Effects of Moso Bamboo (Phyllostachys edulis) Forest Stand Density on Root Growth and Soil Quality for Shoot Production Under a Long-Term Bamboo-Stocking Retention Model
Simple Summary
Abstract
1. Introduction
2. Materials and Methods
2.1. Research Site Overview
2.2. Research Site Setup
2.3. Test Methods
2.3.1. Collection and Processing of Root Samples
2.3.2. Collection and Processing of Soil Samples
2.3.3. Bamboo Shoot Yield Determination
2.4. Data Analysis
3. Results
3.1. Impact of Stand Density on Bamboo Shoot Yield and Quantity
3.2. Impact of Stand Density on Bamboo Root Growth Traits
3.2.1. Key Root Morphological Traits Under Different Stand Densities
3.2.2. Nutrient Content of Bamboo Roots
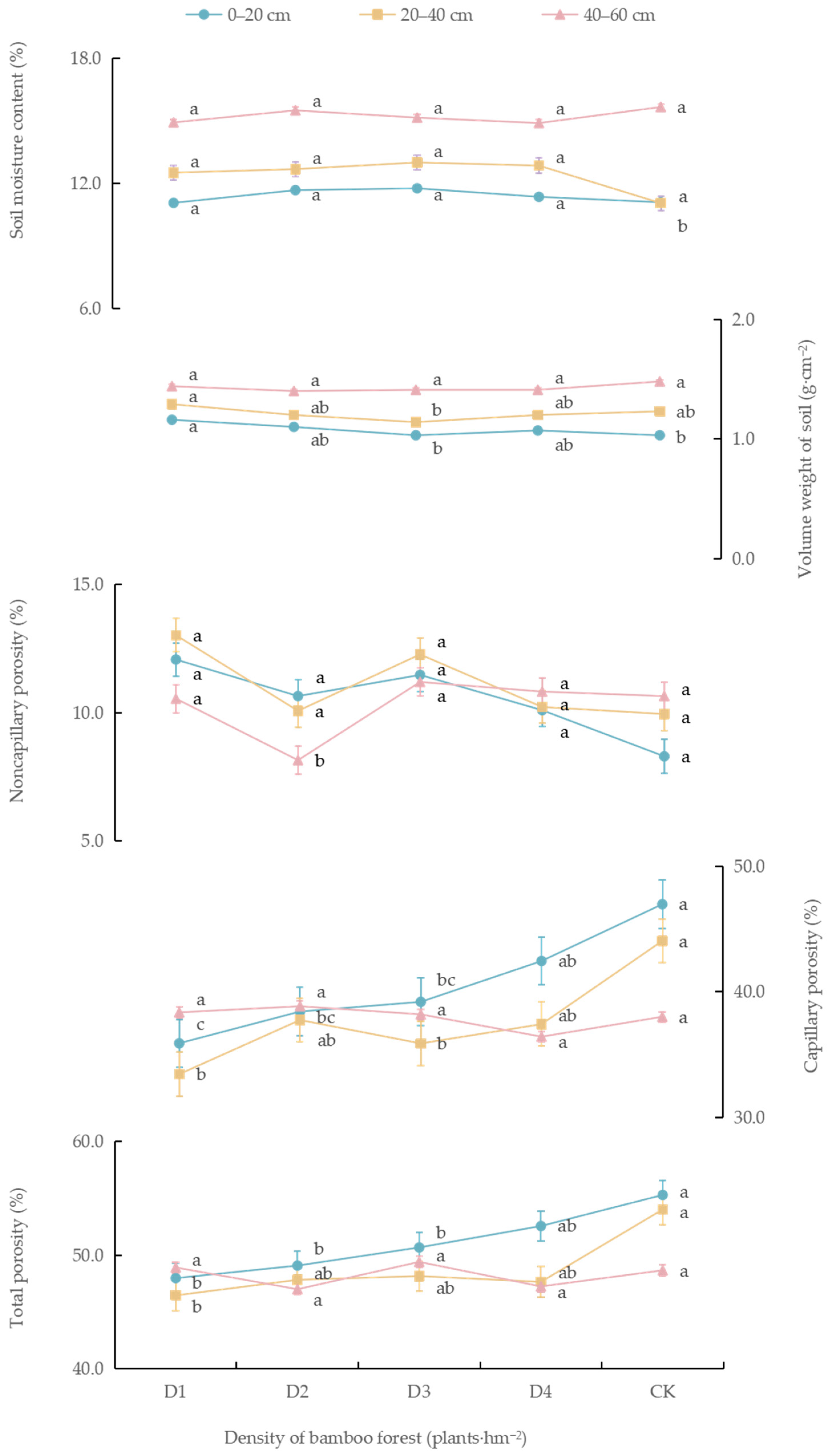
3.3. Impact of Stand Density on Bamboo Forest Soil Quality
3.3.1. Physical Properties of Bamboo Forest Soil
3.3.2. Determination of Basic Chemical Properties of Soil in Moso Bamboo Forest
3.4. Relationships Among Root Growth Traits, Soil Quality, and Bamboo Shoot Yield and Quality
3.5. Relationships Between Bamboo Growth Traits and Soil Quality Indices
3.6. Principal Component Analysis of Factors Influencing Bamboo Shoot Production Under Different Stand Densities
4. Discussion
4.1. Bamboo Shoots
4.2. Bamboo Root Growth Traits
4.3. Bamboo Forest Soil Quality
4.4. Correlations
5. Conclusions
Author Contributions
Funding
Data Availability Statement
Acknowledgments
Conflicts of Interest
References
- Huang, D.C.; Guo, X.; Wang, D.X.; Wang, Y.S.; Zhang, X.; Huo, X.Y. Effects of different management methods on stand growth and understory vegetation of Larix principis-rupprechtii in Qinling Mountains. Sci. Silvae Sin. 2024, 60, 57–66. [Google Scholar]
- Jin, J.H.; Abudula, W.; Jia, Z.K. Effect of stand age and stand density on building material property of Pinus tabulaeformis. J. Cent. South Univ. For. Technol. 2024, 44, 77–89. [Google Scholar]
- Lan, J.; Lei, X.D.; He, X.; Gao, W.Q.; Li, Y.T. Multi-functionality of natural mixed broad-leaved forests and driving forces in Jilin Province. Acta Ecol. Sin. 2021, 41, 5128–5141. [Google Scholar]
- Lan, J.; Lei, X.D.; He, X.; Gao, W.Q.; Guo, H. Stand density, climate and biodiversity jointly regulate the multifunctionality of natural forest ecosystems in northeast China. Eur. J. For. Res. 2023, 142, 493–507. [Google Scholar] [CrossRef]
- Kittur, H.B.; Sudhakara, K.; Kumar, M.B.; Kunhamu, T.K.; Sureshkumar, P. Effects of clump spacing on nutrient distribution and root activity of Dendrocalamus strictus in the humid region of Kerala, peninsular India. J. For. Res. 2017, 28, 1135–1146. [Google Scholar] [CrossRef]
- Wang, X.; Huang, X.N.; Wang, Y.H.; Yu, P.T.; Guo, J.B. Impacts of site conditions and stand structure on the biomass allocation of single trees in larch plantations of Liupan Mountains of northwest China. Forests 2022, 13, 177. [Google Scholar] [CrossRef]
- Ren, S.X.; Wang, Y.K.; Jin, A.W.; Zhu, Q.G.; Ji, X.L.; Ma, Y.; Fang, W.L. Rhizome characteristics, stand structure and soil properties under Phyllostachys edulis expansion into coniferous and broadleaf Forest. J. Northeast For. Univ. 2023, 51, 21–27. [Google Scholar]
- Dong, Y.W.; Chen, S.L.; Wang, S.P.; Guo, Z.W.; He, Y.Y.; Zhang, W. Morphology and biomass distribution of underground rhizome of Phyllostachys edulis during the succession of understory vegetation. For. Res. 2023, 36, 158–167. [Google Scholar]
- Sun, J.; Xia, J.B.; Dong, B.T.; Gao, F.L.; Chen, P.; Zhao, W.L.; Li, C.R. Root morphology and growth characteristics of Tamarix chinensis with different densities on the beach of the Yellow River Delta. Acta Ecol. Sin. 2021, 41, 3775–3783. [Google Scholar] [CrossRef]
- Liu, S.H.; Zhao, M.; Wang, Y.J.; Sun, Y.R.; Chen, Y.M. Effects of stand density on soil physicochemical Properties and enzyme activities in Robinia seudoacacia plantations in the Loess Hilly-Gully Region. Res. Soil Water Conserv. 2024, 31, 123–129+138. [Google Scholar]
- Liu, X.; Zhou, S.X.; Hu, J.X.; Zhu, W.Y.; Zhou, Y.L.; Pan, X.M.; Wang, Y.X.; Lei, Y.; Xiao, L.; Huang, C.D. Density Management Is More Cost Effective than Fertilization for Chimonobambusa pachystachys Bamboo-Shoot Yield and Economic Benefits. Forests 2022, 13, 1054. [Google Scholar] [CrossRef]
- Yue, J.J.; Zhu, Y.L.; Yuan, J.L. Study on management model of long period stocking bamboo conservation in Dendrocalamopsis oldhami. J. Nanjing For. Univ. (Nat. Sci. Ed.) 2021, 45, 31–37. [Google Scholar]
- Cai, X.; Wu, J.; Li, B.J.; Li, S.K.; Rong, J.D.; Chen, L.G.; He, T.Y.; Zheng, Y.S. Effect of moso bamboo forest density on rhizome characteristics and root activity of moso bamboo under long-period mother bamboo conservation mode. J. Fujian Agric. For. Univ. (Nat. Sci. Ed.) 2023, 52, 500–504. [Google Scholar]
- Cai, X.; Gao, T.Y.; Zheng, S.Y.; Jiang, R.Y.; Zhang, Y.R.; Rong, J.D.; He, T.Y.; Chen, L.G.; Zheng, Y.S. Effects of enclosure succession on the morphological characteristics and nutrient content of a bamboo whip system in a moso bamboo (Phyllostachys edulis) forest on Wuyi Mountain, China. Forests 2023, 14, 2193. [Google Scholar] [CrossRef]
- Gu, Q.; Chen, S.S.; Peng, Y.; Huang, W.L.; Wang, S.C.; Qin, P.; Hong, W.; Wang, F.S. Spatial distribution pattern of Phyllostachys edulis under the pattern of intensive farming. J. Nanjing For. Univ. (Nat. Sci. Ed.) 2016, 40, 162–168. [Google Scholar]
- Zheng, Y.X.; Fan, S.H.; Zhou, X.; Zhang, X.; Guan, F.Y. Dynamic characteristics of nutrients in striped cutting moso bamboo forests. J. Beijing For. Univ. 2023, 45, 78–87. [Google Scholar]
- Li, Z.K.; Wu, J.; Rong, J.D.; Chen, L.G.; Li, S.K.; Zheng, Y.S. Effects of bamboo forest density on leaf functional traits of Phyllostachys edulis at different shoot growth stages. J. Fujian Agric. For. Univ. (Nat. Sci. Ed.) 2024, 53, 229–234. [Google Scholar]
- Zheng, S.Y.; Lin, Y.W.; Huang, Y.; Rong, J.D.; Li, S.K.; Chen, L.G.; He, T.Y.; Zheng, Y.S. Evaluation of Soil Nutrient Status in Different Management Duration under Long-period Bamboo Retention Pattern. J. Northeast For. Univ. 2023, 51, 97–103. [Google Scholar]
- Li, J.W.; Liu, X.Y.; Li, S.K.; Rong, J.D.; Zheng, Y.S.; Su, X.Q. Effects of N-P-K fertilization on physiological characteristics of bamboo shoots and leaves. Southwest China J. Agric. Sci. 2020, 33, 2885–2890. [Google Scholar]
- Li, Z.K.; Zhang, Y.R.; Deng, Z.W.; Liu, J.Y.; Rong, J.D.; Chen, L.G.; He, T.Y.; Zheng, Y.S. Effects of enclosure term on fine root functional traits of moso bamboo (Phyllostachys edulis) in the Wuyi Mountains. Acta Ecol. Sin. 2024, 44, 7725–7737. [Google Scholar]
- LY/T 1270-1999; Determination of Total Nitrogen, Phosphorus, Potassium, Sodium, Calcium and Magnesium in Forest Plant and Forest Floor. National Forestry and Grassland Administration: Beijing, China, 1999.
- LY/T 1271-1999; Determination of Total Silicon, Iron, Aluminum, Calcium, Magnesium, Potassium, Sodium, Phosphorus, Sulfur, Manganese, Copper and Zinc in Forest Plant and Forest Floor. National Forestry and Grassland Administration: Beijing, China, 1999.
- LY/T 1237-1999; Determination of Forest Soil Organic Matter and Calculation of Carbon-Nitrogen Ratio. National Forestry and Grassland Administration: Beijing, China, 1999.
- LY/T 1215-1999; Determination of Forest Soil Water-physical Properties. National Forestry and Grassland Administration: Beijing, China, 1999.
- LY/T 1228-1999; Determination of Total Nitrogen in Forest Soil. National Forestry and Grassland Administration: Beijing, China, 1999.
- LY/T 1232-1999; Determination of Total Phosphorus in Forest Soil. National Forestry and Grassland Administration: Beijing, China, 1999.
- LY/T 1234-1999; Determination of Total Potassium in Forest Soil. National Forestry and Grassland Administration: Beijing, China, 1999.
- LY/T 1236-1999; Determination of Total Available Potassium in Forest Soil. National Forestry and Grassland Administration: Beijing, China, 1999.
- LY/T 1233-1999; Determination of Total Available Phosphorus in Forest Soil. National Forestry and Grassland Administration: Beijing, China, 1999.
- Xue, J.; Yang, J.; Wang, X.W.; Yin, Z.L.; Wang, W.; Jiao, Z.H.; Du, Y.; Li, Q.; Sun, X.X. Methane concentration and bacterial community characteristics in the heartwood of trees in the permafrost zone of the Great Hing’an Mountains. Acta Ecol. Sin. 2025, 19, 1–10. [Google Scholar]
- Cai, X.; Cheng, R.; Chen, Z.H.; Lin, J.N.; Wu, M.; Liu, J.Y.; Xiao, J.H.; Lin, Y.C.; Chen, L.Y.; Zhang, Y.R.; et al. Morphology and nutrient content of bamboo rhizomes: Responses to enclosure succession in a Phyllostachys edulis forest in Wuyi Mountains, China. For. Ecol. Manag. 2025, 595, 122928. [Google Scholar] [CrossRef]
- Hu, W.J.; Pang, H.D.; Hu, X.Y.; Huang, F.X.; Yang, J.W.; Xu, L.J.; Gong, M. Effects of bamboo forest density and fertilizer types on the yield and quality of Phyllostachys edulis bamboo shoots and soil physicochemical properties in Mufu Mountain area. Sci. Silvae Sin. 2021, 57, 32–42. [Google Scholar]
- Ma, R.T.; Dong, X.M.; Jin, S.S.; Hu, L.P.; Yan, D.F. Effects of thinning on the functional traits of understory Vitex negundo var. heterophylla in Quercus variabilis plantation. J. Zhejiang A&F Univ. 2021, 38, 567–576. [Google Scholar]
- Zheng, H.Z.; Chuan, K.W.; Ying, J.; Sun, Z.H. Impacts of thinning on soil carbon and nutrients and related extracellular enzymes in a larch plantation. For. Ecol. Manag. 2019, 450, 117523. [Google Scholar] [CrossRef]
- Hu, W.J.; Pan, H.D.; Hu, X.Y.; Hu, J.L.; Li, K. Influences of different management measures on morphological characteristics and yield of low yielding Phyllostachys edulis forest of bamboo shoots in Southern Hubei Province. J. Southwest For. Univ. (Nat. Sci.) 2019, 39, 86–91. [Google Scholar]
- Hua, S.G. Research on the Anatomical Structure, Morphological Characters and Nutrients of Fine Roots of Pinus dabeshanensis. Cheng, C.Y., Law, Y.W., Eds.; Anqing Normal University: Anqing, China, 2022. [Google Scholar] [CrossRef]
- She, T.; Tian, Y. Effects of litter diversity on decomposition process and soil microbial characteristics in forest ecosystems. Ecol. Sci. 2020, 39, 213–223. [Google Scholar]
- Wu, L.H.; Dai, L.L.; Ye, Y.Q.; Liu, L.; Cai, S.F.; Fei, Y.C.; Lin, K.M.; Cao, G.Q. Energy accumulation and distribution among vertical space of tree layer and at the ecosystem level of Chinese fir forests with different stand densities. Chin. J. Ecol. 2021, 40, 2366–2377. [Google Scholar]
- Huang, B.; Liu, G.L.; Fan, S.H.; Liu, X.Z.; Feng, Y.; Nong, J.Q.; Shen, J.X. The plasiticity of fine root Phyllostachys edulis expanding into adjacent broadleaved forest. J. Cent. South Univ. For. Technol. 2021, 41, 11–19. [Google Scholar]
- Xu, Y.J.; Guo, Y.F.; Yue, Y.J.; Hao, L.F.; Qi, W.; Gao, R.H.; Dong, X.Y. Morphological traits and water–nutrient utilization efficiency of Hippophae rhamnoides fine roots under different stubble heights in arsenic sandstone area, Inner Mongolia. Plants 2025, 14, 1329. [Google Scholar] [CrossRef]
- Wang, G.R.; Yu, F.; Wu, H.Y.; Hu, S.Z.; Wu, S.J.; Pei, N.C.; Shi, J.M.; Lambers, H. Roots originating from different shoot parts are functionally different in running bamboo, Phyllostachys glauca. Funct. Ecol. 2023, 37, 1082–1094. [Google Scholar] [CrossRef]
- Wu, Y.Y.; Dong, W.Y.; Pu, C.; Xie, Z.X.; Zhong, H.; Li, J.; Zhang, W. Biomass of accumulation and allocation characteristics of Qiongzhuea tumidinoda components and its relationship with soil physical properties. Acta Ecol. Sin. 2022, 42, 3516–3524. [Google Scholar] [CrossRef]
- Cai, C.J.; Fan, S.H.; Liu, X.Z.; Liu, G.L. Fine root adaptation strategy of moso bamboo during its expansion into Chinese fir forest. Chin. J. Ecol. 2019, 38, 967–972. [Google Scholar]
- Wang, K.; Na, E.H.; Zhang, R.S.; Gao, S.; Liu, J.H. Carbon, nitrogen and phosphorus stoichiometry and nutrient resorption of Pinus sylvestris var. mongolica under different densities. Chin. J. Ecol. 2021, 40, 313–322. [Google Scholar]
- He, Y.L.; Li, G.D.; Xi, B.Y.; Zhao, H.; Jia, L.M. Fine root plasticity of young Populus tomentosa plantations under drip irrigation and nitrogen fertigation in the North China Plain. Agric. Water Manag. 2022, 261, 107341. [Google Scholar] [CrossRef]
- Zhang, X.; Xing, Y.J.; Yan, G.Y.; Han, S.J.; Wang, Q.G. Effects of precipitation change on fine root morphology and dynamics at a global scale: A meta-analysis. Can. J. Soil Sci. 2019, 99, 1–11. [Google Scholar] [CrossRef]
- Ou, J.; Wu, Z. Early density effect on growth of crown and root, and forest classification of Cunninghamia konishii Plantation. J. Northeast For. Univ. 2018, 46, 15–19. [Google Scholar]
- Mao, Y.H.; Jin, A.W.; Zhu, Q.G.; Lou, Y.H.; Wang, Y.K. The “specialization for abundance” and response of nutrition limitation of fine root growth of Phyllostachys heterocycle cv. pubescens. J. Cent. South Univ. For. Technol. 2019, 39, 78–83. [Google Scholar]
- Sylvestre, B.D.T.; Braos, B.L.; Filho, B.F.; Pessôa da Cruz, M.C.; Ferreira, M.E. Mineral nitrogen fertilization effects on lettuce crop yield and nitrogen leaching. Sci. Hortic. 2019, 255, 153–160. [Google Scholar] [CrossRef]
- Ávila, C.; Llebrés, T.M.; Cánovas, M.F.; Rodríguez, V.C. Arginine, a key amino acid for nitrogen nutrition and metabolism of forest trees. J. Exp. Bot. 2025, eraf260. [Google Scholar] [CrossRef]
- Xie, Y.M.; Lv, Y.D.; Jia, L.T.; Zheng, L.L.; Li, Y.H.; Zhu, M.; Tian, M.J.; Wang, M.; Qi, W.C.; Luo, L.; et al. Plastid-localized amino acid metabolism coordinates rice ammonium tolerance and nitrogen use efficiency. Nat. Plants 2023, 9, 1514–1529. [Google Scholar] [CrossRef]
- Huang, Z.Y.; Zhong, Z.K.; Zhang, X.P.; Bian, F.Y.; Gai, X.; Li, Q.L. Formation mechanism and regulation measures of on-year and off-year of moso bamboo forest: A review. World For. Res. 2021, 34, 20–25. [Google Scholar]
- Ma, Y.F.; Hou, Y.; Zhang, H.C. Effects of different stand structures of poplar on soil physical and chemical properties. Jiangsu Agric. Sci. 2018, 46, 131–136. [Google Scholar]
- Miyu, N.; Yuichi, O.; Junko, T.; Kato, H.; Iida, H.; Takada, M. Changes in air dose rates due to soil moisture content in the Fukushima prefecture forests. Environ. Pollut. 2023, 334, 122147. [Google Scholar] [CrossRef] [PubMed]
- Peng, X.; Li, C.; Dai, Q.; Sheng, B.X.; Jun, Z. Morphological development of drying shrinkage cracks at the rock soil interface in a karst rocky desertification area. J. Hydrol. Reg. Stud. 2024, 54, 101894. [Google Scholar] [CrossRef]
- Han, L.; Wang, C.; Meng, J.; You, J.H. Spatial Variability in Soil Water-Physical Properties in Southern Subtropical Forests of China. Forests 2024, 15, 1590. [Google Scholar] [CrossRef]
- Peng, X.J.; Huang, H.S.; Yan, Z.Y.; Zou, X.C.; He, K.N.; Cheng, C.; Wang, Z.X.; Li, R.; Liu, J.W.; Shi, Z.Y.; et al. Characteristics of soil physical and chemical properties of natural Betula platyphylla forests with different stand densities in the eastern Qilian Mountains. Acta Ecol. Sin. 2025, 45, 743–756. [Google Scholar]
- Lan, D.Y.; Bi, H.X.; Zhao, D.Y.; Wang, N.; Yun, H.Y.; Wang, S.S.; Cui, Y.H. Evaluation on soil conservation function of Pinus tabulaeformis plantation with different densities in the Loess Area of Western Shanxi Province. J. Soil Water Conserv. 2022, 36, 189–196. [Google Scholar]
- Si, L.J.; Lv, H.T.; Zhang, S.Z.; Li, L.D.; Ren, Q.W.; Feng, G. Site index model of Chinese fir plantation in Hunan province based on site, soil nutrients and their interactions. Chin. J. Soil Sci. 2024, 55, 960–967. [Google Scholar]
- Zhang, M.M.; Guan, F.Y.; Fan, S.H.; Lu, Y.S.; Zhan, M.C.; Yan, Y.J. Research progress on influencing factors of soil nutrient variation in bamboo forest. World For. Res. 2018, 31, 18–22. [Google Scholar]
- Shao, Y.Z.; Ma, Y.X.; Li, G.T.; Ma, X.L. Analysis of changes in soil chemical stoichiometric ratios under different cultivation durations of Pennisetum giganteum in inner Mongolia, China. Front. Environ. Sci. 2025, 13, 1599278. [Google Scholar] [CrossRef]
- Chen, Z.X.; Zhang, H.M.; Tu, X.S.; Wang, J.; Elrys, A.S.; Tang, Q.; Zhang, J.B.; Cai, Z.C.; Cheng, Y. C/N ratio of high-organic C materials is a poor predictor of microbial nitrate immobilization potential in a nitrate-rich soil: An 15N incubation study. Soil Tillage Res. 2024, 238, 106019. [Google Scholar] [CrossRef]
- Yu, D.W.; Lei, Z.Y.; Zhao, G.J.; Zhang, Y.S.; Yu, D.L.; Bai, J.N.; Li, Y. Response of Soil Physiochemical Properties under Sand-Fixation Forest of Pinus sylvestris var. mongolica to Stand Density. Arid. Zone Res. 2020, 37, 134–141. [Google Scholar]
- Duan, A.; Lei, J.; Hu, X.; Zhang, J.; Du, H.; Zhang, X.; Guo, W.; Sun, J. Effects of Planting Density on Soil Bulk Density, pH and Nutrients of Unthinned Chinese Fir Mature Stands in South Subtropical Region of China. Forests 2019, 10, 351. [Google Scholar] [CrossRef]
- Feng, Y.; Li, Y.; Cao, X.; Liu, J.; Qi, R.; Zhao, Y.; Chen, X. Characteristics of stand structure and soil physicochemical properties of artificial young Picea asperata plantation with different densities in southern gansu. Sci. Silvae Sin. 2018, 54, 20–30. [Google Scholar]
- Sun, Q.H.; Wu, X.; Wang, M.Z.; Zhang, L.Y.; Yao, X.L.; Qi, J.Q.; Hao, J.F. Effects of stand density on understory species diversity and soil physicochemical properties of Pinus massoniana plantation. Chin. J. Ecol. 2018, 29, 732–738. [Google Scholar]
- Lv, J.L.; Yan, M.J.; Song, B.L.; Guan, J.H.; Shi, W.H.; Du, S. Ecological stoichiometry characteristics of soil carbon, nitrogen, and phosphorus in an oak forest and a black locust plantation in the Loess hilly region. Acta Ecol. Sin. 2017, 37, 3385–3393. [Google Scholar] [CrossRef]
- Ding, J.J.; Zhang, Y.G.; Deng, Y.; Cong, J.; Lu, H.; Sun, X.; Yang, C.Y.; Yuan, T.; Van Nostrand, J.D.; Li, D.Q.; et al. Integrated metagenomics and network analysis of soil microbial community of the forest timberline. Sci. Rep. 2015, 5, 7994. [Google Scholar] [CrossRef]
- Yin, M.Y.; Wu, B.; Wu, Y.T.N.; Lu, W.W. Effects of initial planting density on growth, health status and soil chemical properties of Pinus sylvestris var. mongolica plantations in Horqin Sandy Land. J. Northwest A F Univ. (Nat. Sci. Ed.) 2024, 52, 42–52. [Google Scholar]
- Chen, P.; Xia, J.B.; Wang, S.L.; Li, D.; Gao, F.L.; Zhao, W.L.; Ma, J.Z. Variations in soil salinity and nutrient contents of Tamarix chinensis with different densities on the beach of the Yellow River Delta. Acta Ecol. Sin. 2022, 42, 10180–10190. [Google Scholar] [CrossRef]
- Deng, Y.L.; Zhao, X.Y.; Cui, Z.J.; Feng, Y.J.; Zhang, W.Q.; Liu, X.D. Canopy rainfall interception characteristics of forest ecosystems in China. Acta Ecol. Sin. 2024, 44, 2981–2992. [Google Scholar]
- Du, Z.Y.; Liang, Y.; Ge, Z.Q.; Li, Z.T.; Li, Y.T.; Lv, L.C.; Wang, Q.H. Soil quality characteristics of Platycladus orientalis plantations with different densities in central mountainous area of Shandong province. J. Cent. South Univ. For. Technol. 2020, 40, 104–112+123. [Google Scholar]
- Xu, M.J.; Qiu, L.; Deng, B.; Yang, Y.; Lei, G. Effects of Indocalamus tessellatus expansion into coniferous and broad-leaved mixed forest on species diversity and soil physicochemical properties. Acta Agric. Univ. Jiangxiensis 2024, 46, 944–953. [Google Scholar]
- Sun, H.; Cao, Z.H.; Wu, Z.N.; Fang, M.G.; Zhang, R.F.; Liu, J.L.; Miao, T.T.; Yan, C.X. Effects of mulching on soil nutrients, enzyme activities and microbial community in Phyllostachys edulis forest. Non-Wood For. Res. 2023, 41, 223–233. [Google Scholar]
- Hu, X.B.; Jiang, C.Q.; Wang, H.; Jiang, C.W.; Liu, J.Z.; Zang, Y.M.; Li, S.G.; Wang, Y.X.; Bai, Y.F. A Comparison of soil C, N, and P stoichiometry characteristics under different thinning intensities in a subtropical moso bamboo (Phyllostachys edulis) forest of China. Forests 2022, 13, 1770. [Google Scholar] [CrossRef]
- Zhou, X.; Guan, F.Y.; Zhang, X.; Li, C.J.; Zhou, Y. Response of moso bamboo growth and soil nutrient content to strip cutting. Forests 2022, 13, 1293. [Google Scholar] [CrossRef]
- Zhao, J.C.; Wang, B.; Yang, Z.Y.; Yi, L.X.; Lin, X.Y.; Li, Q. Effects of interplanting Phoebe chekiangensis and Taxus wallichiana var. maire on soil quality in moso bamboo forests. J. Northeast For. Univ. 2022, 50, 98–103+116. [Google Scholar]
- Zhang, Y.Y.; Fan, L.L.; Wang, M.; He, T.Y.; Rong, J.D.; Zheng, Y.S. Effects of strip clear cutting in Phyllostachys edulis forests on soil physical and chemical properties and enzyme activities. J. For. Environ. 2020, 40, 234–242. [Google Scholar]
- Lv, Q.; Yin, H.F.; He, P.J.; Li, X.W.; Fan, C.; Feng, M.S.; Liu, J.J.; Wang, Y.F. Effects of early management of Pinus massoniana plantation target trees on soil physicochemical properties and plant diversity. Chin. J. Appl. Environ. Biol. 2018, 24, 500–507. [Google Scholar]
- Wei, L.; Zhou, Y.; Yin, G.; Cui, J.Y.; Yin, J.H.; Liu, R.; Chen, Q.; Zhang, S. Ammonium addition reduces phosphorus leaching in a long-term mineral or organic fertilized calcareous soil during flooding conditions. J. Environ. Manag. 2024, 360, 121167. [Google Scholar] [CrossRef]
- Li, Y.; Li, Z.; Wang, D.; Xu, J.Z.; Chen, S.; Wang, S.P.; Lv, J.H.; Jiang, J.S. Exploring the potential of acidified sludge as a compost additive: Insights into nitrogen transformation and microbial community dynamics. Chem. Eng. J. 2025, 520, 166059. [Google Scholar] [CrossRef]
- Ji, R.R.; He, Y.L.; Hong, C.J.; Wu, S.L.; Xiong, R.; Ying, Y.Q. Effects of nitrogen and phosphorus combined application on the quality of bitter bamboo shoots and bamboo forest soil. Soil Fertil. Sci. China 2024, 1, 95–104. [Google Scholar]
- Luo, K.L.; Zhang, W.; Yuan, M.; Cheng, Y.; Yang, Y.F.; Zhao, K.; Wu, J.N.; Xiao, J.J. Functional traits of dominant plants in mudflat wetlands and their relationship with soil physicochemical properties in the lower reaches of the Yangtze River. Acta Ecol. Sin. 2025, 45, 13–24. [Google Scholar]







| Index | Principal Component | Eigenvector | ||||||||
|---|---|---|---|---|---|---|---|---|---|---|
| 1 | 2 | 3 | 4 | 5 | 1 | 2 | 3 | 4 | 5 | |
| Yield of moso bamboo shoots | 0.93 | −0.16 | −0.34 | −0.02 | 0.02 | 0.29 | −0.06 | −0.16 | −0.01 | 0.02 |
| Number of moso bamboo shoots | 0.77 | −0.45 | −0.33 | 0.30 | −0.02 | 0.24 | −0.17 | −0.16 | 0.20 | −0.02 |
| Specific root length 1 | 0.82 | 0.33 | −0.22 | 0.41 | −0.05 | 0.26 | 0.13 | −0.10 | 0.27 | −0.04 |
| Specific root length 2 | −0.24 | 0.92 | −0.23 | 0.11 | −0.18 | −0.08 | 0.35 | −0.11 | 0.08 | −0.16 |
| Specific root surface area 1 | 0.83 | −0.01 | 0.17 | 0.52 | −0.13 | 0.26 | 0.00 | 0.08 | 0.35 | −0.11 |
| Specific root surface area 2 | −0.50 | 0.06 | 0.83 | −0.11 | −0.22 | −0.16 | 0.02 | 0.39 | −0.08 | −0.20 |
| Root tissue density 1 | 0.18 | 0.31 | −0.91 | 0.17 | −0.10 | 0.06 | 0.12 | −0.43 | 0.11 | −0.09 |
| Root tissue density 2 | 0.28 | 0.22 | −0.86 | 0.19 | 0.31 | 0.09 | 0.08 | −0.41 | 0.12 | 0.28 |
| Carbon content in roots | 0.28 | 0.52 | −0.04 | −0.55 | 0.59 | 0.09 | 0.20 | −0.02 | −0.37 | 0.53 |
| Nitrogen content in roots | 0.92 | −0.18 | 0.03 | 0.33 | −0.11 | 0.29 | −0.07 | 0.01 | 0.22 | −0.10 |
| Phosphorus content in roots | 0.84 | 0.04 | 0.14 | −0.48 | −0.22 | 0.26 | 0.02 | 0.07 | −0.32 | −0.20 |
| Potassium content in roots | 0.74 | 0.63 | 0.12 | 0.07 | −0.19 | 0.23 | 0.24 | 0.06 | 0.05 | −0.17 |
| Soil moisture content | 0.87 | −0.06 | −0.32 | −0.27 | −0.25 | 0.27 | −0.02 | −0.15 | −0.18 | −0.22 |
| Volume weight of soil | 0.66 | 0.70 | −0.09 | −0.23 | −0.12 | 0.21 | 0.27 | −0.04 | −0.15 | −0.10 |
| Non-capillary porosity | 0.50 | −0.48 | 0.61 | 0.38 | −0.03 | 0.16 | −0.18 | 0.29 | 0.25 | −0.02 |
| Capillary porosity | −0.56 | 0.82 | −0.13 | 0.02 | −0.03 | −0.17 | 0.31 | −0.06 | 0.01 | −0.03 |
| Total porosity | −0.47 | 0.83 | 0.16 | 0.24 | −0.02 | −0.15 | 0.32 | 0.08 | 0.16 | −0.01 |
| PH value | −0.67 | −0.22 | −0.28 | 0.48 | 0.44 | −0.21 | −0.09 | −0.13 | 0.32 | 0.40 |
| Electric conductivity | 0.63 | −0.11 | 0.57 | 0.28 | 0.43 | 0.20 | −0.04 | 0.27 | 0.19 | 0.39 |
| Available phosphorus | 0.47 | 0.82 | 0.31 | 0.07 | 0.06 | 0.15 | 0.31 | 0.15 | 0.05 | 0.05 |
| Rapidly available potassium | 0.38 | 0.36 | 0.81 | 0.25 | 0.15 | 0.12 | 0.14 | 0.38 | 0.17 | 0.13 |
| Organic matter content | −0.10 | 0.96 | 0.23 | 0.07 | 0.09 | −0.03 | 0.37 | 0.11 | 0.05 | 0.08 |
| Soil potassium content | −0.97 | 0.00 | −0.07 | 0.18 | −0.18 | −0.30 | 0.00 | −0.03 | 0.12 | −0.16 |
| Soil nitrogen content | 0.75 | 0.56 | 0.13 | −0.25 | 0.22 | 0.23 | 0.21 | 0.06 | −0.17 | 0.20 |
| Soil phosphorus content | 0.45 | −0.78 | 0.09 | −0.39 | 0.15 | 0.14 | −0.30 | 0.04 | −0.26 | 0.13 |
| Eigenvalue | 10.289 | 6.846 | 4.406 | 2.215 | 1.244 | 10.289 | 6.846 | 4.406 | 2.215 | 1.244 |
| Contribution % | 41.16 | 27.38 | 17.62 | 8.86 | 4.97 | 41.16 | 27.38 | 17.62 | 8.86 | 4.97 |
| Cumulative contribution % | 41.16 | 68.54 | 86.16 | 95.02 | 100.00 | 41.16 | 68.54 | 86.16 | 95.02 | 100.00 |
| Treatment/(Plant·hm−2) | Principal Component Score | Comprehensive Score | Sort | ||||
|---|---|---|---|---|---|---|---|
| F1 | F2 | F3 | F4 | F5 | |||
| D1 | −3.59 | 7.54 | −0.92 | 0.90 | −0.53 | 0.48 | 5 |
| D2 | −3.44 | 9.31 | −2.85 | 0.45 | −0.70 | 0.64 | 3 |
| D3 | −1.93 | 9.89 | −1.29 | 1.14 | −0.58 | 1.76 | 1 |
| D4 | −3.89 | 9.84 | −0.99 | −0.14 | −0.56 | 0.88 | 2 |
| CK | −5.89 | 12.14 | −1.79 | 0.97 | −0.74 | 0.63 | 4 |
Disclaimer/Publisher’s Note: The statements, opinions and data contained in all publications are solely those of the individual author(s) and contributor(s) and not of MDPI and/or the editor(s). MDPI and/or the editor(s) disclaim responsibility for any injury to people or property resulting from any ideas, methods, instructions or products referred to in the content. |
© 2025 by the authors. Licensee MDPI, Basel, Switzerland. This article is an open access article distributed under the terms and conditions of the Creative Commons Attribution (CC BY) license (https://creativecommons.org/licenses/by/4.0/).
Share and Cite
He, T.; Cai, X.; Zhang, J.; Cai, Z.; Chen, Q.; Li, S.; Ye, J.; Chen, L.; Rong, J.; Chen, L.; et al. Effects of Moso Bamboo (Phyllostachys edulis) Forest Stand Density on Root Growth and Soil Quality for Shoot Production Under a Long-Term Bamboo-Stocking Retention Model. Biology 2025, 14, 1179. https://doi.org/10.3390/biology14091179
He T, Cai X, Zhang J, Cai Z, Chen Q, Li S, Ye J, Chen L, Rong J, Chen L, et al. Effects of Moso Bamboo (Phyllostachys edulis) Forest Stand Density on Root Growth and Soil Quality for Shoot Production Under a Long-Term Bamboo-Stocking Retention Model. Biology. 2025; 14(9):1179. https://doi.org/10.3390/biology14091179
Chicago/Turabian StyleHe, Tianyou, Xing Cai, Jialin Zhang, Zongming Cai, Qingzhuan Chen, Shikun Li, Jing Ye, Lingyan Chen, Jundong Rong, Liguang Chen, and et al. 2025. "Effects of Moso Bamboo (Phyllostachys edulis) Forest Stand Density on Root Growth and Soil Quality for Shoot Production Under a Long-Term Bamboo-Stocking Retention Model" Biology 14, no. 9: 1179. https://doi.org/10.3390/biology14091179
APA StyleHe, T., Cai, X., Zhang, J., Cai, Z., Chen, Q., Li, S., Ye, J., Chen, L., Rong, J., Chen, L., & Zheng, Y. (2025). Effects of Moso Bamboo (Phyllostachys edulis) Forest Stand Density on Root Growth and Soil Quality for Shoot Production Under a Long-Term Bamboo-Stocking Retention Model. Biology, 14(9), 1179. https://doi.org/10.3390/biology14091179

