Thyroid Hormone Signaling Is Required for Dynamic Variation in Opsins in the Retina during Metamorphosis of the Japanese Flounder (Paralichthys olivaceus)
Abstract
Simple Summary
Abstract
1. Introduction
2. Materials and Methods
2.1. Animal Experiment
2.2. Sample Collection
2.3. Phylogenetic Analysis of Opsins in Vertebrates
2.4. Quantitative Real-Time PCR
2.5. Enzyme-Linked Immunosorbent Assay (ELISA)
2.6. Promoter Region Prediction
2.7. Double Luciferase Reporting Assay
2.8. Statistical Analysis
3. Results
3.1. Phylogenetic Analyses
3.2. Distribution of Five Opsin Genes in Adult Tissue
3.3. Expression of Five Opsin Genes during Metamorphosis
3.4. Effect of Exogenous TH on Expression Levels of Opsins during Metamorphosis
3.5. Expression Level of Opsins in the Rescue Larvae Inhibited by TU
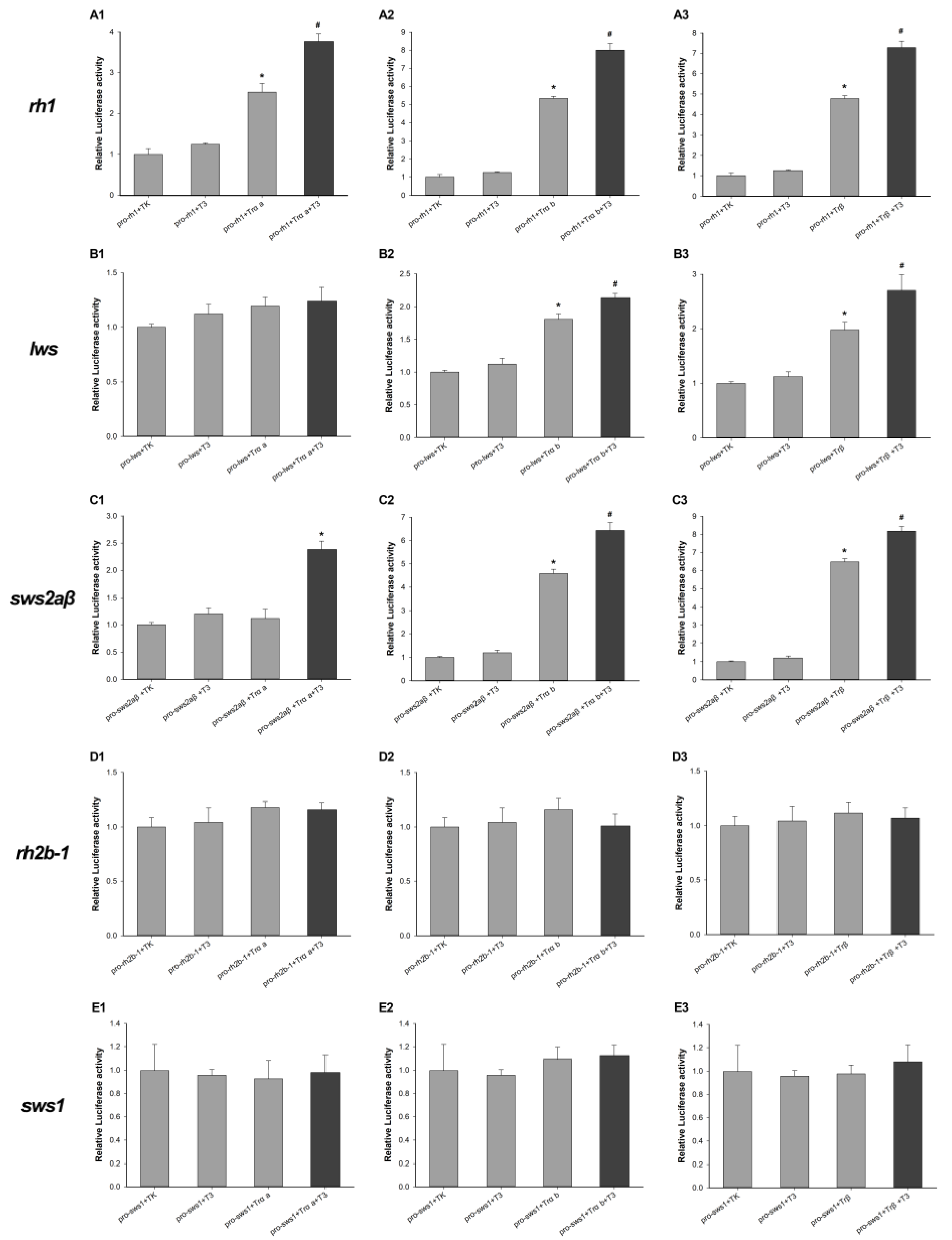
3.6. Targeted Regulation of Opsin Genes by T3 through TR
4. Discussion
5. Conclusions
Author Contributions
Funding
Institutional Review Board Statement
Informed Consent Statement
Data Availability Statement
Acknowledgments
Conflicts of Interest
References
- Hárosi, F. An analysis of two spectral properties of vertebrate visual pigments. Vis. Res. 1994, 34, 1359–1367. [Google Scholar] [CrossRef]
- Engström, K. Cone Types and Cone Arrangements in Teleost Retinae1. Acta Zool. 1963, 44, 179–243. [Google Scholar] [CrossRef]
- Lamb, T.D.; Collin, S.P.; Pugh, E.N., Jr. Evolution of the Vertebrate Eye, Retina, and Photoreceptors: Hypotheses and Tests. Investig. Ophthalmol. Vis. Sci. 2008, 8, 960–976. [Google Scholar]
- Gojobori, J.; Innan, H. Potential of fish opsin gene duplications to evolve new adaptive functions. Trends Genet. 2009, 25, 198–202. [Google Scholar] [CrossRef] [PubMed]
- Bowmaker, J.K.; Hunt, D.M. Evolution of vertebrate visual pigments. Curr. Biol. 2006, 16, R484–R489. [Google Scholar] [CrossRef] [PubMed]
- Khorana, H.G.; Reeves, P.; Kim, J.M. Structure and Mechanism in G Protein-coupled Receptors. Pharm. News 2002, 9, 287–294. [Google Scholar] [CrossRef]
- Rennison, D.J.; Owens, G.L.; Taylor, J.S. Opsin gene duplication and divergence in ray-finned fish. Mol. Phylogenetics Evol. 2012, 62, 986–1008. [Google Scholar] [CrossRef]
- Davies, W.I.L.; Tamai, T.K.; Zheng, L.; Fu, J.K.; Rihel, J.; Foster, R.G.; Whitmore, D.; Hankins, M.W. An extended family of novel vertebrate photopigments is widely expressed and displays a diversity of function. Genome Res. 2015, 25, 1666–1679. [Google Scholar] [CrossRef]
- Zhengrui, Z.; Yuezhong, L.; Wei, Z.; Xinxin, D.; Jinxiang, L. Benthic visual adaptation by fine-tuning light sensitivity in Japanese flounder (Paralichthys olivaceus). Front. Mar. Sci. 2022, 9, 1019660. [Google Scholar]
- Figueras, A.; Robledo, D.; Corvelo, A.; Hermida, M.; Pereiro, P.; Rubiolo, J.A.; Gómez-Garrido, J.; Carreté, L.; Bello, X.; Gut, M.; et al. Whole genome sequencing of turbot (Scophthalmus maximus; Pleuronectiformes): A fish adapted to demersal life. DNA Res. Int. J. Rapid Publ. Rep. Genes Genomes 2016, 23, 181–192. [Google Scholar] [CrossRef]
- Kasagi, S.; Mizusawa, K.; Murakami, N.; Andoh, T.; Furufuji, S.; Kawamura, S.; Takahashi, A. Molecular and functional characterization of opsins in barfin flounder (Verasper moseri). Gene 2015, 556, 182–191. [Google Scholar] [CrossRef] [PubMed]
- Chen, S.; Zhang, G.; Shao, C.; Huang, Q.; Liu, G. Whole-genome sequence of a flatfish provides insights into ZW sex chromosome evolution and adaptation to a benthic lifestyle. Nat. Genet. 2014, 46, 253–260. [Google Scholar] [CrossRef] [PubMed]
- Mader, M.M.; Cameron, D.A. Photoreceptor differentiation during retinal development, growth, and regeneration in a metamorphic vertebrate. J. Neurosci. Off. J. Soc. Neurosci. 2004, 24, 11463–11472. [Google Scholar] [CrossRef] [PubMed]
- Helvik, J.V.; Drivenes, O.; Naess, T.H.; Fjose, A.; Seo, H.C. Molecular cloning and characterization of five opsin genes from the marine flatfish Atlantic halibut (Hippoglossus hippoglossus). Vis. Neurosci. 2001, 18, 767–780. [Google Scholar] [CrossRef] [PubMed]
- Zhang, H.; Su, Y.; Shi, Z.; Fu, Y. cDNA clone and expression analysis of α-Tropomyosin during Japanese flounder (Paralichthys olivaceus) metamorphosis. Zool. Res. 2014, 35, 307–312. [Google Scholar]
- Fu, Y.; Zhang, J.; Wang, G.; Li, W.; Jia, L. A key gene of the small RNA pathway in the flounder, Paralichthys olivaceus: Identification and functional characterization of dicer. Fish Physiol. Biochem. 2015, 41, 1221–1231. [Google Scholar] [CrossRef]
- Iwanicki, T.W.; Novales, F.I.; Ausiό, J.; Morris, E.; Taylor, J.S. Fine-tuning light sensitivity in the starry flounder (Platichthys stellatus) retina: Regional variation in photoreceptor cell morphology and opsin gene expression. J. Comp. Neurol. 2017, 525, 2328–2342. [Google Scholar] [CrossRef]
- Schreiber, A.M.; Specker, J.L. Metamorphosis in the Summer Flounder (Paralichthys dentatus): Stage-Specific Developmental Response to Altered Thyroid Status. Gen. Comp. Endocrinol. 1998, 111, 156–166. [Google Scholar] [CrossRef]
- Harpavat, S.; Cepko, C.L. Thyroid hormone and retinal development: An emerging field. Thyroid 2003, 13, 1013–1019. [Google Scholar] [CrossRef]
- Cheng, C.L.; Gan, K.J.; Flamarique, I.N. Thyroid Hormone Induces a Time-Dependent Opsin Switch in the Retina of Salmonid Fishes. Investig. Ophthalmol. Vis. Sci. 2009, 50, 3024–3032. [Google Scholar] [CrossRef]
- Trimarchi, J.; Harpavat, S.; Billings, N.; Cepko, C. Thyroid hormone components are expressed in three sequential waves during development of the chick retina. BMC Dev. Biol. 2008, 8, 101. [Google Scholar] [CrossRef]
- Forrest, D.; Reh, T.A.; Rusch, A. Neurodevelopmental control by thyroid hormone receptors. Curr. Opin. Neurobiol. 2002, 12, 49–56. [Google Scholar] [CrossRef] [PubMed]
- Flamant, F.; Samarut, J. Thyroid hormone receptors: Lessons from knockout and knock-in mutant mice. Trends Endocrinol. Metab. 2003, 14, 85–90. [Google Scholar] [CrossRef] [PubMed]
- Peichl, L. Diversity of mammalian photoreceptor properties: Adaptations to habitat and lifestyle? Anat. Rec. Part A-Discov. Mol. Cell. Evol. Biol. 2005, 287, 1001–1012. [Google Scholar] [CrossRef] [PubMed]
- Navegantes, L.C.C.; Silveira, L.C.L.; Santos, G.L. Effect of congenital hypothyroidism on cell density in the ganglion cell layer of the rat retina. Braz. J. Med. Biol. Res. 1996, 29, 665–668. [Google Scholar]
- Sevilla-Romero, E.; Munoz, A.; Pinazo-Duran, M.D. Low thyroid hormone levels impair the perinatal development of the rat retina. Ophthalmic Res. 2002, 34, 181–191. [Google Scholar] [CrossRef]
- Ahnelt, P.K.; Kolb, H. The mammalian photoreceptor mosaic-adaptive design. Prog. Retin. Eye Res. 2000, 19, 711–777. [Google Scholar] [CrossRef] [PubMed]
- Gamborino, M.J.; Sevilla-Romero, E.; Munoz, A.; Hernandez-Yago, J.; Renau-Piqueras, J.; Pinazo-Duran, M.D. Role of thyroid hormone in craniofacial and eye development using a rat model. Ophthalmic Res. 2001, 33, 283–291. [Google Scholar] [CrossRef]
- Ng, L.; Ma, M.; Curran, T.; Forrest, D. Developmental expression of thyroid hormone receptor beta (2) protein in cone photoreceptors in the mouse. Neuroreport 2009, 20, 627–631. [Google Scholar] [CrossRef] [PubMed]
- Viets, K.; Eldred, K.C.; Johnston, R.J. Mechanisms of Photoreceptor Patterning in Vertebrates and Invertebrates. Trends Genet. 2016, 32, 638–659. [Google Scholar] [CrossRef] [PubMed]
- Glaschke, A.; Weiland, J.; Del Turco, D.; Steiner, M.; Peichl, L.; Glosmann, M. Thyroid Hormone Controls Cone Opsin Expression in the Retina of Adult Rodents. J. Neurosci. 2011, 31, 4844–4851. [Google Scholar] [CrossRef]
- Ng, L.; Hurley, J.B.; Dierks, B.; Srinivas, M.; Saltó, C.; Vennström, B.; Reh, T.A.; Forrest, D. A thyroid hormone receptor that is required for the development of green cone photoreceptors. Nat. Genet. 2001, 27, 94–98. [Google Scholar] [CrossRef] [PubMed]
- Inui, Y.; Miwa, S. Thyroid hormone induces metamorphosis of flounder larvae. Gen. Comp. Endocrinol. 1985, 60, 450–454. [Google Scholar] [CrossRef] [PubMed]
- Minami, T. The early life history of a flounder Paralichthys olivaceus [in Wakasa Bay, Japan Sea, Japan]. Nippon. Suisan Gakkaishi 1982, 48, 1581–1588. [Google Scholar] [CrossRef]
- Sudhir, K.; Glen, S.; Koichiro, T. MEGA7: Molecular Evolutionary Genetics Analysis Version 7.0 for Bigger Datasets. Mol. Biol. Evol. 2016, 33, 1870–1874. [Google Scholar]
- Jones, D.T.; Taylor, W.R.; Thornton, J.M. The rapid generation of mutation data matrices from protein sequences. Comput. Appl. Biosci. CABIOS 1992, 8, 275–282. [Google Scholar] [CrossRef]
- Saitou, N.; Nei, M. The neighbor-joining method: A new method for reconstructing phylogenetic trees. Mol. Biol. Evol. 1987, 4, 406–425. [Google Scholar]
- Joseph, F. Confidence limits on phylogenies: An approach using the bootstrap. Evol. Int. J. Org. Evol. 1985, 39, 783–791. [Google Scholar]
- Weadick, C.; Chang, B. Long-wavelength sensitive visual pigments of the guppy (Poecilia reticulata): Six opsins expressed in a single individual. BMC Evol. Biol. 2007, 7 (Suppl. S1), S11. [Google Scholar] [CrossRef]
- Mingshu, Y. Studies of Melanopsin in the Mudskipper Bolephthalmus pectinirostris. Master’s Thesis, Xiamen University, Xiamen, China, 2017. [Google Scholar]
- Liang, Q.; Afriyie, G.; Chen, Z.; Xu, Z.; Dong, Z.; Guo, Y.; Wang, Z. Analysis of opsin gene family of Crimson snapper (Lutjanus erythropterus). Gene 2022, 807, 145960. [Google Scholar] [CrossRef]
- Weijie, W.; Xinying, L.; Wenai, Z.; Zemin, L. Progress in the studies of opsins. Chem. Life 2009, 29, 440–443. [Google Scholar]
- Tezuka, A.; Kasagi, S.; Van Oosterhout, C.; McMullan, M.; Iwasaki, W.M.; Kasai, D.; Yamamichi, M.; Innan, H.; Kawamura, S.; Kawata, M. Divergent selection for opsin gene variation in guppy (Poecilia reticulata) populations of Trinidad and Tobago. Heredity 2014, 113, 381–389. [Google Scholar] [CrossRef]
- Yokoyama, S. Evolution of Dim-Light and Color Vision Pigments. Annu. Rev. Genom. Hum. Genet. 2008, 9, 259–282. [Google Scholar] [CrossRef]
- Carleton, K. Cichlid fish visual systems: Mechanisms of spectral tuning. Integr. Zool. 2009, 4, 75–86. [Google Scholar] [CrossRef]
- Zheng, W. Study on the Visual Characteristics of Red Grouper. J. Xiamen Univ. (Nat. Sci.) 1985, 493–500. [Google Scholar]
- Fuller, R.C.; Claricoates, K.M. Rapid light-induced shifts in opsin expression: Finding new opsins, discerning mechanisms of change, and implications for visual sensitivity. Mol. Ecol. 2011, 20, 3321–3335. [Google Scholar] [CrossRef] [PubMed]
- Kelley, M.W.; Turner, J.K.; Reh, T.A. Ligands of steroid/thyroid receptors induce cone photoreceptors in vertebrate retina. Development 1995, 121, 3777–3785. [Google Scholar] [CrossRef] [PubMed]
- Pinazoduran, M.D.; Iborra, F.J.; Pons, S.; Sevillaromero, E.G.R.; Munoz, A. Postnatal thyroid hormone supplementation rescues developmental abnormalities induced by congenital-neonatal hypothyroidism in the rat retina. Ophthalmic Res. 2005, 37, 225–234. [Google Scholar] [CrossRef]
- Suzuki, S.C.; Bleckert, A.; Williams, P.R.; Takechi, M.; Kawamura, S.; Wong, R.O.L. Cone photoreceptor types in zebrafish are generated by symmetric terminal divisions of dedicated precursors. Proc. Natl. Acad. Ences 2013, 110, 15109–15114. [Google Scholar] [CrossRef]
- Szél, A.; Lukáts, A.; Fekete, T.; Szepessy, Z.; Röhlich, P. Photoreceptor distribution in the retinas of subprimate mammals. J. Opt. Soc. America. A Opt. Image Sci. Vis. 2000, 17, 568–579. [Google Scholar] [CrossRef]
- Cohen, A.; Popowitz, J.; Delbridge-Perry, M.; Rowe, C.J.; Connaughton, V.P. The Role of Estrogen and Thyroid Hormones in Zebrafish Visual System Function. Front. Pharmacol. 2022, 13, 837687. [Google Scholar] [CrossRef]
- Volkov, L.I.; Kim-Han, J.S.; Saunders, L.M.; Poria, D.; Hughes, A.E.O.; Kefalov, V.J.; Parichy, D.M.; Corbo, J.C. Thyroid hormone receptors mediate two distinct mechanisms of long-wavelength vision. Proc. Natl. Acad. Sci. USA 2020, 117, 15262–15269. [Google Scholar] [CrossRef] [PubMed]
- Nelson, R.F.; Balraj, A.; Suresh, T.; Elias, L.J.; Yoshimatsu, T.; Patterson, S.S. The developmental progression of eight opsin spectral signals recorded from the zebrafish retinal cone layer is altered by the timing and cell type expression of thyroxin receptor β2 (trβ2) gain-of-function transgenes. eNeuro 2022, 9, 2022-06. [Google Scholar] [CrossRef] [PubMed]
- Deveau, C.; Jiao, X.; Suzuki, S.C.; Krishnakumar, A.; Yoshimatsu, T.; Hejtmancik, J.F.; Nelson, R.F. Thyroid hormone receptor beta mutations alter photoreceptor development and function in Danio rerio (zebrafish). PLoS Genet. 2020, 16, e1008869. [Google Scholar] [CrossRef]
- Szél, A.; Röhlich, P.; Mieziewska, K.; Aguirre, G.; Van Veen, T. Spatial and temporal differences between the expression of short- and middle-wave sensitive cone pigments in the mouse retina: A developmental study. J. Comp. Neurol. 1993, 331, 564–577. [Google Scholar] [CrossRef] [PubMed]
- Arbogast, P.; Flamant, F.; Godement, P.; Glösmann, M.; Peichl, L. Thyroid Hormone Signaling in the Mouse Retina. PLoS ONE 2017, 11, e0168003. [Google Scholar] [CrossRef]
- Mackin, R.D.; Frey, R.A.; Gutierrez, C.; Farre, A.A.; Kawamura, S.; Mitchell, D.M.; Stenkamp, D.L. Endocrine regulation of multichromatic color vision. Proc. Natl. Acad. Sci. USA 2019, 116, 16882–16891. [Google Scholar] [CrossRef]






| Primer Name 1 | Primer Sequence (5′–3′) | Application |
|---|---|---|
| rh1-F | AGGGCTCTGAGTTCGGAC | qRT-PCR |
| rh1-R | TCGGTCTTGGTGCTGGAT | qRT-PCR |
| lws-F | GCAGAAGGAATCAGAGTCAAC | qRT-PCR |
| lws-R | ATGTGCGGAACTGTCGGT | qRT-PCR |
| sws2aβ-F | TGTGGGCACTAGCATCAAC | qRT-PCR |
| sws2aβ-R | CAGCAGCCAACAAAGGAG | qRT-PCR |
| rh2b-1-F | GGAAGCCTTGTGCTGACA | qRT-PCR |
| rh2b-1-R | ACGAGGAAGCCAATGACC | qRT-PCR |
| sws1-F | CTCCTGTGGTCCTGATTG | qRT-PCR |
| sws1-R | ATGATGATGCTGAGTGGG | qRT-PCR |
| trαa-F | AAAACCTCCACCCATCTTACTCC | qRT-PCR |
| trαa-R | GTCCGCACCATCTCCTCCC | qRT-PCR |
| trαb-F | GCATTACTTGCGAGGGC | qRT-PCR |
| trαb-R | AATAGTGAAAACCCTCCAGA | qRT-PCR |
| trβ-F | GCCTTGAACCCCACCAGTATG | qRT-PCR |
| trβ-R | AGGGTTTCTTCAGGCGGACA | qRT-PCR |
| β-actin-F | GGAAATCGTGCGTGACATTAAG | qRT-PCR |
| β-actin-R | CCTCTGGACAACGGAACCTCT | qRT-PCR |
| Primer Name 1 | Primer Sequence (5′–3′) 2 | Application |
|---|---|---|
| pro-rh1-F | atctgcgatctaagtaagcttTTTGAACACTTTCACTCTTAGAAAAGTCT | Promoter amplification |
| pro-rh1-R | cagtaccggaatgccaagcttGGCTGCTGACGGTGATGGG | Promoter amplification |
| pro-lws-F | atctgcgatctaagtaagcttAATGAGTATATGTTTTGCAAGCACTTC | Promoter amplification |
| pro-lws-R | cagtaccggaatgccaagcttTTTGTTCTTAGCAGGAGGGCC | Promoter amplification |
| pro-sws2aβ-F | atctgcgatctaagtaagcttCCTTAAACAAATTACAAACCACGACG | Promoter amplification |
| pro-sws2aβ-R | cagtaccggaatgccaagcttTTTTTCCCCCACGGGCAA | Promoter amplification |
| pro-rh2b-1-F | atctgcgatctaagtaagcttAGAGAGTCCGGGAACAATAGCA | Promoter amplification |
| pro-rh2b-1-R | cagtaccggaatgccaagcttCTTCGATTGTCTGTTGTTTCTGCT | Promoter amplification |
| pro-sws1-F | atctgcgatctaagtaagcttGAGGAGTGGAAGAGTGAAGGAGTAG | Promoter amplification |
| pro-sws1-R | cagtaccggaatgccaagcttGAACCTGAGCTTTCTAACACTAGGACG | Promoter amplification |
Disclaimer/Publisher’s Note: The statements, opinions and data contained in all publications are solely those of the individual author(s) and contributor(s) and not of MDPI and/or the editor(s). MDPI and/or the editor(s) disclaim responsibility for any injury to people or property resulting from any ideas, methods, instructions or products referred to in the content. |
© 2023 by the authors. Licensee MDPI, Basel, Switzerland. This article is an open access article distributed under the terms and conditions of the Creative Commons Attribution (CC BY) license (https://creativecommons.org/licenses/by/4.0/).
Share and Cite
Shi, Y.; Shi, Y.; Ji, W.; Li, X.; Shi, Z.; Hou, J.; Li, W.; Fu, Y. Thyroid Hormone Signaling Is Required for Dynamic Variation in Opsins in the Retina during Metamorphosis of the Japanese Flounder (Paralichthys olivaceus). Biology 2023, 12, 397. https://doi.org/10.3390/biology12030397
Shi Y, Shi Y, Ji W, Li X, Shi Z, Hou J, Li W, Fu Y. Thyroid Hormone Signaling Is Required for Dynamic Variation in Opsins in the Retina during Metamorphosis of the Japanese Flounder (Paralichthys olivaceus). Biology. 2023; 12(3):397. https://doi.org/10.3390/biology12030397
Chicago/Turabian StyleShi, Yaxin, Yang Shi, Wenyao Ji, Xike Li, Zhiyi Shi, Jilun Hou, Wenjuan Li, and Yuanshuai Fu. 2023. "Thyroid Hormone Signaling Is Required for Dynamic Variation in Opsins in the Retina during Metamorphosis of the Japanese Flounder (Paralichthys olivaceus)" Biology 12, no. 3: 397. https://doi.org/10.3390/biology12030397
APA StyleShi, Y., Shi, Y., Ji, W., Li, X., Shi, Z., Hou, J., Li, W., & Fu, Y. (2023). Thyroid Hormone Signaling Is Required for Dynamic Variation in Opsins in the Retina during Metamorphosis of the Japanese Flounder (Paralichthys olivaceus). Biology, 12(3), 397. https://doi.org/10.3390/biology12030397

