Bioprospecting of a Native Plant Growth-Promoting Bacterium Bacillus cereus B6 for Enhancing Uranium Accumulation by Sudan Grass (Sorghum sudanense (Piper) Stapf)
Simple Summary
Abstract
1. Introduction
2. Materials and Methods
2.1. Plant and Bacteria for Phytoremediation
2.2. Whole-Genome Sequencing and Identification of Uranium-Resistant Strain B6
2.3. In Vitro Assessment of Plant Growth-Promoting (PGP) Properties
2.4. Effect of Inoculation on Seed Germination
2.5. Cultivation of Plants Under Greenhouse Conditions
2.6. Determination of Uranium Accumulation in Plants
2.7. Measurement of Malondialdehyde (MDA) Content, Reduced Glutathione (GSH) and Oxidized Glutathione (GSSG) Content, and Antioxidant Enzyme Activity
2.8. Statistical Analysis
3. Results
3.1. Identification and Genomic Features of Strain B6
3.2. Determination of the Minimal Inhibitory Concentrations (MICs) for Uranium and Metals
3.3. In Vitro Evaluation of the Growth-Promoting Properties of Strain B6
3.4. Effects of Strain B6 on Growth and Uranium Enrichment of Sudan Grass in Uranium-Contaminated Soil
3.4.1. Effects of Strain B6 on Seed Germination Under Uranium Stress
3.4.2. Effects of Strain B6 on Growth and Uranium Enrichment of Sudan Grass in Uranium-Contaminated Soil
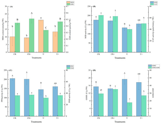
3.5. Effect of Strain B6 on the Antioxidant Response in Plants Under Uranium Stress
4. Discussion
5. Conclusions
Supplementary Materials
Author Contributions
Funding
Institutional Review Board Statement
Informed Consent Statement
Data Availability Statement
Acknowledgments
Conflicts of Interest
References
- Asic, A.; Kurtovic-Kozaric, A.; Besic, L.; Mehinovic, L.; Hasic, A.; Kozaric, M.; Hukic, M.; Marjanovic, D. Chemical Toxicity and Radioactivity of Depleted Uranium: The Evidence from in Vivo and in Vitro Studies. Environ. Res. 2017, 156, 665–673. [Google Scholar] [CrossRef]
- Schilz, J.R.; Dashner-Titus, E.J.; Simmons, K.A.; Erdei, E.; Bolt, A.M.; MacKenzie, D.A.; Hudson, L.G. The Immunotoxicity of Natural and Depleted Uranium: From Cells to People. Toxicol. Appl. Pharmacol. 2022, 454, 116252. [Google Scholar] [CrossRef] [PubMed]
- Ma, M.; Wang, R.; Xu, L.; Xu, M.; Liu, S. Emerging Health Risks and Underlying Toxicological Mechanisms of Uranium Contamination: Lessons from the Past Two Decades. Environ. Int. 2020, 145, 106107. [Google Scholar] [CrossRef] [PubMed]
- Gao, N.; Huang, Z.; Liu, H.; Hou, J.; Liu, X. Advances on the toxicity of uranium to different organisms. Chemosphere 2019, 237, 124548. [Google Scholar] [CrossRef] [PubMed]
- Ravalli, F.; Yu, Y.; Bostick, B.C.; Chillrud, S.N.; Schilling, K.; Basu, A.; Navas-Acien, A.; Nigra, A.E. Sociodemographic Inequalities in Uranium and Other Metals in Community Water Systems across the USA, 2006–11: A Cross-Sectional Study. Lancet Planet. Health 2022, 6, e320–e330. [Google Scholar] [CrossRef] [PubMed]
- Liu, B.; Peng, T.; Sun, H.; Yue, H. Release Behavior of Uranium in Uranium Mill Tailings under Environmental Conditions. J. Environ. Radioact. 2017, 171, 160–168. [Google Scholar] [CrossRef] [PubMed]
- Neiva, A.M.R.; Albuquerque, M.T.D.; Antunes, I.M.H.R.; Carvalho, P.C.S.; Santos, A.C.T.; Boente, C.; Cunha, P.P.; Henriques, S.B.A.; Pato, R.L. Assessment of Metal and Metalloid Contamination in Soils Trough Compositional Data: The Old Mortórios Uranium Mine Area, Central Portugal. Environ. Geochem. Health 2019, 41, 2875–2892. [Google Scholar] [CrossRef] [PubMed]
- Blake, J.M.; De Vore, C.L.; Avasarala, S.; Ali, A.-M.; Roldan, C.; Bowers, F.; Spilde, M.N.; Artyushkova, K.; Kirk, M.F.; Peterson, E.; et al. Uranium Mobility and Accumulation along the Rio Paguate, Jackpile Mine in Laguna Pueblo, NM. Environ. Sci. Process. Impacts 2017, 19, 605–621. [Google Scholar] [CrossRef] [PubMed]
- Cheng, C.; Chen, L.; Guo, K.; Xie, J.; Shu, Y.; He, S.; Xiao, F. Progress of Uranium-Contaminated Soil Bioremediation Technology. J. Environ. Radioact. 2022, 241, 106773. [Google Scholar] [CrossRef] [PubMed]
- Mocek-Płóciniak, A.; Mencel, J.; Zakrzewski, W.; Roszkowski, S. Phytoremediation as an Effective Remedy for Removing Trace Elements from Ecosystems. Plants 2023, 12, 1653. [Google Scholar] [CrossRef]
- Zamora-Ledezma, C.; Negrete-Bolagay, D.; Figueroa, F.; Zamora-Ledezma, E.; Ni, M.; Alexis, F.; Guerrero, V.H. Heavy Metal Water Pollution: A Fresh Look about Hazards, Novel and Conventional Remediation Methods. Environ. Technol. Innov. 2021, 22, 101504. [Google Scholar] [CrossRef]
- Zhang, W.L.; Cheng, Y.; Lu, B.Y.; Yao, Y.H.; Zhou, Z.K. Rhizosphere Effect of Ryegrass-AMF Combined Remediation of Uranium Contaminated Soil. Nonferrous Met. (Extr. Metall.) 2024, 8, 175–181. [Google Scholar]
- Fande, M.; Jin, D.; Guo, K.; Larson, S.L.; Ballard, J.H.; Chen, L.; Arslan, Z.; Yuan, G.; White, J.R.; Zhou, L.; et al. Influences of U Sources and Forms on Its Bioaccumulation in Indian Mustard and Sunflower. Water Air Soil Pollut. 2018, 229, 369. [Google Scholar]
- Ding, D.X.; Hao, C.; Liu, J.J.; Dong, X.; Li, A.; Tan, G.; Ma, J.; Zhang, H.; Wang, Y.; Hu, N. Enhancement effects of the coupling between AC electric field and Fusarium sp. A-2 on the remediation of uranium contaminated soil by Macleaya Cordata. China Environ. Sci. 2022, 42, 258–266. [Google Scholar]
- Bastos, E.; Schneider, M.; De Quadros, D.P.C.; Welz, B.; Batista, M.B.; Horta, P.A.; Rörig, L.R.; Barufi, J.B. Phytoremediation Potential of Ulva Ohnoi (Chlorophyta): Influence of Temperature and Salinity on the Uptake Efficiency and Toxicity of Cadmium. Ecotoxicol. Environ. Saf. 2019, 174, 334–343. [Google Scholar] [CrossRef]
- De Souza, T.D.; Borges, A.C.; Braga, A.F.; Veloso, R.W.; Teixeira De Matos, A. Phytoremediation of Arsenic-Contaminated Water by Lemna Valdiviana: An Optimization Study. Chemosphere 2019, 234, 402–408. [Google Scholar] [CrossRef]
- Willscher, S.; Jablonski, L.; Fona, Z.; Rahmi, R.; Wittig, J. Phytoremediation Experiments with Helianthus Tuberosus under Different pH and Heavy Metal Soil Concentrations. Hydrometallurgy 2017, 168, 153–158. [Google Scholar] [CrossRef]
- Kurniawan, S.B.; Ramli, N.N.; Said, N.S.M.; Alias, J.; Imron, M.F.; Abdullah, S.R.S.; Othman, A.R.; Purwanti, I.F.; Hasan, H.A. Practical Limitations of Bioaugmentation in Treating Heavy Metal Contaminated Soil and Role of Plant Growth Promoting Bacteria in Phytoremediation as a Promising Alternative Approach. Heliyon 2022, 8, e08995. [Google Scholar] [CrossRef] [PubMed]
- Adeyemi, N.O.; Atayese, M.O.; Sakariyawo, O.S.; Azeez, J.O.; Abayomi Sobowale, S.P.; Olubode, A.; Mudathir, R.; Adebayo, R.; Adeoye, S. Alleviation of Heavy Metal Stress by Arbuscular Mycorrhizal Symbiosis in Glycine max (L.) Grown in Copper, Lead and Zinc Contaminated Soils. Rhizosphere 2021, 18, 100325. [Google Scholar] [CrossRef]
- Manoj, S.R.; Karthik, C.; Kadirvelu, K.; Arulselvi, P.I.; Shanmugasundaram, T.; Bruno, B.; Rajkumar, M. Understanding the Molecular Mechanisms for the Enhanced Phytoremediation of Heavy Metals through Plant Growth Promoting Rhizobacteria: A Review. J. Environ. Manag. 2020, 254, 109779. [Google Scholar] [CrossRef] [PubMed]
- Pranaw, K.; Pidlisnyuk, V.; Trögl, J.; Malinská, H. Bioprospecting of a Novel Plant Growth-Promoting Bacterium Bacillus Altitudinis KP-14 for Enhancing Miscanthus × Giganteus Growth in Metals Contaminated Soil. Biology 2020, 9, 305. [Google Scholar] [CrossRef]
- Khan, W.U.; Yasin, N.A.; Ahmad, S.R.; Nazir, A.; Naeem, K.; Nadeem, Q.U.A.; Nawaz, S.; Ijaz, M.; Tahir, A. Burkholderia Cepacia CS8 Improves Phytoremediation Potential of Calendula Officinalis for Tannery Solid Waste Polluted Soil. Int. J. Phytoremediation 2023, 25, 1656–1668. [Google Scholar] [CrossRef] [PubMed]
- Hofmann, M.; Retamal-Morales, G.; Tischler, D. Metal Binding Ability of Microbial Natural Metal Chelators and Potential Applications. Nat. Prod. Rep. 2020, 37, 1262–1283. [Google Scholar] [CrossRef]
- Glick, B.R. Bacteria with ACC Deaminase Can Promote Plant Growth and Help to Feed the World. Microbiol. Res. 2014, 169, 30–39. [Google Scholar] [CrossRef]
- El-Meihy, R.M.; Abou-Aly, H.E.; Youssef, A.M.; Tewfike, T.A.; El-Alkshar, E.A. Efficiency of Heavy Metals-Tolerant Plant Growth Promoting Bacteria for Alleviating Heavy Metals Toxicity on Sorghum. Environ. Exp. Bot. 2019, 162, 295–301. [Google Scholar] [CrossRef]
- Nabil, T.; Aziza, K.; Bouchra, O.E.; Ferioun, M.; El Ghachtouli, N. Improved Chromium Tolerance of Medicago Sativa by Plant Growth-Promoting Rhizobacteria (PGPR). J. Genet. Eng. Biotechnol. 2021, 19, 149. [Google Scholar]
- Huang, G.; Zhou, X.; Guo, G.; Ren, C.; Rizwan, M.S.; Islam, M.S.; Hu, H. Variations of Dissolved Organic Matter and Cu Fractions in Rhizosphere Soil Induced by the Root Activities of Castor Bean. Chemosphere 2020, 254, 126800. [Google Scholar] [CrossRef]
- Cui, Q.; Zhang, Z.; Beiyuan, J.; Cui, Y.; Chen, L.; Chen, H.; Fang, L. A Critical Review of Uranium in the Soil-Plant System: Distribution, Bioavailability, Toxicity, and Bioremediation Strategies. Crit. Rev. Environ. Sci. Technol. 2023, 53, 340–365. [Google Scholar] [CrossRef]
- Zhou, B.; Yang, Z.; Chen, X.; Jia, R.; Yao, S.; Gan, B.; Fan, D.; Yang, X.; Li, W.; Chen, Y. Microbiological Mechanisms of Collaborative Remediation of Cadmium-Contaminated Soil with Bacillus Cereus and Lawn Plants. Plants 2024, 13, 1303. [Google Scholar] [CrossRef]
- Lima, L.R.; Silva, H.F.; Brignoni, A.S.; Silva, F.G.; Camargos, L.S.; Souza, L.A. Characterization of Biomass Sorghum for Copper Phytoremediation: Photosynthetic Response and Possibility as a Bioenergy Feedstock from Contaminated Land. Physiol. Mol. Biol. Plants 2019, 25, 433–441. [Google Scholar] [CrossRef] [PubMed]
- Jurišić, V.; Rašeta, D.; Kontek, M.; Clifton-Brown, J.; Trindade, L.M.; Lamy, I.; Guerin, A.; Kiesel, A.; Matin, A.; Krička, T.; et al. Assessment of the Radionuclide Remediation Potential of Novel Miscanthus Hybrids. Heliyon 2024, 10, e27788. [Google Scholar] [CrossRef]
- Khan, A.G. Promises and Potential of in Situ Nano-Phytoremediation Strategy to Mycorrhizo-Remediate Heavy Metal Contaminated Soils Using Non-Food Bioenergy Crops (Vetiver Zizinoides & Cannabis Sativa). Int. J. Phytoremediation 2020, 22, 900–915. [Google Scholar] [PubMed]
- Liu, X.; Shen, S.; Zhang, X.; Chen, X.; Jin, R.; Li, X. Effect of Enhancers on the Phytoremediation of Soils Polluted by Pyrene and Ni Using Sudan Grass (Sorghum Sudanense (Piper) Stapf.). Environ. Sci. Pollut. Res. 2020, 27, 41639–41646. [Google Scholar] [CrossRef] [PubMed]
- Jiao, A.; Gao, B.; Gao, M.; Liu, X.; Zhang, X.; Wang, C.; Fan, D.; Han, Z.; Hu, Z. Effect of Nitrilotriacetic Acid and Tea Saponin on the Phytoremediation of Ni by Sudan Grass (Sorghum Sudanense (Piper) Stapf.) in Ni-Pyrene Contaminated Soil. Chemosphere 2022, 294, 133654. [Google Scholar] [CrossRef] [PubMed]
- Hernández-Allica, J.; Becerril, J.M.; Garbisu, C. Assessment of the Phytoextraction Potential of High Biomass Crop Plants. Environ. Pollut. 2008, 152, 32–40. [Google Scholar] [CrossRef] [PubMed]
- Angelova, V.R.; Ivanova, R.V.; Deliblatovamad, V.A.; Ivanov, K.I. Use of sorghum crops for in situ phytoremediation of polluted soils. J. Agric. Sci. Technol. A 2011, 1, 693–702. [Google Scholar]
- Huang, C.; Yang, R.L.; Guo, T.; Tan, J.; Rong, L.S. Study on Accumulation Characteristic of Uranium in Sorghumsudanense (Piper) Stapf. J. Univ. South China (Sci. Technol.) 2015, 29, 21–24. [Google Scholar]
- Pinto, A.; Mota, A.; Devarennes, A.; Pinto, F. Influence of Organic Matter on the Uptake of Cadmium, Zinc, Copper and Iron by Sorghum Plants. Sci. Total Environ. 2004, 326, 239–247. [Google Scholar] [CrossRef] [PubMed]
- Li, W.; Qiu, R.; Zhu, L.; He, H.X.; Xie, J.; Deng, H.Y.; Kang, L.; Meng, Z.F. The influence of microbial powder and wood ash on the growth of forage seedlings under Cu2+ stress. Adm. Tech. Environ. Monit. 2019, 31, 65–68. [Google Scholar]
- Hamood Altowayti, W.A.; Almoalemi, H.; Shahir, S.; Othman, N. Comparison of Culture-Independent and Dependent Approaches for Identification of Native Arsenic-Resistant Bacteria and Their Potential Use for Arsenic Bioremediation. Ecotoxicol. Environ. Saf. 2020, 205, 111267. [Google Scholar] [CrossRef]
- Koren, S.; Walenz, B.P.; Berlin, K.; Miller, J.R.; Bergman, N.H.; Phillippy, A.M. Canu: Scalable and Accurate Long-Read Assembly via Adaptive k -Mer Weighting and Repeat Separation. Genome Res. 2017, 27, 722–736. [Google Scholar] [CrossRef]
- Schwengers, O.; Jelonek, L.; Dieckmann, M.A.; Beyvers, S.; Blom, J.; Goesmann, A. Bakta: Rapid and Standardized Annotation of Bacterial Genomes via Alignment-Free Sequence Identification: Find out More about Bakta, the Motivation, Challenges and Applications, Here. Microb. Genom. 2021, 7, 000685. [Google Scholar] [CrossRef]
- Yoon, S.-H.; Ha, S.-M.; Kwon, S.; Lim, J.; Kim, Y.; Seo, H.; Chun, J. Introducing EzBioCloud: A Taxonomically United Database of 16S rRNA Gene Sequences and Whole-Genome Assemblies. Int. J. Syst. Evol. Microbiol. 2017, 67, 1613–1617. [Google Scholar] [CrossRef] [PubMed]
- Yoon, S.-H.; Ha, S.; Lim, J.; Kwon, S.; Chun, J. A Large-Scale Evaluation of Algorithms to Calculate Average Nucleotide Identity. Antonie Van Leeuwenhoek 2017, 110, 1281–1286. [Google Scholar] [CrossRef] [PubMed]
- Meier-Kolthoff, J.P.; Carbasse, J.S.; Peinado-Olarte, R.L.; Göker, M. TYGS and LPSN: A Database Tandem for Fast and Reliable Genome-Based Classification and Nomenclature of Prokaryotes. Nucleic Acids Res. 2022, 50, D801–D807. [Google Scholar] [CrossRef]
- Nautiyal, C.S. An Efficient Microbiological Growth Medium for Screening Phosphate Solubilizing Microorganisms. FEMS Microbiol. Lett. 1999, 170, 265–270. [Google Scholar] [CrossRef] [PubMed]
- Yaghoubi Khanghahi, M.; Pirdashti, H.; Rahimian, H.; Nematzadeh, G.; Ghajar Sepanlou, M. Potassium Solubilising Bacteria (KSB) Isolated from Rice Paddy Soil: From Isolation, Identification to K Use Efficiency. Symbiosis 2018, 76, 13–23. [Google Scholar] [CrossRef]
- Ehmann, A. The van URK-Salkowski Reagent—A Sensitive and Specific Chromogenic Reagent for Silica Gel Thin-Layer Chromatographic Detection and Identification of Indole Derivatives. J. Chromatogr. A 1977, 132, 267–276. [Google Scholar] [CrossRef] [PubMed]
- Alexander, D.B.; Zuberer, D.A. Use of Chrome Azurol S Reagents to Evaluate Siderophore Production by Rhizosphere Bacteria. Biol. Fertil. Soils 1991, 12, 39–45. [Google Scholar] [CrossRef]
- Liu, J.; Zheng, J.; Gao, C.; Liu, H.; Zhang, D.; Liu, L. Screening of endophytic growth-promoting fungi and their characteristics in apple. J. Fruit Sci. 2023, 40, 735–746. [Google Scholar]
- Yoshida, S.; Yokoyama, A. Identification and Characterization of Genes Related to the Production of Organic Acids in Yeast. J. Biosci. Bioeng. 2012, 113, 556–561. [Google Scholar] [CrossRef]
- Wang, Z.; Li, M.; Chen, W.; Liu, Y. Identification and enzyme activity of bacterium Q2B1 isolated from high-temperature Daqu of sesame-flavor Baijiu. China Brew. 2020, 39, 51–55. [Google Scholar]
- Navas-Molina, J.A.; González, A.; McMurdie, P.J.; Vázquez-Baeza, Y.; Xu, Z.; Ursell, L.K.; Lauber, C.; Zhou, H.; Song, S.J.; Huntley, J.; et al. Advancing our understand-ing of the human microbiome using QIIME. Methods Enzymol. 2013, 531, 97–119. [Google Scholar]
- Asadi Aghbolaghi, M.; Sedghi, M.; Sharifi, R.S.; Dedicova, B. Germination and the Biochemical Response of Pumpkin Seeds to Different Concentrations of Humic Acid under Cadmium Stress. Agriculture 2022, 12, 374. [Google Scholar] [CrossRef]
- Feizi, H.; Kamali, M.; Jaafari, L.; Rezvani Moghaddam, P. Ameliorative effects of TiO2 nanoparticles and sodium nitroprusside on seed germination and seedling growth of wheat under PEG-stimulated drought stress. Braz. J. Bot. 2019, 41, 1–14. [Google Scholar]
- Ikram, M.; Ali, N.; Jan, G.; Jan, F.G.; Rahman, I.U.; Iqbal, A.; Hamayun, M. IAA Producing Fungal Endophyte Penicillium Roqueforti Thom., Enhances Stress Tolerance and Nutrients Uptake in Wheat Plants Grown on Heavy Metal Contaminated Soils. PLoS ONE 2018, 13, e0208150. [Google Scholar] [CrossRef]
- Du, H.; Wang, N.L.; Xiong, L.Z. Determination of Malondialdehyde (MDA) Content in Rice Leaves. Bio 2018, 101, e1010148. [Google Scholar]
- Hissin, P.J.; Hilf, R. A Fluorometric Method for Determination of Oxidized and Reduced Glutathione in Tissues. Anal. Biochem. 1976, 74, 214–226. [Google Scholar] [CrossRef] [PubMed]
- Marta, B.; Szafrańska, K.; Posmyk, M.M. Exogenous Melatonin Improves Antioxidant Defense in Cucumber Seeds (Cucumis sativus L.) Germinated under Chilling Stress. Front. Plant Sci. 2016, 7, 575. [Google Scholar] [CrossRef] [PubMed]
- Reuveni, R. Peroxidase Activity as a Biochemical Marker for Resistance of Muskmelon (Cucumis melo) to Pseu-doperonospora cubensis. Phytopathology 1992, 82, 749–753. [Google Scholar] [CrossRef]
- Goel, A.; Sheoran, I.S. Lipid Peroxidation and Peroxide-Scavenging Enzymes in Cotton Seeds Under Natural Ageing. Biol. Plant. 2003, 46, 429–434. [Google Scholar] [CrossRef]
- Batool, T.; Ali, S.; Seleiman, M.F.; Naveed, N.H.; Ali, A.; Ahmed, K.; Abid, M.; Rizwan, M.; Shahid, M.R.; Alotaibi, M.; et al. Plant Growth Promoting Rhizobacteria Alleviates Drought Stress in Potato in Response to Suppressive Oxidative Stress and Antioxidant Enzymes Activities. Sci. Rep. 2020, 10, 16975. [Google Scholar] [CrossRef]
- Sharma, N.; Hundal, G.; Bhardwaj, R.; Sharma, I. 28-Homobrassinolide Alters Protein Content and Activities of Glutathione-S-Transferase and Polyphenol Oxidase in Raphanus sativus L. Plants under Heavy Metal Stress. Toxicol. Int. 2014, 21, 45. [Google Scholar]
- Akhtar, N.; Ilyas, N.; Yasmin, H.; Sayyed, R.; Hasnain, Z.; Elsayed, A.E.; El Enshasy, H. Role of Bacillus Cereus in Improving the Growth and Phytoextractability of Brassica nigra (L.) K. Koch in Chromium Contaminated Soil. Molecules 2021, 26, 1569. [Google Scholar] [CrossRef] [PubMed]
- Jabeen, Z.; Irshad, F.; Habib, A.; Hussain, N.; Sajjad, M.; Mumtaz, S.; Rehman, S.; Haider, W.; Hassan, M.N. Alleviation of Cadmium Stress in Rice by Inoculation of Bacillus Cereus. PeerJ 2022, 10, e13131. [Google Scholar] [CrossRef] [PubMed]
- Malaviya, P.; Singh, A. Phytoremediation Strategies for Remediation of Uranium-Contaminated Environments: A Review. Crit. Rev. Environ. Sci. Technol. 2012, 42, 2575–2647. [Google Scholar] [CrossRef]
- Aryal, M. Phytoremediation Strategies for Mitigating Environmental Toxicants. Heliyon 2024, 10, e38683. [Google Scholar] [CrossRef]
- Huang, J.; Dai, X.; Chen, X.; Ali, I.; Chen, H.; Gou, J.; Zhuo, C.; Huang, M.; Zhu, B.; Tang, Y.; et al. Combined Forage Grass-Microbial for Remediation of Strontium-Contaminated Soil. J. Hazard. Mater. 2023, 450, 131013. [Google Scholar] [CrossRef] [PubMed]
- Shim, J.; Babu, A.G.; Velmurugan, P.; Shea, P.J.; Oh, B.-T. Pseudomonas Fluorescens JH 70-4 Promotes Pb Stabilization and Early Seedling Growth of Sudan Grass in Contaminated Mining Site Soil. Environ. Technol. 2014, 35, 2589–2596. [Google Scholar] [CrossRef]
- Reeves, R.D.; Baker, A.J.M.; Jaffré, T.; Erskine, P.D.; Echevarria, G.; Van Der Ent, A. A Global Database for Plants That Hyperaccumulate Metal and Metalloid Trace Elements. New Phytol. 2018, 218, 407–411. [Google Scholar] [CrossRef] [PubMed]
- Li, C.; Liu, J.; Zhang, W.; Zhou, J.; Luo, D.; Li, Z. Uranium (U) Source, Speciation, Uptake, Toxicity and Bioremediation Strategies in Soil-Plant System: A Review. J. Hazard. Mater. 2021, 413, 125319. [Google Scholar]
- Xiang, M.W.; Wang, D.; Yao, T.Y. Enrichment Characteristics of Eight Plants to Uranium and Cadmium. Chin. J. Environ. Eng. 2017, 11, 594–601. [Google Scholar]
- Jiang, W.J.; Wang, D.; Yao, T.Y. Screening of Rhizomatic Accumulators to Uranium and Cadmium. J. Agro-Environ. Sci. 2017, 36, 39–47. [Google Scholar]
- Baumann, N.; Arnold, T.; Haferburg, G. Uranium contents in plants and mushrooms grown on a uranium-contaminated site near Ronneburg in Eastern Thuringia/Germany. Environ. Sci. Pollut. Res. 2014, 21, 6921–6929. [Google Scholar] [CrossRef] [PubMed]
- Lai, J.-L.; Liu, Z.-W.; Li, C.; Luo, X.-G. Analysis of accumulation and phytotoxicity mechanism of uranium and cadmium in two sweet potato cultivars. J. Hazard. Mater. 2021, 409, 124997. [Google Scholar] [CrossRef] [PubMed]
- Croteau, M.N.; Fuller, C.C.; Cain, D.J.; Campbell, K.M.; Aiken, G. Biogeochemical controls of uranium bioavailability from the dissolved phase in natural freshwaters. Environ. Sci. Technol. 2016, 50, 8120–8127. [Google Scholar] [CrossRef]
- Yadav, K.K.; Gupta, N.; Kumar, A.; Reece, L.M.; Ahmad Khan, S.; Singh, N.; Rezania, S.; Khan, S.A. Mechanistic Understanding and Holistic Approach of Phytoremediation: A Review on Application and Future Prospects. Ecol. Eng. 2018, 120, 274–298. [Google Scholar] [CrossRef]
- Liu, Y.; He, G.; He, T.; Saleem, M. Signaling and Detoxification Strategies in Plant-Microbes Symbiosis under Heavy Metal Stress: A Mechanistic Understanding. Microorganisms 2022, 11, 69. [Google Scholar] [CrossRef]
- Patani, A.; Patel, M.; Islam, S.; Yadav, V.K.; Prajapati, D.; Yadav, A.N.; Sahoo, D.K.; Patel, A. Recent Advances in Bacillus-Mediated Plant Growth Enhancement: A Paradigm Shift in Redefining Crop Resilience. World J. Microbiol. Biotechnol. 2024, 40, 77. [Google Scholar] [CrossRef]
- Wróbel, M.; Śliwakowski, W.; Kowalczyk, P.; Kramkowski, K.; Dobrzyński, J. Bioremediation of Heavy Metals by the Genus Bacillus. Int. J. Environ. Res. Public Health 2023, 20, 4964. [Google Scholar] [CrossRef] [PubMed]
- Ku, Y.; Xu, G.; Tian, X.; Xie, H.; Yang, X.; Cao, C.; Chen, Y. Correction: Root Colonization and Growth Promotion of Soybean, Wheat and Chinese Cabbage by Bacillus Cereus YL6. PLoS ONE 2018, 13, e0210035. [Google Scholar] [CrossRef] [PubMed]
- Swiecicka, I. Natural Occurrence of Bacillus Thuringiensis and Bacillus cereus in Eukaryotic Organisms: A Case for Symbiosis. Biocontrol Sci. Technol. 2008, 18, 221–239. [Google Scholar] [CrossRef]
- Kumar, P.; Pahal, V.; Gupta, A.; Vadhan, R.; Chandra, H.; Dubey, R.C. Effect of Silver Nanoparticles and Bacillus Cereus LPR2 on the Growth of Zea Mays. Sci. Rep. 2020, 10, 20409. [Google Scholar] [CrossRef] [PubMed]
- Liu, F.; Ma, H.; Liu, B.; Du, Z.; Ma, B.; Jing, D. Effects of Plant Growth-Promoting Rhizobacteria on the Physioecological Characteristics and Growth of Walnut Seedlings under Drought Stress. Agronomy 2023, 13, 290. [Google Scholar] [CrossRef]
- Bhatt, S.; Pandhi, N.; Raghav, R. Improved Salt Tolerance and Growth Parameters of Groundnut (Arachis hypogaea L.) Employing Halotolerant Bacillus Cereus SVSCD1 Isolated from Saurashtra Region, Gujarat. EM Int. 2020, 26, 199–212. [Google Scholar]
- Alotaibi, B.S.; Khan, M.; Shamim, S. Unraveling the Underlying Heavy Metal Detoxification Mechanisms of Bacillus Species. Microorganisms 2021, 9, 1628. [Google Scholar] [CrossRef]
- Sherpa, M.T.; Bag, N.; Das, S.; Haokip, P.; Sharma, L. Isolation and Characterization of Plant Growth Promoting Rhizobacteria Isolated from Organically Grown High Yielding Pole Type Native Pea (Pisum sativum L.) Variety Dentami of Sik-kim, India. Curr. Res. Microb. Sci. 2021, 2, 100068. [Google Scholar] [CrossRef] [PubMed]
- Mukhtar, T.; Rehman, S.u.; Smith, D.; Sultan, T.; Seleiman, M.F.; Alsadon, A.A.; Amna; Ali, S.; Chaudhary, H.J.; Solieman, T.H.I.; et al. Mitigation of Heat Stress in Solanum lycopersicum L. by ACC-Deaminase and Exopolysaccharide Producing Bacillus cereus: Effects on Biochemical Profiling. Sustainability 2020, 12, 2159. [Google Scholar] [CrossRef]
- Zhang, Y.; Tian, Z.; Xi, Y.; Wang, X.; Chen, S.; He, M.; Chen, Y.; Guo, Y. Improvement of Salt Tolerance of Arabidopsis ThalianaSeedlings Inoculated with Endophytic Bacillus cereus KP120. J. Plant Interact. 2022, 17, 884–893. [Google Scholar] [CrossRef]
- Wang, X.; Luo, S.; Chen, Y.; Zhang, R.; Lei, L.; Lin, K.; Qiu, C.; Xu, H. Potential of Miscanthus Floridulus Associated with Endophytic Bacterium Bacillus Cereus BL4 to Remediate Cadmium Contaminated Soil. Sci. Total. Environ. 2023, 857, 159384. [Google Scholar] [CrossRef]
- Campestre, M.P.; Castagno, L.N.; Estrella, M.J.; Ruiz, O.A. Lotus Japonicus Plants of the Gifu B-129 Ecotype Subjected to Alkaline Stress Improve Their Fe2+ Bio-Availability through Inoculation with Pantoea Eucalypti M91. J. Plant Physiol. 2016, 192, 47–55. [Google Scholar] [CrossRef]
- De Serrano, L.O. Biotechnology of Siderophores in High-Impact Scientific Fields. Biomol. Concepts 2017, 8, 169–178. [Google Scholar] [CrossRef]
- Dimkpa, C.O.; Merten, D.; Svatoš, A.; Büchel, G.; Kothe, E. Siderophores Mediate Reduced and Increased Uptake of Cadmium by Streptomyces Tendae F4 and Sunflower (Helianthus Annuus), Respectively. J. Appl. Microbiol. 2009, 107, 1687–1696. [Google Scholar] [CrossRef]
- Vishnupradeep, R.; Bruno, L.B.; Taj, Z.; Karthik, C.; Challabathula, D.; Tripti; Kumar, A.; Freitas, H.; Rajkumar, M. Plant Growth Promoting Bacteria Improve Growth and Phytostabilization Potential of Zea Mays under Chromium and Drought Stress by Altering Photosynthetic and Antioxidant Responses. Environ. Technol. Innov. 2022, 25, 102154. [Google Scholar] [CrossRef]
- Seregin, I.V.; Kozhevnikova, A.D. The Role of Low-Molecular-Weight Organic Acids in Metal Homeostasis in Plants. Int. J. Mol. Sci. 2024, 25, 9542. [Google Scholar] [CrossRef] [PubMed]
- Yang, Z.-X.; Yu, S.-Z.; Lin, Y.-C.; Zhang, W.-J.; Wang, Y.; Wang, R.-G.; Xu, S.-X.; Yang, T.-Z.; Xue, G. Activation of Potassium Released from Soil by Root-Secreted Organic Acids in Different Varieties of Tobacco (Nicotiana Tabacum). Funct. Plant Biol. 2020, 47, 318. [Google Scholar] [CrossRef] [PubMed]
- Dong, D.; Peng, X.; Yan, X. Organic Acid Exudation Induced by Phosphorus Deficiency and/or Aluminium Toxicity in Two Contrasting Soybean Genotypes. Physiol. Plant. 2004, 122, 190–199. [Google Scholar] [CrossRef]
- Raina, R.; Sharma, P.; Batish, D.R.; Singh, H.P. Assessment of Natural Low Molecular Weight Organic Acids in Facilitating Cadmium Phytoextraction by Lepidium Didymus (Brassicaceae). Environ. Sci. Pollut. Res. 2023, 31, 38990–38998. [Google Scholar] [CrossRef] [PubMed]
- Meenakshi; Annapurna, K.; Govindasamy, V.; Ajit, V.; Choudhary, D.K. Mitigation of Drought Stress in Wheat Crop by Drought Tolerant Endophytic Bacterial Isolates. Vegetos 2019, 32, 486–493. [Google Scholar] [CrossRef]
- Khan, N.; Bano, A.; Babar, M.A. The Stimulatory Effects of Plant Growth Promoting Rhizobacteria and Plant Growth Regulators on Wheat Physiology Grown in Sandy Soil. Arch. Microbiol. 2019, 201, 769–785. [Google Scholar] [CrossRef]
- Lai, J.; Liu, Z.; Luo, X. A Metabolomic, Transcriptomic Profiling, and Mineral Nutrient Metabolism Study of the Phytotoxicity Mechanism of Uranium. J. Hazard. Mater. 2020, 386, 121437. [Google Scholar] [CrossRef]
- Din, B.U.; Amna; Rafique, M.; Javed, M.T.; Kamran, M.A.; Mehmood, S.; Khan, M.; Sultan, T.; Hussain Munis, M.F.; Chaudhary, H.J. Assisted Phytoremediation of Chromium Spiked Soils by Sesbania Sesban in Association with Bacillus Xiamenensis PM14: A Biochemical Analysis. Plant Physiol. Biochem. 2020, 146, 249–258. [Google Scholar] [CrossRef] [PubMed]
- Nemat, H.; Shah, A.A.; Akram, W.; Ramzan, M.; Yasin, N.A. Ameliorative Effect of Co-Application of Bradyrhizobium Japonicum EI09 and Se to Mitigate Chromium Stress in Capsicum annum L. Int. J. Phytoremediation 2020, 22, 1396–1407. [Google Scholar] [CrossRef] [PubMed]
- Qi, X.; Hao, X.; Chen, X.; Xiao, S.; Chen, S.; Luo, X.; Wang, S.; Tian, J.; Wang, D.; Tang, Y. Integrated Phytoremediation System for Uranium-Contaminated Soils by Adding a Plant Growth Promoting Bacterial Mixture and Mowing Grass. J. Soils Sediments 2019, 19, 1799–1808. [Google Scholar] [CrossRef]
- Chen, L.; Luo, S.; Xiao, X.; Guo, H.; Chen, J.; Wan, Y.; Li, B.; Xu, T.; Xi, Q.; Rao, C.; et al. Application of Plant Growth-Promoting Endophytes (PGPE) Isolated from Solanum nigrum L. for Phytoextraction of Cd-Polluted Soils. Appl. Soil Ecol. 2010, 46, 383–389. [Google Scholar] [CrossRef]
- Braud, A.; Jézéquel, K.; Bazot, S.; Lebeau, T. Enhanced Phytoextraction of an Agricultural Cr- and Pb-Contaminated Soil by Bioaugmentation with Siderophore-Producing Bacteria. Chemosphere 2009, 74, 280–286. [Google Scholar] [CrossRef]
- Babu, A.G.; Kim, J.-D.; Oh, B.-T. Enhancement of Heavy Metal Phytoremediation by Alnus Firma with Endophytic Bacillus Thuringiensis GDB-1. J. Hazard. Mater. 2013, 250–251, 477–483. [Google Scholar] [CrossRef]
- Ma, Y.; Oliveira, R.S.; Nai, F.; Rajkumar, M.; Luo, Y.; Rocha, I.; Freitas, H. The Hyperaccumulator Sedum Plumbizincicola Harbors Metal-Resistant Endophytic Bacteria That Improve Its Phytoextraction Capacity in Multi-Metal Contaminated Soil. J. Environ. Manag. 2015, 156, 62–69. [Google Scholar] [CrossRef] [PubMed]







| Soil Parameters | Soil Samples |
|---|---|
| pH | 5.25 |
| Water, % | 16.93 |
| Organic, g·kg−1 | 59.42 |
| TN, g·kg−1 | 2.15 |
| Salt, g·kg−1 | 0.3 |
| TP, g·(100 g)−1 | 0.024 |
| TK, g·(100 g)−1 | 1.39 |
| U, mg·kg−1 | 100 |
| Strain Characteristics | B6 | B. cereus ATCC 14579 | B. thuringiensis ATCC 10792 | B. albus N35-10-2 | B. wiedmannii SR52 | B. tropicus JMT105-2 | B. proteolyticus TD42 |
|---|---|---|---|---|---|---|---|
| GeneBank No. | CP133649 | NZ_CP034551.1 | NZ_CM000753.1 | CP128152.1 | NZ_CP032365.1 | CP115303.1 | GCF_001884065.1 |
| Size | 5.7 M | 5.4 M | 6.2 M | 5.8 M | 5.3 M | 5.5 M | 5.9 M |
| G+C (%) | 35.06 | 35.29 | 34.82 | 34.95 | 35.19 | 35.35 | 35.15 |
| CDs | 5909 | 5255 | 6243 | 5617 | 5255 | 5218 | 5749 |
| ANI | / | 97.16 | 96.5 | 91.34 | 91.48 | 91.79 | 89.69 |
| dDDH | / | 74 | 68.4 | 44.2 | 44.8 | 45.8 | 39.5 |
| Treatment | Germinative Energy (%) | Germination Percentage (%) | Germination Index | Vital Index | Root Length (mm) | Shoot Length (mm) |
|---|---|---|---|---|---|---|
| T0 | 80.0 ± 0.0 ab | 100 ± 0.0 a | 40.2 ± 0.7 b | 3107.2 ± 176.4 b | 77.3 ± 2.9 b | 66.5 ± 1.8 a |
| T1 | 90.0 ± 0.0 a | 100 ± 0.0 a | 44.1 ± 0.6 a | 3962.3 ± 186.5 a | 89.8 ± 3.1 a | 67.8 ± 2.3 a |
| T2 | 83.3 ± 2.9 ab | 90.0 ± 5.0 b | 33.8 ± 1.3 c | 1056.8 ± 20.0 d | 31.3 ± 0.6 d | 53.4 ± 1.4 b |
| T3 | 88.3 ± 2.9 a | 95.0 ± 0.0 ab | 38.3 ± 1.2 b | 1629.0 ± 26.2 c | 42.5 ± 1.7 c | 55 ± 0.5 b |
| T4 | 73.3 ± 2.9 b | 80.0 ± 5.0 c | 26.1 ± 1.5 e | 568.8 ± 65.0 f | 21.7 ± 1.3 f | 51.3 ± 4.6 b |
| T5 | 78.3 ± 7.7 b | 90.0 ± 8.7 b | 30.8 ± 1.9 d | 850.6 ± 31.4 e | 27.7 ± 0.9 e | 52.2 ± 1.9 b |
| Treatment | Soil Uranium Concentration | Root Uranium Concentration | Shoot Uranium Concentration | PCF | TF |
|---|---|---|---|---|---|
| unit | mg·kg−1 | mg·kg−1 | mg·kg−1 | ||
| CK | 100 | 74.70 ± 0.92 | 2.281 ± 0.29 | 0.75 ± 0.009 | 0.03 ± 0.004 |
| B6 | 100 | 84.91 ± 2.68 * | 8.56 ± 0.60 * | 0.85 ± 0.028 * | 0.10 ± 0.004 * |
Disclaimer/Publisher’s Note: The statements, opinions and data contained in all publications are solely those of the individual author(s) and contributor(s) and not of MDPI and/or the editor(s). MDPI and/or the editor(s) disclaim responsibility for any injury to people or property resulting from any ideas, methods, instructions or products referred to in the content. |
© 2025 by the authors. Licensee MDPI, Basel, Switzerland. This article is an open access article distributed under the terms and conditions of the Creative Commons Attribution (CC BY) license (https://creativecommons.org/licenses/by/4.0/).
Share and Cite
Wu, L.; Zhang, L.; Wang, N.; Huang, W.; Wang, Y.; Sun, M.; Zheng, G.; Wang, W.; Shi, C. Bioprospecting of a Native Plant Growth-Promoting Bacterium Bacillus cereus B6 for Enhancing Uranium Accumulation by Sudan Grass (Sorghum sudanense (Piper) Stapf). Biology 2025, 14, 58. https://doi.org/10.3390/biology14010058
Wu L, Zhang L, Wang N, Huang W, Wang Y, Sun M, Zheng G, Wang W, Shi C. Bioprospecting of a Native Plant Growth-Promoting Bacterium Bacillus cereus B6 for Enhancing Uranium Accumulation by Sudan Grass (Sorghum sudanense (Piper) Stapf). Biology. 2025; 14(1):58. https://doi.org/10.3390/biology14010058
Chicago/Turabian StyleWu, Longyuan, Lijuan Zhang, Ning Wang, Wei Huang, Yanzhi Wang, Meng Sun, Guofeng Zheng, Wei Wang, and Chong Shi. 2025. "Bioprospecting of a Native Plant Growth-Promoting Bacterium Bacillus cereus B6 for Enhancing Uranium Accumulation by Sudan Grass (Sorghum sudanense (Piper) Stapf)" Biology 14, no. 1: 58. https://doi.org/10.3390/biology14010058
APA StyleWu, L., Zhang, L., Wang, N., Huang, W., Wang, Y., Sun, M., Zheng, G., Wang, W., & Shi, C. (2025). Bioprospecting of a Native Plant Growth-Promoting Bacterium Bacillus cereus B6 for Enhancing Uranium Accumulation by Sudan Grass (Sorghum sudanense (Piper) Stapf). Biology, 14(1), 58. https://doi.org/10.3390/biology14010058

