Next Article in Journal
Type-1 Robotic Assembly Line Balancing Problem That Considers Energy Consumption and Cross-Station Design
Next Article in Special Issue
Green Growth or Gray Growth: Measuring Green Growth Efficiency of the Manufacturing Industry in China
Previous Article in Journal
A Cultural-Centered Model Based on User Experience and Learning Preferences of Online Teaching Platforms for Chinese National University Students: Taking Teaching Platforms of WeCom, VooV Meeting, and DingTalk as Examples
Previous Article in Special Issue
Customer Satisfaction in e-Commerce during the COVID-19 Pandemic
 
 
Font Type:
Arial Georgia Verdana
Font Size:
Aa Aa Aa
Line Spacing:
Column Width:
Background:
Article

Urban Eco-Efficiency and Its Influencing Factors in China Based on the Two-Stage Super-NEBM Model

1
School of Geography and Environment, Jiangxi Normal University, Nanchang 330022, China
2
School of Business, Heyuan Polytechnic, Heyuan 517000, China
*
Author to whom correspondence should be addressed.
Systems 2022, 10(6), 217; https://doi.org/10.3390/systems10060217
Submission received: 10 October 2022 / Revised: 7 November 2022 / Accepted: 9 November 2022 / Published: 13 November 2022

Abstract

Eco-efficiency, as one of the evaluation tools for sustainable development performance, has been a widely discussed topic in academia for the past several decades. However, the existing research on eco-efficiency is rather homogeneous. Most of it is based on the construction of a system of indicators that includes ecological constraints to evaluate its overall eco-efficiency, but it treats the eco-economic system as a ‘black box’, ignoring the fact that it is actually composed of several sub-systems. In this paper, based on a two-stage resource-environment system perspective, we construct a Super-NEBM model considering undesirable outputs to measure urban ecological efficiency; a spatial Durbin model is then used to analyse its influencing factors. The results indicate that (1) China’s urban eco-efficiency levels are fluctuating, with a decreasing “east-central/northeast-west” trend. (2) The spatial heterogeneity of ecological efficiency levels in Chinese cities is obvious, with significant spatial agglomeration effects. (3) There are positive spatial spillover effects on the ecological efficiency of Chinese cities; economic development, industrial structure, financial development, population density, innovation capacity, infrastructure, marketisation and informatisation all have important direct effects on urban ecological efficiency; in addition, economic development, financial development, population density, marketisation, informatisation and foreign investment all have significant indirect effects of varying degrees.

1. Introduction

In the past 40 years, China’s economy has been consistently growing at a medium to high rate. At the same time, the resource and environmental constraints brought about by rapid economic development are becoming increasingly prominent, and the issue of ecology and the environment is attracting increasingly extensive attention [1]. In this context, seeking the harmonisation of economic development, resource conservation and environmental protection, and optimising ecological benefits has become the way to achieve high-quality development [2]. The German scholar Schaltegger [3] was the first to introduce the concept of eco-efficiency, which is defined as the ratio of added value to increased environmental impact; the World Business Council for Sustainable Development [4] defines it as the value of goods and services generated by economic activities that meet human needs, while the ecological load on the environment is within manageable limits. The OECD [5] considers eco-efficiency the ratio of resource inputs to outputs, i.e., “more output value for less environmental resource input”, where inputs are the value of goods and services provided by an economy in the production process and outputs are the ultimate impact of the economy on resources and the environment. Although there are some differences in the specific definitions of the concept of eco-efficiency among different organisations and scholars, all emphasise that eco-efficiency considers both the ecological and economic benefits of economic activities, and minimises environmental inputs and negative environmental outputs while achieving ecological economic outputs [6].
Ecological issues have become one of the most important problems related to sustainable social and economic development [7]. It is highly significant and relevant to evaluate the eco-efficiency of different regions and departments. For instance, Moutinho [8] estimates Asian and African eco-efficiency based on a range of distributional assumptions and estimation methods using data from 22 Asian countries and 22 African countries from 2005 to 2018. Michal Kulak [9] used life-cycle assessment (LCA) to investigate the effects of reducing external inputs on the ecological efficiency of cropping systems. Meanwhile, many scholars have measured the eco-efficiency of tourism, agriculture, industry and other industrial sectors, providing us with many examples to follow [10,11,12,13]. However, in existing research, many scholars consider environmental efficiency to be eco-efficiency. It is also considered to be referred to as environmental efficiency in macroeconomic analysis, while eco-efficiency is mainly applied to microeconomic analysis [14,15,16]. In this paper, we view eco-efficiency as an input–output process of a system, with resources and environment as two different stages of the system, which is more conducive to understanding the inherent nature of changes in urban eco-efficiency.
The measurement of eco-efficiency has now become an important area of research. Up to now, scholars have proposed several quantitative models to address complex ecological problems [17,18,19,20,21], such as data-envelopment analysis (DEA) [22], the Super-SBM model under undesirable outputs [23]. There has been a growing general recognition of the importance of eco-efficiency evaluation as it can provide quantitative information for designers and public policy makers for performance evaluation, policy analysis and public communication. Xu [24] evaluated the overall energy efficiency and sectoral efficiency of 19 international airlines from 2008–2014 using a network epsilon-based measure (NEBM) and a network slacks-based measure (NSBM) approach.
With the accelerated urbanisation in China, resource consumption, environmental pollution and ecological function degradation are increasingly becoming limitations to the sustainable development of the region [25]. Therefore, it is important to study urban eco-efficiency from different perspectives and at different scales. However, as can be seen from the preceding analysis, there are some gaps in existing research on urban eco-efficiency. First, although some scholars have made useful additions to the evaluation of regional eco-efficiency based on network DEA models, the relevant studies are not deep enough, and most of them are conducted at the provincial level only, with fewer studies at the city level [26,27]. Second, the analysis of the efficiency of different stages of the eco-economic system is limited to the comparison of efficiency differences, and the analysis of the spatial and temporal pattern of the evolution of the efficiency of each stage is not deep enough. Third, the exploration of the drivers of eco-efficiency is mostly based on the overall eco-efficiency, while the discussion of the influencing factors under the network DEA model is still less studied. This paper uses the Super-NEBM model to measure urban eco-efficiency, improving the original DEA model to make it more consistent with realistic production conditions. A data-envelope model with slack variables with undesired outputs (DEA-undesirable) addresses the inconsistency in the scales of input indicators and reduces the measurement error associated with undesired outputs. The EBM model is able to handle cases where the input-output variables have both radial and non-radial characteristics and is more in line with the reality of social resource production. The NEBM model uses the desired indicators generated by a two-stage resource-environment system as intermediate variables, opening the “black box” of traditional single-stage DEA models that encapsulate individual decision variables, to measure the efficiency of each stage of a multi-stage production process and to describe the specific causes of inefficiencies. The Super-NEBM model allows decision units that cannot be ranked to be ranked efficiently.
Therefore, drawing on existing research [28,29,30], this paper decomposes urban eco-efficiency into resource efficiency and environmental efficiency based on a two-stage resource-environment system perspective. We comprehensively evaluate the temporal and spatial evolution of urban ecological (resource-environmental) efficiency, focus on the performance of each stage of efficiency in the overall system, and finally explore the path to improve the ecological (resource-environmental) efficiency of Chinese cities with a spatial econometric model. This study is significant for promoting sustainable urban development and ecological civilization.
Afterwards, the paper is organized as follows. Section 2 presents data sources, indicator systems and research methods, in particular the Super-NEBM model, the spatial Durbin model and spatio-temporal analysis methods. Section 3 shows the spatial and temporal distribution of urban eco-efficiency in China and the influencing factors. Section 4 and Section 5 give the discussion and conclusions of this paper.

2. Materials and Methods

2.1. Indicators Selection and Data Sources

Considering the data availability and drawing on relevant studies [31,32], a resource-environment two-stage system is constructed with multiple resource factors as inputs, economic and social benefits as intermediate variables, and with environmental pollution as the final undesirable output, taking into full account the coordinated development of economic, social and environmental systems. The input indicators selected include urban fixed capital stock, labour, water resources, energy and land, in which urban fixed capital deposits were calculated by the perpetual inventory method: K i , t = 1 δ i , t K i , t 1 + I i , t , where both K i , t and K i , t 1 are the capital deposits of the city i in year t and t − 1,   I i , t is the actual investment in fixed assets of the whole society of the city i in year t measured in constant prices, and δ i . t is the capital depreciation rate of the city i in year t. In this paper, we take 9.6%, as per the methodology of [33], for the calculated method of base period capital stock [34], that is, the base-year fixed asset investment is divided by 10%, urban fixed asset investment is deflated by the fixed asset investment price index of 2003 as the base period, and labour input is characterized by urban private and individual employees and urban unit employees. Labour input is represented by the aggregated data of urban private and individual employees and urban unit employees. Water, energy and land resource inputs are represented by the amount of social water supply, social electricity consumption and urban construction land area, respectively. Economic and social benefits are depicted by gross regional product, fiscal revenue and total retail sales of social consumer goods. Among them, total retail sales of consumer goods, in which both gross regional product and fiscal revenue are deflated by the GDP index for the base period of 2003, total retail sales of consumer goods are deflated by the retail price index of goods for the base period of 2003, and undesirable outputs are characterized by traditional industrial pollutant emission data, i.e., industrial sulphur dioxide, industrial wastewater and industrial soot emissions.
Many factors influence regional ecological (resource-environmental) efficiency. Following the results of existing research literature [35,36], several types of factors were selected: (1) economic development (PGDP), assessed by (2) structure of industry (ST), to reflect the comprehensive development level of industrial structure, which is expressed as the advanced index of industrial structure [37]; it is calculated as the share of primary industry + the share of secondary industry *2 + the share of tertiary industry *3. (3) Financial improvement (FI), measured as the ratio of various RMB deposit and loan balances of financial institutions to GDP at the end of the year in each city. (4) Government intervention (GOV), is indicated by the ratio of budgeted fiscal expenditures to GDP at the end of the year in each city. (5) Population density (PDEN), is represented by the ratio of the population to the area of the administrative region at the end of the year of each city. (6) Innovation capacity (IN), measured by the number of patents granted by each city. The patent data are obtained from the CNRDS (China Research Data Services Platform). (7) Infrastructure (IF), shown as road area per capita. (8) Marketization (MAR), is characterized by the ratio of private and self-employed labour to the total labour force. (9) Informatization (INF), which is shown by the number of Internet users per 10,000 people. (10) Foreign direct investment (FDI), which tests the existence of the “pollutant sanctuary effect” and the “pollutant paradise” hypothesis, is expressed as the ratio of actual foreign investment utilization to GDP for each city, where USD are converted at the annual average exchange rate of the year.
To ensure the balance of the panel data, the three cities of Chaohu, Tongren and Bijie, had administrative division changes during the research period. Besides this, the cities with more missing data, such as Sansha, Danzhou and Bijie, were excluded. Finally, 285 prefecture-level cities and above in China were selected as the research objects, divided into four major regions—east, central, west and northeast; the selected data span from 2003 to 2018 and are mainly from the 2004–2019 China Urban Statistical Yearbook, China Urban Construction Statistical Yearbook, as well as the CEIC database and provincial and municipal statistical yearbooks. GDP deflator index, GDP per capita deflator index, fixed asset investment-price index, and commodity retail-price index were seriously missing and replaced by relevant indices from various provinces, and some missing values were reasonably completed by the interpolation method and geometric growth-rate method, etc.

2.2. Research Methods

2.2.1. Super-NEBM Model

Data-envelopment analysis (DEA) is a common measure of input–output efficiency. EBM (epsilon-based measure) is a model that mixes compatible radial (CCR) and non-radial (SBM) distance functions [38]. While considering the radial ratio of the input frontier values to the actual values, the differentiation among the inputs of the non-radial slack variables can be reflected, thus eliminating the bias in the measurement results caused by considering a single distance function. The Super-EBM model that includes the undesirable outputs is constructed as follows.
s . t . j = 1 n x i j λ j + s i = θ x i 0 j = 1 n y i j λ j s r + = ϕ y r 0 j = 1 n u p j λ j + s p = ϕ u p 0 λ j 0 , s i , s r + , s p 0 r * = min θ ε i = 1 m w i s i x i 0 φ + ε + r = 1 s w r + s r + y r 0 + p = 1 q w p u s p u y p 0 i = 1 , 2 , , m ; r = 1 , 2 , , s ; p = 1 , 2 , , q
in Equation (1): r * is the most efficient value measured by the model, and xi0, yr0 and up0 are the input, desired output and non-desired output of DMU0, respectively. s i , S r + and s p u denote input slack, desired output slack and non-desired output slack; w r + , w r and w p u denote the weights of each input indicator, desired output and non-desired output.
θ is the efficiency value in the radial condition, which can be obtained by calculation; ε is the core parameter in the Super-EBM model representing the importance of the non-radial part and takes the value range of [0, 1]. When ε = 0, the EBM model is equivalent to the CCR model; when θ = ε =0, the EBM model transforms into the SBM model.
The research tries to open the “black box” of the urban input–output process. Referring to existing studies [28,29,30], we constructed a two-stage Super-EBM network model including non-desired outputs based on the two-stage resource-environment system perspective, with economic and social benefits output as the intermediate variable to decompose the urban input–output process into two stages (Figure 1). The intermediate variable is both the output of the stage 1 process and the input of the stage 2 process. Stage 1 is the output stage of resource input and economic and social benefits, which is expressed as the resource efficiency of the economic and social benefits output activity process; stage 2 is the economic and social benefits as non-decreasing input variables and negative environmental pressure as non-desired output, expressed as the environmental efficiency of the process of forming environmental pressure in the output of economic and social benefits. Finally, the two-stage network integrated ecological efficiency (EE) and the efficiency of two sub-stages, namely, resource efficiency (EFF) and environmental efficiency (ENEFF), and EE = EFF*ENEFF.

2.2.2. Spatio-Temporal Analysis Methods

(1) The Dagum Gini coefficient can reflect the overall differences and decompose the overall differences into intra-regional differences contribution, inter-regional differences contribution and super-variable density contribution, which is used in this research to reflect the spatial differences of urban eco-efficiency in China. The size of the contribution of intra-regional differences, inter-regional differences and the cross-over of each region to urban input–output differences in the east, west and northeast regions of China are further decomposed and discussed to reveal the main sources of spatial differences in urban eco-efficiency in China, as shown in [39].
(2) Kernel-density estimation is a nonparametric test proposed by Rosenblatt and Parzen, which is mainly applied to the study of spatially unbalanced distributions, and which reflects the location, shape and extension of their distributions by continuous density curves, which describe the dynamic evolution of the distribution of variables [40]. In this paper, the resource-environmental efficiency of Chinese cities is estimated using the Gaussian kernel-density function [41], whose distribution position reflects the level of urban resource-environmental efficiency, and the wave crest reflects the trend of efficiency polarization.
(3) Spatial autocorrelation analysis is a common analytical method to examine whether the observations of a spatial unit are correlated with its neighbours. The global spatial autocorrelation reflects the overall correlation degree of the spatial distribution of variables, and the global Moran’s I index is usually used to measure the correlation degree between the observations of variables and their spatial lags to test whether there is spatial autocorrelation of variables to determine if there is a spatial clustering effect of observations at the global level [42]. The Getis-Ord G i * index is used to explore the local correlation characteristics of observations to identify spatial heterogeneity in terms of the hotspot and cold spot areas; see [43] for the specific formula.

2.2.3. Spatial Durbin Model

To analyse the influencing factors behind the ecological (resource-environmental) efficiency of Chinese cities, spatial panel econometric models are introduced considering the spatial effects of efficiency evolution. Based on how the spatial correlation of variables is performed, the commonly used spatial econometric models are the spatial autoregressive model (SAR), the spatial error model (SEM) and the spatial Durbin model (SDM), which is an integrated form of SAR and SEM, taking into account both the spatial correlation brought by the exogenous interaction of the dependent variable and the endogenous interaction effect of the independent variable [44]. In this paper, we propose to use the spatial Durbin model to analyse the influencing factors of urban ecological (resource-environmental) efficiency, using eco-efficiency as the explanatory variable, which is given by
l n E E i t = ρ W i j l n E E i t + α k l n X i t k + β k W i j l n X i t k + μ i + ν t + ε i t
In Equation (2): The explanatory variable EE is urban eco-efficiency; X is the explanatory variable; W is the spatial weight matrix, and the inverse distance spatial weight matrix is chosen in this paper; α , β , θ are the estimated coefficients; i is the study city and t is time; μ i and ν t are time-fixed effects and individual fixed effects, respectively; ε i t is the random disturbance term.
With the above methodological setup, we expect to answer the following questions: (1) What is the basic pattern of urban eco-efficiency in China? (2) What is its spatial and temporal evolutionary pattern? (3) What are the main factors influencing its evolution? (4) What are the spatial effects?

3. Results

3.1. The Basic Pattern of Urban Eco-Efficiency in China and Its Evolution

Using the MaxDEA Ultra version 8 software, the integrated eco-efficiency of 285 prefecture-level cities in China from 2003–2018 was measured using the Super-NEBM model, which includes non-desired outputs, and the Dagum Gini coefficient was used to explore spatial differences and their sources (Figure 2).
From 2003 to 2018, the eco-efficiency level rose from 0.357 to 0.379, with a fluctuating upward trend of “down–up–down–up” and an upward trend that became significantly stronger as the study progressed. The evolution of eco-efficiency levels in Chinese cities has been broadly characterised by three stages. In the first stage (2003–2007), the overall eco-efficiency level declined somewhat, from 0.357 in 2003 to 0.339 in 2007. After China acceded to the WTO, its economic development entered the “fast lane”, but the external competition had a huge impact on China’s market, and the economy and society were adjusting. This is not conducive to the economical use of resources and increases the pressure on the environment, resulting in a decline in ecological efficiency in the short term. In the second stage (2007–2014), eco-efficiency fluctuated but remained stable overall. The period 2007–2008 saw a brief rise in the level of urban eco-efficiency, reaching 0.352 in 2008, but after 2008 there was a continuous downward trend, falling back to 0.336 in 2014. In the post-financial crisis era, the weak international economy has had a certain adverse impact on China’s economic development, but with the support of sound domestic economic policies and energy-saving and emission-reduction measures, the overall level of urban eco-efficiency has remained relatively stable. In the third stage (2014–2018), the overall efficiency level showed a rapid upward trend after 2014 to reach 0.379 in 2018, an increase of 12.79%, reaching the highest level during the study period.
By region, there is some variation in the overall level of eco-efficiency among the four major regions of China, east, central, west and northeast, from 2003 to 2018. The average values of eco-efficiency in each region were 0.404, 0.334, 0.315 and 0.333, respectively, showing a decreasing stepwise pattern of “east-central/northeast-west”. The level of eco-efficiency in the eastern region is significantly higher than that in other regions, with a roughly “W”-shaped trend, and the level of efficiency declined rapidly from 0.432 to 0.377 from 2003 to 2007, remained relatively stable from 2007 to 2014, and then showed a rapid upward trend after 2014, from 0.387 to 0.447, with a slight increase in overall efficiency. The overall efficiency level has increased slightly, from 0.387 to 0.447. The central region has maintained a certain upward trend in its efficiency level for a long time, except for the decline in efficiency from 2008 to 2011, which was affected by the financial crisis. In particular, after 2011, driven by the strategy of the rise of the central region and ecological civilization, a rapid rise in efficiency levels was achieved, reaching a peak of 0.373 in 2017. However, a certain decline in efficiency was observed again in 2018. In the northeast, efficiency levels fell from 0.352 in 2003 to 0.318 in 2006, a decrease of 9.57%, with a more serious deterioration in efficiency. The period 2006–2015 efficiency levels did not decrease continuously but remained at a low level for a long time. The period 2015–2017 efficiency levels in the northeast achieved a significant increase, from 0.321 to 0.371, an increase of 15.74%. Similar to the midstream region, the northeast region also experienced a small decrease in efficiency levels in 2018. Efficiency levels in the west remained generally stable until 2012, then declined somewhat from 2012–2014, before showing a sustained small increase after 2014. However, eco-efficiency levels in the west have lagged somewhat in 2018 compared to other regions.
In terms of inter-city differences, the Gini coefficient of eco-efficiency in Chinese cities showed a certain downward trend from 2003 to 2006 and maintained a more stable upward trend after 2006 in general, and the upward trend was especially obvious after 2014. By region, urban efficiency differences are relatively small in the eastern and central regions, with the change in efficiency differences in the eastern region showing a similar performance to that of China as a whole, with a long-term widening trend after a decline at the beginning of the study and a faster rise in the Gini coefficient after 2015. The Gini coefficient of the central region fluctuated and declined from 2003 to 2011, and continued to rise after 2011. The difference in urban efficiency in the western and north-eastern regions is relatively large, with the difference in urban efficiency in the western region showing a significant downward trend at the beginning of the study, remaining relatively stable thereafter, and showing a significant widening of the difference at the end of the study. There was a significant narrowing of the efficiency gap in the northeast at the beginning of the study, with the Gini coefficient rising rapidly after reaching a minimum in 2006, but then declining significantly in 2011 and maintaining an upward trend after 2011. The inter-regional Gini coefficient shows that the difference in efficiency between the central region and the other regions is small, while the difference in efficiency between the east and the west, the west and the north-east is large, and the east and the north-east is the next largest. As can be seen from the sources of overall efficiency variation, the main sources of urban eco-efficiency variation in China are hypervariable density and inter-regional variation, with mean contributions of 42.22% and 32.99%, respectively. The contribution of inter-regional variation tends to rise after declining at the beginning of the study, while the contribution of hypervariable density changes in the opposite direction, and the contribution of intra-regional variation is smaller and remains largely unchanged.

3.2. The Basic Patterns and Evolution of Resource-Environment Efficiency in Chinese Cities

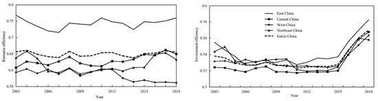
In order to further distinguish the efficiency levels of different output processes of economic efficiency and environmental pressure under the two-stage system, and to explore the efficiency shortcomings of urban development, the Super-NEBM model was used to measure the urban resource-environmental efficiency. The results (Figure 3) show that the mean values of resource efficiency and environmental efficiency in Chinese cities during the study period were 0.650 and 0.534, respectively, indicating that lower environmental efficiency was the main cause of lower overall eco-efficiency. The overall pattern of resource efficiency in Chinese cities and its evolutionary trend is similar to that of eco-efficiency. The average values of overall efficiency in the four major regions of east, central, west and northeast are 0.743, 0.630, 0.585 and 0.616, respectively. After a long period of slow decline, urban environmental efficiency began to trend upward relatively quickly in 2015. The average values of overall environmental efficiency in the four major regions of east, central, west and northeast were 0.541, 0.527, 0.533 and 0.535, respectively, with the eastern region generally having a higher level of environmental efficiency than the other regions. Environmental efficiency is at a lower level in the central region, with similar levels in the other regions. Club convergence is more evident and it is evident that the economic and social efficiency output stage is the dominant stage of the overall eco-efficiency system.
A Gaussian kernel density function was used to estimate the resource-environmental efficiency of Chinese cities in 2003, 2008, 2013 and 2018, and a kernel density curve was generated (Figure 4) to reflect the overall evolutionary characteristics of urban resource-environmental efficiency. China’s urban resource efficiency is characterised by a significant single-peaked distribution, with the efficiency distribution concentrated around 0.6. With the increase in efficiency levels after 2014, the main peak shifted slightly to the right by 2018 and formed a lower peak distribution around 0.8 and 0.9, with a tendency for the single-peaked distribution to shift to a three-peaked distribution. This indicates a gradual increase in resource efficiency in China’s cities in recent years while evolving towards multipolarity. The environmental efficiency of Chinese cities shows an extremely strong club convergence. After 2003, there was a certain decline in environmental efficiency and an increase in club convergence, with a very high single-peaked distribution around an efficiency level of 0.52 in both 2008 and 2013. With the effective improvement in environmental efficiency after 2015, the single peak shifted to the right by 2018, with a significant decrease in peak height and some mitigation of club convergence, but still exhibiting a higher single peak distribution.

3.3. Spatial Correlation Characteristics and Evolution of Ecological (Resource-Environmental) Efficiency in Chinese Cities

The global Moran’s I indices for integrated ecological efficiency (EE), resource efficiency (EFF) and environmental efficiency (ENEFF) of Chinese cities from 2003 to 2018 were all greater than 0, and passed the significance level test of 10% and above in the vast majority of years (Table 1). This suggests that there is a significant spatial clustering effect in the spatial distribution of integrated ecological (resource-environmental) efficiency in Chinese cities.
On the whole, the pattern of spatial divergence in eco-efficiency and resource efficiency in Chinese cities is relatively similar, with a gradual decline in efficiency levels from coastal to inland, in a “core-periphery” pattern. The cities with high eco-efficiency and resource efficiency in China at the beginning of the study period are mainly located in the eastern coastal region. The Bohai rim, Yangtze River delta and Pearl River delta regions, with Beijing, Shanghai and Shenzhen as the core, is more distributed. In the northeast, only some cities in the plains have a high level of efficiency. In the central and western regions, there is a development trend from sporadic to the contiguous distribution of high-efficiency cities, especially in the Chengdu-Chongqing-Wuhan region, which is gradually evolving from “peripheral” to “core”.
Except for a few cities, the overall level of environmental efficiency varies relatively little. At the beginning of the study, most cities had low levels of environmental efficiency, with only a few cities such as Shenzhen, Sanya and Haikou having high levels of efficiency. In contrast, the environmental efficiency of some cities improved significantly after 2015. By the end of the study, cities such as Shenzhen, Shanghai and Changsha showed particularly significant improvements in environmental efficiency.
The Getis-Ord G i * index was used to further reveal the spatial correlation characteristics of ecological (resource-environmental) efficiency between cities (Figure 5). Overall, the distribution and evolution of urban eco-efficiency hotspots are dominated by resource efficiency and are influenced by the ‘superposition’ of the evolution of environmental efficiency patterns. The distribution of eco-efficient cold hotspots evolves from a stepped distribution to a ‘double-core’ distribution. Resource efficiency has developed into a ‘single-core’ distribution. The distribution of environmental efficiency hot and cold spots has shifted significantly, with some inland areas gradually forming a ‘core’ of hotspots.
In terms of hotspot areas, in 2003, China’s urban eco-efficiency hotspots were mainly located in concentrated contiguous areas in the Yangtze River delta to Pearl River delta regions. At the same time, there was also a small distribution in the Shandong peninsula and the Harbin-Changchun region. Secondary hotspots are mainly located around the hotspots, as well as in eastern Sichuan and Chongqing. From the Yangtze River delta to the Pearl River delta, there is a trend toward a narrowing of hotspot areas. In 2018, only Ningbo, Taizhou and Wenzhou remained in the hotspot zone, while most of the remaining cities shifted to the sub-hotspot and sub-cold spot zones. Meanwhile, most of Guangxi turned into a cold spot area. Only Daqing remains a hotspot area in the northeast. In contrast, the hotspot area in Shandong Peninsula gradually expands towards the Beijing-Tianjin-Hebei region. The Chengdu-Chongqing region and most of Hubei gradually shift from sub-hotspot and sub-cold spot areas to contiguous hotspot areas. The final spatial structure is a “dual-core” of the Bohai Sea rim—Chengdu, Chongqing and Hubei.
However, it is worth noting that resource efficiency only forms a stable hotspot “core” area in the Bohai Sea region. In the Chengdu-Chongqing-Hubei region, apart from Yichang and Jingmen, which form hotspot areas, only secondary hotspot contiguous areas are formed, and the core position is not very prominent. In 2003, environmental efficiency hotspots were only found in contiguous areas in Fujian and Guangdong provinces. Secondary hotspot areas are also only found in Zhejiang, Fujian and Guangdong, the Northeast Plain and Yunnan. On the one hand, there is a fluctuating contraction in the hotspot areas of Fujian and Guangdong. Chengdu, Chongqing and Hubei, on the other hand, gradually formed contiguous hotspot and sub-hotspot areas. The result is a spatial distribution pattern of “one main area and three secondary areas”. One main area is Chengdu, Chongqing and Hubei. Three secondary areas are the Pearl river delta, Beijing-Tianjin-Hebei and the Northeast Plain. In terms of cold spot areas, eco-efficient and resource-efficient cold spot areas existed in 2003 mainly in the Qilian Mountains, the Loess plateau, the Taihang Mountains and the Liaoning–Neimenggu border area in successive patches. It is also found in the central region at the border of Jiangxi and Hubei and in the lower reaches of the Yangtze River, with a trend towards a narrowing of the overall cold spot area. In 2018, only the Qilian Mountains and parts of the Loess Plateau cities remained. However, the north-eastern part of Heilongjiang and the Yunnan-Guizhou Plateau show a large distribution of clustered cold spot areas. The environmental efficiency of cold spot areas has been significantly reduced from the extensive coverage in 2003. By 2018, there was only a contiguous distribution in Jiangsu, Anhui, Jiangxi, the Yunnan-Guizhou plateau and the Loess plateau.

3.4. Spatial Econometric Analysis of Ecological (Resource-Environmental) Efficiency in Chinese Cities

According to previous studies, there is a significant spatial autocorrelation of ecological (resource-environmental) efficiency in Chinese cities, so a spatial econometric model was chosen for analysis. Ecological efficiency (EE), resource efficiency (EFF) and environmental efficiency (ENEFF) obtained from the two-stage model of the network were set as the main dependent variables. The data were first subjected to a unit root test and the Hadri LM test found a p-value of zero for all statistical variables, thus rejecting the hypothesis of the existence of a panel unit root. The variance inflation factor test then showed that each variable had a VIF value less than 10 and was able to be regressed econometrically. The LM test (Table 2) shows that a spatial Durbin model should be chosen for each regression model and both the Wald test and LR test results indicate that it cannot degenerate into a spatial error model or a spatial lag model. The Hausman test shows that both eco-efficiency and resource efficiency reject random effects. Environmental efficiency, on the other hand, rejects fixed effects, and the effects test shows that both eco-efficiency and resource efficiency are selected for the spatio-temporal double fixed effects model.
From the measurement results, the spatial autoregressive coefficients of eco-efficiency (EE), resource efficiency (EFF) and environmental efficiency (ENEFF) were 0.838, 0.858 and 0.661, respectively, and all passed the 1% significance level test. It shows that there is a significant positive spatial spillover effect for both urban ecological (resource-environmental) efficiency, with the strongest spatial spillover for resource efficiency. The spatial evolution of ecological (resource-environmental) efficiency in Chinese cities depends not only on changes in each city’s development conditions but is also directly related to changes in the external macro development environment. The spatial Durbin model regression coefficients render it difficult to accurately measure the full impact of the respective variables on the dependent variable and are therefore decomposed into direct and indirect effects (Table 3). The former reflects the impact of changes in the city’s explanatory variables on its own ecological (resource-environmental) efficiency. The latter reflects the impact of changes in the city’s explanatory variables on the ecological (resource-environmental) efficiency of neighbouring cities and is expressed as a spillover transmission effect of each influencing factor.
The direct effects of economic development (PGDP) and industrial structure (ST) on urban ecological (resource-environmental) efficiency are both positive and both are significant at the 1% confidence level. This indicates that there is some positive spillover effect of economic development on eco-efficiency and industrial structure on environmental efficiency. The rising level of economic development is a direct reflection of the continuous development of social productivity, while making people’s requirements for the quality of the living environment increase and promoting environmental pollution control, new energy development and the expansion of environmental industries. The upgrading of the industrial structure is accompanied by the innovation of production technologies and the improvement of the capacity to use natural resources and energy, especially the expansion of the tertiary sector, which can effectively improve the efficiency of economic development, reduce environmental pollution and promote the improvement of the ecological (resource-environmental) efficiency of the city. The spatial spillover from the upgrading of the city’s industrial structure has led to the transformation and upgrading of industries in the surrounding areas, especially the growth of the environmental protection industry, which has promoted the environmental efficiency of the surrounding cities.
The direct effects of financial development (FI) and informatization (INF) on the ecological (resource-environmental) efficiency of the city are both negative, and both are significant at the 10% and above confidence level. Financial development and informatisation play a key role in the effective circulation of capital and information elements in economic and social development activities, and the development of both has significant negative effects on the city’s efficiency enhancement, but at the same time have significant effects on the efficiency optimisation of neighbouring cities. The expansion of finance may, on the one hand, originate from a reduced appetite for local consumption and lead to reduced liquidity in local markets. On the other hand, it amplifies the profit-seeking nature of capital, with capital outflows making local economic activities less effective due to a large lack of necessary capital and reducing the flow of capital to the environmental sector. However, the efficient flow of capital elements facilitates the development of industries in the surrounding areas. Meanwhile, the indirect effects of financial development and informatization are both positive, except for the indirect effects of financial development on environmental efficiency and informatization on resource efficiency, which are not significant at the 10% confidence level and above. The increased level of informatization has led to an increase in the ability and efficiency of economic activities to obtain the necessary information, which may promote the over-concentration of factors such as labour in the city and lead to an outflow of production factors to the detriment of the optimisation of the city’s efficiency. However, the spatial spillover of the ability to disseminate information, especially as environmental awareness gradually becomes a consensus, is forcing the optimisation of environmental efficiency in neighbouring cities.
The direct effect of population density (PDEN) on urban eco-efficiency and environmental efficiency is positive and significant at a 5% confidence level and above, while the indirect effect on urban ecological (resource-environmental) efficiency is negative and significant at a 10% confidence level and above. Firstly, the concentration of population in the city has not been effective in improving the resource efficiency of the city. Population agglomeration may lead to an excessive concentration of human resources and result in wastage; at the same time, the loss of population from the surrounding areas, especially the loss of highly qualified labour, causes a reduction in the development capacity of the surrounding cities, resulting in a loss of resource efficiency. Secondly, the increase in urban population density requires cities to provide a higher level of living environment, making urban development more focused on improving the quality of the human living environment, forcing highly polluting industries to move to the surrounding areas, making the environmental efficiency of surrounding cities decrease. The direct effect of innovation capacity (IN) on urban eco-efficiency and resource efficiency is negative, and both are significant at the 1% confidence level, while none of its indirect effects are significant. In recent years, the innovation capacity of our cities has increased significantly, which has instead inhibited the improvement of resource efficiency in our cities. At the same time, the lack of support for environmental efficiency has led to a deterioration in eco-efficiency. The country has long been driven by traditional industry and consumed most of its innovation resources, with innovation output aimed more at increasing industrial production capacity. Higher industrial productivity drives excessive concentration of the means of production. In practice, it has not been conducive to resource efficiency.
The direct effects of infrastructure (IF) and marketisation (MAR) on urban ecological (resource-environmental) efficiency are both negative, except for the direct effect of marketisation on urban environmental efficiency, which is not significant, all significant at the 1% confidence level. The indirect effects of both on urban environmental efficiency are significantly negative, and the indirect effect of marketisation on urban resource efficiency is significantly negative. The development of transport infrastructure allows for the free circulation and efficient distribution of factors of production throughout society, while a high degree of marketisation provides the necessary environment for factor mobility and increases the possibilities of factor mobility. At present, however, it appears that higher levels of marketisation and the easy circulation of production factors have led to a significant deterioration in the region’s resource efficiency. Possible reasons for this are that factors of production tend to flow more towards more productive areas in an environment of easy circulation. This leads to an excessive concentration of production factors, leading to unhealthy competition and waste of resources, which is detrimental to productivity and creates greater environmental pressure on the surrounding cities.
The direct effects of foreign investment (FDI) on urban eco-efficiency and resource efficiency were both significant at the 5% confidence level and above. In addition, the direct and indirect effects of government finance (GOV) on urban ecological (resource-environmental) efficiency are not significant. Firstly, the results show that the “pollution paradise” hypothesis is not valid here. Investment is a key driver of our economic development and has made an important contribution to the economic development of our cities. However, as a long-term destination for international low-end manufacturing, the quality of foreign investment varies and is not effective in raising local efficiency levels. At the same time, strong government fiscal intervention in macroeconomic control and infrastructure development has likewise failed to effectively enhance efficiency. Secondly, the spatial spillover of industrial agglomeration, advanced technology and management concepts brought about by foreign investment has effectively driven industrial upgrading and technological progress in the surrounding areas, and to a certain extent promoted resource efficiency.

4. Discussion

4.1. General Characteristics

Based on the above empirical results, this paper argues that improving regional eco-efficiency should consider the internal variability of the system. Due to the difference in the level of basic economic development, the eco-efficiency level of Chinese cities, which is dominated by resource efficiency, has long been characterized by regional imbalance, so how to improve the overall resource efficiency level and reduce inter-regional differences is an important aspect. Along with the continued emphasis on the development of ecological civilisation in China, the policy measures introduced have gradually gained certain outcomes. Environmental efficiency, as the main shortcoming of poor ecological efficiency, has been improved to a certain extent in the long term balanced low level of development, especially in some areas to improve significantly, and the effect of ecological civilisation construction in a wider scope is yet to be seen.
The study found that the Gini coefficient of eco-efficiency in Chinese cities tends to fall before rising, with a clear tendency for efficiency differences to continue to widen. The basic pattern and evolution of resource efficiency levels are similar to that of eco-efficiency, with the evolution of eco-efficiency being dominated by resource efficiency. There is significant convergence in urban environmental efficiency levels, with the overall environmental efficiency level remaining low and stable over time, but with a certain upward trend towards the end of the study. The low level of environmental efficiency is the main reason for the low overall eco-efficiency of Chinese cities.

4.2. Implications of the Policy

The study found that in terms of direct effects, urban economic development and industrial structure have a significant positive effect on the eco-efficiency of the city. Therefore, we propose to continuously promote the optimisation and upgrading of industrial structure, establish an integrated regional industrial layout, avoid vicious competition in the industry and build a reasonable institutional system to promote industrial upgrading [45,46]. We also recommend preventing the phenomenon of “de-industrialisation”, promoting the development of modern service industries, and playing a greater role in building science and technology innovation, promoting the transformation and application of scientific and technological achievements and promoting the formation of a development model that promotes development through science and technology.
The study found that economic development, financial development, information technology and foreign investment all have positive spillover effects on urban eco-efficiency to varying degrees of significance. Therefore, it is important to expand the scale of green finance and improve the construction of the financial system by relying on the spillover benefits of key factors such as finance, information and foreign investment between regions. We should prevent the disorderly expansion of the financial scale, ensure the necessary liquidity in the market and play an important intermediary role of finance in economic activities [47,48]. We will increase the support of financial services to innovative and environmentally friendly enterprises, improve the level of information technology in the region [49], enhance regional information exchange capabilities, expand the scale of the introduction of quality foreign investment, and amplify the advantages of quality foreign investment in technology and management. Studies have shown that population density exhibits a significant negative spillover effect. Therefore, a more reasonable population policy should be formulated, starting with the household registration policy, to reasonably regulate population movement and avoid the loss of labour resources due to unreasonable population movement.

4.3. Systems Implication and Ecological Strategies

Cities are complex megasystems of economic, social and ecological systems. This paper examines two phases of urban ecosystems, namely resource inputs and environmental outputs, from the perspective of system efficiency. The massive investment of resources has on the one hand contributed to the rapid development of the city and on the other hand posed an environmental threat to its sustainable development. Based on the results of this study, we need to continuously improve the efficiency of resource use and reduce environmental pollution to achieve the improvement of urban eco-efficiency. The implementation of eco-city development strategy is the most effective way to achieve sustainable urban development [50,51].
The implementation of the eco-city strategy needs to be approached in the following ways. Ecological scarcity and system stability are fully considered in urban planning and policy development. Next, we should focus on building a conservation-oriented city, reducing energy and resource consumption, improving waste utilization and reducing carbon emissions. This is in addition to regulating and effectively handling municipal waste and improving management efficiency. In conclusion, starting with multiple subsystems of the urban system, such as planning, management, policy, energy saving and emission reduction, will have positive implications for the optimisation of its entire urban social-ecological system [52,53].

4.4. Strengths of the Model, Limitations and Future Directions of the Study

Most of the existing approaches [1,6,22,28,54,55] to eco-efficiency are based on the construction of a system of indicators that include ecological constraints to evaluate the overall eco-efficiency of the system, but they treat the eco-economic system as a ‘black box’, ignoring the fact that the system is actually composed of several sub-systems, and therefore cannot explain the specific reasons for the inefficiency of the decision-making units. In this study, we decompose urban eco-efficiency into resource efficiency and environmental efficiency based on a two-stage resource-environment system perspective and construct the Super-NEBM model, which can explain eco-efficiency in two dimensions, resource and environment, in stages, while at the same time can be seen as a whole to portray the trend of urban eco-efficiency.
There are, of course, certain limitations to this study. Firstly, when measuring efficiency, its indicator system must constitute an input–output relationship, otherwise the network two-stage DEA model is not applicable. Secondly, the object of study should ideally be a complete system with a close relationship between the whole and its parts and a clear logic, rather than a “black box”.
While this study has made some integration innovations in the model, there is much work to be performed in the future to improve it. For example, the deconstruction of eco-efficiency includes more than just resources and the environment, are there other aspects that can be considered? What are the factors influencing eco-efficiency that still need to be improved? Building a more universal analytical framework based on the types and characteristics of different cities will be the focus of future work.

5. Conclusions

Cities are complex social-ecological systems and it is essential to measure their systemic eco-efficiency and influencing factors. From 2003 to 2018, the eco-efficiency of Chinese cities showed a fluctuating upward trend, and the efficiency level was characterized by an “east-central/northeast-west” ladder distribution, with the overall eco-efficiency level consistently higher in the eastern region, followed by the central and northeast regions, and lower in the western region. There is significant spatial clustering of ecological (resource-environmental) efficiency in Chinese cities, with a significant “core-periphery” pattern and a similar spatial pattern of evolution of ecological efficiency and resource efficiency. The regression results of the spatial Durbin model show that there is a positive spatial spillover effect on urban ecological (resource-environmental) efficiency, with the strongest spillover effect on resource efficiency, and the impact of each driver on resource-environmental efficiency varies greatly, all having an impact on urban ecological efficiency in the form of different paths, different directions and different intensities of drivers. On the basis of sorting out existing eco-efficiency studies, this paper discusses eco-efficiency in Chinese cities based on a two-stage system perspective. Theoretically, it provides some theoretical support for the study of pathways to enhance the level of eco-efficiency in China and the implementation of eco-strategies. In practical terms, it enriches the current regional input-output research to a certain extent, and further reveals the basic pattern of urban eco-efficiency in China and its evolutionary characteristics.

Author Contributions

Conceptualization, H.M. and Y.Z.; methodology, K.L.; software, K.L.; validation, H.M., Y.Z. and Y.H.; formal analysis, H.M. and M.B.; investigation, H.M.; resources, H.M.; data curation, Y.H.; writing—original draft preparation, H.M., K.L., M.B. and Y.H.; writing—review and editing, H.M., K.L. and Y.H.; visualization, H.M.; supervision, Y.Z.; project administration, Y.Z.; funding acquisition, Y.Z. All authors have read and agreed to the published version of the manuscript.

Funding

This research was funded by the National Natural Science Foundation of China (Grant No. 41961043), Jiangxi Provincial Department of Education Graduate Innovation Fund Project (Grant No. YC2021-B059, YC2021-S230), Jiangxi Provincial Education Department Science and Technology Project (Grant No. GJJ200315), The Opening Fund of Key Laboratory of Poyang Lake Wetland and Watershed Research (Jiangxi Normal University), Ministry of Education (Grant No. PK2020006).

Institutional Review Board Statement

Not applicable.

Informed Consent Statement

Not applicable.

Data Availability Statement

This study used China Urban Statistics Yearbook and map data. The statistics can be found here: http://www.stats.gov.cn (accessed on 1 December 2021). The map data is based on the standard map with the review number GS (2020) 4619 downloaded from the standard map service website of the National Bureau of Surveying, Mapping and Geographic Information, and the base map is unmodified (http://bzdt.ch.mnr.gov.cn, accessed on 1 December 2021).

Conflicts of Interest

The authors declare no conflict of interest.

References

  1. Huang, J.; Yang, X.; Cheng, G.; Wang, S. A comprehensive eco-efficiency model and dynamics of regional eco-efficiency in China. J. Clean. Prod. 2014, 67, 228–238. [Google Scholar] [CrossRef]
  2. Flahert, M.; Gevorkyan, A.; Radpour, S.; Sr, W. Financing Climate Policies through Climate Bonds–A Three Stage Model and Empirics. Res. Int. Bus. Financ. 2016, 42, 468–479. [Google Scholar] [CrossRef]
  3. Schaltegger, S.; Sturm, A. Ökologische rationalität: Ansatzpunkte zur ausgestaltung von ökologieorientierten managementinstrumenten. Unternehmung 1990, 44, 273–290. [Google Scholar]
  4. World Business Council for Sustainable Development. Eco-Efficient Leadership for Improved Economic and Environmental Performance; World Business Council for Sustainable Development: Geneva, Switzerland, 1996. [Google Scholar]
  5. Organization for Economic Cooperation and Development. OECD Eco-Efficiency; OECD: Paris, France, 1998. [Google Scholar]
  6. Ma, Y.; Tong, Y.; Ren, J. Calculation and robustness test of county-scale ecological efficiency based on multi-source remote sensing data: Taking the urban agglomeration in the middle reaches of Yangtze River as an example. J. Nat. Resour. 2019, 34, 1196–1208. (In Chinese) [Google Scholar]
  7. Ekins, P. ‘Limits to growth’ and sustainable development’: Grappling with ecological realities. Ecol. Econ. 1993, 8, 269–288. [Google Scholar] [CrossRef]
  8. Jebaraj, S.; Iniyan, S. A review of energy models. Renew. Sustain. Energy Rev. 2006, 10, 281–311. [Google Scholar] [CrossRef]
  9. Zhou, P.; Ang, B.W.; Poh, K.L. A survey of data envelopment analysis in energy and environmental studies. Eur. J. Oper. Res. 2008, 189(1), 1–8. [Google Scholar] [CrossRef]
  10. He, P.; Hua, Z. Compensation analysis with additive DEA model. Kybernetes 2008, 37, 1331–1338. [Google Scholar] [CrossRef]
  11. Wu, D.; Wu, D.D. Performance evaluation and risk analysis of online banking service. Kybernetes 2010, 39, 723–734. [Google Scholar] [CrossRef]
  12. Song, M.; An, Q.; Zhang, W.; Wang, Z.; Wu, J. Environmental efficiency evaluation based on data envelopment analysis: A review. Renew. Sustain. Energy Rev. 2012, 167, 4465–4469. [Google Scholar] [CrossRef]
  13. Moutinho, V.; Madaleno, M. Assessing eco-efficiency in Asian and African countries using Stochastic Frontier Analysis. Energies 2021, 14, 1168. [Google Scholar] [CrossRef]
  14. Kumar Mandal, S.; Madheswaran, S. Environmental efficiency of the Indian cement industry: An interstate analysis. Energy Policy 2010, 38, 1108–1118. [Google Scholar] [CrossRef]
  15. Ciocoiu, C.N. Integrating digital economy and green economy: Opportunities for sustainable development. Theor. Empir. Res. Urban Manag. 2011, 6, 33–43. [Google Scholar]
  16. Cicea, C.; Marinescu, C.; Popa, I.; Dobrin, C. Environmental efficiency of investments in renewable energy: Comparative analysis at macroeconomic level. Renew. Sustain. Energy Rev. 2014, 30, 555–564. [Google Scholar] [CrossRef]
  17. Kulak, M.; Nemecek, T.; Frossard, E.; Gaillard, G. How eco-efficient are low-input cropping systems in Western Europe, and what can be done to improve their eco-efficiency? Sustainability 2013, 5, 3722–3743. [Google Scholar] [CrossRef]
  18. Gössling, S.; Peeters, P.; Ceron, J.P.; Dubois, G.; Patterson, T.; Richardson, R.B. The eco-efficiency of tourism. Ecol. Econ. 2005, 54, 417–434. [Google Scholar] [CrossRef]
  19. Van Caneghem, J.; Block, C.; Cramm, P.; Mortier, R.; Vandecasteele, C. Improving eco-efficiency in the steel industry: The ArcelorMittal Gent case. J. Clean. Prod. 2010, 18, 807–814. [Google Scholar] [CrossRef]
  20. Keating, B.A.; Carberry, P.S.; Bindraban, P.S.; Asseng, S.; Meinke, H.; Dixon, J. Eco-efficient agriculture: Concepts, challenges, and opportunities. Crop Sci. 2010, 50, S109–S119. [Google Scholar] [CrossRef]
  21. Sinkin, C.; Wright, C.J.; Burnett, R.D. Eco-efficiency and firm value. J. Account. Public Policy 2008, 27, 167–176. [Google Scholar] [CrossRef]
  22. Li, H.; Fang, K.; Yang, W.; Wang, D.; Hong, X. Regional environmental efficiency evaluation in China: Analysis based on the Super-SBM model with undesirable outputs. Math. Comput. Model. 2013, 58, 1018–1031. [Google Scholar] [CrossRef]
  23. Dyckhoff, H.; Allen, K. Measuring ecological efficiency with data envelopment analysis (DEA). Eur. J. Oper. Res. 2001, 132, 312–325. [Google Scholar] [CrossRef]
  24. Xu, X.; Cui, Q. Evaluating airline energy efficiency: An integrated approach with Network Epsilon-based Measure and Network Slacks-based Measure. Energy 2017, 122, 274–286. [Google Scholar] [CrossRef]
  25. Zhang, Z.; Ou, G.; Elshkaki, A.; Liu, R. Evaluation of Regional Carrying Capacity under Economic-Social-Resource-Environment Complex System: A Case Study of the Yangtze River Economic Belt. Sustainability 2022, 14, 7117. [Google Scholar] [CrossRef]
  26. Su, Y.; Li, Z.; Yang, C. Spatial interaction spillover effects between digital financial technology and urban ecological efficiency in China: An empirical study based on spatial simultaneous equations. Int. J. Environ. Res. Public Health 2021, 18, 8535. [Google Scholar] [CrossRef]
  27. Li, L.; Pan, C.; Ling, S.; Li, M. Ecological efficiency of urban industrial land in metropolitan areas: Evidence from China. Land 2022, 11, 104. [Google Scholar] [CrossRef]
  28. Zhang, X.; Wang, G.; Wang, Y. Spatial-temporal differences of provincial eco-efficiency in China based on matrix-type network DEA. Econ. Geogr. 2014, 34, 153–160. (In Chinese) [Google Scholar]
  29. Zhang, J.; Yang, J.; Cui, H. Research on the regional ecological efficiency evaluation based on the network DEA model in China. Soft Sci. 2016, 30, 15–19. (In Chinese) [Google Scholar]
  30. Kang, L.; Song, Z. Research framework and empirical study of input-output efficiency of resources and environment in China. Sci. Geogr. Sin. 2020, 40, 1868–1877. (In Chinese) [Google Scholar]
  31. Du, Y.; Wu, C.; Deng, M. Government competition, market segmentation and green development efficiency of the Yangtze River Economic Belt. China Soft Sci. 2020, 12, 84–93. (In Chinese) [Google Scholar]
  32. Yan, X.; Tu, J. The spatio-temporal evolution and driving factors of eco-efficiency of resource-based cities in the Yellow River Basin. J. Nat. Resour. 2021, 36, 223–239. (In Chinese) [Google Scholar] [CrossRef]
  33. Zhang, J.; Wu, G.; Zhang, J. The estimation of China’s provincial capital stock: 1952–2000. Econ. Res. 2004, 10, 35–44. (In Chinese) [Google Scholar]
  34. Young, A. Gold into base metals: Productivity growth in the People’s Republic of China during the Reform Period. J. Political Econ. 2003, 111, 1220–1261. [Google Scholar] [CrossRef]
  35. Ren, M.; Wang, X.; Liu, L.; Sun, F.; Zhang, W. Spatio-temporal change and influencing factors of environmental regulation in China’s coastal urban agglomerations. Sci. Geogr. Sin. 2019, 39, 1119–1128. (In Chinese) [Google Scholar]
  36. Zhao, L.; Liu, Y.X.; Cao, N.G. Spatiotemporal pattern and spillover effects of inclusive green efficiency in China. Prog. Geogr. 2021, 40, 382–396. (In Chinese) [Google Scholar] [CrossRef]
  37. Li, X.; Bai, Y.; Deng, F. Research on regional innovation and industrial structure optimization based on two stages of innovation. Sci. Technol. Manag. Res. 2018, 38, 103–111. (In Chinese) [Google Scholar]
  38. Tone, K.; Tsutsui, M. An epsilon-based measure of efficiency in DEA–a third pole of technical efficiency. Eur. J. Oper. Res. 2010, 207, 1554–1563. [Google Scholar] [CrossRef]
  39. Zhang, L.; Ma, X.; Ock, Y.S.; Qing, L. Research on regional differences and influencing factors of Chinese industrial green technology innovation efficiency based on dagum gini coefficient decomposition. Land 2022, 11, 122. [Google Scholar] [CrossRef]
  40. Terrell, G.R.; Scott, D.W. Variable kernel density estimation. Ann. Stat. 1992, 1236–1265. [Google Scholar] [CrossRef]
  41. Botev, Z.I.; Grotowski, J.F.; Kroese, D.P. Kernel density estimation via diffusion. Ann. Stat. 2010, 38, 2916–2957. [Google Scholar] [CrossRef]
  42. Tiefelsdorf, M.; Boots, B. The exact distribution of Moran’s I. Environ. Plan. A 1995, 27, 985–999. [Google Scholar] [CrossRef]
  43. Songchitruksa, P.; Zeng, X. Getis–Ord spatial statistics to identify hot spots by using incident management data. Transp. Res. Rec. 2010, 2165, 42–51. [Google Scholar] [CrossRef]
  44. Elhorst, J.P. Matlab software for spatial panels. Int. Reg. Sci. Rev. 2014, 37, 389–405. [Google Scholar] [CrossRef]
  45. Yu, X.; Wang, P. Economic effects analysis of environmental regulation policy in the process of industrial structure upgrading: Evidence from Chinese provincial panel data. Sci. Total Environ. 2021, 753, 142004. [Google Scholar] [CrossRef] [PubMed]
  46. Ru, P.; Zhi, Q.; Zhang, F.; Zhong, X.; Li, J.; Su, J. Behind the development of technology: The transition of innovation modes in China’s wind turbine manufacturing industry. Energy Policy 2012, 43, 58–69. [Google Scholar] [CrossRef]
  47. Shen, Y.; Su, Z.W.; Malik, M.Y.; Umar, M.; Khan, Z.; Khan, M. Does green investment, financial development and natural resources rent limit carbon emissions? A provincial panel analysis of China. Sci. Total Environ. 2021, 755, 142538. [Google Scholar] [CrossRef]
  48. Huang, Y.; Wang, X. Building an efficient financial system in China: A need for stronger market discipline. Asian Econ. Policy Rev. 2017, 12, 188–205. [Google Scholar] [CrossRef]
  49. Chun, H.; Kim, J.W.; Lee, J. How does information technology improve aggregate productivity? A new channel of productivity dispersion and reallocation. Res. Policy 2015, 44, 999–1016. [Google Scholar] [CrossRef]
  50. Dou, X.; Li, S.; Wang, J. Ecological strategy of city sustainable development. APCBEE Procedia 2013, 5, 429–434. [Google Scholar] [CrossRef]
  51. Loučanová, E.; Olšiaková, M.; Štofková, J. Open Business Model of Eco-Innovation for Sustainability Development: Implications for the Open-Innovation Dynamics of Slovakia. J. Open Innov. Technol. Mark. Complex. 2022, 8, 98. [Google Scholar] [CrossRef]
  52. Dou, X. Low carbon-economy development: China’s pattern and policy selection. Energy Policy 2013, 63, 1013–1020. [Google Scholar] [CrossRef]
  53. Loučanová, E.; Šupín, M.; Čorejová, T.; Repková-Štofková, K.; Šupínová, M.; Štofková, Z.; Olšiaková, M. Sustainability and branding: An integrated perspective of eco-innovation and brand. Sustainability 2021, 13, 732. [Google Scholar] [CrossRef]
  54. Li, Q.; Liang, L.; Wang, Z. Spatiotemporal Differentiation and the Factors Influencing Eco-efficiency in China. J. Resour. Ecol. 2021, 12, 155–164. [Google Scholar]
  55. Huo, H.; Liu, H.; Bao, X.; Cui, W. Eco-Efficiency Assessment of Beijing-Tianjin-Hebei Urban Agglomeration Based on Emergy Analysis and Two-Layer System Dynamics. Systems 2022, 10, 61. [Google Scholar] [CrossRef]
Figure 1. Schematic diagram of network two-stage DEA model.
Figure 1. Schematic diagram of network two-stage DEA model.
Systems 10 00217 g001
Figure 2. Timeseries evolution of urban eco-efficiency and its spatial variation in China, 2003–2018. (a) refers to ecological efficiency; (b) refers to Gini coefficient in regions; (c) refers to Gini coefficient between regions; (d) refers to differential contribution.
Figure 2. Timeseries evolution of urban eco-efficiency and its spatial variation in China, 2003–2018. (a) refers to ecological efficiency; (b) refers to Gini coefficient in regions; (c) refers to Gini coefficient between regions; (d) refers to differential contribution.
Systems 10 00217 g002
Figure 3. Urban resource-environmental efficiency.
Figure 3. Urban resource-environmental efficiency.
Systems 10 00217 g003
Figure 4. Kernel density curves for urban resource-environmental efficiency.
Figure 4. Kernel density curves for urban resource-environmental efficiency.
Systems 10 00217 g004
Figure 5. Evolution of ecological (resource-environmental) efficiency cold hotspots in Chinese cities. Subfigures (ac) refer to ecological efficiency, resource efficiency and environmental efficiency respectively. 2003 and 2008 represent two different years.
Figure 5. Evolution of ecological (resource-environmental) efficiency cold hotspots in Chinese cities. Subfigures (ac) refer to ecological efficiency, resource efficiency and environmental efficiency respectively. 2003 and 2008 represent two different years.
Systems 10 00217 g005
Table 1. Global Moran’s I index of ecological (resource-environmental) efficiency in Chinese cities.
Table 1. Global Moran’s I index of ecological (resource-environmental) efficiency in Chinese cities.
Year200320062009201220152018
EEMoran’I 0.0530.0190.0280.0310.0390.036
p-value0.0000.0000.0000.0000.0000.000
EFF Moran’I0.0730.0370.0380.0380.0490.056
p-value0.0000.0000.0000.0000.0000.000
ENEFFMoran’I0.0290.0070.0110.0130.0050.008
p-value 0.0000.0070.0020.0000.0370.011
Table 2. Test of applicability of spatial econometric model of urban ecological (resource-environmental) efficiency.
Table 2. Test of applicability of spatial econometric model of urban ecological (resource-environmental) efficiency.
TestEEEFFENEFF
LM-No error597.758 ***328.268 ***1598.018 ***
LM-No error(robust)536.978 ***265.319 ***1500.950 ***
LM-No lag85.205 ***66.917 ***227.895 ***
LM-No lag(robust)24.425 ***3.968 **130.827 ***
Wald_spatial_lag30.51 ***22.72 **24.48 ***
Wald_spatial_error26.01 ***18.84 **24.92 ***
LR_spatial_lag112.74 ***86.64 ***75.25 ***
LR_spatial_error93.91 ***69.05 ***71.52 ***
Note: ***, ** indicate plausible at 1%, 5% level of significance, respectively.
Table 3. Spatial Durbin model effects of urban ecological (resource-environmental) efficiency.
Table 3. Spatial Durbin model effects of urban ecological (resource-environmental) efficiency.
Explanatory
Variables
EEEFFENEFF
Direct EffectIndirect EffectsTotal EffectDirect EffectIndirect EffectsTotal EffectDirect EffectIndirect EffectsTotal Effect
PGDP0.197 ***
(9.86)
2.291 *
(1.73)
2.488 *
(1.88)
0.140 ***
(8.01)
1.702
(1.34)
1.843
(1.45)
0.055 ***
(8.98)
−0.131
(−1.12)
−0.076
(−0.66)
ST0.667 ***
(5.85)
11.749
(1.24)
12.416
(1.31)
0.511 ***
(5.08)
7.786
(0.83)
8.297
(0.89)
0.155 ***
(3.93)
1.676 **
(2.32)
1.832 **
(2.54)
FI−0.144 ***
(−7.38)
5.099 ***
(2.96)
4.955 **
(2.87)
−0.121 ***
(−7.04)
4.861 ***
(2.86)
4.740 ***
(2.79)
−0.011 *
(−1.77)
−0.063
(0.87)
−0.074
(−1.03)
GOV0.004
(0.28)
1.203
(1.03)
1.207
(1.04)
0.010
(0.74)
0.476
(0.42)
0.486
(0.43)
−0.005
(−0.88)
−0.085
(−1.47)
−0.081
(−1.40)
PDEN0.113 **
(2.14)
−7.382 **
(−2.40)
−7.269 **
(−2.36)
0.016
(0.34)
−4.437 *
(−1.65)
−4.421 *
(−1.65)
0.018 ***
(3.46)
−0.290 ***
(−2.91)
−0.272 ***
(−2.78)
IN−0.038 ***
(−6.22)
−0.035
(−0.15)
−0.073
(−0.30)
−0.036 ***
(−6.85)
−0.030
(−0.12)
−0.067
(−0.27)
−0.001
(−0.59)
−0.015
(−0.56)
−0.016
(−0.61)
IF−0.085 ***
(−7.99)
−1.923
(−1.59)
−2.008 *
(−1.66)
−0.063 ***
(−6.66)
−1.208
(−1.07)
−1.271
(−1.12)
−0.020 ***
(−7.01)
−0.318 ***
(−3.21)
−0.339 ***
(−3.41)
MAR−0.174 ***
(−16.54)
−2.262 *
(−1.94)
−2.436 **
(−2.09)
−0.168 ***
(−17.76)
−1.100
(−1.04)
−1.267
(−1.20)
−0.001
(−0.42)
−0.084
(−0.92)
−0.086
(−0.93)
INF−0.026 ***
(−4.01)
1.075 **
(2.03)
1.049 **
(1.98)
−0.017 ***
(−2.91)
0.749
(1.52)
0.732
(1.48)
−0.011 ***
(−4.67)
0.200 ***
(3.97)
0.189 ***
(3.75)
FDI0.002
(0.79)
0.787 ***
(2.95)
0.789 ***
(2.95)
0.001
(0.29)
0.783 ***
(2.91)
0.784 ***
(2.90)
0.001
(0.83)
0.019
(0.94)
0.020
(0.99)
Note: ***, **, * indicate plausible at 1%, 5%, 10% level of significance, respectively.
Publisher’s Note: MDPI stays neutral with regard to jurisdictional claims in published maps and institutional affiliations.

Share and Cite

MDPI and ACS Style

Ma, H.; Han, Y.; Lv, K.; Bi, M.; Zhong, Y. Urban Eco-Efficiency and Its Influencing Factors in China Based on the Two-Stage Super-NEBM Model. Systems 2022, 10, 217. https://doi.org/10.3390/systems10060217

AMA Style

Ma H, Han Y, Lv K, Bi M, Zhong Y. Urban Eco-Efficiency and Its Influencing Factors in China Based on the Two-Stage Super-NEBM Model. Systems. 2022; 10(6):217. https://doi.org/10.3390/systems10060217

Chicago/Turabian Style

Ma, Hongzhi, Yutong Han, Keke Lv, Manyu Bi, and Yexi Zhong. 2022. "Urban Eco-Efficiency and Its Influencing Factors in China Based on the Two-Stage Super-NEBM Model" Systems 10, no. 6: 217. https://doi.org/10.3390/systems10060217

APA Style

Ma, H., Han, Y., Lv, K., Bi, M., & Zhong, Y. (2022). Urban Eco-Efficiency and Its Influencing Factors in China Based on the Two-Stage Super-NEBM Model. Systems, 10(6), 217. https://doi.org/10.3390/systems10060217

Note that from the first issue of 2016, this journal uses article numbers instead of page numbers. See further details here.

Article Metrics

Back to TopTop