A Method to Identify Main Paths of Knowledge Diffusion for Collaborative Innovation Projects
Abstract
:1. Introduction
2. Theoretical Background
2.1. Main Path Analysis Method
2.2. Existing Research about Knowledge Diffusion Main Paths in Collaborative Innovation Projects
3. Construction of Dynamic Main Path Analysis Method
3.1. Theory Construction
- (1)
- Dynamic search paths count (DSPC) is proposed to calculate the search times of network links in collaborative innovation projects. The SPC value in MPA is obtained by analyzing the connectivity of the network [29]. However, the path choice of actors in collaborative innovation projects is dynamic [30,31], so it cannot be analyzed only based on static network connectivity. Thus, DSPC is proposed to calculate the real-time search times of network links for collaborative innovation projects.
- (2)
3.2. Method Implementation
- (1)
- Calculation of dynamic search paths count
- (2)
- Mechanism of main path analysis strategies
4. Case Application of Dynamic Main Path Analysis Method
4.1. Data Source
4.2. Contrastive Application of Two Main Path Analysis Methods
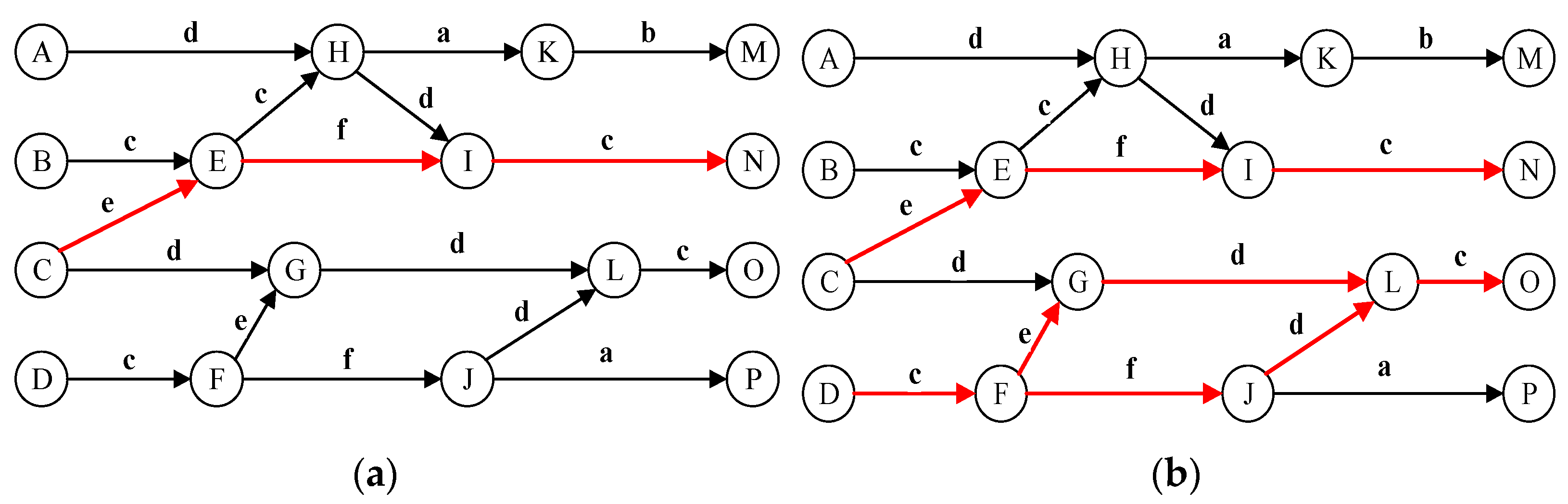
- (1)
- Application of MPA method
- (2)
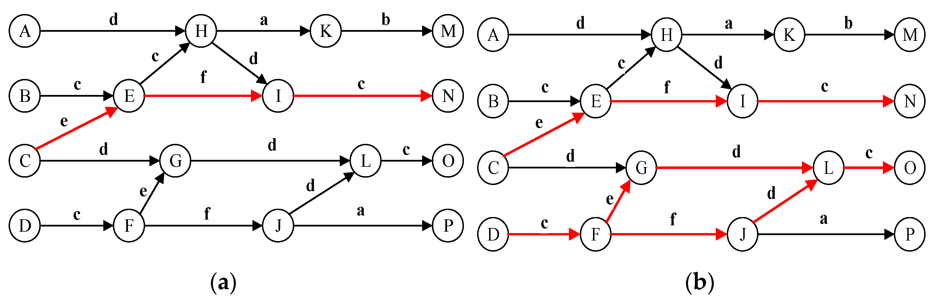
- Application of DMPA
4.3. Analysis and Discussion
5. Conclusions and Future Research
Author Contributions
Funding
Data Availability Statement
Acknowledgments
Conflicts of Interest
References
- Mao, C.; Yu, X.; Zhou, Q.; Harms, R.; Fang, G. Knowledge growth in university-industry innovation networks–Results from a simulation study. Technol. Forecast. Soc. Chang. 2020, 151, 119746. [Google Scholar] [CrossRef]
- Xu, L.; Ding, R.; Wang, L. How to facilitate knowledge diffusion in collaborative innovation projects by adjusting network density and project roles. Scientometrics 2022, 127, 1353–1379. [Google Scholar] [CrossRef]
- Kim, Y.; Sauk Hau, Y.; Song, S.; Ghim, G. Trailing organizational knowledge paths through social network lens: Integrating the multiple industry cases. J. Knowl. Manag. 2014, 18, 38–51. [Google Scholar] [CrossRef]
- Lai, K.; Chen, H.; Chang, Y.; Kumar, V.; Bhatt, P.C. A structured MPA approach to explore technological core competence, knowledge flow, and technology development through social network patentometrics. J. Knowl. Manag. 2021, 25, 402–432. [Google Scholar] [CrossRef]
- Roper, S.; Hewitt-Dundas, N. Knowledge stocks, knowledge flows and innovation: Evidence from matched patents and innovation panel data. Res. Policy 2015, 44, 1327–1340. [Google Scholar] [CrossRef] [Green Version]
- Andersen, J.; Ljungkvist, T. Resource orchestration for team-based innovation: A case study of the interplay between teams, customers, and top management. R D Manag. 2021, 51, 147–160. [Google Scholar] [CrossRef]
- Wiewiora, A.; Murphy, G.; Trigunarsyah, B.; Brown, K. Interactions between organizational culture, trustworthiness, and mechanisms for inter-project knowledge Sharing. Proj. Manag. J. 2014, 45, 48–65. [Google Scholar] [CrossRef]
- Qiao, T.; Shan, W.; Zhang, M.; Liu, C. How to facilitate knowledge diffusion in complex networks: The roles of network structure, knowledge role distribution and selection rule. Int. J. Inf. Manag. 2019, 47, 152–167. [Google Scholar] [CrossRef]
- Phelps, C.; Heidl, R.; Wadhwa, A. Knowledge, networks, and knowledge networks: A review and research agenda. J. Manag. 2012, 38, 1115–1166. [Google Scholar] [CrossRef] [Green Version]
- Maleszka, M. Application of collective knowledge diffusion in a social network environment. Enterp. Inf. Syst. Comput. Collect. Intell. Enterp. Inf. Syst. 2019, 13, 1120–1142. [Google Scholar] [CrossRef]
- Wei, Q.; Gu, X.; Yuan, Y. On the structural evolution of the knowledge network and behaviors of the knowledge subjects. J. Supercomput. 2020, 76, 3477–3493. [Google Scholar] [CrossRef]
- Filippin, F. Do main paths reflect technological trajectories? Applying main path analysis to the semiconductor manufacturing industry. Scientometrics 2021, 126, 6443–6477. [Google Scholar] [CrossRef]
- Xu, S.; Hao, L.; An, X.; Pang, H.; Li, T. Review on emerging research topics with key-route main path analysis. Scientometrics 2020, 122, 607–624. [Google Scholar] [CrossRef]
- Jung, H.; Lee, B.G. Research trends in text mining: Semantic network and main path analysis of selected journals. Expert Syst. Appl. 2020, 162, 113851. [Google Scholar] [CrossRef]
- Rejeb, A.; Abdollahi, A.; Rejeb, K.; Mostafa, M.M. Tracing knowledge evolution flows in scholarly restaurant research: A main path analysis. Qual. Quant. 2022, 57, 2183–2209. [Google Scholar] [CrossRef]
- Hummon, N.P.; Doreian, P. Connectivity in a citation network—The development of DNA Theory. Soc. Netw. 1989, 11, 39–63. [Google Scholar] [CrossRef]
- De Nooy, W. Exploratory Social Network Analysis with Pajek; Cambridge University Press: Cambridge, UK, 2015. [Google Scholar]
- Yu, D.; Sheng, L. Knowledge diffusion paths of blockchain domain: The main path analysis. Scientometrics 2020, 125, 471–497. [Google Scholar] [CrossRef]
- Lathabai, H.H.; George, S.; Prabhakaran, T.; Changat, M. An integrated approach to path analysis for weighted citation networks. Scientometrics 2018, 117, 1871–1904. [Google Scholar] [CrossRef]
- Fu, H.; Wang, M.; Li, P.; Jiang, S.; Hu, W.; Guo, X.; Cao, M. Tracing knowledge development trajectories of the internet of things domain: A main path analysis. IEEE Trans. Ind. Inform. 2019, 15, 6531–6540. [Google Scholar] [CrossRef]
- Van der Pol, J.; Rameshkoumar, J. The co-evolution of knowledge and collaboration networks: The role of the technology life-cycle. Scientometrics 2018, 114, 307–323. [Google Scholar] [CrossRef]
- Kunpeng, Y.; Jiafu, S.; Hui, H. Simulation of collaborative product development knowledge diffusion using a new cellular automata approach. Adv. Prod. Eng. Manag. 2017, 12, 265–273. [Google Scholar] [CrossRef] [Green Version]
- Ren, X.; Deng, X.; Liang, L. Knowledge transfer between projects within project-based organizations: The project nature perspective. J. Knowl. Manag. 2018, 22, 1082–1103. [Google Scholar] [CrossRef]
- Lai, C. Applying knowledge flow mining to group recommendation methods for task-based groups. J. Assoc. Inf. Sci. Technol. 2015, 66, 545–563. [Google Scholar] [CrossRef]
- Wulf, A.; Butel, L. Knowledge sharing and collaborative relationships in business ecosystems and networks. Ind. Manag. Data Syst. 2017, 117, 1407–1425. [Google Scholar] [CrossRef] [Green Version]
- Sanders, J.S.; Wong, T. International partner selection among higher education institutions in Hong Kong, Singapore and Japan: A resource-based view. J. High. Educ. Policy Manag. 2020, 43, 214–229. [Google Scholar] [CrossRef]
- Ren, X.; Yan, Z.; Wang, Z.; He, J. Inter-project knowledge transfer in project-based organizations: An organizational context perspective. Manag. Decis. 2019, 58, 844–863. [Google Scholar] [CrossRef]
- Zhu, H.; Ma, J. Knowledge diffusion in complex networks by considering time-varying information channels. Phys. A Stat. Mech. Appl. 2018, 494, 225–235. [Google Scholar] [CrossRef]
- Liu, J.S.; Lu, L.Y.Y.; Ho, M.H. A few notes on main path analysis. Scientometrics 2019, 119, 379–391. [Google Scholar] [CrossRef]
- Havakhor, T.; Sabherwal, R. Team processes in virtual knowledge teams: The effects of reputation signals and network density. J. Manag. Inf. Syst. 2018, 35, 266–318. [Google Scholar] [CrossRef]
- Moreira, S.; Markus, A.; Laursen, K. Knowledge diversity and coordination: The effect of intrafirm inventor task networks on absorption speed. Strateg. Manag. J. 2018, 39, 2517–2546. [Google Scholar] [CrossRef]
- Cowan, R.; Jonard, N. Network structure and the diffusion of knowledge. J. Econ. Dyn. Control 2004, 28, 1557–1575. [Google Scholar] [CrossRef] [Green Version]
- Gao, S.; Song, X.; Ding, R. Promoting information transfer in collaborative projects through network structure adjustment. J. Constr. Eng. Manag. 2020, 146, 4019108. [Google Scholar] [CrossRef]
- Cai, B.; Huang, X.; Chen, G. Knowledge diffusion performance of innovation network: A study based on organization evolution theory. J. Discret. Math. Sci. Cryptogr. 2017, 20, 1541–1549. [Google Scholar] [CrossRef]




| Analysis Strategies | Results of Main Path Analysis |
|---|---|
| Global search | N12-N10-N1-N16-N24-N2-N13-N25-N34-N22-N31-N17-N5 N30-N10-N1-N16-N24-N2-N13-N25-N34-N22-N31-N15-N5 |
| Local search | N12-N10-N1N-9-N32-N11-N13-N25-N34-N22-N31-N17-N5 N12-N10-N1-N9-N32-N11-N13-N25-N34-N37-N5 N30-N10-N1-N9-N32-N11-N13-N25-N34-N22-N31-N17-N5 N30-N10-N1-N9-N32-N11-N13-N25-N34-N37-N5 |
| Critical path search | N12-N10-N1-N9-N32-N11-N13-N25-N34-N22-N31-N17-N5 N12-N10-N1-N9-N32-N11-N13-N25-N34-N37-N5 N30-N10-N1-N9-N32-N11-N13-N25-N34-N22-N31-N17-N5 N30-N10-N1-N9-N32-N11-N13-N25-N34-N37-N5 |
| N12-N10-N1-N16-N24-N2-N13-N25-N34-N22-N31-N17-N5 N30-N10-N1-N16-N24-N2-N13-N25-N34-N22-N31-N17-N5 |
| Search Strategies | Main Paths |
|---|---|
| Dynamic Global Search | N12-N7-N5 |
| Dynamic Local Search | N12-N24-N21 N12-N7-N5 |
| Dynamic Critical Path Search | N12-N7-N5 N12-N24-N21 N30-N32-N26 |
| Search Strategies | MPA Method | DMPA Method | ||
|---|---|---|---|---|
| Main Paths | Main Paths | |||
| (Dynamic) Global search | N12-N10-N1-N16-N24-N2-N13-N25-N34-N22-N31-N17-N5 | 5.4 | N12-N7-N5 | 10.56 |
| N30-N10-N1-N16-N24-N2-N13-N25-N34-N22-N31-N15-N5 | 4.16 | |||
| (Dynamic) Local search | N12-N10-N1N-9-N32-N11-N13-N25-N34-N22-N31-N17-N5 | 6.62 | N12-N24-N21 | 5.16 |
| N12-N10-N1-N9-N32-N11-N13-N25-N34-N37-N5 | 8.41 | |||
| N30-N10-N1-N9-N32-N11-N13-N25-N34-N22-N31-N17-N5 | 5.38 | N12-N7-N5 | 10.56 | |
| N30-N10-N1-N9-N32-N11-N13-N25-N34-N37-N5 | 8.17 | |||
| (Dynamic) Critical path search | N12-N10-N1-N9-N32-N11-N13-N25-N34-N22-N31-N17-N5 | 6.62 | N12-N24-N21 | 5.16 |
| N12-N10-N1-N9-N32-N11-N13-N25-N34-N37-N5 | 8.41 | |||
| N30-N10-N1-N9-N32-N11-N13-N25-N34-N22-N31-N17-N5 | 5.38 | |||
| N30-N10-N1-N9-N32-N11-N13-N25-N34-N37-N5 | 8.17 | N30-N32-N26 | 8.79 | |
| N12-N10-N1-N16-N24-N2-N13-N25-N34-N22-N31-N17-N5 | 5.4 | |||
| N30-N10-N1-N16-N24-N2-N13-N25-N34-N22-N31-N17-N5 | 4.16 | |||
Disclaimer/Publisher’s Note: The statements, opinions and data contained in all publications are solely those of the individual author(s) and contributor(s) and not of MDPI and/or the editor(s). MDPI and/or the editor(s) disclaim responsibility for any injury to people or property resulting from any ideas, methods, instructions or products referred to in the content. |
© 2023 by the authors. Licensee MDPI, Basel, Switzerland. This article is an open access article distributed under the terms and conditions of the Creative Commons Attribution (CC BY) license (https://creativecommons.org/licenses/by/4.0/).
Share and Cite
Xu, L.; Tao, H.; Liu, S.; Wang, L. A Method to Identify Main Paths of Knowledge Diffusion for Collaborative Innovation Projects. Systems 2023, 11, 370. https://doi.org/10.3390/systems11070370
Xu L, Tao H, Liu S, Wang L. A Method to Identify Main Paths of Knowledge Diffusion for Collaborative Innovation Projects. Systems. 2023; 11(7):370. https://doi.org/10.3390/systems11070370
Chicago/Turabian StyleXu, Lei, Hu Tao, Shanshan Liu, and Lei Wang. 2023. "A Method to Identify Main Paths of Knowledge Diffusion for Collaborative Innovation Projects" Systems 11, no. 7: 370. https://doi.org/10.3390/systems11070370
APA StyleXu, L., Tao, H., Liu, S., & Wang, L. (2023). A Method to Identify Main Paths of Knowledge Diffusion for Collaborative Innovation Projects. Systems, 11(7), 370. https://doi.org/10.3390/systems11070370
