Dynamic Impact of One-Year Integrated Rice–Crayfish Farming on Bacterioplankton Communities in Paddy Water
Simple Summary
Abstract
1. Introduction
2. Materials and Methods
2.1. Paddy Field Experiment and Sample Collection
2.2. Physicochemical Properties of Paddy Water
2.3. DNA Extraction, Sequencing, and Data Processing
2.4. Statistical Analysis
3. Results
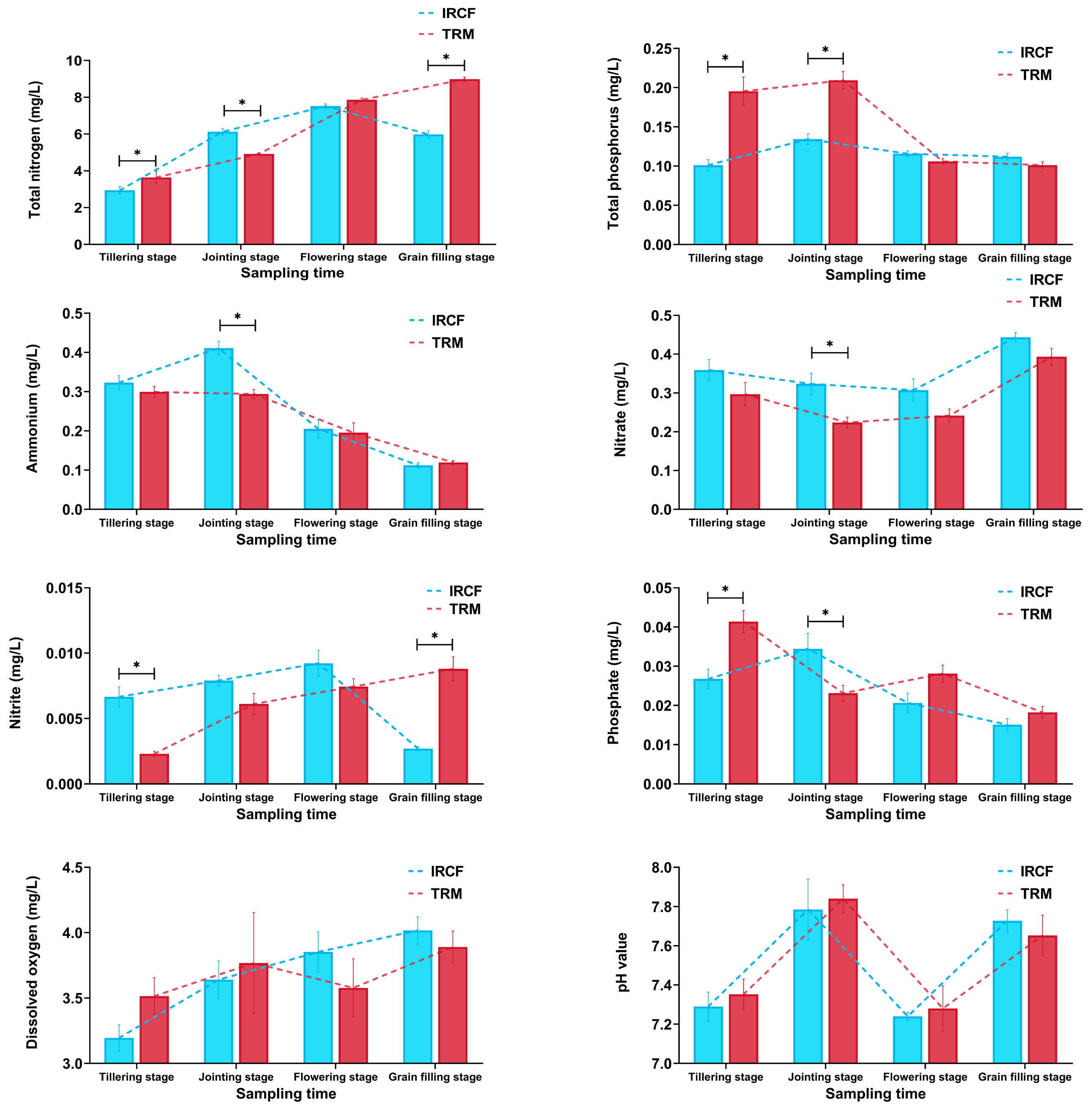
3.1. Dynamics of the Environmental Variables
3.2. Dynamics of the Diversity and Composition of Bacterioplankton Communities
3.3. Dynamics of Co-Occurrence Networks of Bacterioplankton Communities
3.4. Dynamics of the Assembly Processes Shaping the Bacterioplankton Community
3.5. Associations Between Environmental Variables and Bacterioplankton Communities
4. Discussion
4.1. Dynamics of Diversity and Composition of Bacterioplankton Communities in Paddy Water
4.2. Dynamics of Co-Occurrence Networks and Assembly Processes of Bacterioplankton Communities in Paddy Water
4.3. Dynamics of Environmental Factors and Their Associations with Bacterioplankton Communities in Paddy Water
5. Conclusions
Author Contributions
Funding
Institutional Review Board Statement
Informed Consent Statement
Data Availability Statement
Conflicts of Interest
References
- FAO; IFAD; UNICEF; WFP; WHO. The State of Food Security and Nutrition in the World 2024—Financing to End Hunger, Food Insecurity and Malnutrition in All Its Forms; FAO: Rome, Italy, 2024. [Google Scholar]
- Bashir, M.A.; Liu, J.; Geng, Y.; Wang, H.; Pan, J.; Zhang, D.; Rehim, A.; Aon, M.; Liu, H. Co-culture of rice and aquatic animals: An integrated system to achieve production and environmental sustainability. J. Clean. Prod. 2020, 249, 119310. [Google Scholar] [CrossRef]
- Woolston, C. Rice. Nature 2014, 514, S49. [Google Scholar] [CrossRef] [PubMed]
- Colombo, S.M.; Roy, K.; Mraz, J.; Wan, A.H.L.; Davies, S.J.; Tibbetts, S.M.; Overland, M.; Francis, D.S.; Rocker, M.M.; Gasco, L.; et al. Towards achieving circularity and sustainability in feeds for farmed blue foods. Rev. Aquac. 2023, 15, 1115–1141. [Google Scholar] [CrossRef]
- Tacon, A.G.J.; Metian, M. Food Matters: Fish, Income, and Food Supply—A Comparative Analysis. Rev. Fish. Sci. Aquac. 2018, 26, 15–28. [Google Scholar] [CrossRef]
- Hu, L.; Zhang, J.; Ren, W.; Guo, L.; Cheng, Y.; Li, J.; Li, K.; Zhu, Z.; Zhang, J.; Luo, S.; et al. Can the co-cultivation of rice and fish help sustain rice production? Sci. Rep. 2016, 6, 28728. [Google Scholar] [CrossRef]
- Frei, M.; Becker, K. Integrated rice-fish culture: Coupled production saves resources. Nat. Resour. Forum 2005, 29, 135–143. [Google Scholar] [CrossRef]
- Halwart, M. Biodiversity and nutrition in rice-based aquatic ecosystems. J. Food Compos. Anal. 2006, 19, 747–751. [Google Scholar] [CrossRef]
- Jin, T.; Ge, C.D.; Gao, H.; Zhang, H.C.; Sun, X.L. Evaluation and Screening of Co-Culture Farming Models in Rice Field Based on Food Productivity. Sustainability 2020, 12, 2173. [Google Scholar] [CrossRef]
- Lu, J.B.; Li, X. Review of rice-fish-farming systems in China—One of the Globally Important Ingenious Agricultural Heritage Systems (GIAHS). Aquaculture 2006, 260, 106–113. [Google Scholar] [CrossRef]
- Xie, J.; Hu, L.L.; Tang, J.J.; Wu, X.; Li, N.N.; Yuan, Y.G.; Yang, H.S.; Zhang, J.E.; Luo, S.M.; Chen, X. Ecological mechanisms underlying the sustainability of the agricultural heritage rice-fish coculture system. Proc. Natl. Acad. Sci. USA 2011, 108, E1381–E1387. [Google Scholar] [CrossRef]
- Guo, H.; Qi, M.; Hu, Z.; Liu, Q. Optimization of the rice-fish coculture in Qingtian, China: 1. Effects of rice spacing on the growth of the paddy fish and the chemical composition of both rice and fish. Aquaculture 2020, 522, 735106. [Google Scholar] [CrossRef]
- Barrios, E. Soil biota, ecosystem services and land productivity. Ecol. Econ. 2007, 64, 269–285. [Google Scholar] [CrossRef]
- Vázquez, C.; Verdenelli, R.A.; Merlo, C.; Pérez Brandan, C.; Kowaljow, E.; Meriles, J.M. Influence of land-use changes on microbial community structure and diversity in a semiarid region. Land Degrad. Dev. 2022, 33, 3690–3702. [Google Scholar] [CrossRef]
- Hartmann, M.; Six, J. Soil structure and microbiome functions in agroecosystems. Nat. Rev. Earth Environ. 2023, 4, 4–18. [Google Scholar] [CrossRef]
- Teng, J.L.; Hou, R.X.; Dungait, J.A.J.; Zhou, G.Y.; Kuzyakov, Y.; Zhang, J.B.; Tian, J.; Cui, Z.L.; Zhang, F.S.; Delgado-Baquerizo, M. Conservation agriculture improves soil health and sustains crop yields after long-term warming. Nat. Commun. 2024, 15, 8785. [Google Scholar] [CrossRef]
- Toor, M.D.; Ur Rehman, M.; Abid, J.; Nath, D.; Ullah, I.; Basit, A.; Ud Din, M.M.; Mohamed, H.I. Microbial Ecosystems as Guardians of Food Security and Water Resources in the Era of Climate Change. Water Air Soil Pollut. 2024, 235, 741. [Google Scholar] [CrossRef]
- Barreiros, L.; Manaia, C.M.; Nunes, O.C. Bacterial diversity and bioaugmentation in floodwater of a paddy field in the presence of the herbicide molinate. Biodegradation 2011, 22, 445–461. [Google Scholar] [CrossRef]
- Wei, L.; Ge, T.; Zhu, Z.; Ye, R.; Penuelas, J.; Li, Y.; Lynn, T.M.; Jones, D.L.; Wu, J.; Kuzyakov, Y. Paddy soils have a much higher microbial biomass content than upland soils: A review of the origin, mechanisms, and drivers. Agric. Ecosyst. Environ. 2022, 326, 107798. [Google Scholar] [CrossRef]
- Prijambada, I.D.; Sitompul, R.A.; Widada, J.; Widianto, D. Impact of Agricultural Intensification Practices on Bacterial Community in Agro-ecosystems of Southern Sumatra, Indonesia. Int. J. Agric. Biol. 2012, 14, 816–820. [Google Scholar]
- Singh, U.; Choudhary, A.K.; Sharma, S. Agricultural practices modulate the bacterial communities, and nitrogen cycling bacterial guild in rhizosphere: Field experiment with soybean. J. Sci. Food Agric. 2021, 101, 2687–2695. [Google Scholar] [CrossRef]
- Arunrat, N.; Sansupa, C.; Kongsurakan, P.; Sereenonchai, S.; Hatano, R. Soil Microbial Diversity and Community Composition in Rice–Fish Co-Culture and Rice Monoculture Farming System. Biology 2022, 11, 1242. [Google Scholar] [CrossRef] [PubMed]
- Hou, Y.; Jia, R.; Sun, W.; Li, B.; Zhu, J. Influences of the Integrated Rice-Crayfish Farming System with Different Stocking Densities on the Paddy Soil Microbiomes. Int. J. Mol. Sci. 2024, 25, 3786. [Google Scholar] [CrossRef] [PubMed]
- Yi, X.; Yi, K.; Fang, K.; Gao, H.; Dai, W.; Cao, L. Microbial Community Structures and Important Associations Between Soil Nutrients and the Responses of Specific Taxa to Rice-Frog Cultivation. Front. Microbiol. 2019, 10, 1752. [Google Scholar] [CrossRef]
- Hou, Y.; Yu, Z.; Jia, R.; Li, B.; Zhu, J. Integrated rice-yellow catfish farming resulting in variations in the agricultural environment, rice growth performance, and soil bacterial communities. Environ. Sci. Pollut. Res. 2024, 31, 28967–28981. [Google Scholar] [CrossRef]
- Sagua, M.I.; Nuozzi, G.; Sanchez, M.L.; Huber, P.; Perdomo, S.; Schiaffino, M.R. Unraveling the effect of land use on the bacterioplankton community composition from highly impacted shallow lakes at a regional scale. Fems Microbiol. Ecol. 2023, 99, fiad109. [Google Scholar] [CrossRef]
- Matcher, G.F.; Froneman, P.W.; Meiklejohn, I.; Dorrington, R.A. Distinct responses of bacterial communities to agricultural and urban impacts in temperate southern African estuaries. Estuar. Coast. Shelf Sci. 2018, 200, 224–233. [Google Scholar] [CrossRef]
- Luo, C.; Yi, C.; Ni, L.; Guo, L. Fish-mediated changes in bacterioplankton community composition: An in situ mesocosm experiment. J. Oceanol. Limnol. 2018, 36, 341–350. [Google Scholar] [CrossRef]
- Pizarro, H.; Vera, M.S.; Vinocur, A.; Perez, G.; Ferraro, M.; Menendez Helman, R.J.; dos Santos Afonso, M. Glyphosate input modifies microbial community structure in clear and turbid freshwater systems. Environ. Sci. Pollut. Res. 2016, 23, 5143–5153. [Google Scholar] [CrossRef]
- Yang, Y.; Fan, L.; Wang, X.; Chen, X.; Qiu, L.; Xu, H.; Li, D.; Song, C.; Meng, S.; Chen, J. In-situ pretreatment of aquaculture tail water by molasses addition and the responses of bacterioplankton communities. J. Water Process Eng. 2023, 56, 104526. [Google Scholar] [CrossRef]
- Zhu, Y.; Wang, S.; Huang, L.; Yan, M.; Dong, P.; Chen, C.; Guo, H.; Zhang, D. Effects of sucrose addition on water quality and bacterioplankton community in the Pacific White Shrimp (Litopenaeus vannamei) culture system. Aquac. Res. 2021, 52, 4184–4197. [Google Scholar] [CrossRef]
- National Fisheries Technology Extension Center; China Society of Fisheries. Industrial development report on integrated rice-fish farming in China (2024). China Fish. News 2024, 004, 1–8. [Google Scholar] [CrossRef]
- Tian, G. Three Stages of Rice Growth Management. Nong Min Zhi Fu Zhi You 2015, 3, 88. [Google Scholar]
- Li, M. Characteristics of Different Growth Stages of Rice and Irrigation Techniques. Q. For. By-Prod. Spec. China 2003, 1, 26. [Google Scholar]
- Tang, Y.; Miao, H.; Feng, Q.; Qiao, Y.; Miao, S. Optimizing phosphorus application rate to enhance rice resistance to elevated atmospheric temperature at the jointing stage. J. Plant Nutr. Fertil. 2023, 29, 1461–1470. [Google Scholar]
- Xie, B.; Chen, W.; Wang, W.; Zhang, S.; Yu, B. Morphological and Physiological Changes of Rice at Jointing Stage and Its high-yield Cultivation. Hubei Agric. Sci. 2011, 50, 3044–3045. [Google Scholar]
- Hao, L.; Dai, L.; Peng, L.; Chen, S.; Tao, L.; Li, G.; Zhang, H. Active organic carbon, microbial community structure and their relationship in rice rhizosphere soil of rice-crayfish co-culture systems. Acta Agric. Zhejiangensis 2023, 35, 2901–2913. [Google Scholar]
- Wang, X.; Wan, Z.; Yang, Z.; Wang, G. Effects of rice straw returning to fields by wet harrow in autumn on leaf-soil ecological stoichiometry of rice at different growth stages. Acta Agric. Zhejiangensis 2023, 35, 1243–1252. [Google Scholar]
- HJ 636-2012; Water Quality-Determination of Total Nitrogen-Alkaline Potassium Persulfate Digestion UV Spectrophotometric Method. Ministry of Ecology and Environment of the People’s Republic of China: Beijing, China, 2012.
- GB 11893-89; Water Quality-Determination of Total Phosphorus-Ammonium Molybdate Spectrophotometric Method. Ministry of Ecology and Environment of the People’s Republic of China: Beijing, China, 1990.
- HJ 535-2009; Water Quality-Determination of Ammonia Nitrogen-Nessler’s Reagent Spectrophotometry. Ministry of Ecology and Environment of the People’s Republic of China: Beijing, China, 2009.
- GB 7480-87; Water Quality-Determination of Nitrate-Spectrophotometric Method with Phenol Disulfonic Acid. Ministry of Ecology and Environment of the People’s Republic of China: Beijing, China, 1987.
- GB 7493-87; Water Quality-Determination of Nitrogen (Nitrite)-Spectrophotometric Method. Ministry of Ecology and Environment of the People’s Republic of China: Beijing, China, 1987.
- Chen, S.; Zhou, Y.; Chen, Y.; Gu, J. fastp: An ultra-fast all-in-one FASTQ preprocessor. Bioinformatics 2018, 34, i884–i890. [Google Scholar] [CrossRef]
- Magoč, T.; Salzberg, S.L. FLASH: Fast length adjustment of short reads to improve genome assemblies. Bioinformatics 2011, 27, 2957–2963. [Google Scholar] [CrossRef]
- Edgar, R.C. Search and clustering orders of magnitude faster than BLAST. Bioinformatics 2010, 26, 2460–2461. [Google Scholar] [CrossRef]
- Quast, C.; Pruesse, E.; Yilmaz, P.; Gerken, J.; Schweer, T.; Yarza, P.; Peplies, J.; Glöckner, F.O. The SILVA ribosomal RNA gene database project: Improved data processing and web-based tools. Nucleic Acids Res. 2013, 41, D590–D596. [Google Scholar] [CrossRef] [PubMed]
- De’Ath, G. Boosted trees for ecological modeling and prediction. Ecology 2007, 88, 243–251. [Google Scholar] [CrossRef] [PubMed]
- Zhao, Z.; Jiang, J.; Zheng, J.; Pan, Y.; Dong, Y.; Chen, Z.; Gao, S.; Xiao, Y.; Jiang, P.; Wang, X.; et al. Exploiting the gut microbiota to predict the origins and quality traits of cultured sea cucumbers. Environ. Microbiol. 2022, 24, 3882–3897. [Google Scholar] [CrossRef] [PubMed]
- Dallari, S.; Heaney, T.; Rosas-Villegas, A.; Neil, J.A.; Wong, S.Y.; Brown, J.J.; Urbanek, K.; Herrmann, C.; Depledge, D.P.; Dermody, T.S.; et al. Enteric viruses evoke broad host immune responses resembling those elicited by the bacterial microbiome. Cell Host Microbe 2021, 29, 1014–1029.e8. [Google Scholar] [CrossRef] [PubMed]
- Chen, C.; Wang, M.; Zhu, J.; Tang, Y.; Zhang, H.; Zhao, Q.; Jing, M.; Chen, Y.; Xu, X.; Jiang, J. Long-term effect of epigenetic modification in plant–microbe interactions: Modification of DNA methylation induced by plant growth-promoting bacteria mediates promotion process. Microbiome 2022, 10, 36. [Google Scholar] [CrossRef]
- Huang, X.; Du, S.; Zhang, H.; Chen, C.; Xiao, G.; Huang, L.; Zhang, D. Temporal patterns of bacterial communities in shrimp (Litopenaeus vannamei) culture systems loaded with oyster shells. Aquaculture 2020, 526, 735424. [Google Scholar] [CrossRef]
- Hou, Y.; Jia, R.; Sun, W.; Ding, H.; Li, B.; Zhu, J. Red Claw Crayfish Cherax quadricarinatus Cultivation Influences the Dynamics and Assembly of Benthic Bacterial Communities in Paddy Fields. Environments 2023, 10, 178. [Google Scholar] [CrossRef]
- Jiang, X.; Ma, H.; Zhao, Q.-l.; Yang, J.; Xin, C.-y.; Chen, B. Bacterial communities in paddy soil and ditch sediment under rice-crab co-culture system. AMB Express 2021, 11, 163. [Google Scholar] [CrossRef]
- Li, P.; Wu, G.; Li, Y.; Hu, C.; Ge, L.; Zheng, X.; Zhang, J.; Chen, J.; Zhang, H.; Bai, N. Long-term rice-crayfish-turtle co-culture maintains high crop yields by improving soil health and increasing soil microbial community stability. Geoderma 2022, 413, 115745. [Google Scholar] [CrossRef]
- Zhao, Z.; Chu, C.B.; Zhou, D.P.; Wang, Q.F.; Wu, S.H.; Zheng, X.Q.; Song, K.; Lv, W.G. Soil bacterial community composition in rice-fish integrated farming systems with different planting years. Sci. Rep. 2021, 11, 10855. [Google Scholar] [CrossRef]
- Petriglieri, F.; Kondrotaite, Z.; Singleton, C.; Nierychlo, M.; Dueholm, M.K.D.; Nielsen, P.H. A comprehensive overview of the Chloroflexota community in wastewater treatment plants worldwide. mSystems 2023, 8, e00667-23. [Google Scholar] [CrossRef] [PubMed]
- Yue, X.; Xiao, X.; Liang, J.; Lin, Y.; Xiao, K.; Che, K. Firmicutes and Bacteroidetes as the dominant microorganisms for ammonium nitrogen wastewater treatment with a low C/N ratio in BCOR. J. Water Process Eng. 2024, 65, 105851. [Google Scholar] [CrossRef]
- Alvarez, A.; Maria Saez, J.; Davila Costa, J.S.; Leticia Colin, V.; Soledad Fuentes, M.; Antonio Cuozzo, S.; Susana Benimeli, C.; Alejandra Polti, M.; Julia Amoroso, M. Actinobacteria: Current research and perspectives for bioremediation of pesticides and heavy metals. Chemosphere 2017, 166, 41–62. [Google Scholar] [CrossRef]
- Lv, X.; Zhao, K.; Xue, R.; Liu, Y.; Xu, J.; Ma, B. Strengthening insights in microbial ecological networks from theory to applications. mSystems 2019, 4, e00124-19. [Google Scholar] [CrossRef]
- Ma, B.; Wang, Y.; Ye, S.; Liu, S.; Stirling, E.; Gilbert, J.A.; Faust, K.; Knight, R.; Jansson, J.K.; Cardona, C. Earth microbial co-occurrence network reveals interconnection pattern across microbiomes. Microbiome 2020, 8, 82. [Google Scholar] [CrossRef]
- Guo, B.; Zhang, L.; Sun, H.; Gao, M.; Yu, N.; Zhang, Q.; Mou, A.; Liu, Y. Microbial co-occurrence network topological properties link with reactor parameters and reveal importance of low-abundance genera. NPJ Biofilms Microbiomes 2022, 8, 3. [Google Scholar] [CrossRef]
- Zhang, Y.; Hou, Y.; Jia, R.; Li, B.; Zhu, J.; Ge, X. Alterations in Soil Bacterial Community and Its Assembly Process within Paddy Field Induced by Integrated Rice–Giant River Prawn (Macrobrachium rosenbergii) Farming. Agronomy 2024, 14, 1600. [Google Scholar] [CrossRef]
- Liu, J.; Zhou, M.; Wang, S.; Liu, P. A comparative study of network robustness measures. Front. Comput. Sci. 2017, 11, 568–584. [Google Scholar] [CrossRef]
- Montesinos-Navarro, A.; Hiraldo, F.; Tella, J.L.; Blanco, G. Network structure embracing mutualism–antagonism continuums increases community robustness. Nat. Ecol. Evol. 2017, 1, 1661–1669. [Google Scholar] [CrossRef]
- Yang, Y.; Shi, Y.; Kerfahi, D.; Ogwu, M.C.; Wang, J.; Dong, K.; Takahashi, K.; Moroenyane, I.; Adams, J.M. Elevation-related climate trends dominate fungal co-occurrence network structure and the abundance of keystone taxa on Mt. Norikura, Japan. Sci. Total Environ. 2021, 799, 149368. [Google Scholar] [CrossRef]
- Zhao, Y.; Wang, Z.; Cai, K.; Wang, S.; Wright, A.L.; Jiang, X. Stability of nitrogen-cycling microbial communities and impact on microbial nitrogen function under different land use practices. Appl. Soil Ecol. 2024, 204, 105729. [Google Scholar] [CrossRef]
- Herren, C.M.; McMahon, K.D. Cohesion: A method for quantifying the connectivity of microbial communities. ISME J. 2017, 11, 2426–2438. [Google Scholar] [CrossRef]
- Wang, Y.; Zhu, K.; Chen, X.; Wei, K.; Wu, R.; Wang, G. Stochastic and deterministic assembly processes of bacterial communities in different soil aggregates. Appl. Soil Ecol. 2024, 193, 105153. [Google Scholar] [CrossRef]
- Sloan, W.T.; Lunn, M.; Woodcock, S.; Head, I.M.; Nee, S.; Curtis, T.P. Quantifying the roles of immigration and chance in shaping prokaryote community structure. Environ. Microbiol. 2006, 8, 732–740. [Google Scholar] [CrossRef]
- Chen, W.; Ren, K.; Isabwe, A.; Chen, H.; Liu, M.; Yang, J. Stochastic processes shape microeukaryotic community assembly in a subtropical river across wet and dry seasons. Microbiome 2019, 7, 138. [Google Scholar] [CrossRef]
- Hou, Y.; Jia, R.; Li, B.; Zhu, J. Apex predators enhance environmental adaptation but reduce community stability of bacterioplankton in crustacean aquaculture ponds. Int. J. Mol. Sci. 2022, 23, 10785. [Google Scholar] [CrossRef]
- Yang, W.; Zheng, C.; Zheng, Z.; Wei, Y.; Lu, K.; Zhu, J. Nutrient enrichment during shrimp cultivation alters bacterioplankton assemblies and destroys community stability. Ecotoxicol. Environ. Saf. 2018, 156, 366–374. [Google Scholar] [CrossRef]
- Diao, W.X.; Yuan, J.L.; Jia, R.; Hou, Y.R.; Zhang, L.Q.; Li, B.; Zhu, J. Integrated Rice-Fish Culture Alters the Bacterioplankton Community and Its Assembly Processes. Fishes 2024, 9, 254. [Google Scholar] [CrossRef]
- Hou, D.W.; Zhou, R.J.; Zeng, S.Z.; Wei, D.D.; Deng, X.S.; Xing, C.G.; Weng, S.P.; He, J.G.; Huang, Z.J. Stochastic processes shape the bacterial community assembly in shrimp cultural pond sediments. Appl. Microbiol. Biotechnol. 2021, 105, 5013–5022. [Google Scholar] [CrossRef]
- Oehme, M.; Frei, M.; Razzak, M.A.; Dewan, S.; Becker, K. Studies on nitrogen cycling under different nitrogen inputs in integrated rice-fish culture in Bangladesh. Nutr. Cycl. Agroecosystems 2007, 79, 181–191. [Google Scholar] [CrossRef]
- Angeler, D.G.; Sánchez-Carrillo, S.; García, G.; Alvarez-Cobelas, M. The influence of Procambarus clarkii (Cambaridae, Decapoda) on water quality and sediment characteristics in a Spanish floodplain wetland. Hydrobiologia 2001, 464, 89–98. [Google Scholar] [CrossRef]
- Hou, Y.; Jia, R.; Ji, P.; Li, B.; Zhu, J. Organic matter degradation and bacterial communities in surface sediment influenced by Procambarus clarkia. Front. Microbiol. 2022, 13, 985555. [Google Scholar] [CrossRef] [PubMed]
- Palmas, F.; Podda, C.; Frau, G.; Cau, A.; Moccia, D.; Peddio, S.; Solari, P.; Pusceddu, A.; Sabatini, A. Invasive crayfish (Procambarus clarkii, Girard, 1852) in a managed brackish wetland (Sardinia, Italy): Controlling factors and effects on sedimentary organic matter. Estuar. Coast. Shelf Sci. 2019, 231, 106459. [Google Scholar] [CrossRef]
- Zhang, Q.; Yang, Z.; Zhang, A.; Wang, M. Responses of rice (Oryza sativa L.) nitrogen status indicators to nitrogen rates during the different rice growth stages. In Proceedings of the 2nd International Conference on Energy and Environmental Protection (ICEEP 2013), Guilin, China, 19–21 April 2013; pp. 4411–4417. [Google Scholar]
- Li, L.; Zhang, X.-z.; Li, T.-x.; Yu, H.-y.; Ji, L.; Chen, G.-d. Characteristics of phosphorus uptake and use efficiency of rice with high yield and high phosphorus use efficiency. Yingyong Shengtai Xuebao 2014, 25, 1963–1970. [Google Scholar] [PubMed]
- Ouyang, L.; Chen, H.; Liu, X.; Wong, M.H.; Xu, F.; Yang, X.; Xu, W.; Zeng, Q.; Wang, W.; Li, S. Characteristics of spatial and seasonal bacterial community structures in a river under anthropogenic disturbances. Environ. Pollut. 2020, 264, 114818. [Google Scholar] [CrossRef]
- Zhao, Z.; Pan, Y.; Jiang, J.; Gao, S.; Sun, H.; Dong, Y.; Sun, P.; Guan, X.; Zhou, Z. Unrevealing variation of microbial communities and correlation with environmental variables in a full culture-cycle of Undaria pinnatifida. Mar. Environ. Res. 2018, 139, 46–56. [Google Scholar] [CrossRef]
- Lin, Q.; Li, L.; Adams, J.M.; Hedenec, P.; Tu, B.; Li, C.; Li, T.; Li, X. Nutrient resource availability mediates niche differentiation and temporal co-occurrence of soil bacterial communities. Appl. Soil Ecol. 2021, 163, 103965. [Google Scholar] [CrossRef]
- Kolukirik, M.; Ince, O.; Cetecioglu, Z.; Celikkol, S.; Ince, B.K. Spatial and temporal changes in microbial diversity of the Marmara Sea Sediments. Mar. Pollut. Bull. 2011, 62, 2384–2394. [Google Scholar] [CrossRef]
- Sun, F.; Wang, C.; Yang, H. Physicochemical Factors Drive Bacterial Communities in an Aquaculture Environment. Front. Environ. Sci. 2021, 9, 709541. [Google Scholar] [CrossRef]
- Vrede, K. Nutrient and temperature limitation of bacterioplankton growth in temperate lakes. Microb. Ecol. 2005, 49, 245–256. [Google Scholar] [CrossRef]
- Watanabe, K.; Ishii, Y.; Komatsu, N.; Kitamura, T.; Watanabe, M.; Yamamura, S.; Imai, A.; Hayashi, S. Growth rates and tolerance to low water temperatures of freshwater bacterioplankton strains: Ecological insights from shallow hypereutrophic lakes in Japan. Hydrobiologia 2017, 792, 67–81. [Google Scholar] [CrossRef]
- Sriaporn, C.; Komonjinda, S.; Klayposri, N.; Phinyo, K.; Pekkoh, J.; Awiphan, S.; Chanprom, T. Microbial and mineralogical characterization of the alkaline Chae Son hot spring, Northern Thailand. Extremophiles 2025, 29, 2. [Google Scholar] [CrossRef] [PubMed]
- Cao, J.; Tian, Z.; Chu, Z.; Niu, Y.; Zheng, B. Nitrogen and phosphorus control thresholds of cyanobacterial blooms in Lake Taihu. J. Lake Sci. 2022, 34, 1075–1089. [Google Scholar]







| Physicochemical Indicator | Measurement Methods |
|---|---|
| Total nitrogen (TN) | Alkaline potassium persulfate digestion—UV spectrophotometric method [39] |
| Total phosphorus (TP) | Ammonium molybdate spectrophotometric method [40] |
| ammonia | Nessler’s reagent spectrophotometry [41] |
| nitrate | Spectrophotometric method with phenol disulfonic acid [42] |
| nitrite | Spectrophotometric method with naphthalene ethylenediamine [43] |
| phosphate | Ammonium molybdate spectrophotometric method [40] |
Disclaimer/Publisher’s Note: The statements, opinions and data contained in all publications are solely those of the individual author(s) and contributor(s) and not of MDPI and/or the editor(s). MDPI and/or the editor(s) disclaim responsibility for any injury to people or property resulting from any ideas, methods, instructions or products referred to in the content. |
© 2024 by the authors. Licensee MDPI, Basel, Switzerland. This article is an open access article distributed under the terms and conditions of the Creative Commons Attribution (CC BY) license (https://creativecommons.org/licenses/by/4.0/).
Share and Cite
Hou, Y.; Xu, Q.; Yang, Y.; Jia, R.; Huang, X.; Zhou, L.; Li, B.; Zhu, J. Dynamic Impact of One-Year Integrated Rice–Crayfish Farming on Bacterioplankton Communities in Paddy Water. Biology 2024, 13, 1059. https://doi.org/10.3390/biology13121059
Hou Y, Xu Q, Yang Y, Jia R, Huang X, Zhou L, Li B, Zhu J. Dynamic Impact of One-Year Integrated Rice–Crayfish Farming on Bacterioplankton Communities in Paddy Water. Biology. 2024; 13(12):1059. https://doi.org/10.3390/biology13121059
Chicago/Turabian StyleHou, Yiran, Qiancheng Xu, Yanhong Yang, Rui Jia, Xiongjian Huang, Linjun Zhou, Bing Li, and Jian Zhu. 2024. "Dynamic Impact of One-Year Integrated Rice–Crayfish Farming on Bacterioplankton Communities in Paddy Water" Biology 13, no. 12: 1059. https://doi.org/10.3390/biology13121059
APA StyleHou, Y., Xu, Q., Yang, Y., Jia, R., Huang, X., Zhou, L., Li, B., & Zhu, J. (2024). Dynamic Impact of One-Year Integrated Rice–Crayfish Farming on Bacterioplankton Communities in Paddy Water. Biology, 13(12), 1059. https://doi.org/10.3390/biology13121059

