Does Size Matters? Relationships among Social Dominance and Some Morphometric Traits upon Out-of-Season Reproductive Outcomes in Anestrus Dairy Goats Treated with P4 + eCG
Simple Summary
Abstract
1. Introduction
2. Material and Methods
2.1. General
2.2. Location, Environmental Conditions, Animals, and Their Management
2.3. Behavioral Study
2.4. Measurement of Morphometric Variables and Indices according to the Social Rank Status
2.5. Progesterone + eCG-Based Estrus Induction Protocol Using Two Different eCG Doses (100 and 350 IU)
2.6. Statistical Analyses
3. Results
3.1. Effect of Social Rank upon the Response Variables
3.2. Effect of Social Rank × eCG Dose Interaction upon the Response Variables
3.3. Correlation Coefficients between the Reproductive and Morphometric Response Variables
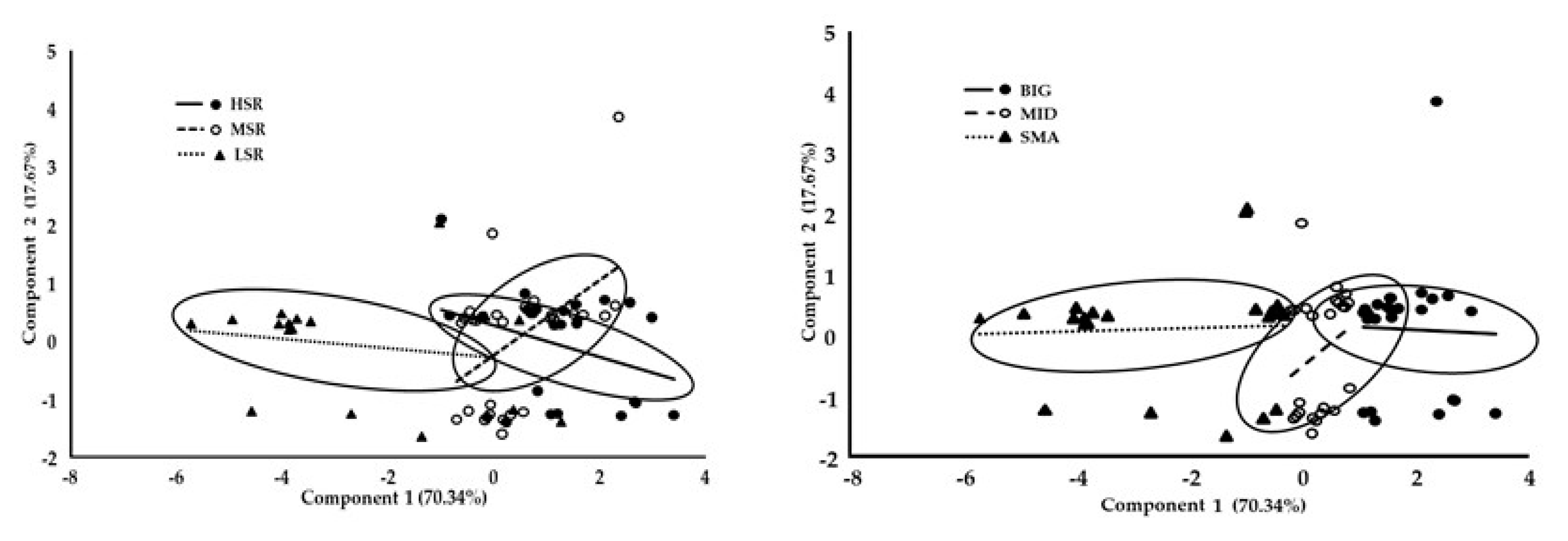
3.4. Principal Component Analyses of the Morphometric Measurements
4. Discussion
5. Conclusions
Author Contributions
Funding
Acknowledgments
Conflicts of Interest
References
- Alvarez, L.; Martin, G.B.; Galindo, F.; Zarco, L. Social dominance of female goats affects their response to the male effect. Appl. Anim. Behav. Sci. 2003, 84, 119–126. [Google Scholar] [CrossRef]
- Côté, S. Dominance hierarchies in female mountain goats: Stability, aggressiveness and determinants of rank. Behaviour 2000, 137, 1541–1566. [Google Scholar] [CrossRef]
- Fournier, F.; Festa-Bianchet, M. Social dominance in adult female mountain goats. Anim. Behav. 1995, 49, 1449–1459. [Google Scholar] [CrossRef]
- Barroso, F.G.; Alados, C.L.; Boza, J. Social hierarchy in the domestic goat: Effect on food habits and production. Appl. Anim. Behav. Sci. 2000, 69, 35–53. [Google Scholar] [CrossRef]
- Andersen, I.L.; Bøe, K.E. Resting pattern and social interactions in goat-The impact of size and organisation of lying space. Appl. Anim. Behav. Sci. 2007, 108, 89–103. [Google Scholar] [CrossRef]
- Álvarez, L.; Ramos, A.; Zarco, L. The ovulatory and LH responses to the male effect in dominant and subordinate goats. Small Rumin. Res. 2009, 83, 29–33. [Google Scholar] [CrossRef]
- Zuñiga-Garcia, S.; Meza-Herrera, C.; Mendoza-Cortina, A.; Otal, J.; Perez-Marín, C.; Lopez-Flores, N.M.; Carrillo, E.; Calderon-Leyva, G.; Gutierrez-Guzman, U.N.; Véliz-Deras, F.G. Effect of social rank upon estrus induction and some reproductive outcomes in anestrus goats treated with progesterone + eCG. Animals 2020, 10, 1125. [Google Scholar] [CrossRef]
- Álvarez, L.; Zarco, L.; Galindo, F.; Blache, D.; Martin, G.B. Social rank and response to the “male effect” in the Australian Cashmere goat. Anim. Reprod. Sci. 2007, 102, 258–266. [Google Scholar] [CrossRef]
- Escareño, L.; Wurzinger, M.; Iñiguez, L.; Soelkner, J.; Salinas, H.; Meza-Herrera, C.A. Dairy goat production systems in dry areas: Status-quo, perspectives and challenges. Trop. Anim. Health Prod. 2013, 45, 17–34. [Google Scholar] [CrossRef]
- Isidro-Requejo, L.M.; Meza-Herrera, C.; Pastor-López, F.J.; Maldonado, J.A.; Salinas-Gonzalez, H. Physicochemical characterization of goat milk produced in the Comarca Lagunera, Mexico. Anim. Sci. J. 2019, 90, 563–573. [Google Scholar] [CrossRef]
- Navarrete-Molina, C.; Meza-Herrera, C.; Herrera-Machuca, M.; Macias-Cruz, U.; Veliz-Deras, F. Not all ruminants were created equal: Environmental and socio-economic sustainability of goats under a marginal-extensive production system. J. Clean. Prod. 2020, 255, 120237. [Google Scholar] [CrossRef]
- Montaldo, H.H.; Meza-Herrera, C.A. Genetic goat resources in Mexico: Bio-economical efficiency of local and specialized genotypes. Wool Tech. Sheep Bree. 1999, 47, 184–198. [Google Scholar]
- Pérez-Razo, M.; Sánchez, F.; Torres-Hernández, G.; Becerril-Pérez, C.; Gallegos-Sanchez, J.; González-Cosío, F.; Meza-Herrera, C. Risk factors associated with dairy goats stayability. Livest. Prod. Sci. 2004, 89, 139–146. [Google Scholar] [CrossRef]
- Gonzalez-Bulnes, A.; Meza-Herrera, C.A.; Rekik, M.; Ben Salem, H.; Kridli, R.T. Limiting factors and strategies for improving reproductive outputs of small ruminants reared in semi-arid environments. In Semi-Arid Environments: Agriculture, Water Supply and Vegetation; Degenovine, K.M., Ed.; Nova Science Publishers Inc.: Hauppauge, NY, USA, 2011; pp. 41–60. [Google Scholar]
- Meza-Herrera, C.A.; Tena-Sempere, M. Interface between nutrition and reproduction: The very basis of production. In Animal Reproduction in Livestock-Encyclopedia of Life Support Systems; Astiz, S., Gonzalez, A., Eds.; Eolss Publishers: Oxford, UK, 2012. [Google Scholar]
- Meza-Herrera, C.; Serradilla, J.; Muñoz-Mejías, M.; Baena-Manzano, F.; Menéndez-Buxadera, A. Effect of breed and some environmental factors on body weights till weaning and litter size in five goat breeds in Mexico. Small Rumin. Res. 2014, 121, 215–219. [Google Scholar] [CrossRef]
- Meza-Herrera, C.; Menendez-Buxadera, A.; Serradilla, J.; Lopez-Villalobos, N.; Baena-Manzano, F. Estimates of genetic parameters and heterosis for birth weight, one-month weight and litter size at birth in five goat breeds. Small Rumin. Res. 2019, 174, 19–25. [Google Scholar] [CrossRef]
- Contreras-Villarreal, V.; Meza-Herrera, C.A.; Rivas-Muñoz, R.; Angel-Garcia, O.; Luna-Orozco, J.R.; Carrillo, E.; Mellado, M.; Veliz-Deras, F.G. Reproductive performance of seasonally anovular mixed-bred dairy goats induced to ovulate with a combination of progesterone and eCG or estradiol. Anim. Sci. J. 2015, 87, 750–755. [Google Scholar] [CrossRef]
- Martemucci, G.; D’Alessandro, A. Induction/synchronization of oestrus and ovulation in dairy goats with different short term treatments and fixed time intrauterine or exocervical insemination system. Anim. Reprod. Sci. 2011, 126, 187–194. [Google Scholar] [CrossRef] [PubMed]
- Abecia, J.A.; Forcada, F.; González-Bulnes, A. Hormonal control of reproduction in small ruminants. Anim. Reprod. Sci. 2012, 130, 173–179. [Google Scholar] [CrossRef] [PubMed]
- Alvarado-Epino, A.S.; Meza-Herrera, C.; Carrillo, E.; González-Álvarez, V.; Guillén-Muñoz, J.M.; Angel, O.; Mellado, M.; Véliz-Deras, F.G. Reproductive outcomes of Alpine goats primed with progesterone and treated with human chorionic gonadotropin during the anestrus-to-estrus transition season. Anim. Reprod. Sci. 2016, 167, 133–138. [Google Scholar] [CrossRef]
- Simões, J. Recent advances on synchronization of ovulation in goats, out of season, for a more sustainable production. Asian Pac. J. Reprod. 2015, 4, 157–165. [Google Scholar] [CrossRef]
- Leboeuf, B.; Forgerit, Y.; Bernelas, D.; Pougnard, J.; Senty, E.; Driancourt, M. Efficacy of two types of vaginal sponges to control onset of oestrus, time of preovulatory LH peak and kidding rate in goats inseminated with variable numbers of spermatozoa. Theriogenology 2003, 60, 1371–1378. [Google Scholar] [CrossRef]
- Menchaca, A.; Rubianes, E. Pregnancy Rate Obtained with Short-term Protocol for Timed Artificial Insemination in Goats. Reprod. Domest. Anim. 2007, 42, 590–593. [Google Scholar] [CrossRef]
- Zarazaga, L.; Gatica, M.; Gallego-Calvo, L.; Celi, I.; Guzman, J.; Guzmán, J.L. The timing of oestrus, the preovulatory LH surge and ovulation in Blanca Andaluza goats synchronised by intravaginal progestagen sponge treatment is modified by season but not by body condition score. Anim. Reprod. Sci. 2014, 146, 170–175. [Google Scholar] [CrossRef]
- Véliz-Deras, F.G.; Zúñiga-García, S.; Calderón-Leyva, G.; Otal-Salaverri, J.; Moreno-Avalos, S.; Arellano-Rodríguez, F. Evaluation of different eCG doses + progesterone to induce reproductive activity during the transitional reproductive season in anestrous creole goats. Legum. Res. Int. J. 2020. [Google Scholar] [CrossRef]
- Ceacero, F.; Garcia, A.J.; Landete-Castillejos, T.; Bartošová, J.; Bartoš, L.; Gallego, L. Benefits for dominant red deer hinds under a competitive feeding system: Food access behavior, diet and nutrient selection. PLoS ONE 2012, 7, e32780. [Google Scholar] [CrossRef] [PubMed]
- Esposito, L.; De Nicola, D.; Balestrieri, A.; Petrovas, G.; Licitra, F.; Salzano, A.; Neglia, G. Effect of live body weight and method of synchronization on ovulation, pregnancy rate and embryo and fetal loss in buffalo heifers. Anim. Reprod. 2019, 16, 859–863. [Google Scholar] [CrossRef] [PubMed]
- Šárová, R.; Špinka, M.; Ceacero, F. Higher dominance position does not result in higher reproductive success in female beef cattle. J. Anim. Sci. 2017, 95, 3301–3309. [Google Scholar] [CrossRef]
- FASS. Guide for the Care and Use of Agricultural Animals in Agricultural Research and Teaching, 3rd ed.; Federation Animal Science Society: Champaing, IL, USA, 2010; p. 177. [Google Scholar]
- NAM-National Academy of Medicine. Guide for the Care and Use of Laboratory Animals, 1st ed.; National Academy of Medicine-Mexico and the Association for Assessment and Accreditation of Laboratory Animal Care International: Harlan, Mexico City, Mexico, 2010. [Google Scholar]
- Walkden-Brown, S.; Restall, B.; Scaramuzzi, R.; Martin, G.; Blackberry, M. Seasonality in male Australian cashmere goats: Long term effects of castration and testosterone or oestradiol treatment on changes in LH, FSH and prolactin concentrations, and body growth. Small Rumin. Res. 1997, 26, 239–252. [Google Scholar] [CrossRef]
- Luna-Orozco, J.R.; Guillen-Muñoz, J.M.; Santiago-Miramontes, M.D.L.A.D.; García, J.E.; Rodríguez-Martínez, R.; Meza-Herrera, C.A.; Mellado, M.; Véliz-Deras, F.G. Influence of sexually inactive bucks subjected to long photoperiod or testosterone on the induction of estrus in anovulatory goats. Trop. Anim. Heal. Prod. 2011, 44, 71–75. [Google Scholar] [CrossRef]
- Johnson, P.D.; Besselsen, D.G. Practical aspects of experimental design in animal research. ILAR J. 2002, 43, 202–206. [Google Scholar] [CrossRef]
- Murphy, B.D. Equine chorionic gonadotropin: An enigmatic but essential tool. Anim. Reprod. 2012, 9, 223–230. [Google Scholar]
- Fiol, C.; Carriquiry, M.; Ungerfeld, R. Social dominance in prepubertal dairy heifers allocated in continuous competitive dyads: Effects on body growth, metabolic status, and reproductive development. J. Dairy Sci. 2017, 100, 2351–2359. [Google Scholar] [CrossRef]
- Herbison, A.E. Control of puberty onset and fertility by gonadotropin-releasing hormone neurons. Nat. Rev. Endocrinol. 2016, 12, 452–466. [Google Scholar] [CrossRef] [PubMed]
- Wang, L.; Burger, L.L.; Greenwald-Yarnell, M.L.; Myers, M.G.; Moenter, S.M. Glutamatergic transmission to hypothalamic kisspeptin neurons is differentially regulated by estradiol through estrogen receptor α in adult female mice. J. Neurosci. 2017, 38, 1061–1072. [Google Scholar] [CrossRef] [PubMed]
- Fuente-Martín, E.; García-Cáceres, C.; Granado, M.; De Ceballos, M.L.; Sánchez-Garrido, M.; Ángel Sarman, B.; Liu, Z.-W.; Dietrich, M.O.; Tena-Sempere, M.; Argente-Arizón, P.; et al. Leptin regulates glutamate and glucose transporters in hypothalamic astrocytes. J. Clin. Investig. 2012, 122, 3900–3913. [Google Scholar] [CrossRef]
- Meza-Herrera, C.A. Puberty, kisspeptin and glutamate: A ceaseless golden braid. In Advances in Medicine and Biology; Berhardt, L.V., Ed.; Nova Science Publishers Inc.: Hauppauge, NY, USA, 2012; Volume 52, pp. 97–124. [Google Scholar]
- Donato, J.; Elias, C.F. The Ventral premammillary nucleus links metabolic cues and reproduction. Front. Endocrinol. 2011, 2, 47. [Google Scholar] [CrossRef]
- Leshan, R.L.; Ptaff, D.W. The hypothalamic ventral premmamillary nucleus: A key site in leptin´s regulation of reproduction. J. Chem. Neuroanat. 2014, 61-62, 239–247. [Google Scholar] [CrossRef]
- Maffucci, J.A.; Gore, A.C. Chapter 2 Hypothalamic neural systems controlling the female reproductive life cycle. Int. Rev. Cell Mol. Biol. 2009, 274, 69–127. [Google Scholar] [CrossRef]
- Roth, C.; Schricker, M.; Lakomek, M.; Strege, A.; Heiden, I.; Luft, H.; Munzel, U.; Wuttke, W.; Jarry, H. Autoregulation of the gonadotropin-releasing hormone (GnRH) system during puberty: Effects of antagonistic versus agonistic GnRH analogs in a female rat model. J. Endocrinol. 2001, 169, 361–371. [Google Scholar] [CrossRef]
- Meza-Herrera, C.; Torres-Moreno, M.; López-Medrano, J.; Gonzalez-Bulnes, A.; Véliz-Deras, F.G.; Mellado, M.; Wurzinger, M.; Soto-Sanchez, M.; Calderón-Leyva, M. Glutamate supply positively affects serum release of triiodothyronine and insulin across time without increases of glucose during the onset of puberty in female goats. Anim. Reprod. Sci. 2011, 125, 74–80. [Google Scholar] [CrossRef] [PubMed]
- Meza-Herrera, C.; Calderón-Leyva, G.; Soto-Sanchez, M.; Serradilla, J.; García, A.; Mellado, M.; Véliz-Deras, F.G. Glutamate supply positively affects serum cholesterol concentrations without increases in total protein and urea around the onset of puberty in goats. Anim. Reprod. Sci. 2014, 147, 106–111. [Google Scholar] [CrossRef]
- Meza-Herrera, C.; Vergara-Hernández, H.P.; Paleta-Ochoa, A.; Álvarez-Ruíz, A.R.; Véliz-Deras, F.G.; Arellano-Rodríguez, G.; Rosales-Nieto, C.A.; Macías-Cruz, U.; Martínez, R.R.; Carrillo, E. Glutamate supply reactivates ovarian function while increases serum insulin and triiodothyronine concentrations in criollo x saanen-alpine yearlings’ goats during the anestrous season. Animals 2020, 10, 234. [Google Scholar] [CrossRef] [PubMed]
- Takanishi, N.; Oishi, K.; Kumagai, H.; Uemura, M.; Hirooka, H. Factors influencing the priority of access to food and their effects on the carcass traits for Japanese Black (Wagyu) cattle. Animals 2015, 9, 2017–2023. [Google Scholar] [CrossRef] [PubMed]
- Bica, G.S.; Filho, L.C.P.M.; Teixeira, D.L.; De Sousa, K.T.; Hötzel, M.J. Time of grain supplementation and social dominance modify feeding behavior of heifers in rotational grazing systems. Front. Veter. Sci. 2020, 7, 61. [Google Scholar] [CrossRef] [PubMed]
- Côté, S.D.; Festa-Bianchet, M. Reproductive success in female mountain goats: The influence of age and social rank. Anim. Behav. 2001, 62, 173–181. [Google Scholar] [CrossRef]
- Lôbo, R.N.B.; Júnior, G.A.F.; Lôbo, R.N.B.; Facó, O. Genetic (co)variance components for ratio of lamb weight to ewe metabolic weight as an indicator of ewe efficiency. Livest. Sci. 2012, 143, 214–219. [Google Scholar] [CrossRef]
- Caron, E.; Ciofi, P.; Prevot, V.; Bouret, S.G. Alteration in neonatal nutrition causes perturbations in hypothalamic neural circuits controlling reproductive function. J. Neurosci. 2012, 32, 11486–11494. [Google Scholar] [CrossRef]
- Giammanco, M.; Tabacchi, G.; Giammanco, S.; Di Majo, D.; La Guardia, M. Testosterone and aggressiveness. Med. Sci. Monit. 2005, 11, RA136–RA145. [Google Scholar]
- Shargal, D.; Shore, L.S.; Roteri, N.; Terkel, A.; Zorovsky, Y.; Shemesh, M.; Steinberger, Y. Fecal testosterone is elevated in high ranking female ibexes (Capra nubiana) and associated with increased aggression and a preponderance of male offspring. Theriogenology 2008, 69, 673–680. [Google Scholar] [CrossRef]
- Jawor, J.M.; Young, R.; Ketterson, E.D. Females competing to reproduce: Dominance matters but testosterone may not. Horm. Behav. 2006, 49, 362–368. [Google Scholar] [CrossRef]
- Nephawe, K.A.; Cundiff, L.V.; Dikeman, M.E.; Crouse, J.D.; Van Vleck, L.D. Genetic relationships between sex-specific traits in beef cattle: Mature weight, weight ddjusted for body condition score, height and body condition score of cows, and carcass traits of their steer relatives. J. Anim. Sci. 2004, 82, 647–653. [Google Scholar] [CrossRef] [PubMed]
- Llonch, P.; Somarriba, M.; Duthie, C.-A.; Troy, S.; Roehe, R.; Rooke, J.; Haskell, M.J.; Turner, S.P. Temperament and dominance relate to feeding behaviour and activity in beef cattle: Implications for performance and methane emissions. Animals 2018, 12, 2639–2648. [Google Scholar] [CrossRef] [PubMed]
- Montaldo, H.H.; Meza-Herrera, C. Use of molecular markers and major genes in the genetic improvement of livestock. Electron. J. Biotechnol. 1998, 1, 83–89. [Google Scholar] [CrossRef]
- Sebat, J.; Lakshmi, B.; Troge, J.; Alexander, J.; Young, J.; Lundin, P.; Månér, S.; Massa, H.; Walker, M.; Chi, M.; et al. Large-scale copy number polymorphism in the human genome. Science 2004, 305, 525–528. [Google Scholar] [CrossRef]
- Iafrate, A.J.; Feuk, L.; Rivera, M.N.; Listewnik, M.L.; Donahoe, P.K.; Qi, Y.; Scherer, S.W.; Lee, C. Detection of large-scale variation in the human genome. Nat. Genet. 2004, 36, 949–951. [Google Scholar] [CrossRef]
- Ilkovski, B.; Pagnamenta, A.T.; O’Grady, G.L.; Kinoshita, T.; Howard, M.F.; Lek, M.; Thomas, B.; Turner, A.; Christodoulou, J.; Sillence, D.; et al. Mutations in PIGY: Expanding the phenotype of inherited glycosylphosphatidylinositol deficiencies. Hum. Mol. Genet. 2015, 24, 6146–6159. [Google Scholar] [CrossRef]
- Zhu, C.; Fan, H.; Yuan, Z.; Hu, S.; Ma, X.; Xuan, J.; Wang, H.; Zhang, L.; Wei, C.; Zhang, Q.; et al. Genome-wide detection of CNVs in Chinese indigenous sheep with different types of tails using ovine high-density 600K SNP arrays. Sci. Rep. 2016, 6, 27822. [Google Scholar] [CrossRef]
- Feng, Z.; Li, X.; Cheng, J.; Jiang, R.; Huang, R.; Wang, D.; Huang, Y.-Z.; Pi, L.; Hu, L.; Chen, H. Copy number variation of the PIGY gene in sheep and its association analysis with growth traits. Animals 2020, 10, 688. [Google Scholar] [CrossRef]
- Hu, Y.; Tan, L.-J.; Chen, X.-D.; Liu, Z.; Min, S.-S.; Zeng, Q.; Shen, H.; Deng, H.-W. Identification of novel potentially pleiotropic variants associated with osteoporosis and obesity using the cFDR method. J. Clin. Endocrinol. Metab. 2017, 103, 125–138. [Google Scholar] [CrossRef]
- Wang, Z.; Wang, C.; Guo, Y.; She, S.; Wang, B.; Jiang, Y.; Bai, Y.; Song, X.; Li, L.; Shi, L.; et al. Screening of deletion variants within the goat PRDM6 gene and its effects on growth traits. Animals 2020, 10, 208. [Google Scholar] [CrossRef]
- Leamy, L.J.; Klingenberg, C.P.; Sherratt, E.; Wolf, J.B.; Cheverud, J.M. A search for quantitative trait loci exhibiting imprinting effects on mouse mandible size and shape. Heredity 2008, 101, 518–526. [Google Scholar] [CrossRef] [PubMed]
- Drake, A.G.; Klingenberg, C.P. Large-scale diversification of skull shape in domestic dogs: Disparity and modularity. Am. Nat. 2010, 175, 289–301. [Google Scholar] [CrossRef] [PubMed]





| Variables | Social Rank | |||
|---|---|---|---|---|
| LSR | MSR | HSR | p Value | |
| EI (%) | 55 ± 0.09 (10/18) b | 71 ± 0.07 (20/28) b | 96 ± 0.08 (23/24) a | 0.007 | 
| DUR (h) | 17.3 ± 4.0 b | 18.9 ± 3.2 b | 29.0 ± 3.5 a | 0.004 | 
| OR (n) | 1.27 ± 0.17 a | 1.77 ± 0.13 a | 1.58 ± 0.14 a | 0.079 | 
| LW (kg) | 31.6 ± 1.6 b | 44.0 ± 1.3 a | 49.0 ± 1.4 a | 0.001 | 
| TP (cm) | 83.2 ± 1.5 c | 93.5 ± 1.2 b | 98.3 ± 1.3 a | 0.001 | 
| TD (cm) | 29.9 ± 0.6 b | 34.4 ± 0.5 a | 35.5 ± 0.5 a | 0.001 | 
| BL (cm) | 72.7 ± 1.1 b | 80.5 ± 0.9 a | 81.9 ± 0.9 a | 0.001 | 
| HW (cm) | 64.1 ± 0.9 b | 69.8 ± 0.8 a | 71.0 ± 0.8 a | 0.001 | 
| BEA (cm) | 3.4 ± 0.9 b | 9.4 ± 0.8 a | 7.9 ± 0.8 a | 0.001 | 
| COM (cm) | 48.7 ± 2.0 b | 63.1 ± 1.6 a | 66.1 ± 1.7 a | 0.001 | 
| ANA (cm) | 108.1 ± 3.4 c | 125.5 ± 2.7 b | 136.6 ± 2.9 a | 0.001 | 
| Variables | eCG-100 | eCG-350 | ||||
|---|---|---|---|---|---|---|
| LSR | MSR | HSR | LSR | MSR | HSR | |
| EI (%) | 38 ± 0.1 (3/8) c | 79 ± 0.1 (11/14) a,b | 92 ± 0.1 (12/13) a,b | 70 ± 0.1 (7/10) a,b | 64 ± 0.1 (9/14) b,c | 100 ± 0.0 (11/11) a | 
| DUR (h) | 7.5 ± 5.9 b | 18.9 ± 4.5 a | 29.5 ± 4.6 a | 25.2 ± 5.3 a | 18.9 ± 4.5 a | 28.4 ± 5.0 a | 
| OR (n) | 0.86 ± 0.3 d | 1.2 ± 0.2 c,d | 1.2 ± 0.2 c,d | 1.6 ± 0.2 b,c | 2.3 ± 0.2 a | 2.1 ± 0.2 a,b | 
| Variables | DUR (h) | OR (n) | LW (kg) | TP (cm) | TD (cm) | BL (cm) | HW (cm) | BEA (cm) | CON (cm) | ANA (cm) | 
|---|---|---|---|---|---|---|---|---|---|---|
| EI (%) | 0.7173 0.001 | 0.077 0.542 | 0.285 0.016 | 0.311 0.008 | 0.344 0.003 | 0.334 0.004 | 0.359 0.002 | 0.196 0.103 | 0.230 0.054 | 0.238 0.046 | 
| DUR (h) | 1 | 0.040 0.749 | 0.234 0.051 | 0.260 0.029 | 0.225 0.061 | 0.179 0.138 | 0.210 0.080 | 0.182 0.130 | 0.212 0.077 | 0.244 0.041 | 
| OR (n) | 1 | 0.174 0.165 | 0.120 0.341 | 0.185 0.139 | 0.127 0.312 | 0.240 0.053 | 0.192 0.123 | 0.133 0.287 | 0.037 0.767 | |
| LW (kg) | 1 | 0.866 0.001 | 0.882 0.001 | 0.828 0.001 | 0.758 0.001 | 0.517 0.001 | 0.970 0.001 | 0.756 0.001 | ||
| TP (cm) | 1 | 0.840 0.001 | 0.748 0.001 | 0.738 0.001 | 0.504 0.001 | 0.812 0.001 | 0.940 0.001 | |||
| TD (cm) | 1 | 0.811 0.001 | 0.768 0.001 | 0.473 0.001 | 0.831 0.001 | 0.715 0.001 | ||||
| BL (cm) | 1 | 0.794 0.001 | 0.468 0.001 | 0.755 0.001 | 0.582 0.001 | |||||
| HW (cm) | 1 | 0.542 0.001 | 0.584 0.001 | 0.465 0.001 | ||||||
| BEA (cm) | 1 | 0.457 0.001 | 0.388 0.001 | |||||||
| CON (cm) | 1 | 0.773 0.001 | 
| Principal Component Analysis | ||||||
|---|---|---|---|---|---|---|
| Characters | PC1 | PC2 | PC3 | PC4 | PC5 | PC6 | 
| LW (kg) | 0.4595 | 0.1484 | −0.2195 | 0.1699 | 0.1087 | −0.8233 | 
| BC (units) | −0.0267 | 0.9615 | 0.2259 | 0.0687 | 0.0654 | 0.1210 | 
| HW (cm) | 0.4298 | −0.1227 | 0.7675 | −0.4495 | −0.0406 | −0.0850 | 
| BL (cm) | 0.4441 | −0.1524 | 0.1915 | 0.6921 | 0.3657 | 0.3605 | 
| TD (cm) | 0.4564 | 0.0806 | −0.2049 | 0.0947 | −0.8240 | 0.2346 | 
| TP (cm) | 0.4445 | 0.0926 | −0.4826 | −0.5255 | 0.4115 | 0.3394 | 
| Eigenvalue | 4.2205 | 1.0600 | 0.2721 | 0.2121 | 0.1400 | 0.0950 | 
| Total σ (%) | 70.34 | 17.67 | 4.54 | 3.54 | 2.33 | 1.58 | 
| Accumulative σ (%) | 70.3 | 88.0 | 92.5 | 96.0 | 98.4 | 100.0 | 
| Publisher’s Note: MDPI stays neutral with regard to jurisdictional claims in published maps and institutional affiliations. | 
© 2020 by the authors. Licensee MDPI, Basel, Switzerland. This article is an open access article distributed under the terms and conditions of the Creative Commons Attribution (CC BY) license (http://creativecommons.org/licenses/by/4.0/).
Share and Cite
Zuñiga-Garcia, S.; Meza-Herrera, C.A.; Mendoza-Cortina, A.; Perez-Marin, C.; Lopez-Flores, N.M.; Guillén-Muñoz, J.M.; Arellano-Rodriguez, G.; Gutierrez-Guzman, U.N.; Bustamante-Andrade, J.A.; Luna-Orozco, J.R.; et al. Does Size Matters? Relationships among Social Dominance and Some Morphometric Traits upon Out-of-Season Reproductive Outcomes in Anestrus Dairy Goats Treated with P4 + eCG. Biology 2020, 9, 354. https://doi.org/10.3390/biology9110354
Zuñiga-Garcia S, Meza-Herrera CA, Mendoza-Cortina A, Perez-Marin C, Lopez-Flores NM, Guillén-Muñoz JM, Arellano-Rodriguez G, Gutierrez-Guzman UN, Bustamante-Andrade JA, Luna-Orozco JR, et al. Does Size Matters? Relationships among Social Dominance and Some Morphometric Traits upon Out-of-Season Reproductive Outcomes in Anestrus Dairy Goats Treated with P4 + eCG. Biology. 2020; 9(11):354. https://doi.org/10.3390/biology9110354
Chicago/Turabian StyleZuñiga-Garcia, Santiago, César A. Meza-Herrera, Adela Mendoza-Cortina, Carlos Perez-Marin, Noé M. Lopez-Flores, Juan M. Guillén-Muñoz, Gerardo Arellano-Rodriguez, Ulises N. Gutierrez-Guzman, Jorge A. Bustamante-Andrade, Juan R. Luna-Orozco, and et al. 2020. "Does Size Matters? Relationships among Social Dominance and Some Morphometric Traits upon Out-of-Season Reproductive Outcomes in Anestrus Dairy Goats Treated with P4 + eCG" Biology 9, no. 11: 354. https://doi.org/10.3390/biology9110354
APA StyleZuñiga-Garcia, S., Meza-Herrera, C. A., Mendoza-Cortina, A., Perez-Marin, C., Lopez-Flores, N. M., Guillén-Muñoz, J. M., Arellano-Rodriguez, G., Gutierrez-Guzman, U. N., Bustamante-Andrade, J. A., Luna-Orozco, J. R., Véliz-Deras, F. G., & López-Villalobos, N. (2020). Does Size Matters? Relationships among Social Dominance and Some Morphometric Traits upon Out-of-Season Reproductive Outcomes in Anestrus Dairy Goats Treated with P4 + eCG. Biology, 9(11), 354. https://doi.org/10.3390/biology9110354
 
        




 
       