Next Article in Journal
Application of Augmented Reality for Learning Material Structures and Chemical Equilibrium in High School Chemistry
Previous Article in Journal
A Novel Air Pollutant Concentration Prediction System Based on Decomposition-Ensemble Mode and Multi-Objective Optimization for Environmental System Management
 
 
Font Type:
Arial Georgia Verdana
Font Size:
Aa Aa Aa
Line Spacing:
Column Width:
Background:
Article

Management and Control of Enterprise Negative Network Public Opinion Dissemination Based on the Multi-Stakeholder Game Mechanism in China

1
School of Business Administration, Zhejiang Gongshang University, Hangzhou 310018, China
2
School of Statistics and Mathematics, Zhejiang Gongshang University, Hanghzou 310018, China
3
Department of Computer Science and Information Systems, University of North Georgia, Oakwood, GA 30566, USA
4
College of International Education, Zhejiang Gongshang University, Hangzhou 310018, China
*
Author to whom correspondence should be addressed.
Systems 2022, 10(5), 140; https://doi.org/10.3390/systems10050140
Submission received: 26 July 2022 / Revised: 23 August 2022 / Accepted: 1 September 2022 / Published: 5 September 2022
(This article belongs to the Section Systems Practice in Social Science)

Abstract

:
With the rapid growth of Chinese social network users, the open yet anonymous cyberspace makes the Chinese public more inclined to express their feelings and opinions freely on the Internet, and thus generate opinions that are not conducive to the survival and development of Chinese enterprises, i.e., enterprise negative network public opinion. Based on this, this paper takes a Chinese enterprise’s negative network public opinion as the research object. First, our research identifies the stakeholders involved in the dissemination process of public opinion information. Secondly, we model the decision-making behaviors of stakeholders in different stages to obtain the evolutionarily stable strategy. After that, the simulation experiment is conducted to analyze the key points of enterprise strategy adjustment in different stages of negative network public opinion dissemination. The experimental results show that: (1) In its formation stage, opinion leaders usually do not participate in the event, and thus enterprises need to focus on the active ordinary Internet users; (2) In its development stage, if an enterprise wants to reduce the loss caused by negative events, it needs to make use of online media to give corresponding positive guidance; (3) In its control stage, enterprises should take corresponding legal measures to netizens who make improper remarks on the Internet, increase the risk cost of these netizens group, and cooperate with the government’s control work to guide the negative public opinion to turn in a beneficial direction. Finally, the rationality and effectiveness of the proposed model are verified using a practical case.

1. Introduction

Driven by the role of the market, along with the development of the socialist market economy with Chinese characteristics, economic and material benefits have become the main driving force for people’s production and life. Once companies producing and selling products that are closely related to people’s lives get into trouble, they will become a hotspot of public opinion [1]. In China, the strategic thinking of enterprise and national economic development, the decision-making of reform and development, and the benefits of social production are closely related [2]. According to Media Group’s data, under the new media trend, corporate network public opinion presents new characteristics such as suddenness, uncontrollability, and rapid fermentation. Since 2018, nearly 40% of companies have encountered public opinion crises [3]. The most common negative public opinion incidents companies face include product services, corporate management, corporate operations, and public safety. For example, the KFC “Sudan Red” incident in 2018, the violent layoffs of NetEase in 2019, and the suspension of the listing of Ant Group in 2020 were all typical. The formation, development, and disappearance of such incidents are spread through the Internet, involving consumers, netizens, media, government, and other stakeholders, and eventually forming a hotspot of negative corporate public opinion under the network environment, which has been widely received. The attention of non-enterprise users and competitors, in turn, arouses user resonance and competitor’s forwarding and sharing. At this time, if any incident is not handled properly, it will not only become harmful to related companies and society but also affect the marketing of the company’s products and even directly lead to the collapse of the company. Based on this, grasping the law of formation and dissemination of enterprise negative online public opinion, judging the development status of public opinion accurately and participating stakeholders at different stages, establishing effective public opinion response strategies, and enhancing the enterprise’s ability to respond to public opinion crises have important theoretical value and practical significance.
At present, most of the academic research on enterprise negative network public opinion focuses on the analysis of the law of public opinion dissemination [1,2,3,4,5] and enterprise public opinion crisis management [6]. Case analysis [7] and system dynamics [8] are adopted to conduct qualitative analysis of the occurrence of this phenomenon, and quantitative research is used through modeling and simulation. However, qualitative methods are mostly based on personal experience to analyze the causes, dissemination characteristics, and coping strategies of companies’ negative network public opinions, which are subjective. However, quantitative methods mainly use mathematical modeling [9] and other technical means to explore and predict the dissemination and evolution process rule of enterprise negative network public opinion, which is a sort of research on the dissemination process of public opinion from the perspective of multi-party conflict evolution game behavior in the network. In fact, taking the negative public opinion incidents of the company’s products or quality as an example, once the company’s negative network public opinion information continues to spread and ferment on the Internet, it will inevitably have a certain impact on the company’s production and operation activities. This is because, with the development of the mobile Internet, various mobile social application-based services emerge in an endless stream. Mobile social networks represented by WeChat and Weibo have become the first choice for netizens to disseminate information and communicate with each other because of their immediacy and convenience of services [10]. The introduction of this new technology or service has fundamentally changed the social lifestyle of netizens [11]. However, there are potential negative effects of social media use; for example, online social media use may reduce self-control and encourage indulgent behavior in individuals, thereby abusing their informational advantages to engage in unethical dealings, especially with influencers [12]. At this time, in order to prevent negative public opinion from evolving into a mass incident and further resulting in an uncontrollable situation, the company must consider the pros and cons of each subject while dealing with negative public opinion. Moreover, the company must alleviate the conflicts between the subjects and ensure the maximum benefits and minimum loss of the enterprise as possible. To sum up, this paper takes enterprise negative network public opinion as the research object, combines the development process of public opinion with the characteristics of network public opinion, and draws on the method of study [13] to construct a three-stage network public opinion dissemination process that covers formation, development, and control. Based on interest stakeholder theory and evolutionary game theory, this paper discusses the main strategic choices involved in enterprise negative network public opinion and finds the key points of interest for an enterprise to control negative network public opinion.
The structure of the paper is as follows: Section 2 is a literature review; Section 3 describes the scientific issues and research framework involved in this paper; Section 4 analyzes the multi-stakeholder game process in the process of the dissemination of enterprise negative network public opinion; Section 5 discusses evolution strategies of different stakeholders through system simulation technology based on the formation, development, and control process of negative network public opinion; Section 6 verifies the proposed model through examples; Section 7 is a summary of the full text.

2. Literature Review

Negative network public opinion refers to the sum of emotions and opinions that are caused by products, services, or other related crisis events and spread through the Internet via stakeholders [14]. Once it appears, it will arouse the attention of a large number of netizens in a short period, resulting in serious damage to the corporate image and huge losses to its interests. Therefore, many scholars have carried out extensive and in-depth research on negative public opinion. At present, the research on the negative public opinion of enterprises mainly focuses on two aspects: The study of the dissemination of negative public opinion and research on the intervention and guidance mechanism of negative public opinion.
The research on the dissemination of enterprise negative network public opinion mainly focuses on the cause, evolution path, monitoring, and early warning. The typical results include: Gang and Qi [9] studied the communication process of enterprise Internet public opinion based on Web2.0 and analyzed the impact of media, enterprises, and netizens on the communication process of online public opinion. He [15] put forward strategies to improve the enterprise network public opinion mechanism by analyzing the relationship between the factors affecting the spread based on system dynamics theory. Yao [16] analyzed the connotation, evolution subject, communication method, and evolution process of the network public opinion on corporate crisis events in the information stage. Yao also studied how modern enterprises correctly handle the impact of crisis events on the dissemination of network public opinion, as well as strategies that can be used as a reference for corporate decision-making. Bodendod and Kaiser [17] studied how to mine opinion leaders in social networks and established a complete network public opinion monitoring system to quickly identify key nodes in the spread of network public opinion. Chen et al. [18] dynamically and continuously analyzed and predicted the spread of network public opinion based on chaos theory. Kyungmo et al. [19] believed that there is a certain relationship between network information dissemination and public social opinion and used social network analysis methods to study the distribution of network public opinion. In addition, some scholars combined complex network theory, mathematical modeling, and computer simulation technology to conduct interdisciplinary research on the evolution of corporate negative network public opinion. Katarzyna et al. [20] simplified the public opinion dissemination process based on Sznajd’s model, using data analysis to quantify changes in public opinion. He et al. [21], based on a BA scale-free network, constructed an adaptive public opinion evolution model, which showed that the evolution of public opinion was not only restricted by the network topology but also led by changes in the topology. Zhang et al. [22] studied the influence of topology structure on network macro public opinion. Finding that the adequate exchange of views was conducive to the unification of macro public opinion. Reducing the degree of connection between individuals and strengthening the heterogeneity of the network would increase the possibility of polarization or fragmentation of macro public opinion. Li and He [23] applied the complex network method to their study and found that in the process of public opinion development, the network topology changes from a stable spherical shape to a radial link state. Wang and Sun [24] explored the topology and propagation laws of public opinion dissemination networks and identified and summarized the structural characteristics of key nodes in the public opinion dissemination network. It was helpful to control public opinion from the source and increase the government’s ability to manage network public opinion in emergencies. Du and Ma [25] chose the interaction idea of the Deffuant model to reconstruct the topology of the directed weighted network. The research showed that opinion leaders play a key role in the evolution of group opinions and have a great influence on the aggregation speed of group opinions. The above-mentioned documents mainly involve the dissemination rules, influencing factors, management and control strategies of enterprise network public opinion, etc. The main research objects are the manifestations of the different stages of enterprise network public opinion dissemination, but the dissemination process is analyzed from the multi-party conflict evolution game behavior under an enterprise network public opinion event. Therefore, this paper introduces multi-party dynamic game analysis of the network and constructs a main body game model for different stages of the enterprise negative network public opinion communication process.
The research on the intervention and guidance mechanism of enterprise negative network public opinion mainly adopts system dynamics, case analysis, and text mining. For example, Zhang [26] established an evaluation index system for enterprise network public opinion crisis response and used the analytic hierarchy process to determine the index system and weights. The study found that the evaluation index system played a guiding role in enterprise network public opinion crisis response. Lin and Guo [27] used the principle of system dynamics to explore the influence of emotional distance, information risk perception, corporate image, and corporate public opinion event processing effects on the spread of enterprise network public opinion and proposed their prevention and control countermeasures. Wu et al. [28] studied the changes in network public opinion after the explosion of S mobile phones through emotion analysis and keyword analysis and analyzed the factors that affect the changes in network public opinion by constructing a regression model. Bernoff et al. [29] used case analysis to verify that companies can understand and manage public opinion through communication, technology, and service provision. Veil [30] proposed the application of social media for risk and crisis management and verified that it is effective in assisting enterprise management. On the basis of national public relations, David [31] proposed methods of identifying crises and rules of crisis management and listed the specific steps of managing a crisis. Song [32] mentioned that when the government was unable to handle a crisis sensitively due to the sudden nature of it and the regularity of its own administrative behavior, platform enterprises could serve as a multilateral platform connecting the government and citizens. They could not only use information resources to match supply and demand but also use public opinion to increase citizens’ enthusiasm for participating in crisis management. Fu [33], based on the study of life cycle theory, found that the traditional public opinion monitoring system sets a threshold based on the actual situation of public opinion. When this predetermined threshold was exceeded, a public opinion warning signal was issued. Chen et al. [34] used the entropy weight TOPSIS method to construct an evaluation index of the response level of enterprises’ negative network public opinion from three dimensions: crisis warning degree, corporate response situation, and corporate response effect. The results showed that state-owned enterprises had the best response effect, followed by private enterprises and foreign-funded enterprises last. Liu [35], based on the theory of bipolar communication, with perceived information quality as the mediating variable and information involvement as the moderating variable, explored the dissemination mechanism of corporate negative network public opinion. The research showed that the integrity of information, the clarity of content, and the professionalism and popularity of opinion leaders would positively affect the perceived quality of information, which, in turn, affected the audience’s willingness to re-disseminate. The above-mentioned literature mainly adopts qualitative analysis of the intervention and guidance mechanism of the negative public opinion of the company. In turn, the literature research is either based on the personal experience of the researcher or based on the summary of handling the negative public opinion of the company in the past so as to improve the management system of the negative public opinion. Apparently, its conclusions are highly subjective and lack quantitative analysis of public opinion. Therefore, how to combine qualitative and quantitative analysis methods requires further research.
To sum up, most of the current research on enterprise negative network public opinion uses system dynamics or case analysis to study how to improve the ability of companies to respond to public opinion. The public opinion subjects involved in the network public opinion dissemination model constructed by most scholars are not adjusted based on dissemination at different stages of the system, which is more general. From the perspective of stakeholder theory and the life cycle theory of network public opinion communication, this paper studies the evolutionary game process between stakeholders of public opinion events and the selection of strategies for maximizing the interests of different stakeholders. Finally, it proposes a strategy to handle negative online public opinions in order to improve the overall competitiveness of the enterprise.

3. Research Framework

The problem of enterprise negative network public opinion includes the features of diverse sources, quick spread, and broad harm. On the other hand, it tests the leadership and resilience of enterprise administrations. With the popularity of netizens, network public opinion has become more and more harmful to enterprises, and the public’s trust in companies that have negative public opinions has declined. Therefore, how to deal with the crisis of enterprise negative network public opinions is essential for the survival and development of enterprises. Further, is it possible that companies obtain a steady stream of benefits and improve their own comprehensive competitiveness only in a good environment?
In order to analyze the stakeholder game mechanism involved in the dissemination of enterprise negative network public opinion, the research framework constructed in this paper is shown in Figure 1: First, the negative public opinion events of well-known companies are described; the theoretical basis of this paper is interest-related. The life cycle theory of the evolution of stakeholders and public opinion is put forward as well. Then, the multi-stakeholder game process in the dissemination process of an enterprise negative network public opinion is explored, and a game model for each stage is established. Through the equilibrium analysis of the game model, each agent’s evolutionary stability strategy is derived, and then MATLAB (R2019b, Hangzhou, China) is used to simulate its game process; finally, the “Ziru” price increase event during the epidemic period is used as a case to verify the proposed model, thereby proposing strategies and suggestions for companies to respond to negative online public opinion events.

4. Game Analysis of Multi-Stakeholders in the Process of Chinese Enterprise Negative Network Public Opinion Dissemination

This paper draws on the literature [10] to divide the network public opinion dissemination process into the initial formation stage, the development stage, and the control stage. The network public opinion dissemination process is the result of the behavior selection of the stakeholders in cyberspace. As time progresses, various stakeholders make their own strategic adjustments and promote the dissemination, among which the government, netizens, online media, and enterprises are indispensable in such public opinion incidents [36]. Therefore, the following focuses on the analysis of the relevant stakeholders and their game relationships involved in the process of enterprise negative network public opinion dissemination.

4.1. Game Analysis of Stakeholders in the Formation Stage of Negative Network Public Opinion

During the formation stage of enterprise negative network public opinion, netizens can use Weibo, forums, and other platforms to express their opinions anytime and anywhere. These comments are intertwined on the Internet and form a relatively influential online public opinion through the “silent spiral” [37] and the “butterfly effect” [38], which will have a negative impact on real life. Among netizens, there are many opinion leaders, such as influential Weibo leaders and celebrities. The mobilization mechanism is the key to promoting the development of network public opinion. Therefore, the main participants in the public opinion formation stage include ordinary netizens and opinion leaders; the strategy set of ordinary netizens is (dissemination, non-dissemination), and the strategy set of opinion leaders is (dissemination, non-dissemination). The specific game process is shown in Figure 2.
In the game process of “opinion leaders-ordinary netizens”, the relevant parameter definitions involved in the income risk matrix of the two entities are shown in Table 1, and the income matrix is determined according to the game tree, as shown in Table 2.

4.2. Game Analysis of Stakeholders in the Development Stage of Negative Network Public Opinion

In the formation of an enterprise negative network public opinion, netizens are often driven by their own interests to forward, comment, like, and read negative public opinion incidents and attract the attention of online media. In this matter, the netizens stand in their own perspective to interpret the incident and report it on the official marketing account, thus promoting the further spread of negative public opinion events. At this point, such behavior of online media is defined as “promoting” the spread of public opinion events. On the contrary, if online media choose not to report such incidents, this behavior is defined as “blocking.” Since the outbreak of negative public opinion will directly damage the company’s image, customer flow, etc., companies need to take corresponding actions to explain the negative public opinion incidents. On the other side, when netizens have a “trust” attitude towards the company’s explanation, they will promptly curb the further development of negative public opinion. However, if netizens show “not trust” in the measures taken by the company, the influence of negative public opinion on other netizens will be expanded. In the following, the actions of companies making positive explanations are defined as “positive responses”, and the actions of companies making explanations in a perfunctory manner or not making any explanations are defined as “negative responses“. The specific process is shown in Figure 3.
The relevant parameter definitions and the income risk matrix involved in the game process of “online media-opinion leaders-ordinary netizens” are shown in Table 3 and Table 4.

4.3. Game Analysis of Stakeholders in the Controlling Stage of Negative Network Public Opinion

In the development stage of enterprise negative network public opinion, the role of online media has promoted the further fermentation of public emotion and the expansion of the influence of negative public opinion. Netizens hold different attitudes toward the response of enterprises and consider whether negative network public opinion should be spread from the perspective of their own interests and risk costs. Aimed at calming public opinion, establishing a positive image, and maintaining social order, the government considers whether to intervene in the incident on the basis of weighing benefits and costs. If the government intervenes in this incident, the impact of negative network public opinion will be significantly reduced, which shows that the government’s control has played a good role. Based on this, the participants in the public opinion control stage include netizens and the government; the set of strategies for netizens is (forward, not forward), and the set of government strategies is (control, not control). The specific process is shown in Figure 4.
The relevant parameter definitions and the income risk matrix involved in the game process of “government-netizens” are shown in Table 5 and Table 6.

5. Game Equilibrium Analysis of the Process of Chinese Enterprise Negative Network Public Opinion Dissemination

Section 4 divides the process of the dissemination of enterprise negative network public opinion into three stages: formation, development, and control, and discusses the game process among participants at different stages. Due to the differences in game subjects, strategies, and benefits at different stages, their equilibrium strategies for reaching a stable state of public opinion evolution are also different. This section explores the evolutionary stability strategy of multi-stakeholders under the three stages of public opinion based on the dynamic evolutionary game model of negative network public opinion. First, the game strategy is expressed according to the strategy set by the game subject; then the gain is measured based on the benefits obtained by choosing different game strategies. Finally, the best strategy to achieve a sustained and stable state at different stages is obtained through the game equilibrium and stability analysis method, i.e., stable evolution strategy.

5.1. Formation stage: Analysis of the Dynamic Game Equilibrium between Opinion Leaders and Ordinary Netizens

5.1.1. Analysis of Dynamic Game Equilibrium Point

(1)
Setting: The strategy’s expected gain of opinion leaders who choose to spread public opinion events is F11, the strategy’s expected gain of opinion leaders who choose not to spread public opinion events is F12, and the average gain of opinion leaders is F, then:
F11 = φ(U1S1) + (1 − φ)(U2S1S3) = φ(U1U2 + S3) + U2S1S3)
F12 = 0
F = ζ(φ(U1U2 + S3) + U2S1S3)
According to the above income matrix and the Malthusian equation [39], the dynamic equation for the replication of negative public opinion events that opinion leaders choose to spread is:
F ( ζ ) = d ζ d t = ζ ( 1 ζ ) ( φ ( U 1 U 2 + S 3 ) + U 2 S 1 S 3 )
The equilibrium point analysis of the replication dynamic in Equation (4) can be obtained:
When φ = S 1 + S 3 U 2 U 1 U 2 + S 3 , F ( ζ ) 0 , it means that all ζ values are in a stable state, no matter what value ζ takes, netizens and opinion leaders can get the maximum benefit, and all points are dynamic equilibrium points.
When φ > S 1 + S 3 U 2 U 1 U 2 + S 3 , setting F ( ζ ) 0 , ζ = 0 and ζ = 1 are two stable states. When d F ( ζ ) d ζ | ζ = 0 > 0 , d F ( ζ ) d ζ | ζ = 1 < 0 , ζ = 1 is a dynamic equilibrium point, opinion leaders choose to spread negative public opinion.
When φ < S 1 + S 3 U 2 U 1 U 2 + S 3 , setting F ( ζ ) 0 , ζ = 0 and ζ = 1 are two stable states. When d F ( ζ ) d ζ | ζ = 0 < 0 , d F ( ζ ) d ζ | ζ = 1 > 0 , ζ = 0 is a dynamic equilibrium point, opinion leaders choose not to spread negative public opinion.
(2)
Setting: The strategy’s expected gain from ordinary netizens who choose to disseminate public opinion events is G11, the strategy’s expected return from ordinary netizens who choose not to disseminate public opinion is G12, and the average return of netizens is G, then:
G11 = ζ(U1 − S2) + (U2S2S3)(1 − ζ) = ζ(U1U2 + S3) + U2S2S3
G12 = 0
G = φ(ζ(U1U2 + S3) + U2S2S3)
The replication dynamic equation of disseminating negative public opinion is:
F ( φ ) = d φ d t = φ ( 1 φ ) ( ζ ( U 1 U 2 + S 3 ) + U 2 S 2 S 3 )
The conclusions can be made that
When ζ = S 2 + S 3 U 2 U 1 U 2 + S 3 , F ( φ ) 0 , it means that all φ values are in a stable state, no matter what value φ takes, ordinary netizens and opinion leaders can get the maximum value, and all points are dynamic equilibrium points.
When ζ > S 2 + S 3 U 2 U 1 U 2 + S 3 , setting F ( φ ) 0 , φ = 0 and φ = 1 are two stable states. When d F ( φ ) d φ | φ = 0 > 0 , d F ( φ ) d φ | φ = 1 < 0 , φ = 1 is a stable point, the ordinary netizens will choose to spread the negative public opinion.
When ζ < S 2 + S 3 U 2 U 1 U 2 + S 3 , setting F ( φ ) 0 , φ = 0 and φ = 1 are two stable states. When d F ( φ ) d φ | φ = 0 < 0 , d F ( φ ) d φ | φ = 1 > 0 , φ = 0 is a stable point, the ordinary netizens will not spread the negative public opinion.
Analyzing the equilibrium points ζ and φ
φ = S 1 + S 3 U 2 U 1 U 2 + S 3 ζ = S 2 + S 3 U 2 U 1 U 2 + S 3
The range of values of ζ and φ is (0,1), and the strategy combination corresponding to the equilibrium point of the dynamic replication system is an equilibrium of the evolutionary game, shortened as the evolutionary equilibrium. When ζ and φ take different values, the equilibrium point of the dynamic replication system is as shown in Table 7.

5.1.2. Dynamic Game Stability Analysis

The analysis of the equilibrium point of the evolutionary game based on the replication dynamic equation method can obtain the equilibrium point of each stable state in the formation stage of the network public opinion. Therefore, the partial stability of each equilibrium point conducted by a Jacobian Matrix [40] is used to find the equilibrium point at which the negative public opinion can become stable continuously. The Jacobian Matrix of the system is:
J = F ( ζ ) ζ F ( ζ ) φ F ( φ ) ζ F ( φ ) φ = ( 1 2 ζ ) ( φ ( U 1 U 2 + S 3 ) + U 2 S 1 S 3 ) ζ ( 1 ζ ) ( U 1 U 2 + S 3 ) φ ( 1 φ ) ( U 1 U 2 + S 3 ) ( 1 2 φ ) ( ζ ( U 1 U 2 + S 3 ) + U 2 S 2 S 3 )
According to the positive and negative conditions of the determinant detJ and trJ of the Jacobian Matrix, the above five equilibrium points are determined by whether they meet the stable state. If detJ < 0, the equilibrium point is in a partially stable state, indicating that the strategy at this time cannot make public opinion reach an evolutionary stable state. If detJ > 0 and the trJ symbol is uncertain, the equilibrium point is in a partially stable state. If detJ > 0 and trJ < 0, it indicates that the netizens and opinion leaders have reached an equilibrium state and are in an evolutionary stable state at this time. From the above definition, through stability judgment analysis, the stability conditions of each decision combination are obtained, as shown in Table 8.
It can be seen in Table 8 that when S2S1 + S3 + U1U2 < 0, the opinion leaders choose not to spread negative public opinion events, and the netizens choose to make comments and forward them. The respective benefits are greater than the benefits when they choose the opposite strategy. The equilibrium result at this time is (1, 0), meaning the entire dynamic system reaches a partially stable state, and point (1, 0) is an evolutionary stable strategy. In the early development stage of negative public opinion events, if opinion leaders cannot obtain gains from disseminating negative public opinion events and they bear the corresponding risk costs, they will not arbitrarily spread negative events. As ordinary netizens, even though they do not realize the truth of the incident, they can express their opinions on the Internet. They will not take risks if they do not spread rumors or promote false information within the legal norms. Therefore, although opinion leaders do not disseminate negative public opinion incidents, ordinary netizens actively participate in the discussion and forward the incident, which will further increase the popularity of negative public opinion incidents.

5.1.3. Simulation Experiment and Analysis

In order to further analyze the evolution process of the strategic choices of opinion leaders and ordinary netizens in the dynamic game system, the evolution path of the behavioral strategies of ordinary netizens and opinion leaders is simulated here. First, we discretize the above game model to obtain a discrete mathematical expression of the behavioral strategy choices of the two participants, as shown in Equation (10):
d φ d t = φ ( t + Δ t ) φ ( t ) Δ t = φ ( 1 φ ) ( ζ ( U 1 U 2 + S 3 ) + U 2 S 2 S 3 ) d ζ d t = ζ ( t + Δ t ) ζ ( t ) Δ t = ζ ( 1 ζ ) ( φ ( U 1 U 2 + S 3 ) + U 2 S 1 S 3 )
In the simulation process, we set the initial time to 0 and the end time to 50. The initial value of the strategy selection probability of netizens and opinion leaders is set as (φ,ζ) = (0.5, 0.5). In addition, because the parameters involved in the strategy are difficult to obtain directly, the parameter settings in the game model mainly refer to studies [41,42], and we take the relevant parameter definitions and constraints proposed in Table 1 (S1 > S2, U1 > U2) into account. It can be seen in Table 8 that if netizens and opinion leaders want to reach an evolutionary stable state in the dynamic game system, condition S2S1 + S3 + U1U2 < 0 must be met. In summary, the main experimental parameters are set as: S1 = 1, S2 = 0.2, U1 = 1, U2 = 0.5, and S3 = 0.1. First, the stable strategy evolution of “ordinary netizens–opinion leaders” in the formation stage is simulated, and the dynamic trend phase of “opinion leaders-ordinary netizens” is obtained. The results are shown in Figure 5 and Figure 6: the optimal state of the evolution of the two-party game system is T1(1, 0). In this process, netizens will choose to spread negative public opinion events, but opinion leaders will not spread them in the initial stage.
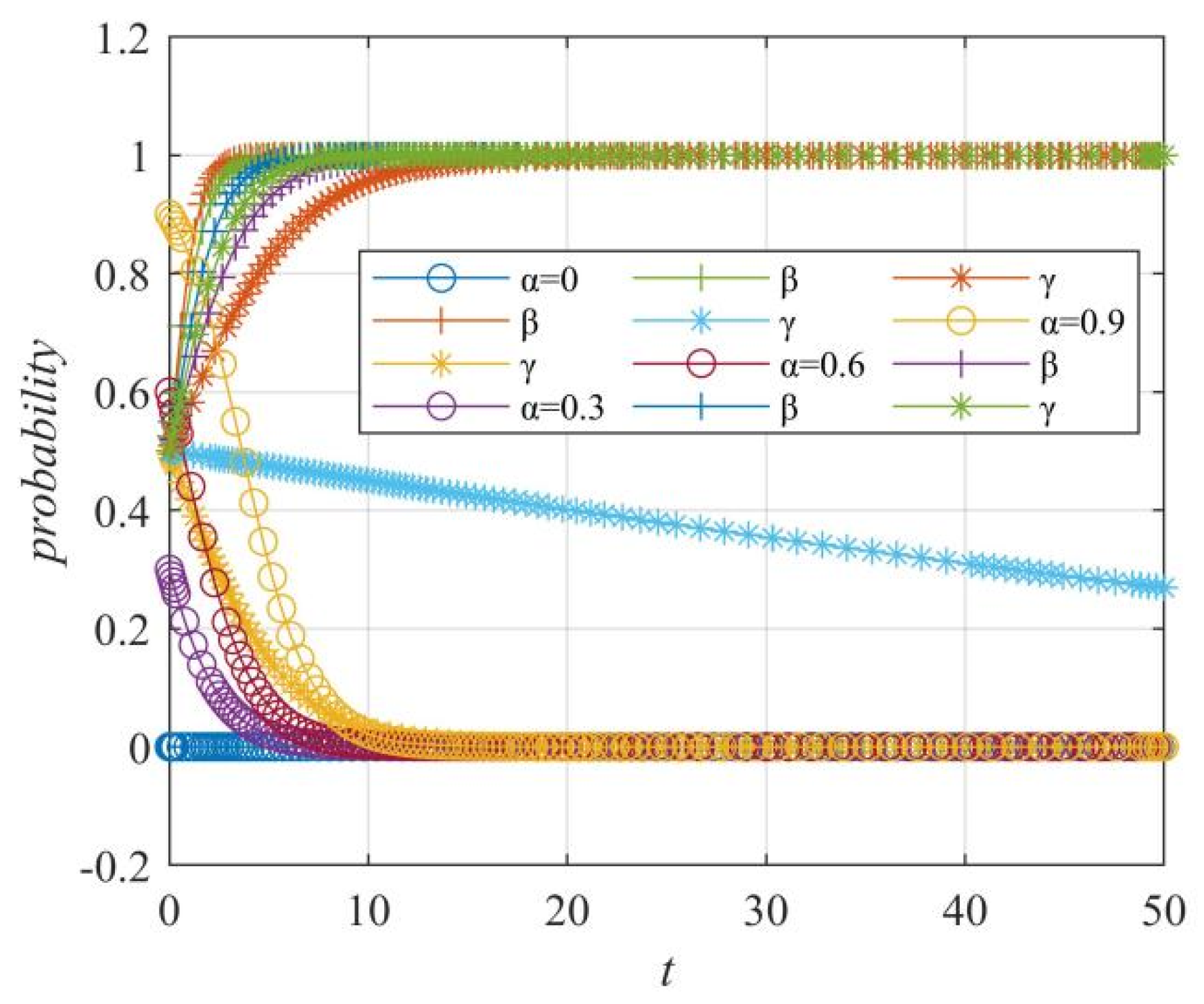
From the game analysis of the main objects in the public opinion formation stage from Section 4.1 and replication dynamic Equation (10) of the above−mentioned netizens and opinion leaders, it can be seen that the parameters φ, ζ, U2, and S3 have an impact on the behavioral strategy selection expressions made by ordinary netizens and opinion leaders. The changes in netizens and opinion leaders under different values of φ, ζ, U2, and S3 are analyzed, and the results are shown in Figure 7, Figure 8, Figure 9 and Figure 10.
Keeping other parameters unchanged, we adjust φ to 0, 0.2, 0.4, 0.6, and 0.8; the result is shown in Figure 7. It can be seen in Figure 7 that the greater value of φ changes the opinion leader’s stable strategy from non-spreading to spreading. In addition, in the case of keeping the other parameter values unchanged, we adjust ζ to 0, 0.2, 0.4, 0.6, and 0.8, and the results are shown in Figure 8. It can be seen in Figure 8 that ζ’s changes have no significant impact on the optimal strategy selection of netizens.
While keeping other parameters unchanged, we adjust U2 to 0.3, 0.5, 0.7, and 0.9; the results are shown in Figure 9. It can be seen that if the benefits of the participation of netizens and opinion leaders in negative public opinion events are increased, they are more likely to participate in the dissemination of negative events, and the strategies of netizens are closer to the evolutionary optimal strategy point when opinion leaders are far from an evolutionary stability strategic point, the probability of spreading negative public opinion events increases. In the same way, while keeping other parameters unchanged, we adjust S3 to 0.1, 0.3, 0.5, and 0.7, and the results are shown in Figure 10. It can be seen that the greater value of S3 means a lower probability of opinion leaders and ordinary netizens participating in the spread of public opinion; the probability of opinion leaders spreading public opinion approaches 0, and the probability of ordinary netizens spreading public opinion is reduced to about 0.7.
The following conclusions can be made:
(1)
It can be seen in Figure 7 and Figure 8 that if companies want to curb the development of negative public opinion during the formation stage without changing the benefits and costs of netizens and opinion leaders, they need to pay attention to the updates of ordinary netizens who frequently forward and comment the posts. Correspondingly, opinion leaders have a minor influence on the strategic choices of netizens, and they will change their strategies according to the strategic choices of ordinary netizens. In real life, if a company’s negative public opinion incident is not enough for ordinary netizens to form public opinion, then opinion leaders will not invest in spreading the incident.
(2)
It can be seen in Figure 9 and Figure 10 that a larger U2 indicates a greater probability that netizens and opinion leaders will participate in public opinion dissemination; a larger S3 indicates that the influence on the optimal strategy selection of opinion leaders is greater than the influence on ordinary netizens, and the optimal strategy selection of the company is close to 0. If the company wants to reduce the impact of negative public opinion events without changing the probability of netizens and opinion leaders’ initial participation in negative public opinion, it needs to increase the risk of dissemination S3, such as warning inappropriate comments on the Internet, and appropriate legal measures can be taken for serious cases to curb the further fermentation of negative public opinion events.

5.2. Development Stage: Analysis of the Dynamic Game Equilibrium among Online Media, Enterprises, and Ordinary Netizens

5.2.1. Analysis of Dynamic Game Equilibrium Point

Setting: The expected gain of an online media’s strategy to promote the development of negative public opinion is A11, and the expected gain of blocking the development of negative public opinion is A12, then the average expectation of online media is A; if the expected gain of the enterprise choosing a positive response to a negative public opinion event is B11, and the expected gain of choosing the negative response is B12, then the average expectation of the company is B; if the expected gain of netizens believing the response made by the company is C11, and the expected gain of not believing it is C12, then the average gain of netizens is C. Similar to Section 5.1.1, the enterprise’s replication dynamic Equations (11)–(13) can be obtained. The three equations show that when online media choose to promote the development of negative public opinion, companies choose to respond positively to negative public opinion events, and netizens choose to believe.
F ( α ) = d α d t = α ( 1 α ) ( W 1 β C 3 W 1 + W 2 + W 3 )
F ( β ) = d β d t = β ( 1 β ) ( C 1 + P 1 + α P 3 + γ P 2 α L 2 + C 2 + L 1 )
F ( γ ) = d γ d t = γ ( 1 γ ) ( α D 1 D 2 + α D 2 D 3 + β D 3 )
When we analyze the equilibrium point of the replication dynamic Equations (11)–(13), the solution process is the same as in Section 5.1.1; the results are shown in Table 9.
Analyzing the equilibrium points ζ, φ, and γ:
α = D 2 + D 3 β D 3 D 1 + D 2 β = C 3 + W 1 W 2 W 3 W 1 γ = C 1 P 1 C 2 L 1 + α ( L 2 P 3 ) P 2
where the value range of α, β, and γ is (0, 1), and the strategy combination corresponding to the equilibrium point of the dynamic replication system is an equilibrium of the evolutionary game, shortened as the evolutionary equilibrium. When α, β, and γ take different values, the equilibrium point of the dynamic replication system is as shown in Table 10.

5.2.2. Dynamic Game Stability Analysis

Similar to the process of solving the stability of the two–party dynamic game in Section 5.1.2, the Jacobian Matrix of the three–party dynamic game in the development stage is obtained by the same principle as:
J = F ( α ) α F ( α ) β F ( α ) γ F ( β ) α F ( β ) β F ( β ) γ F ( γ ) α F ( γ ) β F ( γ ) γ = ( 1 2 α ) ( β W 1 C 3 W 1 + W 2 + W 3 ) α ( 1 α ) W 1 0 β ( 1 β ) ( P 3 L 2 ) ( 1 2 β ) ( C 1 + P 1 + α P 3 + γ P 2 α L 2 + C 2 + L 1 ) β ( 1 β ) P 2 γ ( 1 γ ) ( D 1 + D 2 ) γ ( 1 γ ) D 3 ( 1 2 γ ) ( α D 1 D 2 + α D 2 D 3 + β D 3 )
detJ and trace trJ of the Jacobian Matrix are used to judge whether the above nine equilibrium points satisfy the stable state. Through solving and stability judgment analysis, the stable conditions of each strategy combination are obtained, as shown in Table 11.
It can be seen in Table 11:
(1)
When C3W2W3 > 0, C1C2P1P2L1 < 0, C1C2P1P2L1 − (C3W2W3) + D2 < 0, the entire system reaches a partially stable state at the equilibrium point (0, 1, 1). At this time, online media choose not to report on the development of negative public opinion events. When a company responds positively to this incident, netizens believe the company’s response, thus reducing the negative public opinion enthusiasm and reducing the loss.
(2)
When C1C2L1 + L2P2P3P1 > 0, C3 + W1W2W3 < 0, (C3 + W1W2W3) + C2C1 + L1L2 + P1 + P2 + P3D1 + D3 < 0, the entire system reaches a partially stable state at the equilibrium point (1, 0, 1). At this time, in the development stage of negative public opinion incidents, online media tries to promote the development of negative public opinion incidents. Companies do not give appropriate responses to public opinion incidents related to themselves, but netizens still choose to believe in the company but bear the risk of cheating. At this time, the strategic choices of online media and companies have further increased the enthusiasm for negative public sentiment.

5.2.3. Simulation Experiment and Analysis

Similarly, Section 5.1.3 simulates the process of solving the evolution path of the behavior strategy, discretizing the game model of online media, enterprises, and netizens, as shown in Equation (15):
d α d t = α ( t + Δ t ) α ( t ) Δ t = α ( 1 α ) ( W 1 β C 3 W 1 + W 2 + W 3 ) d β d t = β ( t + Δ t ) β ( t ) Δ t = β ( 1 β ) ( C 1 + P 1 + α P 3 + γ P 2 α L 2 + C 2 + L 1 ) d γ d t = γ ( t + Δ t ) γ ( t ) Δ t = γ ( 1 γ ) ( α D 1 D 2 + α D 2 D 3 + β D 3 )
According to the replication dynamic equation, MATLAB is used to simulate the selection strategy of online media, enterprises, and netizens. The initial time is 0, and the evolution end time is 50. Online media choose to promote negative public opinion event strategies, companies choose to respond positively to public opinion events, and netizens choose to believe that the initial value of the corporate response strategy is set to (α, β, γ) = (0.5, 0.5, 0.5). Combined with Table 11, the evolutionary stable optimal strategy in the two situations is obtained.
(1)
When the evolutionary stability strategy of “online media–enterprise–netizens” is (block, respond positively, believe), it can be seen in Table 11 that if an evolutionary stability strategy is to be achieved, the following conditions must be met C 3 W 2 W 3 > 0 C 1 C 2 P 1 P 2 L 1 < 0 C 1 C 2 P 1 P 2 L 1 ( C 3 W 2 W 3 ) + D 2 < 0 . Referencing studies [43,44], we set the main parameters as: C1 = 3, C2 = 0.5, P1 = 1.2, P2 = 1.6, P3 = 1.4, L1 = 2, L2 = 2.5, D1 = 1, D2 = 0.1, D3 = 0.5, C3 = 2.5, W1 = 1, W2 = 2.2, and W3 = 0.2. The optimal state of the evolution of the tripartite game system tends to the stable point T2 (0, 1, 1), and the simulation results are shown in Figure 11. At this time, online media will not choose to promote the further fermentation of negative public opinion events. At the same time, in order to stop losses in time, companies will take active measures to curb their further spread, thereby greatly enhancing the trust of netizens in the company. Consequently, it can reduce the enthusiasm of negative public opinion of enterprises at this time well. From the game analysis of the development stage of public opinion in Figure 3, it can be seen that the strategy choices of netizens are affected by the strategies of online media and enterprises. Therefore, in order to study the influence of online media and enterprises on the evolutionary strategies of netizens, the change in netizens’ strategies under different values of α and β are studied.
While keeping other parameters unchanged, we adjust the α value to 0, 0.3, 0.6, and 0.9, and the results are shown in Figure 12. It can be seen that changes in the dissemination probability α of negative public opinion events promoted by online media have no effect on the optimal strategy choice of the enterprise, but it has a direct effect on the optimal strategy choice of netizens. In the same way, other parameters remain unchanged, and β is adjusted to 0, 0.3, 0.6, and 0.9; the results are shown in Figure 13. It can be seen that the company’s positive response probability β has no effect on the optimal strategy selection of online media, but it has a positive effect on the attitude of netizens. It can be seen that in the development stage of negative public opinion, the attitude of netizens is mainly influenced by online media and enterprises, and the behavior of online media and enterprises will directly affect the strategic choices of netizens. Therefore, if companies want to reduce the negative impact of negative public opinion, they can use highly authoritative online media to publish positive reports to promote the development of negative public opinion in a beneficial direction so that more netizens will believe in the company. On the other hand, the company’s losses caused by negative public opinion can be minimized.
(2)
When the evolutionary stability strategy of “online media–enterprise–netizens” is (promote, negative response, believe), it can be seen in Table 11 that if the evolutionary stability strategy is to be achieved, the following conditions need to be met:
C 1 C 2 L 1 + L 2 P 2 P 3 P 1 > 0 C 3 + W 1 W 2 W 3 < 0 ( C 3 + W 1 W 2 W 3 ) + C 2 C 1 + L 1 L 2 + P 1 + P 2 + P 3 D 1 + D 3 < 0
We set the main parameters as: C1 = 3, C2 = 0.5, P1 = 1.4, P2 = 1.2, P3 = 1.5, L1 = 1.5, L2 = 3, D1 = 1, D2 = 0.1, D3 = 0.5, C3 = 1.5, W1 = 1, W2 = 2.2, and W3 = 0.4. The optimal state of the evolution of the game system composed of online media, enterprises, and netizens tends to be the stable point T3(1, 0, 1). The simulation results are shown in Figure 14.
While the other parameters remain unchanged, we adjust the α value to 0, 0.3, 0.6, and 0.9, and the results are shown in Figure 15. It can be seen that when the online media’s probability of spreading negative public opinion events gradually increases, the evolutionary game strategy of netizens changes from disbelief to belief, which is beneficial for enterprises. At the same time, the company’s evolutionary stabilization strategy has gradually shifted from a positive to negative response, i.e., when online media promotes the development of negative public opinion incidents in a beneficial direction, the enterprise does not need to spend too much energy and cost on explaining negative public opinion. In the same way, other parameters remain unchanged, and β is adjusted to take values of 0, 0.3, 0.6, and 0.9. As shown in Figure 16, when the probability of a positive response to public opinion events gradually increases, online media will report negative public opinion events earlier, obtain first-hand corporate information, and bring more benefits by increasing the visibility of their own media, thereby achieving an evolutionary game stabilization strategy. Under the dual effects of companies and online media, the attitude of netizens has also changed from disbelief to belief. The company’s explanation of negative public opinion events can be recognized by netizens, and the company’s customer loyalty has been further improved.
Combining the simulation results under the above two situations, it can be seen that in the development stage of negative public opinion, if a company wants to reduce its own losses and maintain original customer loyalty, it is most important to use online media with high visibility and credibility, such as The Paper and People’s Daily report. As such, the public can fully understand the truth of the incident.

5.3. Control Stage: Analysis of the Dynamic Game Equilibrium between Netizens and Government

5.3.1. Analysis of Dynamic Game Equilibrium Point

Setting: Netizens’ expected gain of forwarding negative public opinion events is D11, and the gain of not forwarding is D12, then the average gain of netizens is D. The government’s expected gain of controlling the development of negative public opinion is E11, and the expected gain of not controlling is E12, then the average gain is E. In the same way as in Section 5.1.1, the netizens and governments’ replication dynamic equations can be obtained as shown in Equations (16) and (17):
F ( μ ) = d μ d t = μ ( 1 μ ) ( λ N 1 C 4 N 2 + λ N 2 )
F ( λ ) = d λ d t = λ ( 1 λ ) ( μ M 1 + M 2 C 5 + M 3 + μ M 4 )
We analyze the equilibrium point of the equilibrium dynamic Equations (16) and (17). The solution process is the same as that in Section 5.1.1, and the results shown in Table 12 can be obtained.
Analyzing the equilibrium points μ and λ:
λ = C 4 + N 2 N 1 + N 2 μ = C 5 M 2 M 3 M 1 + M 4
Among them, the value range of μ and λ is (0,1), and the strategy combination corresponding to the equilibrium point of the dynamic replication system is an equilibrium of the evolutionary game, shortened as the evolutionary equilibrium. When μ and λ take different values, the equilibrium point of the dynamic replication system is as shown in Table 13.

5.3.2. Dynamic Game Stability Analysis

Similar to Section 5.1.2, the Jacobian Matrix is used to analyze the partial stability of each equilibrium point to find a stable point that enables the negative network public opinion to reach a sustained and stable state. The Jacobian Matrix of this system is:
J = F ( μ ) μ F ( μ ) λ F ( λ ) μ F ( λ ) λ = ( 1 2 μ ) ( λ N 1 C 4 N 2 + λ N 2 ) μ ( 1 μ ) ( N 1 + N 2 ) λ ( 1 λ ) ( M 1 + M 4 ) ( 1 2 λ ) ( μ M 1 + M 2 C 5 + M 3 + μ M 4 )
According to the detJ and trace trJ of the Jacobian Matrix, it is judged whether the above five equilibrium points satisfy the stable state. Through the solving and stability judgment analysis, the stability conditions of each strategy combination are obtained, as shown in Table 14.
It can be seen in Table 14:
(1)
When C4N1 < 0 and C5M1M2M3M4 < 0, the entire system reaches a partially stable state at the equilibrium point (1, 1). At this time, the government will control negative public opinion events, but netizens will still choose to spread negative information in consideration of the principle of maximizing benefits.
(2)
When C4N1 > 0 and C5M2M3 < 0, the entire system reaches an evolutionary stable state at the equilibrium point (0, 1). At this time, netizens will no longer participate in negative public opinion events, but the government will still choose to control public opinion events in order to reduce the adverse social effects of negative public opinion.
(3)
When C5M2M3 > 0, the entire system reaches an evolutionary stable state at the equilibrium point (0, 0). It can be seen in the constraints that the cost of risks perceived by netizens is greater than the benefits, so they do not forward negative public opinion information. At this time, the cost of government control is relatively high, and no corresponding control measures have been taken.

5.3.3. Simulation Experiment and Analysis

Using the same method as Section 5.1.3, our research simulates the process of solving the evolution path of the behavior strategy and discretizes the game model of netizens and the government, as shown in Equation (19):
d μ d t = μ ( t + Δ t ) μ ( t ) Δ t = μ ( 1 μ ) ( λ N 1 C 4 N 2 + λ N 2 ) d λ d t = λ ( t + Δ t ) λ ( t ) Δ t = λ ( 1 λ ) ( μ M 1 + M 2 C 5 + M 3 + μ M 4 )
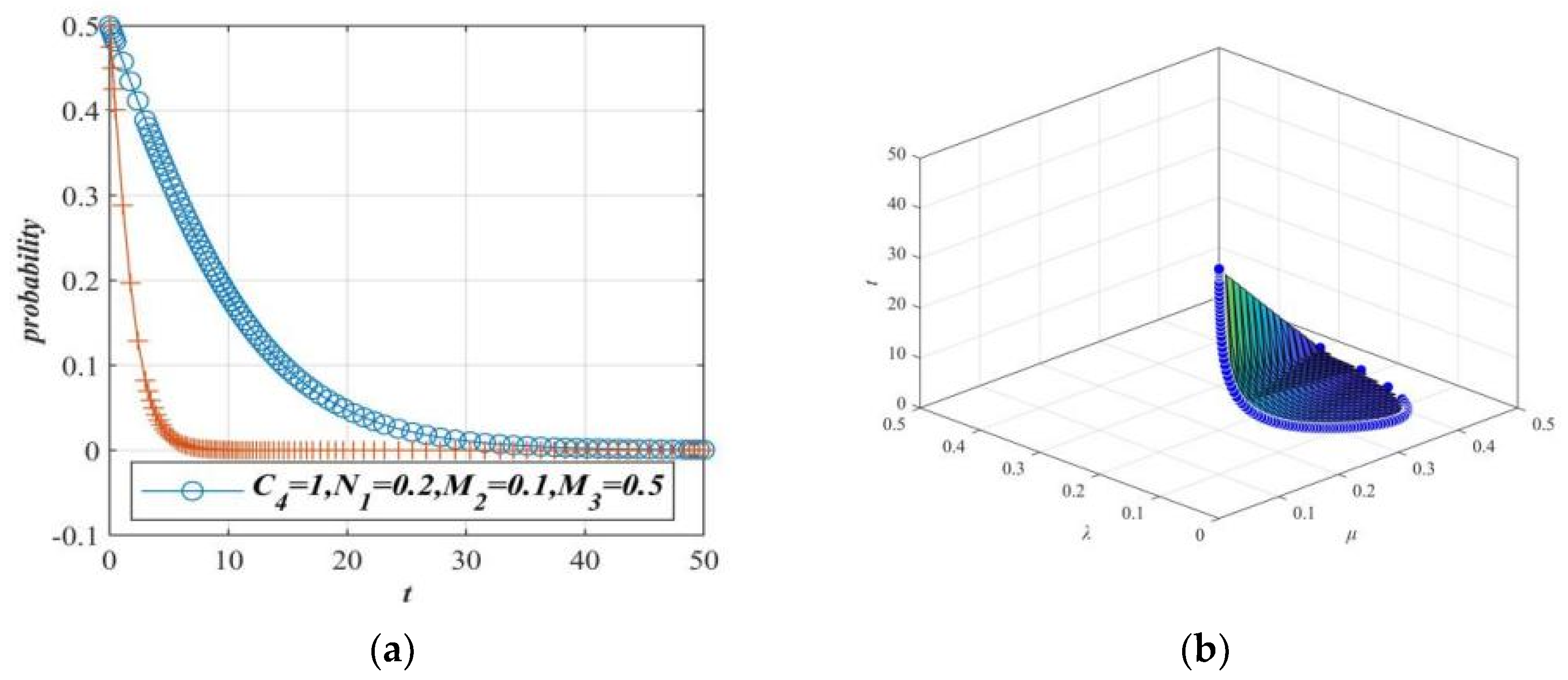
In the simulation process, we set the initial time to 0 and the evolution end time to 50. The initial value of the strategy selection probability of netizens and opinion leaders is set as (μ, λ) = (0.5, 0.5). Using Table 14 to obtain the evolutionary stable optimal strategy in three conditions, and according to the studies [45,46,47] and constraints, our experiments set the relevant parameters as shown in Table 15, where the red numbers indicate the parameters after adjusting the values.
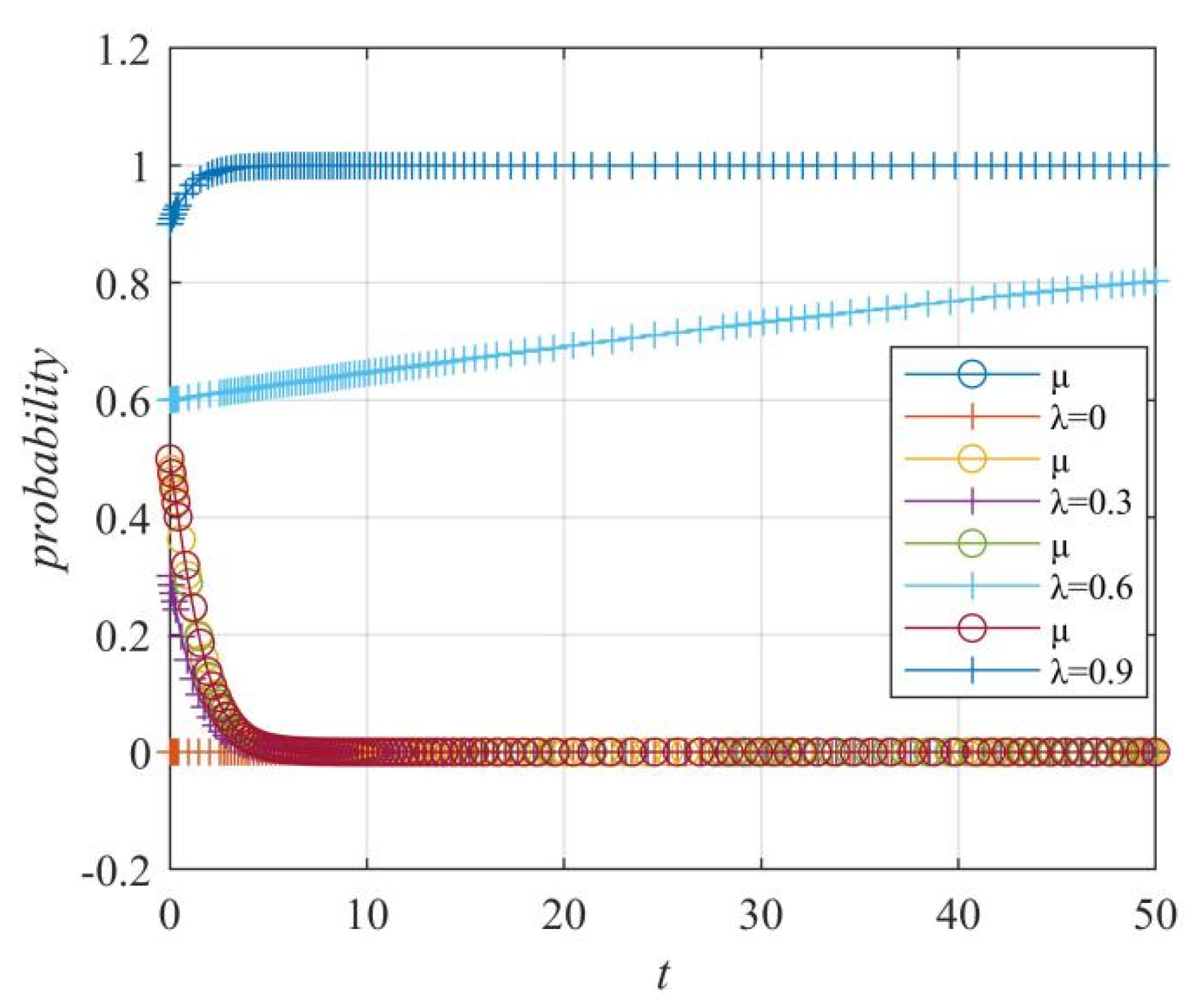
According to the above parameter settings, the stable state of the negative public opinion control stage is simulated in the three conditions, and the results are shown in Figure 17, Figure 18 and Figure 19: (1) Case 1: When C4N1 < 0, C5M1M2M3M4 < 0, the optimal state of the game system evolution composed of netizens and the government tends to the stable point T4(1, 1); (2) Case 2: When C4N1 > 0, C5M2M3 < 0, the optimal state of the game system evolution composed of netizens and the government tends to the stable point T5(0, 1); (3) Case 3: When C5M2M3 > 0, the optimal state of the game system evolution composed of netizens and the government tends to the stable point T6(0, 0).
It can be seen in Figure 17, Figure 18 and Figure 19 that the main difference between Case 1 and Case 2 is the value of C4. The larger value of C4 indicates that there are fewer netizens who choose to spread negative public opinion, the evolutionary stability strategy approaches 0, and it has no effect on the government’s choice of evolutionary stability strategy. The main difference between Case 2 and Case 3 lies in the cost of government control. The reason why the evolution strategy of Case 2 approaches (μ, λ)→(0, 1) is that the cost of government control is less than the obtained benefit. In Case 3, the evolutionary stable strategy approaches (μ, λ)→(0, 0). When it meets the conditions of the evolutionary stable strategy ESS, the cost of government control is higher than the benefit, so the government ultimately chooses not to control. From a corporate perspective, in order to further reduce the impact of negative public opinion, companies need to actively cooperate with the government, reduce the government’s workload, provide comprehensive information about corporate public opinion events, and reduce unnecessary government work.
The numerical simulation analysis of the two parameters of government control intensity μ and netizen dissemination probability λ is conducted to observe the influence of different values of μ and λ on netizens and government strategies. The results are shown in Figure 20, Figure 21, Figure 22, Figure 23, Figure 24 and Figure 25.
From the simulation results of the three situations in Figure 20, Figure 21, Figure 22, Figure 23, Figure 24 and Figure 25, it can be seen that in any case, the probability of government control has little effect on the netizens’ final strategy choices because the netizen’s and the government’s benefits and costs did not change, i.e., the choice of evolutionary strategies between the government and netizens is more considering their own benefits and costs.

6. Case Analysis

The sudden occurrence of COVID-19 in 2020 swept across the country and severely affected various domestic industries. Among them, the long-term rental apartment industry suffered. Low occupancy rates, blocked cash flow, and increased debt pressure have seriously affected the leasing industry. According to the report data released by the Shell Research Institute, in January 2020, the total transaction of housing rentals in major cities across the country fell by more than 40% month-on-month, and the number of new customers and the total number of listings decreased by nearly 50%. Under this market background, the long-term rental apartment industry is facing unprecedented operating pressure. Individual companies have adopted countermeasures, such as price increases, differential rents, and disguisedly rushing customers. Complaints from landlords and tenants have increased. A large amount of negative information about companies spreads on the Internet and even evolves into network public opinion events. A total of 32,481 Sina Weibo data items were collected from February to December 2020 under the topic of “Ziru increased rental price during the epidemic”. Figure 26 shows the full review of the post information published by netizens, enterprises, and governments. The number of Weibo data items per day is shown in Figure 27.
(1)
In 2020, in various complaint channels such as Black Cat, it was discovered that Ziru tenants complained about the increased price during the epidemic. The number of Weibo data items continued to increase from February to April for two consecutive months. Netizens and online media discussed and forwarded this event, forming a negative public opinion. In the formation stage of public opinion, it can be seen in the crawled personal information of Weibo users that most users are personally authenticated, and less than 0.1% of users are enterprise-certified, i.e., most people participating in dissemination are ordinary netizens, but opinion leaders with greater influence basically do not participate in the dissemination, which means that it is consistent with the partial stabilization strategy of the main evolutionary game system of “opinion leaders-ordinary netizens” in Table 8 above.
(2)
The response strategy adopted by “Ziru” companies in the development stage of network negative public opinion is that the CEO explained and denied this situation. The problems disclosed by netizens have not been substantively resolved, and the corporate response is negative. As shown in Figure 27, from April 9th to September 10th, the number of posts by Weibo users further increased. Many netizens used Weibo and official media to disclose Ziru’s behaviors. The emotion analysis of netizens’ comments showed that 65.65% of netizens held positive emotions, i.e., netizens chose to believe the enterprise’s explanation. Therefore, netizens need to bear the risk of being deceived. The interaction of the media, netizens, and enterprises has promoted the development of negative public opinion. The above-mentioned stability strategy choices of enterprises, media, and netizens are consistent with the situation in Table 11.
(3)
Ziru’s response did not restore the corporate image, and the popularity of this topic did not decrease. At this time, in order to reduce the social effects of negative incidents, the government issued regulations to rectify the rental housing market. On September 10, the government published regulations to manage and control the rental market order, strictly prohibited tenants or rented houses from unilaterally increasing, and provided corresponding rental subsidies. Ziru actively cooperated with the government to propose relevant measures to rectify the rent. From October to December, the negative public opinion gradually decreased and approached zero, and netizens gradually stopped forwarding this event. The above-mentioned stability strategy choices of enterprises, governments, and netizens are consistent with the situation in Table 14.
(4)
The above analysis of individual response strategies in the formation, development, and control stages of the case of “Ziru increased rental price during the epidemic” is consistent with the dynamic game stability strategy obtained in Section 5.1, Section 5.2, and Section 5.3. As such, our simulation is able to explain the effectiveness of the model and method proposed in real life.

7. Discussion

In this section, we will discuss two issues. First of all, in order to summarize the outstanding contributions of this paper based on the previous literature, we compared the conclusions of relevant studies and discussed the relationship between the existing studies and this paper. Second, the suggestions or measures that can be put forward based on the research conclusions obtained in this paper.

7.1. Relationship with the Existing Literature

It is a priority to discuss the connections with other studies on the topic. Previous studies, such as [15,17], mainly analyzed the transmission mode and evolution subject of online public opinion. This is because of the detailed interpretation of public opinion communication in past studies. On this basis, this paper divides the spreading process of negative public opinion into different stages and analyzes the game mechanism in each stage. In addition, studies [16,19,21] all combine the complex network theory with mathematical modeling from a microscopic point of view in order to analyze the evolution process of public opinion views after the occurrence of enterprise public opinion events. Its research subjects are mainly audience groups, lacking the correlation analysis of other related subjects. Although studies [27,30] summarized the guiding mechanism of enterprises to deal with crisis events of online public opinion from a macro perspective, they are mainly based on the personal experience of researchers or based on the summary of past cases of enterprises dealing with negative public opinion events; there is a lack of quantitative analysis of public opinion.
This paper is based on the stakeholder theory and the life cycle theory of online public opinion communication from the micro and macro perspectives. The negative network public opinion process of enterprises is divided into three stages: formation, development, and control. In different stages, the interest game mechanism among different subjects is discussed, and the game process is simulated by MATLAB. From this analysis, we can achieve the most appropriate stage for enterprises to supervise public opinion. When the official subject participates in supervision, it can stop the fermentation of public opinion over time.

7.2. Contributions and Suggestions

This paper establishes the main game mechanism of enterprise network public opinion events in different development stages and analyzes the individual evolution strategies under different cost or benefit values. According to the conclusions of this paper, we mainly make corresponding suggestions for the two main bodies of government and enterprises. On the one hand, for the government, through the simulation of costs and benefits, this paper can learn how to grasp the punishment in administrative regulations; and how to control the cost of management and control in the implementation of administrative regulations. Further, in different stages of public opinion fermentation, how to use the role of other subjects, such as enterprises and opinion leaders, in analyzed to report and clarify negative public opinion events so as not to damage the credibility of the government and official subjects. At the same time, analyzing the different strategies of relevant subjects at different stages can indirectly understand the development trend of public opinion: for example, in the formation stage of the development of negative public opinion, if most of the stable strategies of opinion leaders are “spreading”; then, the enterprise or the government should regulate the opinion leaders at the formation stage, instead of stopping it when the situation develops to other stages. That is to say, according to the conclusions of this paper, the punishment intensity and scope of government administrative regulations can be adjusted so as to avoid the unlimited spread of negative public opinion by opinion leaders and ordinary netizens.
On the other hand, this paper can give corresponding suggestions and measures to enterprises, such as enterprises can establish a sound management mechanism, can collect various previous public opinion cases and form a database, and refer to the handling methods of each case to improve public opinion management; or introduce relevant talents in the media industry, these professionals can respond quickly when public opinion breaks out, and minimize the losses caused to the company; when there is no public opinion crisis, while maintaining public opinion monitoring, appropriate measures can be taken to guide the direction of public opinion of the mainstream media and enhance the brand image of the enterprise. In addition, from the conclusion of this paper, it can be seen that online media also played a crucial role in the development of negative public opinion events in enterprises. Therefore, enterprises need to increase the publicity of official websites, official Weibo, and official WeChat, establish a communication mechanism with the public, improve the transparency of information, and restore the public’s trust in the company. Enterprises should continuously improve their ability to communicate with the media, establish an external friendly media network, and form a controllable media matrix.

8. Conclusions

In order to obtain the key points of corporate management and control of negative network public opinion, this paper combines stakeholder theory with the life cycle theory of network public opinion dissemination and establishes an evolutionary game model among stakeholders of public opinion events; it then simulates and analyzes the differences on this basis. The influence of cost or benefit is valued for an individual evolutionary stability strategy. Based on the above analysis and the results of simulation experiments, the evolution strategy for enterprise negative network public opinion in the formation, development, and control stages is explored. As it turns out, the following conclusions are obtained:
(1)
In the formation stage of enterprise negative network public opinion, the optimal strategy of the evolutionary game between netizens and opinion leaders is (participation, not disseminate). The opinion leaders will not disseminate an event without consideration of the risk and cost at the initial moment. Instead, they will be more concerned with the comments of ordinary netizens and take a wait-and-see attitude. Therefore, in the formation stage, the enterprise should pay more attention to the comments of ordinary netizens. For example, an enterprise can focus on users with a large number of likes, reposts, and comments on Weibo. At the same time, the enterprise needs to grasp the trend of network public opinion, grasp the focus of netizens’ attention, and use this as a breakthrough to clarify the truth of the incident, and then make corresponding apologies and compensation measures.
(2)
In the development stage of enterprise negative network public opinion, there are two situations in the optimal strategy of the evolutionary game of “online media–enterprise–netizens”: one is (block, positive response, believe), and the other is (promote, negative response, believe). In the above two cases, companies can use the role of online media with greater visibility and credibility to report and clarify negative public opinion events, such as The Paper and People’s Daily, so that the public can have a more comprehensive understanding of the event.
(3)
In the control stage of the enterprise negative network public opinion, there are three situations in the optimal strategy of the evolutionary game of “enterprise–netizens”: the first is (forward, control), the second is (not forward, control), and the third is (not forward, not control). Analysis of the three situations shows that the effectiveness of controlling public opinion depends on the benefits and costs of the government and netizens’ evolutionary strategy choices. From an enterprise’s perspective, in order to further reduce the impact of negative public opinion and reduce the cost of government control, companies must actively cooperate with relevant departments’ investigations, take their own responsibilities, report the progress of incidents in real-time, and reduce unnecessary government control costs. At the same time, companies should promptly warn netizens who have made inappropriate comments, and appropriate legal measures should be taken in serious cases so as to curb the development of the event during the formation of negative network public opinion and increase the risk and cost that netizens need to bear when they express their opinions.
However, this paper still has the following limitations, which need further study:
(1)
Different types of negative events involve different stakeholders and evolutionary game mechanisms. This paper discusses the multi-stakeholder game mechanism in the context of negative public opinion events for Ziru companies. The corresponding conclusions can only be extended to the events of the same type; there is less reference to the game mechanism of other events of different types. Therefore, subsequent research needs to extend the model to different types of events.
(2)
This paper focuses more on the dissemination of negative enterprise public opinion events on the online platform. In real life, some public opinion events are disseminated online and offline simultaneously. Therefore, the discussion of the multi-stakeholder game mechanism in the offline communication process should be added to the follow-up research.
(3)
The subjects involved in this article are all gamed under the assumption of a completely rational economic human. However, in real life, individuals are not completely rational economic people, and their human rationality is limited or bounded. That is, rational capacity is limited by irrational and irrational factors. Further, there are endogenous differences and characteristics between individuals, which are, differences in individual attributes. Therefore, in future studies, such factors should be taken into account.
(4)
From the impact of network topology on the evolution of public opinion in the literature review, it can be seen that its topology plays a key role in the dynamic changes of individual opinions. However, the individual social network structure has not been considered in this paper, so social networks can be considered in future research.

Author Contributions

T.C. (Tinggui Chen) described the proposed framework; L.P. wrote the whole manuscript and implemented the simulation experiments; T.C. (Tianluo Cong) collected data; J.Y. revised the manuscript. All authors have read and agreed to the published version of the manuscript.

Funding

This research is supported by the National Social Science Foundation of China (Grant No. 20BTQ059), the Zhejiang Provincial Natural Science Foundation of China (Grant No. LY22G010003), the Contemporary Business and Trade Research Center and Center for Collaborative Innovation Studies of Modern Business of Zhejiang Gongshang University of China (Grant No. 14SMXY05YB).

Institutional Review Board Statement

Not applicable (This study does not involve humans or animals).

Informed Consent Statement

Not applicable (This study does not involve humans).

Data Availability Statement

The data used to support the findings of this study are available from the corresponding author upon request.

Conflicts of Interest

The authors declare no conflict of interest.

References

  1. Xia, L. An Analysis of the Critical Turn of Values of Enterprises’ Negative Public Opinions. Southeast Commun. 2019, 173, 88–90. [Google Scholar]
  2. Xie, Y.; Liu, L.; Ji, Y.; Rong, T. Annual General Report of Corporate Financial Public Opinion in 2015. New Media Soc. 2016, 2, 14. [Google Scholar]
  3. Ai Mei Public Opinion. 2018 White Paper on the Operation of Online Public Opinion Monitoring of Chinese Enterprise Brands [EB/OL]. Available online: http://www.iimedia.cn/61841.html (accessed on 2 February 2021).
  4. Chen, T.; Peng, L.; Yang, J.; Cong, G. Modeling, simulation, and case analysis of COVID-19 over network public opinion formation with individual internal factors and external information characteristics. Concurr. Comput. Pract. Exp. 2021, 33, e6201. [Google Scholar] [CrossRef] [PubMed]
  5. Chen, T.; Jin, Y.; Yang, J.; Cong, G. Identifying Emergence Process of Group Panic Buying Behavior under the COVID-19 Pandemic. J. Retail. Consum. Serv. 2022, 67, 102970. [Google Scholar] [CrossRef]
  6. Liu, H.; Zhou, Z. An New Interpretation of “Da Vinci Event”—Exploring the Management of Companies’ Public Opinion Crisis under the New Circumstance. East China Econ. Manag. 2012, 9, 506–509. [Google Scholar]
  7. Chen, T.; Zhang, C.; Yang, J.; Cong, G. Grounded Theory-based User Demand Mining and its Impact on APP Downloads: Exampled with WeChat APP. Front. Psychol. 2022, 13, 875310. [Google Scholar]
  8. Zhong, M. Modeling and Simulation of Pseudo Public Opinion Evolution with Bounded Confidence Internet action on Scale-free Charateristics. J. Chin. Mini-Micro Comput. Syst. 2017, 38, 1284–1289. [Google Scholar]
  9. Li, G.; Dong, Q. Analysis and Research on the Communication Process of Enterprise Internet Public Opinion Based on Web2.0. Inf. Sci. 2011, 29, 1810–1814. [Google Scholar]
  10. Gao, Y.; Sun, Y.; Liu, F. Research on the echo chamber effect of social network public opinion dissemination. Inf. Stud. Theory Appl. 2022, 45, 9. [Google Scholar]
  11. Zhou, H.; Wang, G. Constraints and Relief of Social Network Public Opinion Risk Management Based on Blockchain Technology. Inf. Sci. 2021, 39, 8. [Google Scholar]
  12. Li, Z.; Liang, C.; Tang, Z. CEO Social Media Presence and Insider Trading Behavior. Soc. Sci. Electron. Publ. 2021, 3, 1–33. [Google Scholar] [CrossRef]
  13. Pan, C. Analysis of Evolution Phases of Network Public Opinion. Comput. Mod. 2011, 194, 203–206. [Google Scholar]
  14. Yu, T. A Study on the Management and Control of Enterprise Online Public Opinion Based on System Dynamics. Master’s Thesis, Chongqing Technology and Business University, Chongqing, China, 2015. [Google Scholar]
  15. He, F. Research on Early Warning of Enterprise Network Public Opinion Crisis Based on System Dynamics. Master’s Thesis, Capital University of Economics and Business, Beijing, China, 2013. [Google Scholar]
  16. Yao, C. Evolution Mechanism Analysis on Internet Public Opinion of Enterprise Crisis. In Proceedings of the International Conference on Information Systems for Crisis Response & Management, Harbin, China, 25–27 November 2011; pp. 27–29. [Google Scholar]
  17. Bodendorf, F.; Kaiser, C. Detecting Opinion Leaders and Trends in Online Social Networks. In Proceedings of the 2nd ACM Workshop on Social Web Search and Mining, Hong Kong, China, 2 November 2009; pp. 65–68. [Google Scholar]
  18. Chen, X.; Gao, H.; Fu, Y. Situation Analysis and Prediction of Web Public Sentiment. In Proceedings of the International Symposium on Information Science and Engineering, Shanghai, China, 20–22 December 2008; pp. 707–710. [Google Scholar]
  19. Kim, K.; Baek, Y.M.; Kim, N. Online News Diffusion Dynamics and Public Opinion Formation: A Case Study of the Controversy Over Judges’ Personal Opinion Expression on SNS in Korea. Soc. Sci. J. 2015, 52, 205–216. [Google Scholar] [CrossRef]
  20. Sznajd–Weron, K.; Sznajd, J. Opinion Evolution in Closed Community. Int. J. Mod. Phys. C 2000, 11, 1157–1165. [Google Scholar] [CrossRef]
  21. He, M.; Zhang, D.; Wang, H. Public opinion evolution model based on scale-free network topology changes. Acta Phys. Sin. 2010, 8, 7. [Google Scholar]
  22. Zhang, H.; Liu, Y.; Zhang, Z. The influence of topology structure on Internet public opinion dissemination. J. Beijing Jiaotong Univ. 2010, 34, 123–126. [Google Scholar]
  23. Li, W.; He, T. The complex network topology model and evolution mechanism of microblog public opinion dissemination. J. Commun. 2013, 15, 16. [Google Scholar]
  24. Wang, X.; Sun, R. Research on Network Public Opinion Communication of Emergencies Based on SNA-Taking “Wei Zexi Incident” as an Example. Inf. Sci. 2017, 35, 6. [Google Scholar]
  25. Du, Y.; Ma, Y. Simulation Research on Public Opinion Evolution Based on Directed Weighted Network. Inf. Sci. 2019, 37, 5. [Google Scholar]
  26. Zhang, J. A Study on the Evaluation of the Analytic Hierarchy Process-based Enterprise Network Public Opinion Crisis Response. J. Quant. Econ. 2015, 31, 60–63. [Google Scholar]
  27. Lin, Q.; Guo, D. System Dynamics Simulation Research of Enterprise Network Public Opinion Dissemination-Based in the Characteristics of Dissemination Subject. Inf. Sci. 2017, 35, 54–60. [Google Scholar]
  28. Wu, H.; Zhao, X.; He, H.; Xu, D. Case Analysis of Enterprise Crisis Based on Internet Public Opinion-Taking S Mobile Phone Explosion as an Example. Mod. Manag. 2019, 9, 51–58. [Google Scholar] [CrossRef]
  29. Bernoff, J.; Li, C. Harnessing the Power of the Oh-so-social Web. IEEE Eng. Manag. Rev. 2010, 38, 8–15. [Google Scholar] [CrossRef]
  30. Veil, S.R. Mindful Learning in Crisis Management. J. Bus. Commun. 2011, 48, 116–147. [Google Scholar] [CrossRef]
  31. Weiner, D. Crisis Communications: Managing corporate reputation in the court of public opinion. Ivey Bus. J. 2006, 21, 5–30. [Google Scholar]
  32. Song, J. Realistic Value, Coping Mechanism and Experience Enlightenment of Platform Enterprises in Public Crisis Governance-Taking Tencent as an Example. Stat. Manag. 2021, 36, 36–41. [Google Scholar]
  33. Fu, X. Exploring new strategies for corporate network public opinion—A research based on life cycle theory. Commun. Enterp. Manag. 2020, 13, 5. [Google Scholar]
  34. Chen, S.; Wang, X.; Zhang, J. Research on the evaluation of the level of response to corporate negative events on the Internet. Inf. Technol. Netw. Secur. 2022, 41, 6. [Google Scholar]
  35. Liu, X. Research on the dissemination mechanism of enterprise negative network public opinion based on two-level dissemination theory. Shanghai Manag. Sci. 2021, 43, 7. [Google Scholar]
  36. Lei, R. The Information Game-Citizens, Media, Government; Tsinghua University Press: Beijing, China, 2011. [Google Scholar]
  37. Wang, G.; Feng, W.; Wang, Y. Research on Response to Public Opinion Based on the Classification of Network Public Opinion. J. Intell. 2013, 32, 1–4. [Google Scholar]
  38. Noelle-Neumann, E. The Theory of Public Opinion: The Concept of the Spiral of Silence. Ann. Int. Commun. Assoc. 1991, 14, 256–287. [Google Scholar] [CrossRef]
  39. Sinclair, R.C.; Mark, M.M.; MooreS, E. An Electoral Butterfly Effect. Nature 2000, 408, 665–666. [Google Scholar] [CrossRef]
  40. Weibull, J.W. Evolutionary Game Theory; Shanghai People’s Publishing House: Shanghai, China, 2006; pp. 40–48, 88–93. [Google Scholar]
  41. Laslier, J.-F.; Topol, R.; Walliser, B. A Behavioral Learning Process in Games. Games Econ. Behav. 2001, 37, 340–366. [Google Scholar] [CrossRef]
  42. Bing, N.; Wang, Y.; Hu, F. Research on Dissemination and Simulation of Negative Information in Social Network Based on Tripartite Game Theory. Inf. Res. 2018, 9, 1–12. [Google Scholar]
  43. Han, S.; Liu, Y.; Zhang, Y.; Cheng, H. Herd Instinct of Opinion Based on Dynamic Evolutionary Game Theory. J. Syst. Eng. 2011, 26, 275–281. [Google Scholar]
  44. Ghosh, R.; Lerman, K. Rethinking centrality: The role of dynamical processes in social network analysis. Discret. Contin. Dyn. Syst. Ser. B 2014, 19, 1355–1372. [Google Scholar] [CrossRef]
  45. Wlezien, C. Public Opinion and Policy Representation: On Conceptualization, Measurement and Interpretation. Policy Stud. J. 2017, 45, 561–582. [Google Scholar] [CrossRef]
  46. Berinsky, A. Measuring Public Opinion with Surveys. Annu. Rev. Political Sci. 2017, 20, 1513–1524. [Google Scholar] [CrossRef]
  47. Yang, Z. Research on the Evolution of Network Public Opinion of Tourism Crisis and the Guidence Mechanism. Master’s Thesis, Harbin Normal University, Harbin, China, 2018. [Google Scholar]
Figure 1. Research framework.
Figure 1. Research framework.
Systems 10 00140 g001
Figure 2. Opinion leaders-ordinary netizens game tree.
Figure 2. Opinion leaders-ordinary netizens game tree.
Systems 10 00140 g002
Figure 3. Online media-opinion leaders-ordinary netizens game tree.
Figure 3. Online media-opinion leaders-ordinary netizens game tree.
Systems 10 00140 g003
Figure 4. Government-netizen game tree.
Figure 4. Government-netizen game tree.
Systems 10 00140 g004
Figure 5. Dynamic trend phase of “opinion leaders-ordinary netizens” in the formation stage.
Figure 5. Dynamic trend phase of “opinion leaders-ordinary netizens” in the formation stage.
Systems 10 00140 g005
Figure 6. The stable strategy evolution of “ordinary netizens-opinion leaders” in the formation stage.
Figure 6. The stable strategy evolution of “ordinary netizens-opinion leaders” in the formation stage.
Systems 10 00140 g006
Figure 7. φ’s change on the evolution of strategy selection made by ordinary netizens and opinion leaders.
Figure 7. φ’s change on the evolution of strategy selection made by ordinary netizens and opinion leaders.
Systems 10 00140 g007
Figure 8. ζ’s change on the evolution of strategy selection made by ordinary netizens and opinion leaders.
Figure 8. ζ’s change on the evolution of strategy selection made by ordinary netizens and opinion leaders.
Systems 10 00140 g008
Figure 9. U2’s change on the evolution of strategy selection made by ordinary netizens and opinion leaders.
Figure 9. U2’s change on the evolution of strategy selection made by ordinary netizens and opinion leaders.
Systems 10 00140 g009
Figure 10. S3’s change on the evolution of strategy selection made by ordinary netizens and opinion leaders.
Figure 10. S3’s change on the evolution of strategy selection made by ordinary netizens and opinion leaders.
Systems 10 00140 g010
Figure 11. Stabilized at point T2(0, 1, 1).
Figure 11. Stabilized at point T2(0, 1, 1).
Systems 10 00140 g011
Figure 12. α value on game strategy of “online media–enterprise–netizens”.
Figure 12. α value on game strategy of “online media–enterprise–netizens”.
Systems 10 00140 g012
Figure 13. β value on game strategy of “online media–enterprise–netizens”.
Figure 13. β value on game strategy of “online media–enterprise–netizens”.
Systems 10 00140 g013
Figure 14. Stabilized at point T3(1, 0, 1).
Figure 14. Stabilized at point T3(1, 0, 1).
Systems 10 00140 g014
Figure 15. α values on the evolution trend of the probability of “online media–enterprise–netizens” strategy selection.
Figure 15. α values on the evolution trend of the probability of “online media–enterprise–netizens” strategy selection.
Systems 10 00140 g015
Figure 16. β values on the evolution trend of the probability of “online media–enterprise–netizens” strategy selection.
Figure 16. β values on the evolution trend of the probability of “online media–enterprise–netizens” strategy selection.
Systems 10 00140 g016
Figure 17. Case 1: Game system evolution composed of netizens and the government tends to the stable point T4(1, 1). (a) Evolution of netizens and government. (b) Game system evolution composed of netizens and the government.
Figure 17. Case 1: Game system evolution composed of netizens and the government tends to the stable point T4(1, 1). (a) Evolution of netizens and government. (b) Game system evolution composed of netizens and the government.
Systems 10 00140 g017
Figure 18. Case 2: Game system evolution composed of netizens and the government tends to the stable point T5(0, 1). (a) Evolution of netizens and government. (b) Game system evolution composed of netizens and the government.
Figure 18. Case 2: Game system evolution composed of netizens and the government tends to the stable point T5(0, 1). (a) Evolution of netizens and government. (b) Game system evolution composed of netizens and the government.
Systems 10 00140 g018
Figure 19. Case 3: Game system evolution composed of netizens and the government tends to the stable point T6(0, 0). (a) Evolution of netizens and government. (b) Game system evolution composed of netizens and the government.
Figure 19. Case 3: Game system evolution composed of netizens and the government tends to the stable point T6(0, 0). (a) Evolution of netizens and government. (b) Game system evolution composed of netizens and the government.
Systems 10 00140 g019
Figure 20. Case 1: The influence of government control probability λ on the “netizens–government” strategy choice.
Figure 20. Case 1: The influence of government control probability λ on the “netizens–government” strategy choice.
Systems 10 00140 g020
Figure 21. Case 1: The influence of the netizens’ probability of spreading μ on the “netizens–government” strategy choice.
Figure 21. Case 1: The influence of the netizens’ probability of spreading μ on the “netizens–government” strategy choice.
Systems 10 00140 g021
Figure 22. Case 2: The influence of the government control probability λ on the “netizens–government” strategy choice.
Figure 22. Case 2: The influence of the government control probability λ on the “netizens–government” strategy choice.
Systems 10 00140 g022
Figure 23. Case 2: The influence of netizens’ probability of spreading μ on the “netizens–government” strategy choice.
Figure 23. Case 2: The influence of netizens’ probability of spreading μ on the “netizens–government” strategy choice.
Systems 10 00140 g023
Figure 24. Case 3: The influence of government control probability λ on the “netizens–government” strategy choice.
Figure 24. Case 3: The influence of government control probability λ on the “netizens–government” strategy choice.
Systems 10 00140 g024
Figure 25. Case 3: The influence of the netizens’ probability of spreading μ on the “netizens−government” strategy choice.
Figure 25. Case 3: The influence of the netizens’ probability of spreading μ on the “netizens−government” strategy choice.
Systems 10 00140 g025
Figure 26. Review of “Ziru increased rental price during the epidemic” event.
Figure 26. Review of “Ziru increased rental price during the epidemic” event.
Systems 10 00140 g026
Figure 27. Comments on “Ziru increased rental price during the epidemic” event.
Figure 27. Comments on “Ziru increased rental price during the epidemic” event.
Systems 10 00140 g027
Table 1. Parameter definitions in the game process of “opinion leaders-ordinary netizens”.
Table 1. Parameter definitions in the game process of “opinion leaders-ordinary netizens”.
ParameterDefinitions
φThe probability that ordinary netizens choose to spread negative network public opinion events
ζThe probability that opinion leaders choose to spread negative network public opinion events
S1(S1 > S2)The cost of opinion leaders choosing to spread public opinion events
S2The cost of ordinary netizens choosing to spread public opinion events
S3The risk cost when opinion leaders or ordinary netizens participate in the dissemination of public opinion events
U1(U1 > U2)The benefit when opinion leaders and ordinary netizens participate in the dissemination of public opinion events
U2The benefit of participator when opinion leaders or ordinary netizens participate in the dissemination of public opinion events
Table 2. Income risk matrix of “opinion leaders-ordinary netizens”.
Table 2. Income risk matrix of “opinion leaders-ordinary netizens”.
No.CombinationOpinion LeadersOrdinary Netizens
1(dissemination, dissemination)U1S1U1S2
2(dissemination, non-dissemination)U2S1S30
3(non-dissemination, dissemination)0U2S2S3
4(non-dissemination, non-dissemination)00
Table 3. Parameter definitions in the game process of “online media-opinion leaders-ordinary netizens”.
Table 3. Parameter definitions in the game process of “online media-opinion leaders-ordinary netizens”.
ParameterDefinition
αThe probability that online media choose to promote negative public opinion events
βThe probability that enterprises choose to respond positively to public opinion events
γThe probability that netizens choose to trust the enterprise’s response
RAThe fixed gain of enterprises when the enterprise attracts netizen’s attention when negative public opinion take place
ReThe additional gain of enterprises when netizens choose to believe in the enterprise’s responses
C1The cost of enterprises responding positively to negative events
C2The cost of enterprises responding negatively to negative events
C3The cost of online media to follow up and respond to the negative public opinion
P1The enterprise’s profit from responding positively to public opinion and taking positive measures to restore its image to the public
P2The enterprise’s profit from responding positively to public opinion, which is trusted by netizens
P3The enterprise’s profit from responding positively to public opinion, which is promoted by online media
L1The enterprise’s loss from responding negatively to public opinion and hurting public image
L2The enterprise’s loss from responding negatively when online media promote public opinion development, which further hurts its public image
D1The netizen’s benefit of a sense of group belonging and identity when netizens believe in the enterprise’s explanation, if they are promoted by online media
D2The netizen’s loss of psychological gap when netizens believe in the enterprise’s explanation, if they are blocked by online media
D3The netizens’ cost of trusting an enterprise that respond negatively
W1The enterprise’s pressure to respond negatively when online media promote public opinion development
W2The benefit of increased flow, attention, and advertisement profit when online media promote public opinion development
W3The loss of reduced platform influence and attention when online media blocks public opinion development
Table 4. Income risk matrix of “online media-opinion leaders-ordinary netizens”.
Table 4. Income risk matrix of “online media-opinion leaders-ordinary netizens”.
No.Combination Online MediaEnterpriseNetizen
1(promote, positive response, trust)C3 + W2RAC1 + Re + P1 + P2 + P3D1
2(promote, positive response, not trust)C3 + W2RAC1 + P1 + P3D1
3(promote, negative response, trust)C3W1 + W2RAC2L1L2 + ReD1D3
4(promote, negative response, not trust)C3W1 + W2RAC2L1L2D1D3
5(block, positive response, trust)W3RAC1 + Re + P1 + P2D2
6(block, positive response, not trust)W3RAC1 + P1D2
7(block, negative response, trust)W3RAC2 + ReL1D2D3
8(block, negative response, not trust)W3RAC2L1D2
Table 5. Parameter definitions in the game process of “government-netizens”.
Table 5. Parameter definitions in the game process of “government-netizens”.
ParameterDefinition
λThe probability that the government chooses to control the development of public opinion
μThe probability that netizens choose to spread negative public opinion events
C4The cost of time, effort, searching, and other costs for netizens to spread negative public opinion events
C5The cost of government control, if it is not controlled, the cost is 0
N1The netizens’ benefits of obtaining a sense of belonging while spreading negative public opinion incidents to force government departments to pay attention to this public opinion incident and promptly take control of it
N2The netizens’ loss of not spreading negative public opinion incidents to force government departments to pay attention to this public opinion incident and take control of it
M1The netizens’ benefits of obtaining trust while spreading negative public opinion incidents to force government departments to pay attention to this public opinion incident and promptly take control of it
M2The netizens’ benefits of obtaining social stability while government departments take control of public opinion no matter if they spread or not
M3The government’s loss of reduced social credibility when they do not control public opinion
M4The government’s loss of reduced social credibility if they do not control public opinion while netizens spread it
Table 6. Income risk matrix of “government-netizens”.
Table 6. Income risk matrix of “government-netizens”.
NoCombinationNetizenGovernment
1(forward, control)C4 + N1C5 + M2 + M1
2(forward, not control)C4N2M3M4
3(not forward, control)0C5 + M2
4(not forward, not control)0M3
Table 7. Evolutionary equilibrium strategy of “opinion leaders-ordinary netizens”.
Table 7. Evolutionary equilibrium strategy of “opinion leaders-ordinary netizens”.
No.φζEquilibrium Point
1 φ = S 1 + S 3 U 2 U 1 U 2 + S 3 ζ = S 2 + S 3 U 2 U 1 U 2 + S 3 (φ, ζ)
2 φ > S 1 + S 3 U 2 U 1 U 2 + S 3 ζ > S 2 + S 3 U 2 U 1 U 2 + S 3 (1, 1)
3 φ > S 1 + S 3 U 2 U 1 U 2 + S 3 ζ < S 2 + S 3 U 2 U 1 U 2 + S 3 (0, 1)
4 φ < S 1 + S 3 U 2 U 1 U 2 + S 3 ζ > S 2 + S 3 U 2 U 1 U 2 + S 3 (1, 0)
5 φ < S 1 + S 3 U 2 U 1 U 2 + S 3 ζ < S 2 + S 3 U 2 U 1 U 2 + S 3 (0, 0)
Table 8. Analysis of the partial stability of the evolutionary game system of “opinion leaders-ordinary netizens”.
Table 8. Analysis of the partial stability of the evolutionary game system of “opinion leaders-ordinary netizens”.
Equilibrium PointdetJ SymboltrJ SymbolEquilibrium ConditionResultEquilibrium Strategy
(φ, ζ)uncertainSaddle point
(1, 1)uncertainSaddle point
(0, 1)uncertainSaddle point
(1, 0)+S2S1 + S3 + U1U2 < 0;ESS1(disseminate, not disseminate)
(0, 0)uncertainSaddle point
Table 9. Equilibrium point of the game process among “online media-enterprises-netizens”.
Table 9. Equilibrium point of the game process among “online media-enterprises-netizens”.
Online MediaThe Probability β of the Enterprise Choosing to Respond Positively to Public Opinion EventsJudge the value of the Equilibrium Point by d F ( α ) d α Positive and Negative ValueEquilibrium Point
β = C 3 + W 1 W 2 W 3 W 1 _Take any value
β > C 3 + W 1 W 2 W 3 W 1 d F ( α ) d α | α = 0 > 0 , d F ( α ) d α | α = 1 < 0 α = 1
β < C 3 + W 1 W 2 W 3 W 1 d F ( α ) d α | α = 0 < 0 , d F ( α ) d α | α = 1 > 0 α = 0
EnterpriseThe probability γ of the netizens choosing to believe the company’s responseJudge the value of the Equilibrium Point by d F ( β ) d β positive and negative valueequilibrium point
γ = C 1 P 1 C 2 L 1 + α ( L 2 P 3 ) P 2 _Take any value
γ > C 1 P 1 C 2 L 1 + α ( L 2 P 3 ) P 2 d F ( β ) d β | β = 0 > 0 , d F ( β ) d β | β = 1 < 0 β = 1
γ < C 1 P 1 C 2 L 1 + α ( L 2 P 3 ) P 2 d F ( β ) d β | β = 0 < 0 , d F ( β ) d β | β = 1 > 0 β = 0
Ordinary NetizenThe probability α of the online media choosing to promote the development of negative public opinionJudge the value of the Equilibrium Point by d F ( γ ) d γ positive and negative valueequilibrium point
α = D 2 + D 3 β D 3 D 1 + D 2 _Take any value
α > D 2 + D 3 β D 3 D 1 + D 2 d F ( γ ) d γ | γ = 0 < 0 , d F ( γ ) d γ | γ = 1 > 0 γ = 0
α < D 2 + D 3 β D 3 D 1 + D 2 d F ( γ ) d γ | γ = 0 > 0 , d F ( γ ) d γ | γ = 1 < 0 γ = 1
Table 10. Evolutionary equilibrium strategy among “online media–enterprise–netizens”.
Table 10. Evolutionary equilibrium strategy among “online media–enterprise–netizens”.
No.Β Value α ValueΓ ValueEquilibrium Point E
1 β = C 3 + W 1 W 2 W 3 W 1 α = D 2 + D 3 β D 3 D 1 + D 2 γ = C 1 P 1 C 2 L 1 + α ( L 2 P 3 ) P 2 (α, β, γ)
2 β > C 3 + W 1 W 2 W 3 W 1 α > D 2 + D 3 β D 3 D 1 + D 2 γ > C 1 P 1 C 2 L 1 + α ( L 2 P 3 ) P 2 (0, 1, 1)
3 β > C 3 + W 1 W 2 W 3 W 1 α > D 2 + D 3 β D 3 D 1 + D 2 γ < C 1 P 1 C 2 L 1 + α ( L 2 P 3 ) P 2 (0, 1,0)
4 β > C 3 + W 1 W 2 W 3 W 1 α < D 2 + D 3 β D 3 D 1 + D 2 γ > C 1 P 1 C 2 L 1 + α ( L 2 P 3 ) P 2 (1, 1, 1)
5 β > C 3 + W 1 W 2 W 3 W 1 α < D 2 + D 3 β D 3 D 1 + D 2 γ < C 1 P 1 C 2 L 1 + α ( L 2 P 3 ) P 2 (1, 1, 0)
6 β < C 3 + W 1 W 2 W 3 W 1 α > D 2 + D 3 β D 3 D 1 + D 2 γ > C 1 P 1 C 2 L 1 + α ( L 2 P 3 ) P 2 (0, 0, 1)
7 β < C 3 + W 1 W 2 W 3 W 1 α > D 2 + D 3 β D 3 D 1 + D 2 γ < C 1 P 1 C 2 L 1 + α ( L 2 P 3 ) P 2 (0, 0, 0)
8 β < C 3 + W 1 W 2 W 3 W 1 α < D 2 + D 3 β D 3 D 1 + D 2 γ > C 1 P 1 C 2 L 1 + α ( L 2 P 3 ) P 2 (1, 0, 1)
9 β < C 3 + W 1 W 2 W 3 W 1 α < D 2 + D 3 β D 3 D 1 + D 2 γ < C 1 P 1 C 2 L 1 + α ( L 2 P 3 ) P 2 (1, 0, 0)
Table 11. Analysis of the partial stability of the evolutionary game system of “online media–enterprise–netizens”.
Table 11. Analysis of the partial stability of the evolutionary game system of “online media–enterprise–netizens”.
Equilibrium PointdetJ SymboltrJ SymbolStable ConditionResultStable Strategy
(α, β, γ)+0Saddle Point
(0, 1, 1)+C3W2W3 > 0;
C1C2P1P2L1 < 0;
C1C2P1P2L1 − (C3W2W3) + D2 < 0
ESS2Situation 1: (Block, respond positively, believe)
(0, 1, 0)Saddle Point
(1, 1, 1)Saddle Point
(1, 1, 0)Saddle Point
(0, 0, 1)++Saddle Point
(0, 0, 0)Saddle Point
(1, 0, 1)+C1C2L1 + L2P2P3P1 > 0;
C3 + W1W2W3 < 0;
(C3 + W1W2W3) + C2C1 + L1 − L2 + P1 + P2 + P3D1 + D3 < 0;
ESS3Situation 2: (Promote, respond negatively, believe)
(1, 0, 0)Saddle Point
Table 12. The analysis of the equilibrium point of the “netizen–government” dynamic game in the control stage.
Table 12. The analysis of the equilibrium point of the “netizen–government” dynamic game in the control stage.
NetizenThe λ Value of Government Controlling Public OpinionJudge the value of the Equilibrium d F ( μ ) d μ Point by Positive and Negative ValueEquilibrium Point
λ = C 4 + N 2 N 1 + N 2 _μ take any value
λ > C 4 + N 2 N 1 + N 2 d F ( μ ) d μ | μ = 0 > 0 , d F ( μ ) d μ | μ = 1 < 0 μ = 1
λ < C 4 + N 2 N 1 + N 2 d F ( μ ) d μ | μ = 0 < 0 , d F ( μ ) d μ | μ = 1 > 0 μ = 0
GovernmentThe μ value of netizens spreading public opinionJudge the value of the equilibrium point d F ( λ ) d λ by positive and negative valueequilibrium point
μ = C 5 M 2 M 3 M 1 + M 4 _λ take any value
μ > C 5 M 2 M 3 M 1 + M 4 d F ( λ ) d λ | λ = 0 > 0 , d F ( λ ) d λ | λ = 1 < 0 λ = 1
μ < C 5 M 2 M 3 M 1 + M 4 d F ( λ ) d λ | λ = 0 < 0 , d F ( λ ) d λ | λ = 1 > 0 λ = 0
Table 13. Stable analysis.
Table 13. Stable analysis.
No.μ Valueλ ValueEquilibrium Point E
1 μ = C 5 M 2 M 3 M 1 + M 4 λ = C 4 + N 2 N 1 + N 2 (μ, λ)
2 μ > C 5 M 2 M 3 M 1 + M 4 λ > C 4 + N 2 N 1 + N 2 (1, 1)
3 μ > C 5 M 2 M 3 M 1 + M 4 λ < C 4 + N 2 N 1 + N 2 (0, 1)
4 μ < C 5 M 2 M 3 M 1 + M 4 λ > C 4 + N 2 N 1 + N 2 (1, 0)
5 μ < C 5 M 2 M 3 M 1 + M 4 λ < C 4 + N 2 N 1 + N 2 (0, 0)
Table 14. Analysis of the partial stability of the evolutionary game system of “netizen–government”.
Table 14. Analysis of the partial stability of the evolutionary game system of “netizen–government”.
Equilibrium PointdetJ SymboltrJ SymbolStability ConditionResultStability Strategy
(μ, λ)Saddle point
(1, 1)+C4N1 < 0
C5M1M2M3M4 < 0
ESS4(forward, control)
(0, 1)+C4N1 > 0
C5M2M3 < 0
ESS5(not forward, control)
(1, 0)Saddle point
(0, 0)+C5M2M3 > 0ESS6(not forward, not control)
Table 15. Parameters under three conditions.
Table 15. Parameters under three conditions.
ParameterDefinitionThe First Condition (Netizens, Government) = (μ, λ) = (Forward, Control) = (1, 1)The Second Condition (Netizens, Government) = (μ, λ) = (Not Forward, Control) = (0, 1)The Third Condition (Netizens, Government) = (μ, λ) = (Not Forward, Not Control) = (0, 0)
λThe probability that the government chooses to control the development of public opinion0.50.50.5
μThe probability that netizens choose to spread negative public opinion events0.50.50.5
C4The cost of time, effort, searching and other costs for netizens to spread negative public opinion events0.211
C5The cost of government control; if it is not controlled, the cost is 0111
N1The netizens’ benefits of obtaining a sense of belonging while spreading negative public opinion incidents to force government departments to pay attention to this public opinion incident and promptly take control of it10.20.2
N2The netizens’ loss of not spreading negative public opinion incidents to force government departments to pay attention to this public opinion incident and take control of it0.10.10.1
M1The netizens’ benefits of obtaining trust while spreading negative public opinion incidents to force government departments to pay attention to this public opinion incident and promptly take control of it1.21.21.2
M2The netizens’ benefits of obtaining social stability while government departments take control of public opinion no matter if they spread or not110.1
M3The government’s loss of reduced social credibility when they do not control public opinion 1.51.50.5
M4The government’s loss of reduced social credibility if they do not control public opinion while netizens spreading222
Publisher’s Note: MDPI stays neutral with regard to jurisdictional claims in published maps and institutional affiliations.

Share and Cite

MDPI and ACS Style

Peng, L.; Chen, T.; Yang, J.; Cong, T. Management and Control of Enterprise Negative Network Public Opinion Dissemination Based on the Multi-Stakeholder Game Mechanism in China. Systems 2022, 10, 140. https://doi.org/10.3390/systems10050140

AMA Style

Peng L, Chen T, Yang J, Cong T. Management and Control of Enterprise Negative Network Public Opinion Dissemination Based on the Multi-Stakeholder Game Mechanism in China. Systems. 2022; 10(5):140. https://doi.org/10.3390/systems10050140

Chicago/Turabian Style

Peng, Lijuan, Tinggui Chen, Jianjun Yang, and Tianluo Cong. 2022. "Management and Control of Enterprise Negative Network Public Opinion Dissemination Based on the Multi-Stakeholder Game Mechanism in China" Systems 10, no. 5: 140. https://doi.org/10.3390/systems10050140

APA Style

Peng, L., Chen, T., Yang, J., & Cong, T. (2022). Management and Control of Enterprise Negative Network Public Opinion Dissemination Based on the Multi-Stakeholder Game Mechanism in China. Systems, 10(5), 140. https://doi.org/10.3390/systems10050140

Note that from the first issue of 2016, this journal uses article numbers instead of page numbers. See further details here.

Article Metrics

Back to TopTop