), the fashion brand sells only ordinary products over a sales period of 0 , t ^ at a price p C . The consumers in the market are all conventional consumers who perceive the value of fashion products as v C t and do not show significant differences. Consumers can choose to buy or not to buy the ordinary fashion products.
In the blockchain model (Model B), the fashion brand uses blockchain technology to develop a digital version of the product, referred to as a digital asset. Consumers can buy these digital assets directly from the fashion brand. However, not all consumers are attracted to digital assets. According to a recent report from BoF Insight, about 70% of the general U.S. consumer believes their digital identity is important, 60% believe digital ownership is important, and about 50% are interested in purchasing digital assets within 12 months [10]. Therefore, we condition consumer categorization on whether or not they are interested in purchasing digital assets, set the proportion of consumers who are interested in purchasing digital assets to be φ , and call them fashion consumers, for which digital assets have an added value of v F t . Other conventional consumers are not interested in such digital assets. In this model, the retail price set by the fashion brand for fashion customers is p F , which includes both the physical and digital versions of the product. In contrast, the retail price for conventional customers is p C , which includes only the physical version of the product without digital assets.
In this paper, we aim to discuss the economic and environmental impacts of the fashion industry. The model of fashion brands applying blockchain technology to develop digital versions of their products for the sale of digital assets has the potential to lead to significant changes in our conclusions, making this model particularly interesting. To intuitively illustrate the quantity of leftover inventory, we set the production capacity of the fashion brand to be Q , where Q = 0 t ^ q t   d t and q t = 1 . There is a rationale for this setting. In our model, only one fashion company operates in the market, making it reasonable to assume that the company’s production capacity matches the market potential. The notations are summarized in Table 1.

3.2. The Demand Functions

In this paper, the market size at each moment in time is normalized to one. The total market size over the sales period 0 , t ^ is t ^ . Each consumer can purchase at most one product from the fashion brand at any given moment and can make multiple purchases at different times. However, consumer preferences differ when digital assets are involved. Fashion consumers place a higher value on fashion products with digital assets attached, valuing them at 1 + θ v t . Such a setup is not unique to us; similar setups can be seen in [5,45]. The demand of consumers can be categorized into two cases based on the type of consumers:
Case 1: Only conventional consumers are in the market, as in the traditional fashion model.
Case 2: Both conventional and fashion consumers are in the market, as in the blockchain model. The relevant demand functions are described below.
(1)
Case 1: Only conventional consumers
In the traditional fashion model, all consumers are conventional, and their utility is u C T t = v C t p C , where v C t = v e a t . The fashion value v is assumed to be uniformly distributed over 0 , 1 . We assume that the decay function of the consumer’s valuation of the fashion product is e a t . This means consumers believe the fashion value of a product declines over time at the rate of a . Customers’ purchasing decisions depend on their utility from products, and they aim to maximize their utility when making purchasing decisions. Since the market is set to normalize to 1, the price in this paper is less than 1 as a way to ensure that demand is positive. When the customer’s utility u C T t = 0 , we obtain an invalid threshold, v 1 T = p C e a t , which is similar to the literature [5,45]. Consequently, customers will purchase the fashion product only when v v 1 T , 1 . Then, we obtain the total market demand function for Case 1 in the traditional model as follows:
D C T = 0 t ^ d C T t d t = 0 t ^ 1 p C e a t   d t
Figure 2 shows how the demand of conventional consumers decreases over time in the traditional fashion model.
(2)
Case 2: Fashion and conventional consumers
In the blockchain model, consumers in the market are categorized as fashion consumers and conventional consumers. The purchase decisions of these two types of consumers are independent of each other and do not switch. The fashion consumer, with a market proportion of φ , believes that purchasing both the physical and digital versions of the fashion product will yield a utility of u F B t = v F t p F , where v F t = 1 + θ v e a t . The conventional consumer, with a market proportion of 1 φ , only purchases the physical version of the product and does not buy the digital asset. Their utility is u C B t = v C t p C , where v C t = v e a t .
Similar to Case 1, it is found that the fashion consumer (or conventional consumer) will buy the product only when their utility is positive. For the fashion consumer, this occurs when v v F 1 B , 1 , where v F 1 B = p F 1 + θ e a t . For the conventional consumer, this occurs when v v C 1 B , 1 , where v C 1 B = p C e a t . As shown in Figure 3.
The total market demand functions of the consumers in Model B are as follows:
D F B = 0 t ^ d F B t d t = 0 t ^ φ 1 p F t 1 + θ e a t   d t
D C B = 0 t ^ d C B t d t = 0 t ^ 1 φ 1 p C t e a t   d t

3.3. The Model Setting

3.3.1. Traditional Fashion Model

If the fashion brand does not implement blockchain technology to develop digital assets (i.e., Model T), all consumers in the market are conventional consumers, whose demand is D C T . The profit function of the fashion brand is as follows:
M a x p C Ψ T = p C T D C T Profit   from   sale c q Q T Cos t   from   production + s Q T D C T Total   salvage   value   from   leftover   products c t l Q T D C T Cost   from   leftover   tax
In this form, the profit of a fashion brand can be divided into four parts: the profit from the sale, the cost of production, the salvage value benefit from the disposal of the surplus product, and the leftover tax related to the surplus product. Further, the environmental tax benefit function is as follows:
E t a x T = c t l Q T D C T Quantity   of   leftover   product
The environmental tax benefit received by the government relates to the disposal of the leftover product, i.e., an environmental tax is levied on the disposal of the leftover product, where the disposal tax per unit of leftover product is c t l , and Q T D C T represents the quantity of the leftover product.

3.3.2. Blockchain Model

In the blockchain model, the demand functions of fashion and conventional consumers are D F B and D C B , respectively. It is important to note that the fashion brand developing a digital asset incurs an additional unit cost c b for using blockchain technology. The profit function of the fashion brand is as follows:
M a x p C , p F Ψ B = p F B D F B + p C B D C B Profit   from   sale c q Q B + c b D F B Cos t   from   production + s Q B D F B D C B Total   salvage   value   from   leftover   products c t l Q B D F B D C B Cos t   from   leftover   tax
In addition, the environmental tax benefit function for the government is given by:
E t a x B = c t l Q B D F B D C B Quantity   of   leftover   product
Table 2 summarizes the optimal solutions for models T and B (the relevant proofs can be found in Appendix A).

4. Analysis

4.1. The Optimal Solutions Analysis

In this subsection, we analyze the optimal solutions in models T and B. Specifically, we compare them in terms of product prices, sales quantities, firm profits, and environmental benefits. We obtained the following results (the relevant proofs can be found in Appendix A):
Proposition 1.
The optimal price of the fashion product in model T and model B satisfies:  p F B > p C B = p C T .
Proposition 1 shows that conventional consumers pay the same price for the physical version of a fashion product in models T and B, and that fashion customers pay more for a “physical & digital” product. Firstly, stemming from the personalized pricing strategy of the fashion brand, the purchase experience of the conventional consumer does not change in models T and B. As a result, there is no difference in the price of the product purchased by the conventional consumer in either the traditional fashion model or the blockchain model. Secondly, the direct reason for fashion consumers to pay more is the increase in the cost of the product. The digital assets purchased by fashion consumers, which are developed using blockchain technology, require an additional unit cost c b , resulting in an increase in the product price. Another indirect reason is that fashion consumers are willing to pay a premium for digital assets. Specifically, fashion consumers perceive the “physical & digital” product bundle as having a higher fashion value, i.e., 1 + θ v t , giving the fashion brand room to increase the price of products sold to fashion consumers.
Proposition 2.
The optimal quantity of fashion brand sales in model T and model B satisfies: Only when  c b < Δ 1 θ , then the fashion brand sells more in model B than in model T, i.e.,  D B > D T , where  Δ 1 θ = s c t l θ .
Proposition 2 indicates that blockchain cost and the added value of digital assets are key factors influencing the comparison between the quantities of products sold in models T and B. The biggest difference between model T and model B is that some conventional consumers in the traditional fashion model are transformed into fashion consumers in the blockchain model and are interested in digital assets, which triggers fluctuations in sales. Firstly, the blockchain cost is a negative factor for sales. A higher blockchain cost means that fashion consumers will have to pay a higher price, which can deter purchases and negatively impact sales. Secondly, the added value of digital assets is a positive factor. The higher the added value of digital assets, the more fashion consumers are willing to pay for them, which increases the quantity of products sold. Therefore, only when there is a balance between the cost of blockchain and the added value of digital assets can more products be sold in the blockchain model than in the traditional fashion model.
Proposition 3.
The optimal profit of the fashion brand in model T and model B satisfies: Only when  c b < Δ 2 θ , then the fashion brand is more profitable in model B than in model T, i.e.,  Ψ B > Ψ T , where  Δ 2 θ = 1 e a t ^ ( s c t l ) + a t ^ ( θ + 1 ) ( 1 + θ ) 1 e a t ^ ( s c t l ) + a t ^ 2 e a t ^ 1 .
Proposition 3 shows that the condition for a fashion brand to develop a profit motive for digital assets based on blockchain technology is c b < Δ 2 θ . It means that the balance between the added-value and the cost of digital assets impacts the comparison of fashion brands’ profits in models B and T. Firstly, it is important to clarify that the profit of fashion brands comes from four main sources: sales revenue, production cost, salvage value revenue, and environmental tax cost. However, the balance between the added value and cost of digital assets fundamentally changes the price and quantity of sales in the traditional fashion model, leading to a change in profit. Propositions 1 and 2 have shown how the blockchain model changes in terms of price and quantity sold. Therefore, we still obtain the equilibrium condition that the blockchain model is more profitable than the traditional fashion model when it comes to the profits of fashion brands.
Proposition 4.
The optimal environmental tax cost of the fashion brand in model T and model B satisfies: Only when  c b < Δ 3 θ , then the fashion brand pays more environmental taxes to the government in model T than in model B, i.e.,  E t a x B < E t a x T , where  Δ 3 θ = s c t l θ .
Proposition 4 indicates that there exists a condition for the fashion brand to be more environmentally friendly in the blockchain model than in the traditional fashion model. It is worth noting that a conceptual distinction exists here between the government’s environmental tax revenue and firms’ environmental performance. In this paper, the government department charges an environmental tax for the disposal of leftover products, which means that the lower the government’s environmental tax revenue, the better the fashion brand’s environmental performance. The reason is that lower environmental tax represents fewer leftover products. By analyzing Proposition 3 and Proposition 4, we find that both have the same condition, i.e., Δ 1 = Δ 3 . This is consistent with the conclusion that we have obtained, i.e., that Δ 1 or Δ 3 is a condition for a fashion brand to achieve sales advantage in the blockchain model, and likewise for a fashion brand to be environmentally friendly in the blockchain model. More sales mean better environmental performance.
Corollary 1.
If and only if  c b < Δ 3 , then the fashion brand can achieve an increase in both profit and environmental performance in the blockchain model.
The balance between the added value and cost of digital assets affects the fashion brand’s strategic choices. As shown in Figure 4, we find that the adoption of blockchain technology by fashion brands to develop digital assets does not always make the company profitable and can lead to losses. For instance, when c b < Δ 2 , we can easily achieve Ψ B > Ψ T . Thus, c b < Δ 2 is the fundamental motivation for the fashion brand to develop digital assets or not. In addition, we need to further discuss the environmental performance of the fashion brand in the blockchain model. We find that only if c b < Δ 3 , the blockchain model will allow fashion brands to achieve a “win-win” situation in terms of profit and environmental performance. If Δ 2 < c b < Δ 3 , the environmental performance of fashion brands declines.

4.2. Sensitivity Analysis

In this subsection, we analyze the impact of parameters a , φ and c t l on the profit Ψ and environmental tax cost E t a x of the fashion brand.
Proposition 5.
The impact of fashion value decline rate on the profits and environmental performance of fashion brand: (i)  𝜕 Ψ T 𝜕 a < 0 ,  𝜕 Ψ B 𝜕 a < 0 ; (ii)  𝜕 E t a x T 𝜕 a > 0 ,  𝜕 E t a x B 𝜕 a > 0 .
Proposition 5 can be derived from Proposition 3. In Proposition 5(i), the faster consumers perceive the decline rate of the fashion product’s value, the lower the fashion brand’s profit will be. As we all know, fashion products have temporal properties, and consumers believe that with the passage of time, the product will become less fashionable. The parameter a is used to characterize the decline rate of the fashion product’s value. The larger the a , the shorter the product’s value will remain. Furthermore, consumers will quickly lose interest in the product and stop buying it, resulting in a sharp decline in sales and profits for the fashion brand. Similarly, we can easily derive from Proposition 5(ii) that the faster the decline rate, the higher the environmental tax paid, i.e., the lower the environmental performance. In other words, a larger a will significantly reduce the quantity of fashion products sold, leading to an increase in surplus inventory, for which the fashion brand pays a higher environmental tax.
Proposition 6.
The impact of the proportion of fashion consumers on the profits and environmental performance of fashion brand: When  c b < Δ 1 θ  holds, we obtain (i)  𝜕 Ψ T 𝜕 φ = ,  𝜕 Ψ B 𝜕 φ > 0 ; (ii)  𝜕 E t a x T 𝜕 φ = ,  𝜕 E t a x B 𝜕 φ < 0 .
Proposition 6 illustrates that the proportion of fashion consumers can significantly affect the profit and environmental performance of the fashion brand in the blockchain model. First of all, the proportion of fashion consumers does not affect fashion brands in the traditional fashion model. This is due to the fact that all consumers in the traditional model are conventional consumers, and fashion consumers do not exist. Secondly, we find that the profit of a fashion brand always increases with the number of fashion consumers in the blockchain model. Fashion consumers are willing to pay higher prices for digital assets, which in turn allows the fashion brand to make more profit, and the number of fashion consumers represents a larger market. Finally, if c b < Δ 1 θ holds, the environmental tax cost of the fashion brand will further increase with the number of fashion consumers, i.e., the environmental performance becomes better. This is mainly due to the fact that the rate of change in the demand of fashion consumers and regular consumers in the blockchain model is determined. If c b < Δ 1 θ holds, the fashion brand can sell more products, which in turn reduces surplus inventory and improves environmental performance.
Proposition 7.
The impact of leftover tax on the profits and environmental performance of fashion brand: When  s > c t l  holds, we obtain (i)  𝜕 Ψ T 𝜕 c t l < 0 ,  𝜕 Ψ B 𝜕 c t l < 0 ; (ii)  𝜕 E t a x T 𝜕 c t l > 0 ,  𝜕 E t a x B 𝜕 c t l > 0 .
Proposition 7 suggests that environmental taxes are an effective way of shifting corporate profits to combat environmental pollution. The government’s imposition of an environmental tax on surplus inventory forces fashion brands to pay for the disposal of their leftover products, thus resulting in a reduction in profits. It has been shown that before the government imposed the environmental tax, fashion firms would not voluntarily take responsibility for the environmental pollution caused by the disposal of leftover products, and thereby, a great deal of environmental damage was generated. Levying an environmental tax will help the government to replenish the funds for environmental management, and at the same time will effectively encourage fashion companies to reduce the production of surplus inventory. Once again, environmental taxes are an effective solution.
Corollary 2.
If and only if  c t l < c t l T ^   o r   c t l B ^ , the environmental tax levied by the government on fashion brands is a sustainable and effective way to protect the environment.
The environmental tax levied by the government on fashion brands has constraints and cannot be increased without limit. Most importantly, the government’s aim in imposing environmental taxes on fashion companies is to encourage them to sell more products and reduce surplus inventory, not to make a profit. Therefore, we can get the key condition of environmental tax, that is, to ensure that fashion enterprises can make profits; otherwise, the enterprises will withdraw from the market due to the excessive environmental tax, which is a bad situation. It is common to discuss the relationship between the salvage value of the leftover product and the leftover tax, which is a commonly used indicator by governments and firms nowadays. For this purpose, we obtain Figure 5. In summary, we obtain the constraints on the government’s implementation of the environmental tax c t l T ^ and c t l B ^ , which are closely related to the salvage value of the leftover product, in Ψ T c t l , s > 0 and Ψ B c t l , s > 0 , respectively.

4.3. Analysis of Product Life Cycle Changes

In this subsection, we discuss the value of time, specifically the impact of the length of the sales cycle (or product life cycle) on the fashion brand.
Corollary 3.
There is a limitation about the sales cycle that must be clear, i.e.,  t ^ < t ^ × , and we can obtain  t ^ ×  when  d t = 0 .
Time is an extremely important factor for fashion brands to focus on, especially the sales cycle. On one hand, fashion products have a time value—the trendier the product, the more fashionable it is—but the value of fashion gradually declines over time. On the other hand, the longer the sales cycle, the higher the inventory cost of the product, which is not conducive to the fashion brand’s ability to increase revenue. Therefore, when companies set the expected sales cycle, a limiting condition exists, i.e., if the demand is zero at a certain point in time d t = 0 , sales will stop, and the product will be withdrawn from the market.
Proposition 8.
The longer the sales cycle of a fashion brand, the cheaper the product will be, within the constraints of the sales period, i.e.,  𝜕 p C T 𝜕 t ^ < 0 ,  𝜕 p C B 𝜕 t ^ < 0  and  𝜕 p F B 𝜕 t ^ < 0 .
Proposition 8 shows that the retail price of fashion products decreases with the length of the sales cycle. It is important to highlight that unlike stocks, the retail price of fashion products does not change in real-time but is a relatively stable price. Our work takes note of that characteristic and sets it up in a relevant way. In this paper, the quantity of fashion brands sold is directly affected by the sales cycle; the longer the sales cycle, the more products are sold. According to the supply demand theory, we can learn that the price of the product decreases with the increase in the quantity sold. Obviously, within the constraints of the sales cycle, the longer the expected sales cycle, the lower the retail price of the product.
Proposition 9.
The longer the sales cycle of a fashion brand, the more cumulative sales of the product, within the constraints of the sales period, i.e.,  𝜕 D T 𝜕 t ^ > 0  and  𝜕 D B 𝜕 t ^ > 0 .
The cumulative sales quantity of a fashion brand increases with the sales cycle. In our setup, the quantity of sales by fashion brands is a time-dependent continuous variable rather than a discrete one. Therefore, our statistics on the quantity of sales by a fashion brand is a cumulative quantity, i.e., the total quantity of sales by the fashion brand from time 0 to time t ^ . As shown in Corollary 3, the quantity sold by the fashion brand is positive at each moment in time from 0 to t ^ . Therefore, the cumulative quantity sold will increase with the sales period, only if the condition t ^ < t ^ × is satisfied.
Proposition 10.
There exists a sales deadline,  t ^ T  or  t ^ B , that makes the fashion brand profit optimal.
The sales cycle is an equilibrium between sales revenue and inventory costs for fashion brands. If the sales cycle is too long, the fashion brand will incur larger inventory costs and pay more in environmental tax. If the sales cycle is too short, the fashion brand misses out on the profitability of product sales. In other words, when t ^ < t ^ , the fashion brand’s profit increases with the increase of the sales cycle 𝜕 Ψ 𝜕 t ^ > 0 ; if t ^ > t ^ , the fashion brand’s profit decreases with the increase of the sales cycle 𝜕 Ψ 𝜕 t ^ < 0 . Therefore, there exists an optimal sales deadline that optimizes the profitability of the fashion brand, i.e., t ^ . Please see Figure 6.
Corollary 4.
The sales cycle of the fashion brand is longer in Model B than in Model T, i.e.,  t ^ B > t ^ T .
The fashion brand developing digital assets can obtain a longer sales cycle. Fashion brands applying blockchain technology to develop digital assets can attract fashion consumers to purchase them, and the digital assets give additional fashion value to the products, which extends the life cycle of fashion products. As shown in Figure 6, in the traditional fashion model, the fashion brand stops selling at t ^ T , whereas in the blockchain model, the fashion brand has a sales deadline of t ^ B , and obviously, t ^ B > t ^ T .
Proposition 11.
The longer the sales cycle, the more environmental tax the fashion brand will have to pay, i.e.,  𝜕 E t a x T 𝜕 t ^ > 0  and  𝜕 E t a x B 𝜕 t ^ > 0 .
Longer sales cycles lead to an increase in the quantity of leftover products, which in turn leads to an increase in the environmental taxes that the fashion brand has to pay. The government’s environmental tax revenue is related to surplus stock, and, corresponding to Proposition 9, an increase in the sales cycle leads to a decrease in the quantity of sales, which means that the quantity of leftover product that needs to be disposed of increases. Therefore, if the sales cycle of a fashion brand is too long, it will pay more in environmental taxes. It is worth noting that the higher the environmental tax revenue received by the government, the worse the environmental performance of the fashion brand, and that a long sales cycle is detrimental to environmental protection.

5. Numerical Simulation

In Section 5, we carry out some specific numerical analyses to complement the previous findings. Further discussion is provided on the impact of changes in key parameters on the profitability and environmental performance of the fashion brand.

5.1. Impact of Blockchain Technology

The analysis of blockchain technology includes blockchain cost ( c b ) and added value of digital assets ( θ ).
Figure 7a illustrates the impact of blockchain technology costs on the profitability of fashion brands. As blockchain costs increase, profitability decreases, indicating a critical threshold beyond which digital asset development becomes less viable. Firstly, in the traditional fashion model, the fashion brand has not adopted blockchain technology to develop digital assets, and therefore her profits are not affected. Secondly, we observe that in the blockchain model, the fashion brand’s profit decreases with the increase of blockchain cost and a critical point emerges, i.e., c b Ψ . When the blockchain cost satisfies c b < c b Ψ , the fashion brand will profit from developing digital assets, i.e., Ψ B > Ψ T . However, if the blockchain cost satisfies c b > c b Ψ , the fashion brand incurs a loss from developing digital assets in a hasty manner, i.e., Ψ T > Ψ B . Therefore, c b Ψ is an important measurement for fashion brands to decide whether to develop digital assets or not. As shown in Figure 7b, the environmental taxes paid by fashion brands after developing digital assets increases with the blockchain cost. In other words, the environmental performance of the fashion brand will be worse due to the increase of blockchain cost. Compared to the traditional fashion model, the environmental performance of the fashion brand will improve with the development of digital assets only if the blockchain cost satisfies c b < c b E t a x . If the cost of blockchain is too high, c b > c b E t a x , the environmental performance of the fashion brand will be worsened by the development of digital assets, i.e., E t a x B > E t a x T .
Summing up Figure 7a,b, it can be seen that if blockchain cost can be realized as c b < c b E t a x , the fashion brand will get a win-win situation in terms of both profit and environmental performance by developing digital assets. Similar results can be found in the literature [33,38], who similarly discuss the role of the blockchain technology cost on the performance of a firm or supply chain. If the blockchain cost can only be realized as c b E t a x < c b < c b Ψ , the fashion brand’s model of developing digital assets will have increased profits with the cost of damaging environmental performance. Further, if the blockchain cost is only able to achieve c b > c b Ψ , the fashion brand should not develop digital assets, which is a lose-lose situation for both profit and environmental performance.
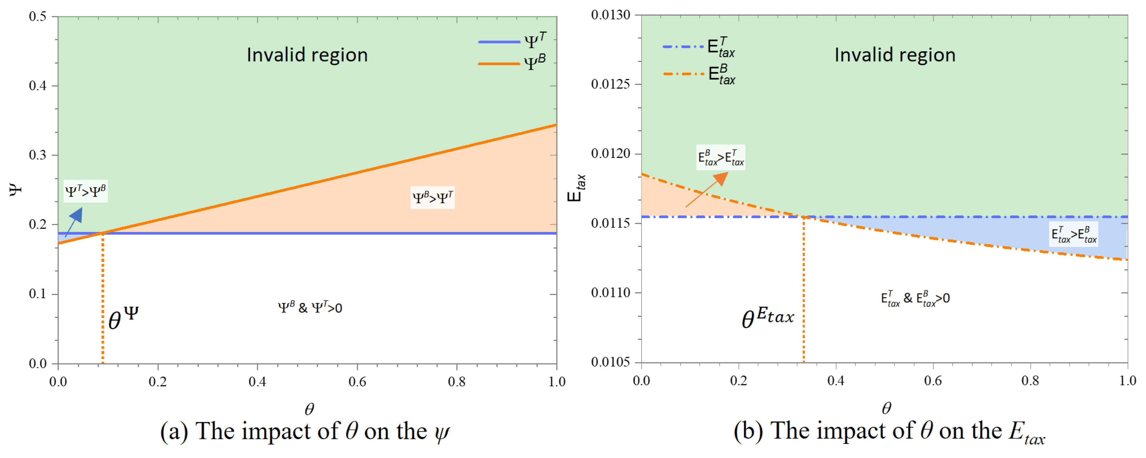
Figure 8 shows the impact of changes in the added value of digital assets on the profit and environmental performance of the fashion brand. It is easy to see that the higher the added value of digital assets, the more favorable it is for the fashion brand to develop digital assets, which will lead to further enhancement and improvement of the fashion brand’s profit and environmental performance. This result is supported by the literature [16]. We have a difference in the definition of blockchain application, where the role of blockchain in the literature [16] is set as a consumer’s belief, whereas in this paper it is set that blockchain-based digital assets possess a positive added value. Even so, both come up with similar results as far as the effect of blockchain on companies is concerned. Specifically, in Figure 8a, only when the added value of digital assets is high, θ > θ Ψ , the fashion brand will gain higher profit by developing digital assets, i.e., Ψ B > Ψ T . Similarly, in Figure 8b, only when the added value of digital assets satisfies θ > θ E t a x , the fashion brand adopts the blockchain model which can further improve the environmental performance, i.e., E t a x T > E t a x B . Overall, it is not recommended for the fashion brand to develop digital assets at θ 0 , θ Ψ . The fashion brand will be more profitable if it develops digital products but will pay higher environmental tax costs at θ θ Ψ , θ E t a x . It is advocated for fashion brands to develop digital assets to gain both increased profits and environmental performance at θ θ E t a x , 1 .

5.2. Impact of Consumer Factor

The consumer factor consists of two main parts: the decline rate of the fashion value of the product ( a ) and the proportion of consumers ( φ or 1 φ ).
Figure 9 shows the role of the decline rate of value for fashion products. The fashion value decay originates from the consumers’ psychology of liking the new and not the old. They believe that the fashion value of the product will always decrease with the passage of time, and eventually it will become ordinary and unattractive. However, we refer to the settings in the literature [5,45] and set a to represent the decline rate of the fashion product’s value, and the larger a is, the faster the fashion product depreciates in value. Based on the observations in Figure 9a,b, we find that an increase in the decline rate of value causes the firm to lose further profit and increases the cost of environmental taxes that the fashion brand has to pay. Therefore, it is always desirable for a fashion brand to have a low enough decline rate in the value of its products in order to make higher profits and reduce the environmental taxes.
Figure 10 shows that fashion consumers have the potential to further increase the profits and improve the environmental performance of fashion brands. Fashion consumers have a higher purchasing power, and they are willing to increase their willingness to pay for digital assets. This allows fashion brands that develop digital assets to have space for price increases, which in turn increases the profit of the company, as shown in Figure 10a. In terms of environmental performance, fashion consumers have higher purchasing potential than conventional consumers. This means that they will buy more products, which in turn reduces the surplus inventory of fashion brands. In other words, an increase in the number of fashion consumers can lead fashion companies to reduce the amount of surplus products and reduce the cost of environmental taxes they need to pay, which contributes to improved environmental performance, as shown in Figure 10b. Our results are supported by the literature [33], with the difference that while Shen et al.‘s work focused on the profit impact of novice and expert consumers on firms’ implementation of blockchain technology, in our work we extend this finding to include the environmental performance of the firms as well, and arrive at novel results.

5.3. Impact of Production Cost

Figure 11 illustrates the impact of product production cost on the profit and environmental performance of fashion brands. Firstly, from Figure 11a, it can be noticed that the profitability of fashion brands decreases with the increase of product production cost. It is worth noting that the condition for a fashion brand to be profitable in the traditional fashion model is c q T ; and after developing digital assets, the condition is further updated to c q B . That is to say, only when c q < c q T c q < c q B , then Ψ T > 0 Ψ B > 0 . An interesting phenomenon is c q T < c q B , which implies that a fashion brand is able to accept a higher limit of production cost and an increase in profitability after developing digital assets. Secondly, from Figure 11b, it can be found that the production cost of the product did not have an impact on the environmental performance of the fashion brand.

5.4. Impact of Environmental Tax

The effect on the leftover tax can be obtained from Figure 12, which supports the view presented in the literature [2]. Firstly, the profit of fashion brands decreases with the increase of the leftover tax, as shown in Figure 12a. The increase in leftover tax raises the cost of environmental taxes that fashion brands have to pay, which leads to a decrease in profit. It is important to note that there are limitations regarding the scope of the leftover tax setting. It is important for the government to further consider this point, as the essence of the environmental tax is to encourage firms to sell more products and to divert part of their profits to the environment. The leftover tax is an effective way to enhance the government’s environmental tax revenue, as shown in Figure 12b. However, there is a concern that if the leftover tax is too high, it will directly lead to the exit of fashion brands from the market, i.e., Ψ T < 0 and Ψ B < 0 . Therefore, the setting of environmental tax must take into account the profitability of fashion brands, and we obtain two key points, i.e., c t l T ^ and c t l B ^ . Only if c t l < c t l T ^ c t l < c t l B ^ , then Ψ T > 0 Ψ B > 0 . In addition, we also find that c t l T ^ < c t l B ^ , which means that fashion brands are more accommodating to the high environmental tax after the development of digital assets.

5.5. Discussion

Two scenarios are considered in this paper: the traditional fashion model and the blockchain fashion model. In the traditional model, fashion brands sell traditional fashion products; whereas in the blockchain model, blockchain-based digital assets are developed by fashion brands to sell traditional products and digital assets to consumers. Further, through numerical experiments, the conditions underlying the development of digital assets by fashion brands and the impact of developing digital assets on corporate profits and environmental performance are discussed.
The development of blockchain-based digital assets by fashion brands can increase the fashion value of their products, but this is not always profitable, nor does it always positively impact environmental performance. Firstly, lower blockchain technology costs allow fashion brands to improve their profit margins and environmental performance. This is mainly because lower blockchain costs enable fashion brands to sell more digital assets and reduce leftover product quantities. Secondly, the higher the added value of the digital asset, the more the profitability and environmental performance of the fashion brand are enhanced. This is because the fashion value of the product is an important factor influencing consumer purchasing behavior, and the higher the added value of the digital asset, the more attractive it will be to consumers, thereby increasing the number of consumers purchasing the digital asset and allowing for higher pricing. Blockchain technology can be considered a double-edged sword for fashion brands, where blockchain cost plays a negative role and the added value of blockchain-based digital assets is a positive factor—a conclusion supported by the literature [16,33,38].
The factors from consumers also have a significant impact on the profitability and environmental performance of fashion brands. On the one hand, consumers’ behavior of always seeking more fashionable products significantly affects the profitability and environmental performance of fashion companies, which is expressed in this paper as the decline rate of fashion value. Similar to the findings in the literature [5,45], it is found that a higher decline rate of product value means that fashion companies will sell fewer products, leading to more leftovers. On the other hand, the number of fashion consumers is a factor that cannot be ignored. The more fashion consumers there are, the higher the purchasing power for blockchain-based digital assets, and the more fashion brands can improve their corporate profits and environmental performance with the blockchain model.
Furthermore, we find that production cost of products and environmental tax also have a significant impact on the profitability and environmental performance of fashion brands. This finding is also confirmed in the literature [2], but the difference is that our work further clarifies the limitations regarding product production cost and environmental tax, which are often ignored in previous studies. In the case of environmental tax, for example, the policy of environmental tax can indeed enhance the environmental performance of firms, but it must limit the conditions, or else the fashion firms will exit the market due to the high tax, which is a bad situation.

6. Conclusions

The strategic choice of whether to develop digital assets for fashion brands under sustainability goals is considered in this paper. A fashion system involving a government department, a fashion brand, and consumers is constructed, in which the government department levies an environmental tax on leftover products from the fashion brand. A decision needs to be made by fashion brands on whether to implement a digital asset strategy, i.e., developing and selling blockchain-based digital assets, in order to gain both profit and environmental performance. The optimal solutions of the traditional fashion model and the blockchain fashion model are compared and discussed. Furthermore, the impacts of traditional fashion strategy and digital asset strategy on the profitability and environmental performance of fashion brands are analyzed through numerical experiments. The major findings and managerial insights are summarized below.

6.1. Major Findings

First, the implementation of a digital asset strategy by fashion brands, i.e., the development and sale of blockchain-based digital assets, can indeed lead to higher profitability and environmental performance than the traditional fashion model under specific conditions. This aligns with real-world data; for example, significant revenue growth has been observed at Nike due to its investments in digital asset projects [47]. The motivations behind the development of digital assets by fashion brands are noteworthy. Multiple motivations for implementing digital asset strategies exist among fashion brands; however, focusing solely on profit increase does not lead to environmental improvement. A win-win situation can be realized only when profit and environmental performance are common goals for fashion brands. Thus, Research Question (i) is answered.
Second, the factors affecting the profit and environmental performance of fashion brands include blockchain technology (blockchain costs and added value of blockchain-based digital assets), consumers (type, number, and perceived decline rate of product value), production cost, and environmental tax, which are parameters set based on industry observations. It is worth noting that the added value of blockchain-based digital assets and the number of fashion consumers have a positive effect on the profitability and environmental performance of fashion brands. Conversely, the other parameters have a negative impact. Therefore, it is important for fashion brands to balance positive and negative factors when implementing a digital asset strategy to expand their market potential and achieve both profit and environmental performance. Here, we have completed our response to Research Question (ii).
Third, obsolescence is the ultimate end of a fashion product, and a digital asset strategy can increase the fashion value of a product, which in turn extends its life cycle. By extending the product life cycle, fashion brands can set a longer sales period and increase cumulative sales. This practice has a basis in reality. For example, Louis Vuitton’s classic Monogram handbags, which are already a century old, are still selling well as designers have given them new shapes and styles to make them more trendy [48]. However, extending product life cycles can have negative impacts, such as increased inventory costs at the end of the sales cycle, which can lead to losses in both profit and environmental performance. Therefore, fashion brands need to set an appropriate sell-by date to balance declining sales at the end of the product life cycle with high inventory costs. Thus, Research Question (iii) is addressed.

6.2. Managerial Insights

Our work provides some management insights, notably strategic guidance for fashion brands developing digital assets and advice from government departments on environmental tax restrictions.
For fashion brands:
i.
Ensure Profit Requirements: There is a need to ensure that market elements meet the profit requirements for implementing a digital asset strategy; otherwise, they should not take the risk of adopting blockchain technology to develop digital assets. It is important that environmental performance improvements are made in a way that meets profit growth.
ii.
Improve Advertising and Promotion: The level of advertising and promotion of digital assets should be improved to increase the number of fashion consumers in the market and enhance the market potential of digital assets.
iii.
Reduce Costs: The blockchain technology cost and product production cost should be reduced with the aim of lowering the retail price of digital assets and products. This will enhance the residual utility of conventional and fashion consumers and increase the number of products sold. The expansion of profits is accompanied by a reduction in surplus inventory for the purpose of improving environmental performance.
For the government department:
The environmental tax approach can actually make fashion brands more concerned about their environmental performance. It is necessary for the government to provide a range of environmentally friendly public services by imposing an environmental tax on some of the surplus products. However, there are limits to how much environmental tax can be imposed, and it is not effective to extend it indefinitely, as this could lead to the extreme phenomenon of fashion brands withdrawing from the market. Therefore, environmental taxes need to be set in such a way as to ensure that businesses are profitable.

6.3. Limitations and Future Studies

Although meaningful conclusions have been achieved in this research, there are still some directions that deserve further discussion. Firstly, only the concept that blockchain-based digital assets can enable value authentication and enhance the fashion appeal of products is considered in this paper, while future research on the application of blockchain technology can be further expanded to include quality certification of products, traceability management, and real-time information sharing. Secondly, the role played by manufacturers is not considered in this paper, which is assumed to be undertaken solely by fashion brands. In future research, a scenario can be considered where the manufacturer produces the product, the fashion brand undertakes the retail function, and the government department collects both the production tax and the leftover tax. Finally, the difficulty of investing in blockchain technology has been ignored, and further discussion of related technology investments could be a direction for future research, such as using variable costs instead of fixed technology costs.

Author Contributions

Conceptualization, Y.L. and W.W.; methodology, Y.L. and W.W.; software, Y.L.; validation, Y.L., W.W. and J.L.; formal analysis, W.W. and J.L.; investigation, Y.L.; resources, J.L.; data curation, W.W.; writing—original draft preparation, Y.L.; writing—review and editing, Y.L. and W.W.; visualization, Y.L.; supervision, W.W.; project administration, W.W.; funding acquisition, W.W. and J.L. All authors have read and agreed to the published version of the manuscript.

Funding

This research was funded by the National Natural Science Foundation of China, Grant number 71872038 and 71832001; the Key Research Institute of Humanities and Social Sciences at Universities of Inner Mongolia Autonomous Region, Grant number KFSM-GDSK0208.

Data Availability Statement

Data are contained within the article.

Conflicts of Interest

The authors declare no conflicts of interest.

Appendix A

The Proofs of Optimal Solutions in Models T and B.
Proof of optimal solutions in Model T.
In the traditional fashion model, we first get the consumer’s demand function at moment t as d C T t = 1 p C e a t , which in turn gives us the total demand over the sales period 0 to t ^ as D C T = 0 t ^ d C T t d t = p C 1 e a t ^ + a t ^ a . Further, the fashion brand’s profit function is Ψ T . The pricing decisions maximize profit on the fashion brand M a x p C Ψ T . The first and second order derivatives of Ψ T with respect to p C are: 𝜕 Ψ T 𝜕 p C = s 2 p C c t l e a t ^ 1 + a t ^ a and 𝜕 2 Ψ T 𝜕 2 p C = 2 e a t ^ 1 a . It is easy to see that e a t ^ 1 > 0 , and 𝜕 2 Ψ T 𝜕 2 p C < 0 obviously holds. Thus, the profit of the fashion brand is concave in its price p C . Then, by solving the first order condition (FOC) of Ψ T , we can get p C T = 1 2 a t ^ e a t ^ 1 + s c t l . By substituting the p C T into the total demand function and profit function, we then have D C T and Ψ T . And the environmental tax benefit to the government E t a x T obtained directly by substituting the optimal price p C T into the E t a x T = c t l Q T D C T .
Finally, we obtain the optimal solutions in the traditional fashion model. □
Proof of optimal solutions in Model B.
The blockchain model is different from the traditional fashion model in that the consumers appear to be differentiated. The fashion consumer with proportion φ has demand at moment t as d F B t = φ 1 p F 1 + θ e a t and total demand during the selling period as D F B = 0 t ^ d F B t d t = 1 e a t ^ p F + a t ^ 1 + θ φ a 1 + θ . The conventional consumer with proportion 1 φ has demand as d C B t = 1 φ 1 p C e a t and D C B = 0 t ^ d C B t d t = 1 φ 1 e a t ^ p C + a t ^ a .
Similar to the traditional fashion model T, we first solve the optimal solution for the retail prices, p C and p F . Taking the first-order and second-order derivatives of Ψ B p C , p F regarding p C and p F , we have 𝜕 Ψ B 𝜕 p C = 1 φ s 2 p C c t l e a t ^ 1 + a t ^ a , 𝜕 2 Ψ B 𝜕 2 p C = 2 1 φ e a t ^ 1 a < 0 , 𝜕 Ψ B 𝜕 p F = φ s + c b 2 p F c t l e a t ^ 1 + a t ^ 1 + θ a 1 + θ , and 𝜕 2 Ψ B 𝜕 2 p F = 2 e a t ^ 1 φ a 1 + θ < 0 . Thus Ψ B p C , p F is concave in both p C and p F . Furthermore, from the FOC we have p C B = 1 2 a t ^ e a t ^ 1 + s c t l and p F B = 1 2 a t ^ ( 1 + θ ) e a t ^ 1 + c b + s c t l . Submitting p C B and p F B to the demand function, the fashion brand’s profit function, and the environmental tax function, respectively, we will get the D C B , D F B , Ψ B , and E t a x B for the blockchain model. □

Appendix B

The Proofs of Proposition and Corollary.
Proof of Proposition 1.
Proposition 1 can be derived by comparing the optimal solutions in model T and the model B. We can check that p C T = p C B = 1 2 a t ^ e a t ^ 1 + s c t l and p F B p C T = 1 2 a t ^ θ e a t ^ 1 + c b > 0 . Conformingly and in general, in our setting, 0 < θ < 1 , e a t ^ > 1 , and c b > 0 . Thus Proposition 1 can be proved to hold. □
Proof of Proposition 2.
First of all, we obtain the total quantity of fashion brands sold in model T and model B based on the optimal solutions, which are D T = D C T = 1 2 a 1 e a t ^ ( s c t l ) + a t ^ and D B = D C B + D F B = a t ^ ( 1 + θ ) s c t l e a t ^ 1 ( 1 + θ ( 1 φ ) ) c b φ e a t ^ 1 2 a ( 1 + θ ) . By comparing the D T and D B , we obtain D B D T = φ e a t ^ 1 ( ( s c t l ) θ c b ) 2 a ( θ + 1 ) . Note that 0 < φ < 1 , 0 < θ < 1 , 0 < a < 1 , e a t ^ 1 > 0 , and s c t l > 0 . Then, if and only if c b < Δ 1 θ , we can obtain D B > D T , where Δ 1 θ = s c t l θ .
Here, the proof of Proposition 2 is completed. □
Proof of Proposition 3.
According to Ψ B Ψ T = φ θ a 2 t ^ 2 e a t ^ 1 e a t ^ 1 θ ( s c t l ) 2 c b ( 2 s 2 c t l + c b ) θ + 1 2 a t ^ c b 4 a , let Ψ B Ψ T = 0 , we have c b = 1 e a t ^ ( s c t l ) + a t ^ ( θ + 1 ) ( 1 + θ ) 1 e a t ^ ( s c t l ) + a t ^ 2 e a t ^ 1 . Thus, if and only if the cost of blockchain is small enough, that is c b < Δ 2 θ , we have Ψ B > Ψ T , where Δ 2 θ = 1 e a t ^ ( s c t l ) + a t ^ ( θ + 1 ) ( 1 + θ ) 1 e a t ^ ( s c t l ) + a t ^ 2 e a t ^ 1 .
Then, we can obtain the Proposition 3. □
Proof of Proposition 4.
Similarly, we can prove Proposition 4 by comparing E t a x B and E t a x T . We obtain E t a x B E t a x T = c t l φ e a t ^ 1 ( θ ( c t l s ) + c b ) 2 a ( θ + 1 ) by calculation. We find it critical that ( ( c t l s ) θ + c b ) is greater than 0. Moreover, we obtain E t a x B < E t a x T if and only if c b < s c t l θ , when the environmental tax is higher in model T than that in model B, which means that the blockchain model has a better environmental performance. □
Proof of Corollary 1.
It is difficult to obtain a definite solution for the relationship between Δ 2 and Δ 3 . Therefore, we were able to prove it using numerical methods. As shown in Figure 4, we obtained Corollary 1, where a = 0.5 , c q = 0.1 , c t l = 0.005 , s = 0.1 , t ^ = 2 , φ = 0.6 . □
Proof of Proposition 5.
Similarly to Corollary 1, we use numerical methods to prove Proposition 5. We are given the numerical values of some of the parameters, i.e., θ = 0.5 , c q = 0.1 , c t l = 0.005 , c b = 0.03   s = 0.1 , t ^ = 2 , φ = 0.6 . We then obtain 𝜕 Ψ T 𝜕 a < 0 , 𝜕 Ψ B 𝜕 a < 0 , 𝜕 E t a x T 𝜕 a > 0 , and 𝜕 E t a x B 𝜕 a > 0 , please see Figure 9. Thus, Proposition 5 is proved. □
Proof of Proposition 6.
The proof of Proposition 6 is similar to the proof of Proposition 5. □
Proof of Proposition 7.
The proof of Proposition 7 is similar to that of Proposition 5. □
Proof of Corollary 2.
In the traditional model T, when Ψ T c t l = 0 , we are able to obtain c t l T ^ = 2 a t ^ c q e a t ^ 1 + s e a t ^ 1 + a t ^ e a t ^ 1 . Alternatively, if Ψ B c t l = 0 , we can solve for c t l B ^ = a t ^ ( θ + 1 ) 4 c q e a t ^ 1 ( θ ( φ 1 ) 1 ) 2 c b φ e a t ^ 1 ( θ ( φ 1 ) 2 ) 1 + c b φ e a t 1 1 c b ( θ + 1 ) ( φ 1 ) e a t ^ 1 1 + s e a t ^ 1 ( θ ( φ 1 ) 1 ) + a 2 t ^ 2 ( θ + 1 ) θ 2 ( φ 1 ) φ e t ^ 1 ( θ ( φ 1 ) 1 ) in blockchain model B.
Thus, we can obtain Corollary 2. □
Proof of Corollary 3.
The proof of Corollary 3 is similar to that of Corollary 2. □
Proof of Proposition 8.
By calculating the first order derivatives of p C T , p C B , and p F B with respect to t ^ , we have 𝜕 p C T 𝜕 t ^ = 𝜕 p C B 𝜕 t ^ = a e a t ^ a t ^ 1 + 1 2 e a t ^ 1 2 and 𝜕 p F B 𝜕 t ^ = a 1 + a t ^ 1 e a t ^ θ + 1 2 e a t ^ 1 2 . Thus, it’s easy to check that 𝜕 p C T 𝜕 t ^ = 𝜕 p C B 𝜕 t ^ < 0 and 𝜕 p F B 𝜕 t ^ < 0 . Then, the Proposition 8 can be proved. □
Proof of Proposition 9.
The proof of Proposition 9 is similar to that of Proposition 8. □
Proof of Proposition 10.
The proof of Proposition 10 is similar to that of Corollary 2. □
Proof of Corollary 4.
The proof of Corollary 4 is similar to that of Corollary 2. □
Proof of Proposition 11.
The proof of Proposition 11 is similar to that of Proposition 8. □

References

  1. Cachon, G.P.; Swinney, R. The value of fast fashion: Quick response, enhanced design, and strategic consumer behavior. Manag. Sci. 2011, 57, 778–795. [Google Scholar] [CrossRef]
  2. Choi, T.M.; Luo, S. Data quality challenges for sustainable fashion supply chain operations in emerging markets: Roles of blockchain, government sponsors and environment taxes. Transp. Res. Part E-Logist. Transp. Rev. 2019, 131, 139–152. [Google Scholar] [CrossRef]
  3. UNEP. Available online: https://www.unep.org/news-and-stories/story/putting-brakes-fast-fashion (accessed on 14 May 2024).
  4. UNECE. Available online: https://unece.org/fileadmin/DAM/RCM_Website/RFSD_2018_Side_event_sustainable_fashion.pdf (accessed on 14 May 2024).
  5. Aviv, Y.; Pazgal, A. Optimal pricing of seasonal products in the presence of forward-looking consumers. Manuf. Serv. Oper. Manag. 2008, 10, 339–359. [Google Scholar] [CrossRef]
  6. Wilde, O. Oscar Wilde in America: The Interviews; University of Illinois Press: Champaign, IL, USA, 2010; Available online: https://www.jstor.org/stable/10.5406/j.ctt3fh3r2 (accessed on 24 October 2024).
  7. Chan, H.L.; Choi, T.M.; Cai, Y.J.; Shen, B. Environmental taxes in newsvendor supply chains: A mean-downside-risk analysis. IEEE Trans. Syst. Man Cybern. Syst. 2018, 50, 4856–4869. [Google Scholar] [CrossRef]
  8. Keskin, N.B.; Li, C.; Song, J.S.J. The Blockchain Newsvendor: Value of Freshness Transparency and Smart Contracts; SSRN: Rochester, NY, USA, 2024. [Google Scholar] [CrossRef]
  9. Wang, Y.; Singgih, M.; Wang, J.; Rit, M. Making sense of blockchain technology: How will it transform supply chains? Int. J. Prod. Econ. 2019, 211, 221–236. [Google Scholar] [CrossRef]
  10. BoF Insights. Available online: https://www.businessoffashion.com/reports/technology/the-opportunity-in-digital-fashion-and-avatars-report-bof-insights/ (accessed on 14 July 2024).
  11. Statista. Available online: https://www.statista.com/statistics/1311669/digital-fashion-asset-buying-interest/#statisticContainer (accessed on 18 July 2024).
  12. Madeleine, S. Available online: https://www.voguebusiness.com/story/technology/lessons-from-2023s-fashion-and-beauty-nfts (accessed on 18 October 2024).
  13. Adam, H. Available online: https://www.investopedia.com/terms/b/blockchain.asp (accessed on 18 October 2024).
  14. McKinsey & Company. Available online: https://www.mckinsey.com/featured-insights/mckinsey-explainers/what-is-web3 (accessed on 18 October 2024).
  15. Adidas. Available online: https://www.adidas.com/us/blog/825513-into-the-metaverse-lets-go (accessed on 18 October 2024).
  16. Niu, B.; Mu, Z.; Cao, B.; Gao, J. Should multinational firms implement blockchain to provide quality verification? Transp. Res. Part E-Logist. Transp. Rev. 2021, 145, 102121. [Google Scholar] [CrossRef]
  17. Cui, Y.; Hu, M.; Liu, J. Value and design of traceability-driven blockchains. Manuf. Serv. Oper. Manag. 2023, 25, 1099–1116. [Google Scholar] [CrossRef]
  18. Dong, J.; Wu, D.D. Two-period pricing and quick response with strategic customers. Int. J. Prod. Econ. 2019, 215, 165–173. [Google Scholar] [CrossRef]
  19. Zhou, E.; Zhang, J.; Gou, Q.; Liang, L. A two period pricing model for new fashion style launching strategy. Int. J. Prod. Econ. 2015, 160, 144–156. [Google Scholar] [CrossRef]
  20. Choi, T.M.; Chow, P.S.; Lee, C.H.; Shen, B. Used intimate apparel collection programs: A game-theoretic analytical study. Transp. Res. Part E-Logist. Transp. Rev. 2018, 109, 44–62. [Google Scholar] [CrossRef]
  21. Song, H.; Wang, Y.; Mao, X.; Li, Y. Participant fairness concern and cost-sharing-based dual-channel low-carbon supply chain management. Manag. Decis. Econ. 2024, 45, 4866–4885. [Google Scholar] [CrossRef]
  22. Li, Q.; Ma, M.; Shi, T.; Zhu, C. Green investment in a sustainable supply chain: The role of blockchain and fairness. Transp. Res. Part E-Logist. Transp. Rev. 2022, 167, 102908. [Google Scholar] [CrossRef]
  23. Ma, D.; Qin, H.; Hu, J. Achieving triple sustainability in closed-loop supply chain: The optimal combination of online platform sales format and blockchain-enabled recycling. Comput. Ind. Eng. 2022, 174, 108763. [Google Scholar] [CrossRef]
  24. Choi, T.M.; Cai, Y.J.; Shen, B. Sustainable fashion supply chain management: A system of systems analysis. IEEE Trans. Eng. Manag. 2018, 66, 730–745. [Google Scholar] [CrossRef]
  25. Choi, T.-M. Local sourcing and fashion quick response system: The impacts of carbon footprint tax. Transp. Res. Part E-Logist. Transp. Rev. 2013, 55, 43–54. [Google Scholar] [CrossRef]
  26. Niu, B.; Chen, L.; Zhang, J. Punishing or subsidizing? Regulation analysis of sustainable fashion procurement strategies. Transp. Res. Part E-Logist. Transp. Rev. 2017, 107, 81–96. [Google Scholar] [CrossRef]
  27. Guo, S.; Choi, T.M.; Shen, B. Green product development under competition: A study of the fashion apparel industry. Eur. J. Oper. Res. 2020, 280, 523–538. [Google Scholar] [CrossRef]
  28. Long, X.; Nasiry, J. Sustainability in the fast fashion industry. Manuf. Serv. Oper. Manag. 2022, 24, 1276–1293. [Google Scholar] [CrossRef]
  29. Jacobs, K.; Petersen, L.; Hörisch, J.; Battenfeld, D. Green thinking but thoughtless buying? An empirical extension of the value-attitude-behaviour hierarchy in sustainable clothing. J. Clean. Prod. 2018, 203, 1155–1169. [Google Scholar] [CrossRef]
  30. Babich, V.; Hilary, G. OM Forum—Distributed ledgers and operations: What operations management researchers should know about blockchain technology. Manuf. Serv. Oper. Manag. 2020, 22, 223–240. [Google Scholar] [CrossRef]
  31. Zhu, Q.; Bai, C.; Sarkis, J. Blockchain technology and supply chains: The paradox of the atheoretical research discourse. Transp. Res. Part E-Logist. Transp. Rev. 2022, 164, 102824. [Google Scholar] [CrossRef]
  32. Shen, B.; Xu, X.; Yuan, Q. Selling secondhand products through an online platform with blockchain. Transp. Res. Part E-Logist. Transp. Rev. 2020, 142, 102066. [Google Scholar] [CrossRef] [PubMed]
  33. Shen, B.; Dong, C.; Minner, S. Combating copycats in the supply chain with permissioned blockchain technology. Prod. Oper. Manag. 2022, 31, 138–154. [Google Scholar] [CrossRef]
  34. Pun, H.; Swaminathan, J.M.; Hou, P. Blockchain adoption for combating deceptive counterfeits. Prod. Oper. Manag. 2021, 30, 864–882. [Google Scholar] [CrossRef]
  35. Biswas, D.; Jalali, H.; Ansaripoor, A.H.; De Giovanni, P. Traceability vs. sustainability in supply chains: The implications of blockchain. Eur. J. Oper. Res. 2023, 305, 128–147. [Google Scholar] [CrossRef]
  36. Niu, B.; Dong, J.; Liu, Y. Incentive alignment for blockchain adoption in medicine supply chains. Transp. Res. Part E-Logist. Transp. Rev. 2021, 152, 102276. [Google Scholar] [CrossRef]
  37. Ma, P.; Li, J.; Xu, H.; Chen, M. Financing decisions of third-party remanufacturers with different co-opetition modes: The impact of blockchain adoption. Manag. Decis. Econ. 2024, 45, 5054–5076. [Google Scholar] [CrossRef]
  38. Cao, Y.; Shen, B. Adopting blockchain technology to block less sustainable products’ entry in global trade. Transp. Res. Part E-Logist. Transp. Rev. 2022, 161, 102695. [Google Scholar] [CrossRef]
  39. Non-Custodial Finance. Available online: https://www.noncustodial.finance/news/nfts-unlocking-wealth-and-innovation-for-cryptocurrency-investors?gad_source=1&gclid=Cj0KCQjwgrO4BhC2ARIsAKQ7zUlteR1XAzSwr1pMBiNPuilCzypmL7v1l5OCT1XHfw04Xo30MCYnL1MaAgI4EALw_wcB (accessed on 18 October 2024).
  40. Alsulaimani, S.; Hussain, F.; Hussain, O. Digital Asset Ownership based on Blockchain: A Literature Review. In Proceedings of the 2023 IEEE International Conference on E-Business Engineering (ICEBE), Sydney, Australia, 4–6 November 2023; pp. 129–133. [Google Scholar] [CrossRef]
  41. Belk, R.; Humayun, M.; Brouard, M. Money, possessions, and ownership in the Metaverse: NFTs, cryptocurrencies, Web3 and Wild Markets. J. Bus. Res. 2022, 153, 198–205. [Google Scholar] [CrossRef]
  42. Tan, Y.; Carrillo, J.E. Strategic analysis of the agency model for digital goods. Prod. Oper. Manag. 2017, 26, 724–741. [Google Scholar] [CrossRef]
  43. Manchiraju, S.; Sadachar, A. Personal values and ethical fashion consumption. J. Fash. Mark. Manag. 2014, 18, 357–374. [Google Scholar] [CrossRef]
  44. Ross, J.; Harradine, R. Fashion value brands: The relationship between identity and image. J. Fash. Mark. Manag. 2011, 15, 306–325. [Google Scholar] [CrossRef]
  45. Golrezaei, N.; Nazerzadeh, H.; Randhawa, R. Dynamic pricing for heterogeneous time-sensitive customers. Manuf. Serv. Oper. Manag. 2020, 22, 562–581. [Google Scholar] [CrossRef]
  46. Li, G.; Li, G.; Kambele, Z. Luxury fashion brand consumers in China: Perceived value, fashion lifestyle, and willingness to pay. J. Bus. Res. 2012, 65, 1516–1522. [Google Scholar] [CrossRef]
  47. Madeleine, S. Available online: https://www.voguebusiness.com/technology/nike-leads-nft-success-by-revenue-as-fashion-shines-over-pepsi-time-magazine (accessed on 18 October 2024).
  48. Travis, H.; Sandy, H. Available online: https://www.vogue.com.tw/fashion/content-47826 (accessed on 18 October 2024).
Figure 1. The traditional fashion model and the blockchain model.
Figure 1. The traditional fashion model and the blockchain model.
Systems 12 00449 g001
Figure 2. The product demand of the conventional consumer in Model T.
Figure 2. The product demand of the conventional consumer in Model T.
Systems 12 00449 g002
Figure 3. The product demand of the conventional and fashion consumer Model B.
Figure 3. The product demand of the conventional and fashion consumer Model B.
Systems 12 00449 g003
Figure 4. The profitability and environmental performance of the fashion brand in models T and B.
Figure 4. The profitability and environmental performance of the fashion brand in models T and B.
Systems 12 00449 g004
Figure 5. The effective boundary conditions for environmental tax levied by governments in models T and B.
Figure 5. The effective boundary conditions for environmental tax levied by governments in models T and B.
Systems 12 00449 g005
Figure 6. The optimal deadline for the sales cycle of fashion brand in models T and B.
Figure 6. The optimal deadline for the sales cycle of fashion brand in models T and B.
Systems 12 00449 g006
Figure 7. The impact of blockchain cost on the profit and environmental performance of fashion brand.
Figure 7. The impact of blockchain cost on the profit and environmental performance of fashion brand.
Systems 12 00449 g007
Figure 8. The impact of the added value of digital assets on the profit and environmental performance of fashion brand.
Figure 8. The impact of the added value of digital assets on the profit and environmental performance of fashion brand.
Systems 12 00449 g008
Figure 9. The impact of the decline rate of fashion value on the profit and environmental performance of fashion brand.
Figure 9. The impact of the decline rate of fashion value on the profit and environmental performance of fashion brand.
Systems 12 00449 g009
Figure 10. The impact of the proportion of fashion on the profit and environmental performance of fashion brand.
Figure 10. The impact of the proportion of fashion on the profit and environmental performance of fashion brand.
Systems 12 00449 g010
Figure 11. The impact of the production cost on the profit and environmental performance of fashion brand.
Figure 11. The impact of the production cost on the profit and environmental performance of fashion brand.
Systems 12 00449 g011
Figure 12. The impact of the leftover tax on the profit and environmental performance of fashion brand.
Figure 12. The impact of the leftover tax on the profit and environmental performance of fashion brand.
Systems 12 00449 g012
Table 1. Major notation used in this paper.
Table 1. Major notation used in this paper.
NotationDefinition
p The retail price of products
Q The total production of the fashion brand
D The total demand of consumers
φ The proportion of fashion customers, where 0 < φ < 1
a The decline rate of fashion value identified by customers, where 0 < a < 1
θ The added value factor that digital assets give to fashion consumers, where 0 < θ < 1
s The unit “salvage value” of leftover products, i.e., the salvage value due to outdated designs, colors, fabrics and styles
c q The unit cost of production
c t l The unit leftover tax
c b The unit cost of blockchain adoption
Ψ The profit of fashion brand
E t a x The environmental tax to government
Table 2. The optimal solutions of models T and B.
Table 2. The optimal solutions of models T and B.
Model TModel B
p C 1 2 a t ^ e a t ^ 1 + s c t l 1 2 a t ^ e a t ^ 1 + s c t l
p F N / A 1 2 a t ^ ( 1 + θ ) e a t ^ 1 + c b + s c t l
D C 1 2 a 1 e a t ^ ( s c t l ) + a t ^ 1 2 a ( 1 φ ) 1 e a t ^ ( s c t l ) + a t ^
D F N / A 1 2 a ( 1 + θ ) φ 1 e a t ^ ( c b + s c t l ) + a t ^ ( 1 + θ )
Ψ 1 4 e a t ^ ( s c t l ) + a t ^ + c t l s 2 a e a t ^ 1 c q t ^ 1 4 e a t ^ 1 c b φ ( 2 s c t l + c b ) + 1 φ θ + 1 ( s c t l ) 2 a ( θ + 1 ) + 1 4 a t ^ 2 ( θ φ + 1 ) e a t ^ 1 + 2 t ^ ( s c t l c b φ ) c q t ^
E t a x 1 2 a c t l e a t ^ 1 ( s c t l ) + a t ^ 1 2 a ( θ + 1 ) c t l e a t ^ 1 s c t l ( θ ( 1 φ ) + 1 ) + c b φ + a t ^ ( θ + 1 )
Disclaimer/Publisher’s Note: The statements, opinions and data contained in all publications are solely those of the individual author(s) and contributor(s) and not of MDPI and/or the editor(s). MDPI and/or the editor(s) disclaim responsibility for any injury to people or property resulting from any ideas, methods, instructions or products referred to in the content.

Share and Cite

MDPI and ACS Style

Liu, Y.; Wang, W.; Liu, J. Operational Strategy Analysis of Fashion Brands to Develop Digital Assets Under the Sustainability Goals. Systems 2024, 12, 449. https://doi.org/10.3390/systems12110449

AMA Style

Liu Y, Wang W, Liu J. Operational Strategy Analysis of Fashion Brands to Develop Digital Assets Under the Sustainability Goals. Systems. 2024; 12(11):449. https://doi.org/10.3390/systems12110449

Chicago/Turabian Style

Liu, Yazhou, Wenjie Wang, and Junhua Liu. 2024. "Operational Strategy Analysis of Fashion Brands to Develop Digital Assets Under the Sustainability Goals" Systems 12, no. 11: 449. https://doi.org/10.3390/systems12110449

APA Style

Liu, Y., Wang, W., & Liu, J. (2024). Operational Strategy Analysis of Fashion Brands to Develop Digital Assets Under the Sustainability Goals. Systems, 12(11), 449. https://doi.org/10.3390/systems12110449

Note that from the first issue of 2016, this journal uses article numbers instead of page numbers. See further details here.

Article Metrics

Back to TopTop