Olfactory Function as a Potential Predictor of Cognitive Impairment in Men and Women
Abstract
Simple Summary
Abstract
1. Introduction
2. Materials and Methods
2.1. Participants
2.2. Procedures for Olfactory Function Evaluation
2.3. Procedures for Gustatory Function Evaluation
2.4. Procedures for Cognitive Abilities Evaluation
2.5. Statistical Analyses
3. Results
Descriptive Statistics of the Subjects
4. Discussion
5. Conclusions
Author Contributions
Funding
Institutional Review Board Statement
Informed Consent Statement
Data Availability Statement
Conflicts of Interest
References
- Dintica, C.S.; Marseglia, A.; Rizzuto, D.; Wang, R.; Seubert, J.; Arfanakis, K.; Bennett, D.A.; Xu, W. Impaired Olfaction Is Associated with Cognitive Decline and Neurodegeneration in the Brain. Neurology 2019, 92, e700–e709. [Google Scholar] [CrossRef]
- Wyss-Coray, T. Ageing, Neurodegeneration and Brain Rejuvenation. Nature 2016, 539, 180–186. [Google Scholar] [CrossRef]
- Dong, Y.; Li, Y.; Liu, K.; Han, X.; Liu, R.; Ren, Y.; Cong, L.; Zhang, Q.; Hou, T.; Song, L.; et al. Anosmia, Mild Cognitive Impairment, and Biomarkers of Brain Aging in Older Adults. Alzheimer’s Dement. 2023, 19, 589–601. [Google Scholar] [CrossRef]
- Fatuzzo, I.; Niccolini, G.F.; Zoccali, F.; Cavalcanti, L.; Bellizzi, M.G.; Riccardi, G.; de Vincentiis, M.; Fiore, M.; Petrella, C.; Minni, A.; et al. Neurons, Nose, and Neurodegenerative Diseases: Olfactory Function and Cognitive Impairment. Int. J. Mol. Sci. 2023, 24, 2117. [Google Scholar] [CrossRef] [PubMed]
- Puri, S.; Shaheen, M.; Grover, B. Nutrition and Cognitive Health: A Life Course Approach. Front. Public Health 2023, 11, 1023907. [Google Scholar] [CrossRef]
- Prince, M.; Bryce, R.; Albanese, E.; Wimo, A.; Ribeiro, W.; Ferri, C.P. The Global Prevalence of Dementia: A Systematic Review and Metaanalysis. Alzheimer’s Dement. 2013, 9, 63–75. [Google Scholar] [CrossRef] [PubMed]
- Devanand, D.P.; Lee, S.; Manly, J.; Andrews, H.; Schupf, N.; Doty, R.L.; Stern, Y.; Zahodne, L.B.; Louis, E.D.; Mayeux, R. Olfactory Deficits Predict Cognitive Decline and Alzheimer Dementia in an Urban Community. Neurology 2015, 84, 182–189. [Google Scholar] [CrossRef]
- Jung, H.J.; Shin, I.S.; Lee, J.E. Olfactory Function in Mild Cognitive Impairment and Alzheimer’s Disease: A Meta-Analysis. Laryngoscope 2019, 129, 362–369. [Google Scholar] [CrossRef] [PubMed]
- Marigliano, V.; Gualdi, G.; Servello, A.; Marigliano, B.; Volpe, L.D.; Fioretti, A.; Pagliarella, M.; Valenti, M.; Masedu, F.; Di Biasi, C.; et al. Olfactory Deficit and Hippocampal Volume Loss for Early Diagnosis of Alzheimer Disease: A Pilot Study. Alzheimer Dis. Assoc. Disord. 2014, 28, 194–197. [Google Scholar] [CrossRef]
- Ercoli, T.; Masala, C.; Cadeddu, G.; Mascia, M.M.; Orofino, G.; Gigante, A.F.; Solla, P.; Defazio, G.; Rocchi, L. Does Olfactory Dysfunction Correlate with Disease Progression in Parkinson’s Disease? A Systematic Review of the Current Literature. Brain Sci. 2022, 12, 513. [Google Scholar] [CrossRef]
- Solla, P.; Masala, C.; Ercoli, T.; Frau, C.; Bagella, C.; Pinna, I.; Loy, F.; Defazio, G. Olfactory Impairment Correlates with Executive Functions Disorders and Other Specific Cognitive Dysfunctions in Parkinson’s Disease. Biology 2023, 12, 112. [Google Scholar] [CrossRef]
- Mydlikowska-Śmigórska, A.; Śmigórski, K.; Rymaszewska, J. Characteristics of Olfactory Function in a Healthy Geriatric Population. Differences between Physiological Aging and Pathology. Psychiatr. Pol. 2019, 53, 433–446. [Google Scholar] [CrossRef]
- Eibenstein, A.; Fioretti, A.B.; Simaskou, M.N.; Sucapane, P.; Mearelli, S.; Mina, C.; Amabile, G.; Fusetti, M. Olfactory Screening Test in Mild Cognitive Impairment. Neurol. Sci. 2005, 26, 156–160. [Google Scholar] [CrossRef]
- Ottaviano, G.; Frasson, G.; Nardello, E.; Martini, A. Olfaction Deterioration in Cognitive Disorders in the Elderly. Aging Clin. Exp. Res. 2016, 28, 37–45. [Google Scholar] [CrossRef]
- Doty, R.L.; Cameron, E.L. Sex Differences and Reproductive Hormone Influences on Human Odor Perception. Physiol. Behav. 2009, 97, 213–228. [Google Scholar] [CrossRef]
- Sorokowski, P.; Karwowski, M.; Misiak, M.; Marczak, M.K.; Dziekan, M.; Hummel, T.; Sorokowska, A. Sex Differences in Human Olfaction: A Meta-Analysis. Front. Psychol. 2019, 10, 242. [Google Scholar] [CrossRef]
- Roalf, D.R.; Moberg, M.J.; Turetsky, B.I.; Brennan, L.; Kabadi, S.; Wolk, D.A.; Moberg, P.J. A Quantitative Meta-Analysis of Olfactory Dysfunction in Mild Cognitive Impairment. J. Neurol. Neurosurg. Psychiatry 2017, 88, 226–232. [Google Scholar] [CrossRef]
- Dubois, B.; von Arnim, C.A.F.; Burnie, N.; Bozeat, S.; Cummings, J. Biomarkers in Alzheimer’s Disease: Role in Early and Differential Diagnosis and Recognition of Atypical Variants. Alzheimers Res. Ther. 2023, 15, 175. [Google Scholar] [CrossRef]
- Haehner, A.; Mayer, A.M.; Landis, B.N.; Pournaras, I.; Lill, K.; Gudziol, V.; Hummel, T. High test-retest reliability of the extended version of the “Sniffin’ Sticks” test. Chem. Senses 2009, 34, 705–711. [Google Scholar] [CrossRef]
- Hummel, T.; Kobal, G.; Gudziol, H.; Mackay-Sim, A. Normative Data for the “Sniffin’ Sticks” Including Tests of Odor Identification, Odor Discrimination, and Olfactory Thresholds: An Upgrade Based on a Group of More than 3000 Subjects. Eur. Arch. Otorhinolaryngol. 2007, 264, 237–243. [Google Scholar] [CrossRef]
- Oleszkiewicz, A.; Schriever, V.A.; Croy, I.; Hähner, A.; Hummel, T. Updated Sniffin’ Sticks Normative Data Based on an Extended Sample of 9139 Subjects. Eur. Arch. Otorhinolaryngol. 2019, 276, 719–728. [Google Scholar] [CrossRef]
- Landis, B.N.; Welge-Luessen, A.; Brämerson, A.; Bende, M.; Mueller, C.A.; Nordin, S.; Hummel, T. “Taste Strips”—A Rapid, Lateralized, Gustatory Bedside Identification Test Based on Impregnated Filter Papers. J. Neurol. 2009, 256, 242–248. [Google Scholar] [CrossRef] [PubMed]
- Fjaeldstad, A.; Niklassen, A.S.; Fernandes, H.M. Re-Test Reliability of Gustatory Testing and Introduction of the Sensitive Taste-Drop-Test. Chem. Senses 2018, 43, 341–346. [Google Scholar] [CrossRef] [PubMed]
- Nasreddine, Z.S.; Phillips, N.A.; Bédirian, V.; Charbonneau, S.; Whitehead, V.; Collin, I.; Cummings, J.L.; Chertkow, H. The Montreal Cognitive Assessment, MoCA: A Brief Screening Tool for Mild Cognitive Impairment. J. Am. Geriatr. Soc. 2005, 53, 695–699. [Google Scholar] [CrossRef]
- Conti, S.; Bonazzi, S.; Laiacona, M.; Masina, M.; Coralli, M.V. Montreal Cognitive Assessment (MoCA)-Italian Version: Regression Based Norms and Equivalent Scores. Neurol. Sci. 2015, 36, 209–214. [Google Scholar] [CrossRef] [PubMed]
- Julayanont, P.; Brousseau, M.; Chertkow, H.; Phillips, N.; Nasreddine, Z.S. Montreal Cognitive Assessment Memory Index Score (MoCA-MIS) as a Predictor of Conversion from Mild Cognitive Impairment to Alzheimer’s Disease. J. Am. Geriatr. Soc. 2014, 62, 679–684. [Google Scholar] [CrossRef]
- Boyce, J.M.; Shone, G.R. Effects of Ageing on Smell and Taste. Postgrad. Med. J. 2006, 82, 239–241. [Google Scholar] [CrossRef] [PubMed]
- Sanna, F.; Loy, F.; Piras, R.; Moat, A.; Masala, C. Age-Related Cognitive Decline and the Olfactory Identification Deficit Are Associated to Increased Level of Depression. Front. Neurosci. 2021, 15, 599593. [Google Scholar] [CrossRef]
- Cha, H.; Kim, S.; Son, Y. Associations Between Cognitive Function, Depression, and Olfactory Function in Elderly People With Dementia in Korea. Front. Aging Neurosci. 2022, 13, 799897. [Google Scholar] [CrossRef]
- Tonacci, A.; Billeci, L. Olfactory Testing in Frontotemporal Dementia: A Literature Review. Am. J. Alzheimers Dis. Other Demen. 2018, 33, 342–352. [Google Scholar] [CrossRef]
- Devanand, D.P. Olfactory Identification Deficits, Cognitive Decline, and Dementia in Older Adults. Am. J. Geriatr. Psychiatry 2016, 24, 1151–1157. [Google Scholar] [CrossRef] [PubMed]
- Park, H.; Kim, H.; Kim, S.; Cha, H. The Association between Olfactory Function and Cognitive Impairment in Older Persons with Cognitive Impairments: A Cross-Sectional Study. Healthcare 2021, 9, 399. [Google Scholar] [CrossRef] [PubMed]
- Knight, J.E.; Yoneda, T.; Lewis, N.A.; Muniz-Terrera, G.; Bennett, D.A.; Piccinin, A.M. Transitions between Mild Cognitive Impairment, Dementia, and Mortality: The Importance of Olfaction. J. Gerontol. A Biol. Sci. Med. Sci. 2023, 78, 1284–1291. [Google Scholar] [CrossRef] [PubMed]
- Kessels, R.P.C.; de Vent, N.R.; Bruijnen, C.J.W.H.; Jansen, M.G.; de Jonghe, J.F.M.; Dijkstra, B.A.G.; Oosterman, J.M. Regression-Based Normative Data for the Montreal Cognitive Assessment (MoCA) and Its Memory Index Score (MoCA-MIS) for Individuals Aged 18–91. J. Clin. Med. 2022, 11, 4059. [Google Scholar] [CrossRef] [PubMed]
- Loprinzi, P.D.; Frith, E. The Role of Sex in Memory Function: Considerations and Recommendations in the Context of Exercise. J. Clin. Med. 2018, 7, 132. [Google Scholar] [CrossRef] [PubMed]
- Lundervold, A.J.; Wollschläger, D.; Wehling, E. Age and Sex Related Changes in Episodic Memory Function in Middle Aged and Older Adults. Scand. J. Psychol. 2014, 55, 225–232. [Google Scholar] [CrossRef] [PubMed]
- Filipek, P.A.; Richelme, C.; Kennedy, D.N.; Caviness, V.S. The Young Adult Human Brain: An MRI-Based Morphometric Analysis. Cereb. Cortex 1994, 4, 344–360. [Google Scholar] [CrossRef] [PubMed]
- McDougall, G.J.; Pituch, K.A.; Stanton, M.P.; Chang, W. Memory Performance and Affect: Are There Gender Differences in Community-Residing Older Adults? Issues Ment. Health Nurs. 2014, 35, 620–627. [Google Scholar] [CrossRef] [PubMed]
- Masala, C.; Käehling, C.; Fall, F.; Hummel, T. Correlation between Olfactory Function, Trigeminal Sensitivity, and Nasal Anatomy in Healthy Subjects. Eur. Arch. Otorhinolaryngol. 2019, 276, 1649–1654. [Google Scholar] [CrossRef]
- Gottfried, J.A. Central Mechanisms of Odour Object Perception. Nat. Rev. Neurosci. 2010, 11, 628–641. [Google Scholar] [CrossRef]
- Fjaeldstad, A.W.; Stiller-Stut, F.; Gleesborg, C.; Kringelbach, M.L.; Hummel, T.; Fernandes, H.M. Validation of Olfactory Network Based on Brain Structural Connectivity and Its Association With Olfactory Test Scores. Front. Syst. Neurosci. 2021, 15, 638053. [Google Scholar] [CrossRef] [PubMed]
- Fagundo, A.B.; Jiménez-Murcia, S.; Giner-Bartolomé, C.; Islam, M.A.; De La Torre, R.; Pastor, A.; Casanueva, F.F.; Crujeiras, A.B.; Granero, R.; Baños, R.; et al. Modulation of Higher-Order Olfaction Components on Executive Functions in Humans. PLoS ONE 2015, 10, e0130319. [Google Scholar] [CrossRef] [PubMed]
- Doty, R.L.; Shaman, P.; Applebaum, S.L.; Giberson, R.; Siksorski, L.; Rosenberg, L. Smell Identification Ability: Changes with Age. Science 1984, 226, 1441–1443. [Google Scholar] [CrossRef] [PubMed]
- Larsson, M.; Finkel, D.; Pedersen, N.L. Odor Identification: Influences of Age, Gender, Cognition, and Personality. J. Gerontol. B Psychol. Sci. Soc. Sci. 2000, 55, 304–310. [Google Scholar] [CrossRef] [PubMed]
- Masala, C.; Cavazzana, A.; Sanna, F.; Cecchini, M.P.; Zanini, A.; Gasperi, F.; Menghi, L.; Endrizzi, I.; Borgogno, M.; Drago, S.; et al. Correlation between Olfactory Function, Age, Sex, and Cognitive Reserve Index in the Italian Population. Eur. Arch. Otorhinolaryngol. 2022, 279, 4943–4952. [Google Scholar] [CrossRef] [PubMed]
- Lillqvist, M.; Claeson, A.S.; Zakrzewska, M.; Andersson, L. Comparable Responses to a Wide Range of Olfactory Stimulation in Women and Men. Sci. Rep. 2023, 13, 9059. [Google Scholar] [CrossRef] [PubMed]
- Zhong, S.; Wroblewski, K.E.; Laumann, E.O.; McClintock, M.K.; Pinto, J.M. Assessing How Age, Sex, Race, and Education Affect the Relationships Between Cognitive Domains and Odor Identification. Alzheimer Dis. Assoc. Disord. 2023, 37, 128–133. [Google Scholar] [CrossRef]
- Schriever, V.A.; Hummel, T.; Lundström, J.N.; Freiherr, J. Size of Nostril Opening as a Measure of Intranasal Volume. Physiol. Behav. 2013, 110, 3–5. [Google Scholar] [CrossRef] [PubMed]
- Verbeurgt, C.; Wilkin, F.; Tarabichi, M.; Gregoire, F.; Dumont, J.E.; Chatelain, P. Profiling of Olfactory Receptor Gene Expression in Whole Human Olfactory Mucosa. PLoS ONE 2014, 9, e96333. [Google Scholar] [CrossRef]
- Westervelt, H.J.; Ruffolo, J.S.; Tremont, G. Assessing Olfaction in the Neuropsychological Exam: The Relationship between Odor Identification and Cognition in Older Adults. Arch. Clin. Neuropsychol. 2005, 20, 761–769. [Google Scholar] [CrossRef]
- Frasnelli, J.; Lundström, J.N.; Boyle, J.A.; Djordjevic, J.; Zatorre, R.J.; Jones-Gotman, M. Neuroanatomical Correlates of Olfactory Performance. Exp. Brain Res. 2010, 201, 1–11. [Google Scholar] [CrossRef] [PubMed]
- Larsson, M. Semantic Factors in Episodic Recognition of Common Odors in Early and Late Adulthood: A Review. Chem. Senses 1997, 22, 623–633. [Google Scholar] [CrossRef] [PubMed]
- Masala, C.; Solla, P.; Loy, F. Gender-Related Differences in the Correlation between Odor Threshold, Discrimination, Identification, and Cognitive Reserve Index in Healthy Subjects. Biology 2023, 12, 586. [Google Scholar] [CrossRef]
- Challakere Ramaswamy, V.M.; Schofield, P.W. Olfaction and Executive Cognitive Performance: A Systematic Review. Front. Psychol. 2022, 13, 871391. [Google Scholar] [CrossRef]


| Women | Men | |||||
|---|---|---|---|---|---|---|
| Parameters | 18–35 | 36–> 55 | 18–35 | 36–> 55 | p | Post Hoc |
| Weight | 57.5 ± 9.8 | 60.9 ± 10.5 | 73 ± 12.9 | 75.4 ± 10.3 | 0.031 | a; b; c |
| Height | 1.6 ± 0.1 | 1.5 ± 0.1 | 1.7 ± 0.1 | 1.7 ± 0.1 | 0.001 | d; e; f |
| BMI | 22.1 ± 3.3 | 24.2 ± 4.2 | 24 ± 4.1 | 25.5 ± 3.3 | 0.0001 | g; h; i |
| Smokers (%) | 27.8% | 26.5% | 41.7% | 47.5% | >0.05 | |
| >12 years of formal education | 87.1% | 71.4% | 86.6% | 62.7% | >0.05 | |
| Women | Men | |||||
|---|---|---|---|---|---|---|
| Parameters | 18–35 | 36–> 55 | 18–35 | 36–> 55 | p | Post Hoc |
| OT | 7.6 ± 4.2 | 7.3 ± 4.4 | 8.6 ± 4.9 | 6.1 ± 4.2 | 0.007 | j |
| OD | 12.2 ± 1.8 | 11.3 ± 2.6 | 11.4 ± 2.3 | 11.4 ± 2.3 | 0.009 | k |
| OI | 13.1 ± 1.5 | 12.7 ± 2.3 | 13 ± 1.7 | 12.6 ± 2.2 | 0.172 | |
| TDI Score | 32.9 ± 5 | 31.3 ± 7.1 | 33 ± 6.7 | 30.1 ± 6.3 | 0.005 | l |
| OIS | 6 ± 0.01 | 5.9 ± 0.1 | 6 ± 0.01 | 6 ± 0.01 | 0.385 | |
| AIS | 8.4 ± 0.9 | 8.3 ± 1 | 8.5 ± 0.8 | 8.3 ± 1.1 | 0.251 | |
| LIS | 5.5 ± 0.7 | 5.6 ± 0.7 | 5.6 ± 0.7 | 5.5 ± 0.7 | 0.317 | |
| VIS | 6.8 ± 0.7 | 6.8 ± 0.6 | 6.7 ± 0.8 | 6.6 ± 0.7 | 0.623 | |
| MIS | 3.7 ± 1.3 | 2.9 ± 1.5 | 3.3 ± 1.4 | 2.6 ± 1.7 | 0.0001 | m; n |
| EIS | 12.3 ± 1.1 | 12.2 ± 1.1 | 12.4 ± 1.1 | 12 ± 1.2 | 0.161 | |
| Parameters | OT | OD | OI |
|---|---|---|---|
| OIS | 0.011 | −0.023 | −0.105 |
| AIS | 0.157 | 0.064 | 0.165 |
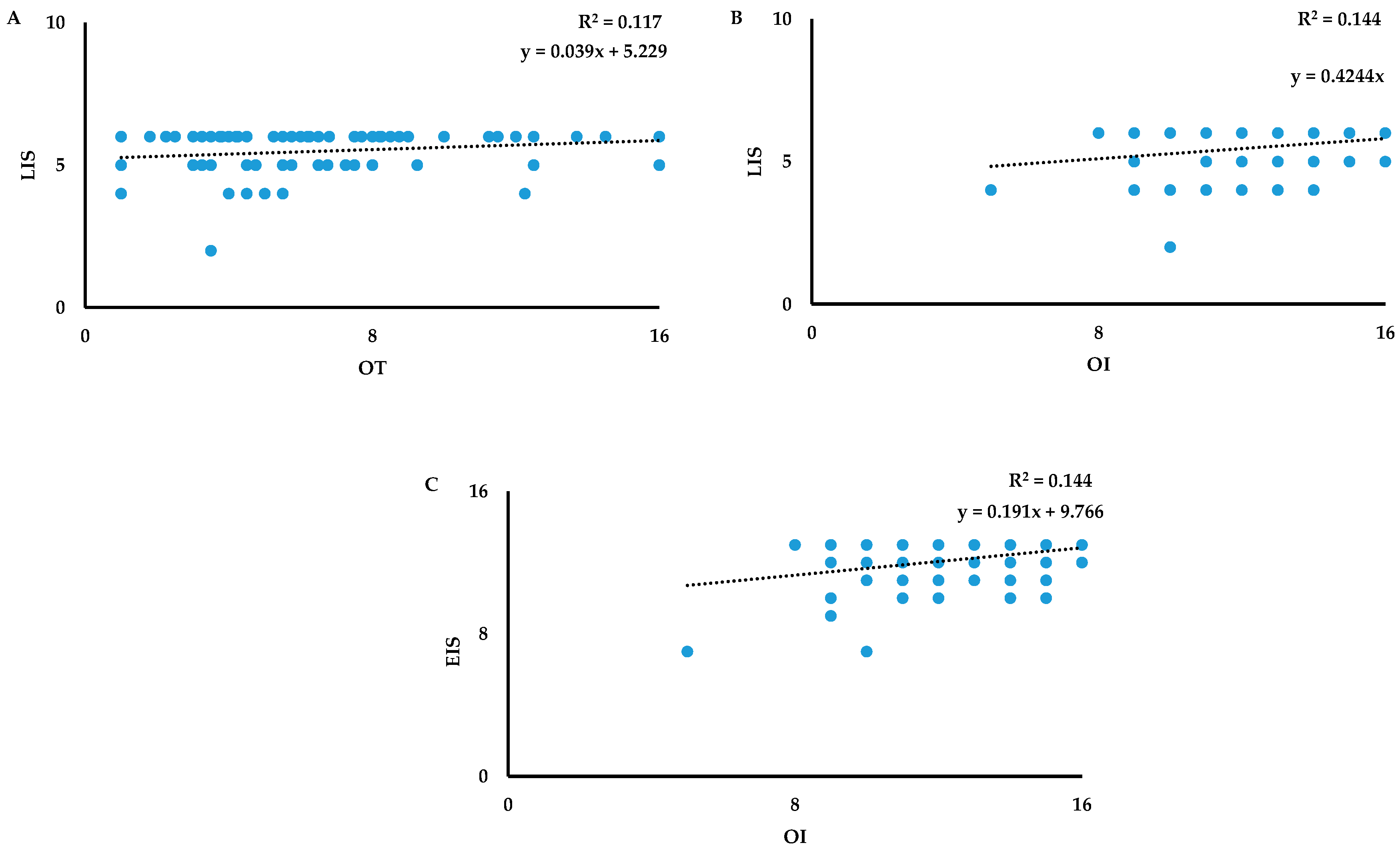
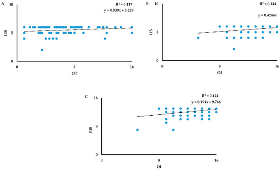
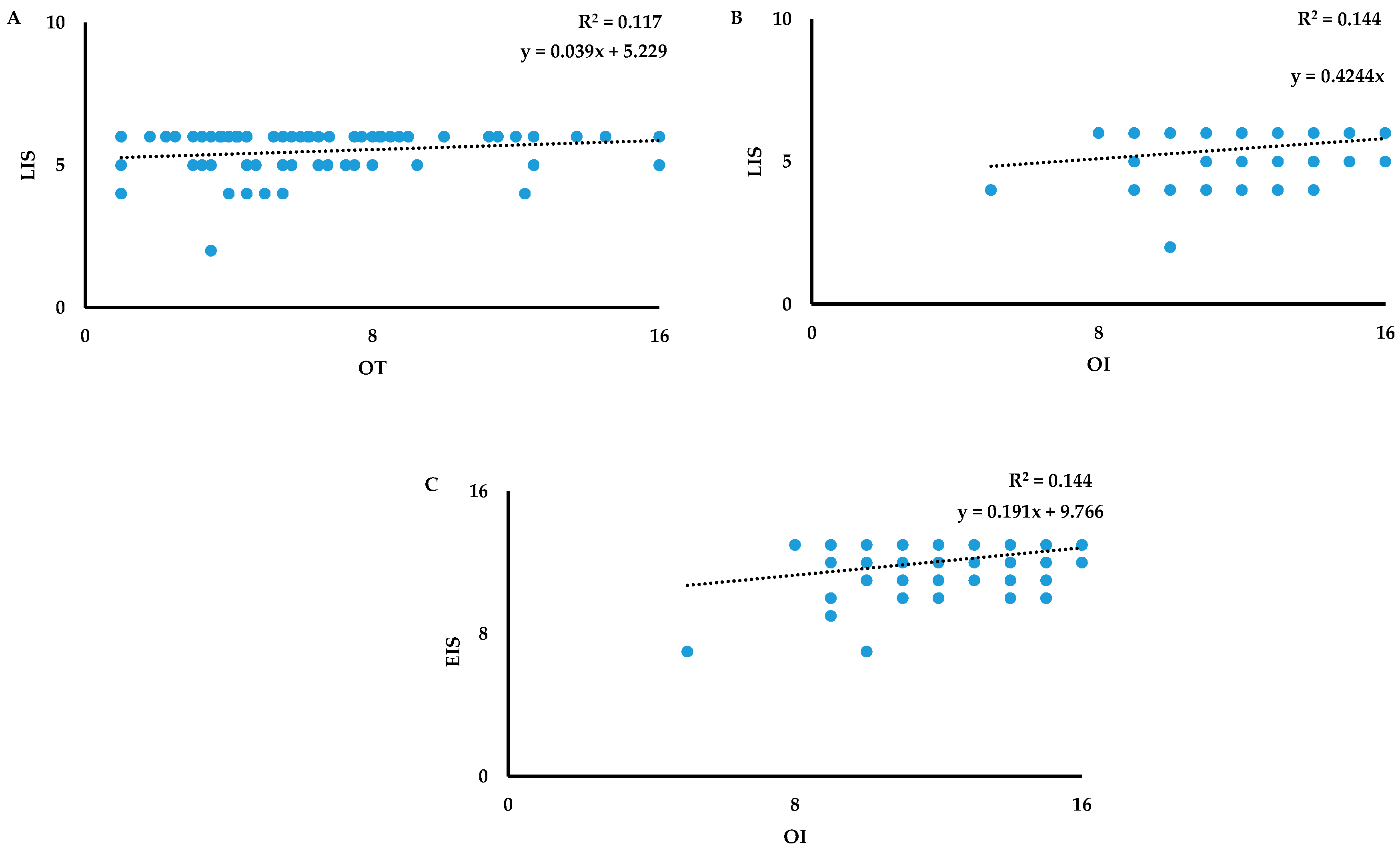
| LIS | 0.259 ** | 0.084 | 0.240 ** |
| VIS | 0.158 | 0.149 | 0.310 |
| MIS | 0.052 | 0.101 | 0.147 |
| EIS | 0.018 | 0.152 | 0.324 ** |
| Parameters | OT | OD | OI |
|---|---|---|---|
| OIS | −0.053 | 0.054 | −0.110 |
| AIS | 0.056 | 0.034 | 0.034 |
| LIS | 0.094 | 0.045 | 0.047 |
| VIS | 0.037 | 0.157 * | 0.154 * |
| MIS | −0.011 | 0.089 | 0.002 |
| EIS | 0.059 | 0.048 | 0.093 |
| Parameters | Unstandardized Coefficients | Standardized Coefficients | |||
|---|---|---|---|---|---|
| B | Std Error | β | t | p | |
| Model 1: OT as a dependent variable | |||||
| Age | −0.057 | 0.022 | −0.229 | −2.568 | 0.011 |
| LIS | 1.389 | 0.579 | 0.214 | 2.399 | 0.018 |
| Model 2: OD as a dependent variable | |||||
| Age | −0.096 | −0.967 | 0.337 | −0.091 | 0.872 |
| OIS | −0.505 | 2.355 | −0.020 | −0.214 | 0.831 |
| AIS | −0.192 | 0.396 | −0.079 | −0.485 | 0.629 |
| LIS | −0.144 | 0.465 | −0.046 | −0.310 | 0.757 |
| VIS | 0.168 | 0.380 | 0.056 | 0.441 | 0.660 |
| MIS | 0.115 | 0.143 | 0.080 | 0.805 | 0.422 |
| EIS | 0.377 | 0.363 | 0.191 | 1.039 | 0.301 |
| Model 3: OI as a dependent variable | |||||
| Age | −0.021 | 0.009 | −0.205 | −2.291 | 0.024 |
| LIS | 0.519 | 0.242 | 0.192 | 2.146 | 0.034 |
| EIS | 0.434 | 0.211 | 0.256 | 2.054 | 0.042 |
| Parameters | Unstandardized Coefficients | Standardized Coefficients | |||
|---|---|---|---|---|---|
| B | Std Error | β | t | p | |
| Model 1: OT as a dependent variable | |||||
| Age | −0.028 | 0.017 | −0.119 | −1.660 | 0.098 |
| OIS | −3.386 | 4.428 | −0.053 | −0.765 | 0.445 |
| AIS | −0.055 | 0.506 | −0.013 | −0.108 | 0.914 |
| LIS | 0.728 | 0.612 | 0.123 | 1.189 | 0.236 |
| VIS | −0.121 | 0.630 | −0.018 | −0.193 | 0.847 |
| MIS | −0.234 | 0.241 | −0.078 | −0.969 | 0.334 |
| EIS | 0.075 | 0.489 | 0.020 | 0.153 | 0.878 |
| Model 2: OD as a dependent variable | |||||
| Age | −0.032 | 0.008 | −2.260 | −4.030 | 0.0001 |
| VIS | 0.524 | 0.223 | 0.152 | 2.345 | 0.020 |
| Model 3: OI as a dependent variable | |||||
| Age | −0.019 | 0.007 | −0.188 | −2.847 | 0.005 |
| VIS | 0.437 | 0.192 | 0.150 | 2.277 | 0.024 |
Disclaimer/Publisher’s Note: The statements, opinions and data contained in all publications are solely those of the individual author(s) and contributor(s) and not of MDPI and/or the editor(s). MDPI and/or the editor(s) disclaim responsibility for any injury to people or property resulting from any ideas, methods, instructions or products referred to in the content. |
© 2024 by the authors. Licensee MDPI, Basel, Switzerland. This article is an open access article distributed under the terms and conditions of the Creative Commons Attribution (CC BY) license (https://creativecommons.org/licenses/by/4.0/).
Share and Cite
Masala, C.; Loy, F.; Pinna, I.; Manis, N.A.; Ercoli, T.; Solla, P. Olfactory Function as a Potential Predictor of Cognitive Impairment in Men and Women. Biology 2024, 13, 503. https://doi.org/10.3390/biology13070503
Masala C, Loy F, Pinna I, Manis NA, Ercoli T, Solla P. Olfactory Function as a Potential Predictor of Cognitive Impairment in Men and Women. Biology. 2024; 13(7):503. https://doi.org/10.3390/biology13070503
Chicago/Turabian StyleMasala, Carla, Francesco Loy, Ilenia Pinna, Nicoletta Aurora Manis, Tommaso Ercoli, and Paolo Solla. 2024. "Olfactory Function as a Potential Predictor of Cognitive Impairment in Men and Women" Biology 13, no. 7: 503. https://doi.org/10.3390/biology13070503
APA StyleMasala, C., Loy, F., Pinna, I., Manis, N. A., Ercoli, T., & Solla, P. (2024). Olfactory Function as a Potential Predictor of Cognitive Impairment in Men and Women. Biology, 13(7), 503. https://doi.org/10.3390/biology13070503

