Ecological Efficiency Measurement and Technical Heterogeneity Analysis in China: A Two-Stage Three-Level Meta-Frontier Network Model Based on Segmented Projection
Abstract
1. Introduction
- Integration of regional and temporal heterogeneities: The paper makes a significant contribution by simultaneously incorporating regional and temporal technology heterogeneities. This approach enables the definition of group and subgroup frontiers, offering a more nuanced understanding of eco-efficiency.
- Stage-divided analysis: By dividing eco-activities into distinct economic production and environmental governance stages, the research introduces a valuable perspective. This stage-oriented analysis facilitates the development of a two-stage three-level meta-frontier network SBM (NSBM) model, providing insights into eco-efficiency and stage efficiencies.
- Tackling TGR issue: The proposed two-stage three-level meta-frontier model addresses a critical issue in meta-frontier methods, specifically handling instances where the TGRs of certain indexes exceed 1. This innovation contributes to the robustness and applicability of meta-frontier analysis.
- Comprehensive emissions inefficiency analysis: The paper extends its focus to emissions inefficiency, treating pollutant emissions as intermediate variables connecting economic production and environmental governance stages. The introduced concept of total emissions inefficiency, encompassing management inefficiency, regional heterogeneity technology inefficiency and temporal heterogeneity technology inefficiency, provides a comprehensive framework for analyzing specific sources of emissions inefficiency.
- Regional and temporal TGR definition: The research defines and discusses regional and temporal TGRs, offering a nuanced understanding of these ratios across 30 provinces in China. This contributes to a more granular evaluation of technological advancements and disparities in different regions over time.
2. Methodology
2.1. Three-Level Meta-Frontier with the Two-Stage Structure
2.2. Three-Level Meta-Frontier NSBM Model
2.3. Emissions Inefficiency and TGRs
3. Empirical Analysis
3.1. Data and Indexes
- (1)
- The data of fixed asset investment from 2016 to 2017 are directly given by the China Economic and Social Big Data Research Platform, while those from 2018 to 2020 are calculated using the “fixed asset investment growth over the previous year” index. This is because the index of fixed asset investment has not been published since 2018, only fixed asset investment growth over the previous year.
- (2)
- is calculated using AQI indexes whose data are derived from the Zhenqi network.
- (3)
- We estimate carbon emissions of provinces using the method proposed by the Intergovernmental Panel on Climate Change (IPCC), which is an internationally acknowledged method for accounting for carbon emissions and has been recognized by many scholars.
3.2. Eco-Efficiency Affected by Dual Heterogeneities
3.2.1. Management Eco-Efficiency
3.2.2. Regional Eco-Efficiency
3.2.3. Temporal Eco-Efficiency
3.3. Emissions Analysis
3.3.1. Emissions Inefficiency and Its Decomposition
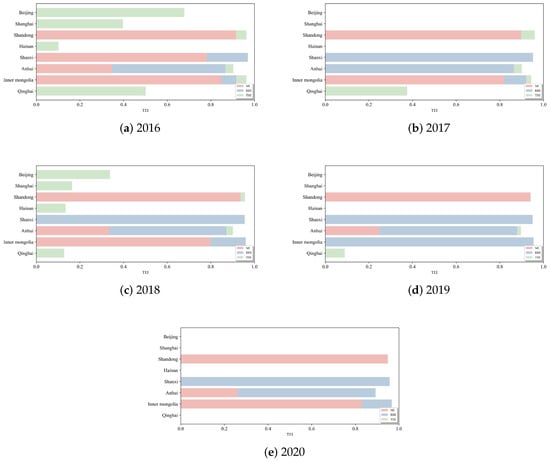
3.3.2. TGR Analysis
4. Discussion and Suggestions
4.1. Discussion
- (1)
- In the realm of management eco-efficiency, several noteworthy observations emerge:
- Over the majority of sample years, the managerial performance in economic production across most Chinese provinces surpasses that in environmental governance.
- Contrary to the conventional pattern where the eastern region outperforms the central and western regions, the central provinces exhibit commendable management eco-efficiency, while the eastern provinces lag behind.
- Throughout China, the overall management technical level remains relatively stable across the sample period, except for 2020, when a discernible change occurs.
- (2)
- In the context of regional eco-efficiency, additional insights surface:
- In the majority of provinces and sample years, economic production influenced by regional technologies outperforms environmental governance determined by the same technologies.
- In Central and Western China, regional eco-efficiency, as determined by regional technologies, shows a declining trend year-by-year, eventually stabilizing. This trend signifies a widening and stabilizing gap in eco-efficiency dependent on regional technologies between the central and western regions versus the eastern regions.
- The technological advancements in economic production and environmental governance in the eastern provinces significantly outpace those in the central and western provinces, resulting in excellent regional eco-efficiency in the eastern region and a comparative disadvantage for the central region.
- (3)
- In the domain of temporal eco-efficiency, the following observations can be made:
- For the majority of provinces in most years, TPE surpasses TGE, akin to the patterns observed in MPE versus MGE, as well as RPE versus RGE. This consistent pattern indicates that, in most provinces and years, their management level, regional production technology and temporal production technology are more conducive to economic production than environmental governance.
- Temporal efficiency indexes generally exhibit a positive trend, indicating the increasing role of scientific and technological development in promoting economic production and environmental governance. Moreover, this trend is not specific to any one region, as there is no significant regional difference in the promoting effect of scientific and technological development on economic production and environmental governance.
- (4)
- Regarding emissions inefficiency, the following discoveries come to light:
- The emissions efficiency of most provinces has gradually improved, despite some fluctuations in the TEI in intervening years.
- The ongoing development of technology in economic production and environmental management in China weakens emissions inefficiency dependent on temporal technology.
- Poor management levels represent the primary obstacle to improving emissions efficiency in the eastern region, while the level of regional technology is the major factor contributing to emissions inefficiency in the central and western regions. For the western region, poor management also plays a significant role in emissions inefficiency. To enhance national emissions efficiency, concerted efforts are required to improve both management and regional technology levels.
- (5)
- Turning to the results of TGR, several key observations are made:
- Similar to the eco-efficiency indexes, the eastern provinces exhibit clear regional advantages in emissions efficiency, with emission reduction technology showing continuous development. This underscores that the superior emissions efficiency in the eastern provinces results from a combination of regional and technological advancements.
- While the development of emission reduction technologies aids the central and western provinces in reducing emissions inefficiency, their lower RTGR emphasizes the importance of learning advanced emission reduction technologies from the eastern provinces to narrow the regional technology gap and prevent further widening.
- The role of national technology in promoting emissions efficiency increases steadily over the years. Macro policies, such as the “Opinions of the Central Committee of the Communist Party of China and the State Council on Accelerating the Construction of Ecological Civilization” in April 2015, act as accelerators for improving TTGR. Additionally, attention should be paid to the widening gap in emissions efficiency caused by regional differences.
4.2. Suggestions
- (1)
- Enhancing eco-efficiency necessitates a balanced consideration of both economic production and environmental governance. Rather than solely pursuing economic development at the expense of environmental concerns, it is crucial for the government to take a proactive stance in augmenting its capabilities in environmental governance. This involves increased investments in environmental management, reinforced supervision of local industrial enterprises and concerted efforts to address pollution at its source. Such measures aim to realize high-quality and sustainable development.
- (2)
- To enhance eco-efficiency and mitigate emissions, the eastern region can concentrate on elevating its own management proficiency by drawing insights from the successful management experiences of the central provinces. Simultaneously, the central region should focus on narrowing the regional technology gap through intensified technical exchanges with the eastern region and the adoption of advanced technologies and valuable resources. The western region should navigate a balanced approach, addressing both management enhancement and regional technology considerations. At the national level, government policies should be introduced to incentivize provinces in promoting effective management practices and reducing regional technology disparities.
5. Conclusions, Limitations and Future Work
- (1)
- The availability of data restricted the length of our sample period, limiting the scope of our analysis.
- (2)
- Too many inputs and outputs will reduce the efficiency discrimination ability of DEA models. In order to maintain the efficiency discrimination ability, the proposed three-level meta-frontier NSBM approach only takes the emissions of SO and CO as intermediate variables and does not consider other pollutants.
- (3)
- The three-level meta-frontier NDEA model proposed in this paper only considers the regional and temporal technology heterogeneities.
- (1)
- (2)
- We can consider other heterogeneities according to the actual situation, such as industry categories and scales, to introduce more production frontiers and propose the corresponding multi-level meta-frontier NDEA models.
- (3)
- The Tobit regression model [52] is one of the commonly used methods for discussing the external factors that affect efficiency. Due to the space limitation, we did not use the Tobit regression here. To analyze the significance of external influencing factors for the emissions inefficiency or eco-efficiency scores, we can select appropriate explanatory variables for Tobit regression analysis.
Author Contributions
Funding
Data Availability Statement
Conflicts of Interest
References
- Schaltegger, S.; Sturm, A. Ökologische rationalität: Ansatzpunkte zur ausgestaltung von ökologieorientierten managementinstrumenten. Die Unternehm. 1990, 44, 273–290. Available online: http://www.jstor.org/stable/24180467 (accessed on 1 January 2020).
- Rybaczewska-Błażejowska, M.; Masternak-Janus, A. Eco-efficiency assessment of Polish regions: Joint application of life cycle assessment and data envelopment analysis. J. Clean. Prod. 2018, 172, 1180–1192. [Google Scholar] [CrossRef]
- Lehni, M. Eco-Efficiency: Creating More Value with Less Impact; World Business Council for Sustainable Development: Geneva, Switzerland, 2000. [Google Scholar]
- Zhou, G.; Chung, W.; Zhang, Y. Measuring energy efficiency performance of China’s transport sector: A data envelopment analysis approach. Expert Syst. Appl. 2014, 41, 709–722. [Google Scholar] [CrossRef]
- Hampf, B. Separating environmental efficiency into production and abatement efficiency: A nonparametric model with application to US power plants. J. Prod. Anal. 2014, 41, 457–473. [Google Scholar] [CrossRef][Green Version]
- Zhu, Y.; Yang, F.; Wei, F.; Wang, D. Measuring environmental efficiency of the EU based on a DEA approach with fixed cost allocation under different decision goals. Expert Syst. Appl. 2022, 208, 118183. [Google Scholar] [CrossRef]
- Liou, J.L.; Wu, P.I. Will economic development enhance the energy use efficiency and CO2 emission control efficiency? Expert Syst. Appl. 2011, 38, 12379–12387. [Google Scholar] [CrossRef]
- Charnes, A.; Cooper, W.; Rhodes, E. Measuring the efficiency of decision making units. Eur. J. Oper. Res. 1978, 2, 429–444. [Google Scholar] [CrossRef]
- Banker, R.D.; Charnes, A.; Cooper, W.W. Some models for estimating technical and scale inefficiencies in DEA. Manag. Sci. 1984, 32, 1613–1627. [Google Scholar] [CrossRef]
- Chambers, R.G.; Chung, Y.; Färe, R. Benefit and Distance Functions. J. Econ. Theory 1996, 70, 407–419. [Google Scholar] [CrossRef]
- Tone, K. A slacks-based measure of efficiency in data envelopment analysis. Eur. J. Oper. Res. 2001, 130, 498–509. [Google Scholar] [CrossRef]
- Song, M.; Wang, S.; Liu, Q. Environmental efficiency evaluation considering the maximization of desirable outputs and its application. Comput. Math. Model. 2013, 58, 1110–1116. [Google Scholar] [CrossRef]
- Guo, X.; Lu, C.; Lee, J.; Chiu, Y.H. Applying the Dynamic DEA Model to Evaluate the Energy Efficiency of OECD Countries and China. Energy 2017, 134, 392–399. [Google Scholar] [CrossRef]
- Cheng, X.; Li, N.; Mu, H.; Guo, Y.; Jiang, Y. Study on Total-Factor Energy Efficiency in Three Provinces of Northeast China Based on SBM Model. Energ. Procedia 2018, 152, 131–136. [Google Scholar] [CrossRef]
- Xie, Q.; Hu, P.; Jiang, A.; Li, Y. Carbon Emissions Allocation Based on Satisfaction Perspective and Data Envelopment Analysis. Energy Policy 2019, 132, 254–264. [Google Scholar] [CrossRef]
- Shang, Y.; Liu, H.; Lv, Y. Total factor energy efficiency in regions of China: An empirical analysis on SBM-DEA model with undesired generation. J. King Saud Univ. Sci. 2020, 32, 1925–1931. [Google Scholar] [CrossRef]
- Chen, X.; Lin, B. Assessment of eco-efficiency change considering energy and environment: A study of China’s non-ferrous metals industry. J. Clean. Prod. 2020, 277, 123388. [Google Scholar] [CrossRef]
- de Araújo, R.V.; Espejo, R.A.; Constantino, M.; de Moraes, P.M.; Taveira, J.C.; Lira, F.S.; Herrera, G.P.; Costa, R. Eco-efficiency measurement as an approach to improve the sustainable development of municipalities: A case study in the Midwest of Brazil. Environ. Dev. 2021, 39, 100652. [Google Scholar] [CrossRef]
- Teng, X.; Liu, F.; Chiu, Y. The Change in Energy and Carbon Emissions Efficiency after Afforestation in China by Applying a Modified Dynamic SBM Model. Energy 2021, 216, 119301. [Google Scholar] [CrossRef]
- Zheng, Z. Energy efficiency evaluation model based on DEA-SBM-Malmquist index. Energy Rep. 2021, 7, 397–409. [Google Scholar] [CrossRef]
- Matsumoto, K.; Chen, Y. Industrial eco-efficiency and its determinants in China: A two-stage approach. Ecol. Indic. 2021, 130, 108072. [Google Scholar] [CrossRef]
- Hayami, Y. Sources of agricultural productivity gap among selected countries. Am. J. Agric. Econ. 1969, 51, 564–575. [Google Scholar] [CrossRef]
- Hayami, Y.; Ruttan, V.W. Agricultural Development; an International Perspective; John Hopkins University Press: Baltimore, MD, USA; London, UK, 1985. [Google Scholar]
- O’Donnell, C.J.; Rao, D.S.P.; Battese, G.E. Meta frontier frameworks for the study of firm-level efficiencies and technology ratios. Empir. Econ. 2008, 34, 231–255. [Google Scholar] [CrossRef]
- Wang, Q.; Zhao, Z.; Zhou, P.; Zhou, D. Energy efficiency and production technology heterogeneity in China: A meta-frontier DEA approach. Econ. Model. 2013, 35, 283–289. [Google Scholar] [CrossRef]
- Feng, C.; Wang, M.; Zhang, Y.; Liu, G.C. Decomposition of energy efficiency and energy-saving potential in China: A three-hierarchy meta-frontier approach. J. Clean. Prod. 2018, 176, 1054–1064. [Google Scholar] [CrossRef]
- Tian, Y.; Feng, C. The internal-structural effects of different types of environmental regulations on China’s green total-factor productivity. Energy Econ. 2022, 113, 106246. [Google Scholar] [CrossRef]
- Wang, Q.; Su, B.; Zhou, P.; Chiu, C.R. Measuring total-factor CO2 emission performance and technology gaps using a non-radial directional distance function: A modified approach. Energy Econ. 2016, 56, 475–482. [Google Scholar] [CrossRef]
- Chen, Y.; Wang, M.; Feng, C.; Zhou, H.; Wang, K. Total factor energy efficiency in Chinese manufacturing industry under industry and regional heterogeneities. Resour. Conserv. Recycl. 2021, 168, 105255. [Google Scholar] [CrossRef]
- Wang, Q.; Hang, Y.; Hu, J.L.; Chiu, C.R. An alternative meta-frontier framework for measuring the heterogeneity of technology. Nav. Res. Logist. (NRL) 2018, 65, 427–445. [Google Scholar] [CrossRef]
- Chen, Y.; Xu, W.; Zhou, Q.; Zhou, Z. Total factor energy efficiency, carbon emission efficiency, and technology gap: Evidence from sub-industries of Anhui province in China. Sustainability 2020, 12, 1402. [Google Scholar] [CrossRef]
- Chen, L.; Huang, Y.; Li, M.J.; Wang, Y.M. Meta-frontier analysis using cross-efficiency method for performance evaluation. Eur. J. Oper. Res. 2020, 280, 219–229. [Google Scholar] [CrossRef]
- Lin, R.; Peng, Y. A new cross-efficiency meta-frontier analysis method with good ability to identify technology gaps. Eur. J. Oper. Res. 2024, 314, 735–746. [Google Scholar] [CrossRef]
- Yu, M.M.; Rakshit, I. Assessing the dynamic efficiency and technology gap of airports under different ownerships: A union dynamic NDEA approach. Omega 2023, 119, 102888. [Google Scholar] [CrossRef]
- Yu, M.M.; See, K.F.; Hsiao, B. Integrating group frontier and meta-frontier directional distance functions to evaluate the efficiency of production units. Eur. J. Oper. Res. 2022, 301, 254–276. [Google Scholar] [CrossRef]
- Färe, R.; Grosskopf, S.; Whittaker, G. Modeling data irregularities and structural complexities in data envelopment analysis. In Modeling Data Irregularities and Structural Complexities in Data Envelopment Analysis; Zhu, J., Cook, W.D., Eds.; Springer: Boston, MA, USA, 2007; pp. 209–240. [Google Scholar]
- Wu, J.; Yin, P.; Sun, J.; Chu, J.; Liang, L. Evaluating the environmental efficiency of a two-stage system with undesired outputs by a DEA approach: An interest preference perspective. Eur. J. Oper. Res. 2016, 254, 1047–1062. [Google Scholar] [CrossRef]
- Wang, Y.; Wang, Q.; Hang, Y.; Zhou, D. Decomposition of industrial pollution intensity change and reduction potential: A two-stage meta-frontier PDA method. Sustain. Prod. Consum. 2021, 28, 472–483. [Google Scholar] [CrossRef]
- Yu, M.M.; Chen, L.H. A meta-frontier network data envelopment analysis approach for the measurement of technological bias with network production structure. Ann. Oper. Res. 2020, 287, 495–514. [Google Scholar] [CrossRef]
- Oh, D.h. A metafrontier approach for measuring an environmentally sensitive productivity growth index. Energy Econ. 2010, 32, 146–157. [Google Scholar] [CrossRef]
- Wang, M.; Feng, C. Regional Total-Factor Productivity and Environmental Governance Efficiency of China’s Industrial Sectors: A Two-Stage Network-Based Super DEA Approach. J. Clean. Prod. 2020, 273, 123110. [Google Scholar] [CrossRef]
- Wang, Q.; Tang, J.; Choi, G. A Two-Stage Eco-Efficiency Evaluation of China’s Industrial Sectors: A Dynamic Network Data Envelopment Analysis (DNDEA) Approach. Process Saf. Environ. Prot. 2021, 148, 879–892. [Google Scholar] [CrossRef]
- Liu, W.; Zhou, Z.; Ma, C.; Liu, D.; Shen, W. Two-stage DEA models with undesirable input-intermediate-outputs. Omega 2015, 56, 74–87. [Google Scholar] [CrossRef]
- Tone, K.; Tsutsui, M. Network DEA: A slacks-based measure approach. Eur. J. Oper. Res. 2009, 197, 243–252. [Google Scholar] [CrossRef]
- Kao, C. Efficiency decomposition in network data envelopment analysis with slacks-based measures. Omega 2014, 45, 1–6. [Google Scholar] [CrossRef]
- Kao, C.; Hwang, S.N. Efficiency decomposition in two-stage data envelopment analysis: An application to non-life insurance companies in Taiwan. Eur. J. Oper. Res. 2008, 185, 418–429. [Google Scholar] [CrossRef]
- Chen, Y.; Cook, W.D.; Li, N.; Zhu, J. Additive efficiency decomposition in two-stage DEA. Eur. J. Oper. Res. 2009, 196, 1170–1176. [Google Scholar] [CrossRef]
- Kasuya, E. Mann–Whitney U test when variances are unequal. Anim. Behav. 2001, 61, 1247–1249. [Google Scholar] [CrossRef]
- Doyle, J.; Green, R. Efficiency and Cross-efficiency in DEA: Derivations, Meanings and Uses. J. Oper. Res. Soc. 1994, 45, 567–578. [Google Scholar] [CrossRef]
- Sexton, T.R.; Silkman, R.H.; Hogan, A.J. Data envelopment analysis: Critique and extensions. In Measuring Efficiency: An Assessment of Data Envelopment Analysis; Silkman, R.H., Ed.; Jossey-Bass: San Francisco, CA, USA, 1986; pp. 73–105. [Google Scholar]
- Andersen, P.; Petersen, N.C. A Procedure for Ranking Efficient Units in Data Envelopment Analysis. Manag. Sci. 1993, 39, 1261–1264. [Google Scholar] [CrossRef]
- Tobin, J. Estimation of relationships for limited dependent variables. Econometrica 1958, 26, 24–36. [Google Scholar] [CrossRef]









| Inputs | Outputs | Undesirable Outputs | |
|---|---|---|---|
| Song et al. [12] | Capital, employment | GDP | SO |
| Guo et al. [13] | Area, population, energy, energy stock (carry-over) | GDP | CO |
| Cheng et al. [14] | Energy, employees, capital | GDP | Waste water, SO |
| Xie et al. [15] | CO, Energy, population | GDP | – |
| Shang et al. [16] | Energy, capital, labor | GDP | CO, SO |
| Chen and Lin [17] | Energy, capital, labor | Gross industrial output | CO |
| de Araújo et al. [18] | Energy, water, population, vehicles, territorial area, felled area | Ratio of gross domestic, product per capita to area deforested | – |
| Teng et al. [19] | Population, energy, capital | GDP | CO, afforestation area |
| Zheng [20] | Employment, capital, electricity | GDP | SO, soot, waste water, PM2.5, Energy |
| Matsumoto and Chen [21] | Energy, capital, employees, water | Industrial added value | Waste gas, waste water, solid waste, CO |
| Region | Province |
|---|---|
| Eastern | Beijing, Tianjin, Shanghai, Shandong, Hebei, Jiangsu, Zhejiang, Fujian, |
| Guangdong, Hainan, Liaoning | |
| Central | Jilin, Heilongjiang, Henan, Shanxi, Anhui, Hubei, Hunan, Jiangxi |
| Western | Chongqing, Sichuan, Guizhou, Yunnan, Guangxi, Shaanxi, Gansu, Qinghai, |
| Inner Mongolia, Ningxia, Xinjiang |
| Indicator | Index | Resource |
|---|---|---|
| Resident population at year-end | National Bureau of Statistics of China | |
| Coal consumption | National Bureau of Statistics of China | |
| Fixed asset investment | China Economic and Social Big Data Research Platform | |
| GDP | National Bureau of Statistics of China | |
| SO emissions | National Bureau of Statistics of China | |
| CO emissions | China Carbon Accounting Database | |
| (https://www.ceads.net.cn, accessed on 10 February 2022) | ||
| Pollution control investment | National Bureau of Statistics of China | |
| Proportion of high-quality air days | Zhenqi network | |
| (https://www.zq12369.com, accessed on 10 February 2022) | ||
| Direct economic loss | China Meteorological Disaster Yearbook |
| ( | ( | ( | ( | ( | ( | ( | (%) | ( | |
| Persons) | Tons) | RMB) | RMB) | Tons) | RMB) | RMB) | RMB) | ||
| 2016 | |||||||||
| AVG | 26.41 | 141.65 | 19.90 | 24.99 | 28.49 | 40.88 | 27.30 | 0.72 | 166.67 |
| STD | 16.38 | 105.47 | 12.74 | 19.55 | 18.50 | 30.65 | 26.09 | 0.16 | 194.79 |
| Max | 67.03 | 409.39 | 53.32 | 82.16 | 72.98 | 142.06 | 126.41 | 0.99 | 837.70 |
| Min | 3.24 | 8.48 | 3.53 | 2.26 | 1.34 | 5.50 | 1.61 | 0.43 | 0.20 |
| 2017 | |||||||||
| AVG | 26.40 | 145.07 | 20.61 | 27.69 | 20.35 | 41.84 | 22.72 | 0.71 | 100.03 |
| STD | 16.46 | 109.75 | 14.49 | 21.65 | 12.71 | 31.31 | 22.78 | 0.15 | 126.11 |
| Max | 68.58 | 429.42 | 55.20 | 91.65 | 43.31 | 145.53 | 113.10 | 0.98 | 588.00 |
| Min | 3.27 | 4.90 | 1.98 | 2.47 | 0.65 | 5.16 | 1.53 | 0.41 | 0.00 |
| 2018 | |||||||||
| AVG | 26.32 | 150.12 | 21.84 | 30.42 | 17.19 | 43.01 | 20.71 | 0.81 | 87.90 |
| STD | 16.49 | 123.11 | 15.83 | 23.57 | 10.96 | 32.16 | 23.44 | 0.14 | 88.34 |
| Max | 69.60 | 489.40 | 57.47 | 99.95 | 36.33 | 144.03 | 98.75 | 1.00 | 340.50 |
| Min | 3.29 | 2.76 | 2.18 | 2.75 | 0.27 | 5.00 | 0.36 | 0.49 | 0.90 |
| 2019 | |||||||||
| AVG | 26.15 | 154.09 | 23.07 | 32.69 | 15.23 | 44.52 | 20.51 | 0.77 | 108.97 |
| STD | 16.47 | 129.67 | 16.66 | 25.24 | 9.32 | 33.45 | 20.23 | 0.14 | 136.10 |
| Max | 69.95 | 513.32 | 58.77 | 107.99 | 35.24 | 147.13 | 95.43 | 0.99 | 552.60 |
| Min | 3.30 | 1.83 | 2.24 | 2.94 | 0.19 | 4.91 | 0.63 | 0.49 | 0.00 |
| 2020 | |||||||||
| AVG | 24.96 | 154.67 | 23.76 | 33.60 | 10.59 | 44.90 | 15.14 | 0.82 | 123.25 |
| STD | 16.32 | 132.13 | 17.06 | 26.04 | 6.41 | 34.13 | 14.57 | 0.12 | 135.97 |
| Max | 70.39 | 537.39 | 58.94 | 111.15 | 27.39 | 145.35 | 53.13 | 1.00 | 602.60 |
| Min | 2.79 | 1.35 | 2.33 | 3.01 | 0.18 | 4.58 | 0.05 | 0.56 | 0.90 |
| Region | Eastern | Central | Western |
|---|---|---|---|
| Eastern | - | 0 | 0 |
| Central | 1 | - | 0.9974 |
| Western | 1 | 0.0027 | - |
| Region | Eastern | Central | Western |
|---|---|---|---|
| Eastern | - | 1 | 1 |
| Central | 0 | - | 0 |
| Western | 0 | 1 | - |
| Year | ||||||||||
|---|---|---|---|---|---|---|---|---|---|---|
| Hebei | 2016 | 0.024 | 0.027 | 0.037 | 0 | 0 | 0 | 0 | 0 | 0 |
| Fujian | 2016 | 0.019 | 0.022 | 0.029 | 0 | 0 | 0 | 0 | 0 | 0 |
| Tianjin | 2018 | 0 | 1.848 | 0.690 | 1.663 | 0.452 | 0.405 | 0.780 | 0 | 0 |
| Jiangsu | 2019 | 0.016 | 0.325 | 0.085 | 0 | 0.001 | 0.082 | 0.127 | 0 | 0 |
| Zhejiang | 2019 | 0.003 | 0.067 | 0.018 | 0 | 0.017 | 0.026 | 0 | 0 | |
| Guangdong | 2019 | 0.019 | 0.388 | 0.102 | 0 | 0 | 0.098 | 0.142 | 0 | 0.010 |
| Year | 2016 | 2017 | 2018 | 2019 | 2020 |
|---|---|---|---|---|---|
| 2016 | - | 0 | 0 | 0 | 0 |
| 2017 | 1 | - | 0.6247 | 0 | 0 |
| 2018 | 1 | 0.3809 | - | 0 | 0 |
| 2019 | 1 | 1 | 1 | - | 0.1199 |
| 2020 | 1 | 1 | 1 | 0.883 | - |
| Province | 2016 | 2017 | 2018 | 2019 | 2020 | |||||||||
|---|---|---|---|---|---|---|---|---|---|---|---|---|---|---|
| RTGR | TTGR | RTGR | TTGR | RTGR | TTGR | RTGR | TTGR | RTGR | TTGR | |||||
| Beijing | 1.00 | 0.32 | 1.00 | 1.00 | 1.00 | 0.66 | 1.00 | 1.00 | 1.00 | 1.00 | ||||
| Tianjin | 1.00 | 0.19 | 1.00 | 1.00 | 0.82 | 0.30 | 1.00 | 1.00 | 1.00 | 1.00 | ||||
| Hebei | 1.00 | 0.56 | 0.88 | 0.62 | 0.94 | 0.76 | 1.02 | 0.87 | 1.11 | 0.97 | ||||
| Liaoning | 0.92 | 0.70 | 0.94 | 0.76 | 1.00 | 0.86 | 1.00 | 0.87 | 1.00 | 1.00 | ||||
| Shanghai | 1.00 | 0.60 | 1.00 | 1.00 | 1.00 | 0.84 | 1.00 | 1.00 | 1.00 | 1.00 | ||||
| Jiangsu | 1.00 | 0.32 | 0.89 | 0.37 | 0.98 | 0.55 | 2.15 | 0.49 | 1.00 | 1.00 | ||||
| Zhejiang | 1.00 | 0.32 | 0.89 | 0.36 | 0.96 | 0.49 | 1.00 | 0.83 | 1.00 | 1.00 | ||||
| Fujian | 1.00 | 0.54 | 0.88 | 0.54 | 1.29 | 0.65 | 1.03 | 0.84 | 1.08 | 1.03 | ||||
| Shandong | 1.00 | 0.32 | 0.89 | 0.36 | 0.99 | 0.62 | 0.99 | 0.82 | 1.00 | 1.00 | ||||
| Guangdong | 1.00 | 0.36 | 0.89 | 0.37 | 0.98 | 0.59 | 1.00 | 0.78 | 1.00 | 1.00 | ||||
| Hainan | 1.00 | 0.90 | 1.00 | 1.00 | 1.00 | 0.87 | 1.00 | 1.00 | 1.00 | 1.00 | ||||
| Shanxi | 0.15 | 0.74 | 0.05 | 0.82 | 0.05 | 0.86 | 0.05 | 0.71 | 0.04 | 1.00 | ||||
| Jilin | 0.16 | 0.71 | 0.14 | 0.82 | 0.18 | 0.86 | 0.16 | 0.87 | 0.16 | 1.00 | ||||
| Helongjiang | 0.15 | 0.73 | 0.09 | 0.82 | 0.18 | 0.86 | 0.11 | 0.87 | 0.16 | 1.00 | ||||
| Anhui | 0.20 | 0.43 | 0.14 | 0.49 | 0.18 | 0.74 | 0.14 | 1.70 | 0.13 | 1.02 | ||||
| Jiangxi | 0.14 | 0.73 | 0.14 | 0.76 | 0.15 | 0.86 | 0.15 | 0.87 | 0.16 | 1.00 | ||||
| Henan | 0.20 | 0.40 | 0.18 | 0.36 | 0.12 | 0.66 | 0.13 | 0.85 | 0.11 | 1.00 | ||||
| Hubei | 0.20 | 0.42 | 0.20 | 0.49 | 0.17 | 0.79 | 0.15 | 0.74 | 0.12 | 1.00 | ||||
| Hunan | 0.18 | 0.42 | 0.18 | 0.49 | 0.16 | 0.67 | 0.16 | 0.91 | 0.14 | 1.14 | ||||
| Inner Mongolia | 0.33 | 0.67 | 0.37 | 0.57 | 0.24 | 0.86 | 0.04 | 0.87 | 0.25 | 1.00 | ||||
| Guangxi | 0.55 | 0.24 | 0.27 | 0.82 | 0.17 | 0.86 | 0.33 | 0.87 | 0.32 | 1.00 | ||||
| Chongqing | 1.00 | 0.21 | 0.24 | 0.71 | 0.25 | 0.86 | 0.27 | 0.87 | 0.26 | 1.00 | ||||
| Sichuan | 0.21 | 0.42 | 0.23 | 0.49 | 0.21 | 0.77 | 0.18 | 0.94 | 0.16 | 1.00 | ||||
| Guizhou | 0.24 | 0.71 | 0.39 | 0.82 | 0.41 | 0.86 | 0.41 | 0.87 | 0.40 | 1.00 | ||||
| Yunnan | 0.32 | 0.74 | 0.30 | 0.82 | 0.30 | 0.86 | 0.31 | 0.87 | 0.30 | 1.00 | ||||
| Shaanxi | 0.26 | 0.43 | 1.00 | 0.65 | 1.00 | 0.93 | 1.00 | 1.00 | 1.00 | 1.00 | ||||
| Gansu | 0.53 | 0.70 | 0.49 | 0.82 | 0.54 | 0.86 | 0.55 | 0.87 | 0.50 | 1.00 | ||||
| Qinghai | 1.00 | 0.49 | 1.00 | 0.62 | 1.00 | 0.87 | 1.00 | 0.91 | 1.00 | 1.00 | ||||
| Ningxia | 0.53 | 0.22 | 0.11 | 0.87 | 0.15 | 0.76 | 0.14 | 0.79 | 0.20 | 0.99 | ||||
| Xinjiang | 0.38 | 0.72 | 0.20 | 0.82 | 0.22 | 0.73 | 0.17 | 1.17 | 0.17 | 1.00 | ||||
| Province | 2016 | 2017 | 2018 | 2019 | 2020 | |||||||||
|---|---|---|---|---|---|---|---|---|---|---|---|---|---|---|
| RTGR | TTGR | RTGR | TTGR | RTGR | TTGR | RTGR | TTGR | RTGR | TTGR | |||||
| Beijing | 1.00 | 0.32 | 1.00 | 1.00 | 1.00 | 0.66 | 1.00 | 1.00 | 1.00 | 1.00 | ||||
| Tianjin | 1.00 | 0.19 | 1.00 | 1.00 | 0.83 | 0.65 | 1.00 | 1.00 | 1.00 | 1.00 | ||||
| Hebei | 1.00 | 0.56 | 1.00 | 0.54 | 1.00 | 0.66 | 1.00 | 0.70 | 1.00 | 1.00 | ||||
| Liaoning | 1.00 | 0.44 | 1.00 | 0.71 | 1.00 | 0.86 | 1.00 | 1.00 | 1.00 | 1.00 | ||||
| Shanghai | 1.00 | 0.60 | 1.00 | 1.00 | 1.00 | 0.84 | 1.00 | 1.00 | 1.00 | 1.00 | ||||
| Jiangsu | 1.00 | 0.32 | 1.00 | 0.64 | 1.00 | 0.54 | 1.00 | 0.88 | 1.00 | 1.00 | ||||
| Zhejiang | 1.00 | 0.32 | 1.00 | 0.32 | 1.00 | 0.47 | 1.00 | 0.97 | 1.00 | 1.00 | ||||
| Fujian | 1.00 | 0.54 | 1.00 | 0.46 | 1.00 | 0.62 | 1.00 | 0.74 | 1.00 | 1.00 | ||||
| Shandong | 1.00 | 0.32 | 1.00 | 0.32 | 1.00 | 0.62 | 1.00 | 0.96 | 1.00 | 1.00 | ||||
| Guangdong | 1.00 | 0.32 | 1.00 | 0.81 | 1.00 | 0.58 | 1.00 | 0.87 | 1.00 | 1.00 | ||||
| Hainan | 1.00 | 0.90 | 1.00 | 1.00 | 1.00 | 0.87 | 1.00 | 1.00 | 1.00 | 1.00 | ||||
| Eastern | 1.00 | 0.44 | 1.00 | 0.71 | 0.98 | 0.67 | 1.00 | 0.92 | 1.00 | 1.00 | ||||
| Shanxi | 0.15 | 0.90 | 0.05 | 1.00 | 0.05 | 0.87 | 0.05 | 1.00 | 0.04 | 1.00 | ||||
| Jilin | 0.16 | 0.82 | 0.14 | 1.00 | 0.18 | 0.87 | 0.16 | 1.00 | 0.16 | 1.00 | ||||
| Heilongjiang | 0.15 | 0.87 | 0.09 | 1.00 | 0.18 | 0.87 | 0.11 | 1.00 | 0.16 | 1.00 | ||||
| Anhui | 0.20 | 0.60 | 0.14 | 0.64 | 0.19 | 0.74 | 0.17 | 0.67 | 0.15 | 0.96 | ||||
| Jiangxi | 0.14 | 0.90 | 0.14 | 1.00 | 0.15 | 0.87 | 0.15 | 1.00 | 0.16 | 1.00 | ||||
| Henan | 0.20 | 0.40 | 0.18 | 0.38 | 0.12 | 0.66 | 0.13 | 1.00 | 0.11 | 1.00 | ||||
| Hubei | 0.20 | 0.49 | 0.20 | 0.46 | 0.17 | 0.62 | 0.14 | 1.00 | 0.13 | 1.00 | ||||
| Hunan | 0.18 | 0.52 | 0.18 | 0.53 | 0.16 | 0.58 | 0.16 | 0.66 | 0.14 | 1.00 | ||||
| Central | 0.17 | 0.69 | 0.14 | 0.75 | 0.15 | 0.76 | 0.13 | 0.92 | 0.13 | 0.99 | ||||
| Inner Mongolia | 0.61 | 0.36 | 0.48 | 0.72 | 0.22 | 0.87 | 0.04 | 1.00 | 0.20 | 1.00 | ||||
| Guangxi | 0.55 | 0.24 | 0.30 | 1.00 | 0.17 | 0.87 | 0.33 | 1.00 | 0.33 | 1.00 | ||||
| Chongqing | 1.00 | 0.21 | 0.25 | 1.00 | 0.25 | 0.87 | 0.27 | 1.00 | 0.29 | 1.00 | ||||
| Sichuan | 0.21 | 0.49 | 0.23 | 0.45 | 0.22 | 0.51 | 0.19 | 0.67 | 0.16 | 1.00 | ||||
| Guizhou | 1.00 | 0.21 | 0.59 | 0.67 | 0.41 | 0.87 | 0.41 | 1.00 | 0.40 | 1.00 | ||||
| Yunnan | 0.62 | 0.38 | 0.31 | 0.98 | 0.30 | 0.87 | 0.32 | 1.00 | 0.30 | 1.00 | ||||
| Shaanxi | 1.00 | 0.21 | 1.00 | 0.65 | 1.00 | 0.93 | 1.00 | 1.00 | 1.00 | 1.00 | ||||
| Gansu | 0.98 | 0.48 | 0.90 | 0.63 | 0.54 | 0.87 | 0.55 | 1.00 | 0.50 | 1.00 | ||||
| Qinghai | 1.00 | 0.50 | 1.00 | 0.62 | 1.00 | 0.87 | 1.00 | 0.91 | 1.00 | 1.00 | ||||
| Ningxia | 0.53 | 0.21 | 0.11 | 1.00 | 0.15 | 0.77 | 0.14 | 0.79 | 0.20 | 1.00 | ||||
| Xinjiang | 0.72 | 0.41 | 0.20 | 1.00 | 0.22 | 0.61 | 0.18 | 1.00 | 0.13 | 1.00 | ||||
| Western | 0.75 | 0.34 | 0.49 | 0.79 | 0.41 | 0.81 | 0.40 | 0.94 | 0.41 | 1.00 | ||||
| China | 0.69 | 0.47 | 0.58 | 0.75 | 0.55 | 0.74 | 0.55 | 0.93 | 0.55 | 1.00 | ||||
Disclaimer/Publisher’s Note: The statements, opinions and data contained in all publications are solely those of the individual author(s) and contributor(s) and not of MDPI and/or the editor(s). MDPI and/or the editor(s) disclaim responsibility for any injury to people or property resulting from any ideas, methods, instructions or products referred to in the content. |
© 2024 by the authors. Licensee MDPI, Basel, Switzerland. This article is an open access article distributed under the terms and conditions of the Creative Commons Attribution (CC BY) license (https://creativecommons.org/licenses/by/4.0/).
Share and Cite
Lin, R.; Wang, X.; Jiang, Y. Ecological Efficiency Measurement and Technical Heterogeneity Analysis in China: A Two-Stage Three-Level Meta-Frontier Network Model Based on Segmented Projection. Systems 2024, 12, 22. https://doi.org/10.3390/systems12010022
Lin R, Wang X, Jiang Y. Ecological Efficiency Measurement and Technical Heterogeneity Analysis in China: A Two-Stage Three-Level Meta-Frontier Network Model Based on Segmented Projection. Systems. 2024; 12(1):22. https://doi.org/10.3390/systems12010022
Chicago/Turabian StyleLin, Ruiyue, Xinyuan Wang, and Yu Jiang. 2024. "Ecological Efficiency Measurement and Technical Heterogeneity Analysis in China: A Two-Stage Three-Level Meta-Frontier Network Model Based on Segmented Projection" Systems 12, no. 1: 22. https://doi.org/10.3390/systems12010022
APA StyleLin, R., Wang, X., & Jiang, Y. (2024). Ecological Efficiency Measurement and Technical Heterogeneity Analysis in China: A Two-Stage Three-Level Meta-Frontier Network Model Based on Segmented Projection. Systems, 12(1), 22. https://doi.org/10.3390/systems12010022

