Effect of Fly Maggot Protein as Dietary on Growth and Intestinal Microbial Community of Pacific White Shrimp Litopenaeus vannamei
Abstract
Simple Summary
Abstract
1. Introduction
2. Methods and Materials
2.1. Shrimp and Culture Conditions
2.2. Diet Preparation
2.3. Experimental Design and Sample Collection
2.4. Growth Performance Analysis
2.5. DNA Extraction, PCR Amplification, and Sequencing
2.6. Bioinformatics Analysis
2.7. Correlations between Intestine Bacteria and the Growth of Shrimp
2.8. Statistical Analysis
3. Results
3.1. The Growth and Survival of the Shrimp
3.2. Intestine Microbial Richness and Diversity
3.3. Intestinal Microbial Composition
3.4. Differential Analysis of Intestinal Microbiota
3.5. The Correlation Network and Metabolic Analyses of Intestinal Microbiota
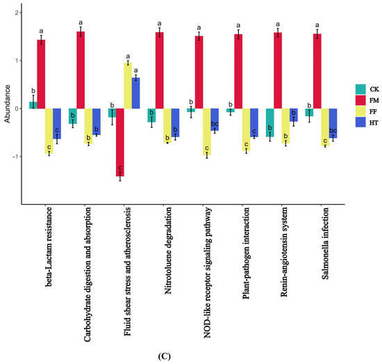
3.6. Treatment with Fly Maggot Protein Could Affect the Microbiome Function
3.7. Correlations between Intestine Bacteria and the Growth of Shrimp
4. Discussion
5. Conclusions
Supplementary Materials
Author Contributions
Funding
Institutional Review Board Statement
Informed Consent Statement
Data Availability Statement
Conflicts of Interest
References
- Jobling, M. National Research Council (NRC): Nutrient requirements of fish and shrimp. Aquac. Int. 2012, 20, 601–602. [Google Scholar] [CrossRef]
- Liu, C.H.; Chen, Z.H. Research progress on nutritional component and feeding valueof maggot protein. J. South. Agric. 2012, 43, 705–709. [Google Scholar]
- Henry, M.; Gasco, L.; Piccolo, G.; Fountoulaki, E. Review on the use of insects in the diet of farmed fish: Past and future. Anim. Feed Sci. Technol. 2015, 203, 1–22. [Google Scholar] [CrossRef]
- Andries, J.P.M.; Heyden, Y.V. Improved multi-class discrimination by Common-Subset-of-Independent-Variables Partial-Least-Squares Discriminant Analysis. Talanta 2021, 234, 122595. [Google Scholar] [CrossRef]
- Elahi, U.; Ma, Y.B.; Wu, S.G.; Wang, J.; Zhang, H.J.; Qi, G.H. Growth performance, carcass characteristics, meat quality and serum profile of broiler chicks fed on housefly maggot meal as a replacement of soybean meal. J. Anim. Physiol. Anim. Nutr. 2020, 104, 1075–1084. [Google Scholar] [CrossRef]
- Cheng, X.M.; Chen, Z.T.; Yan, Z.B.; Zhao, P.Y.; Wang, F.H.; Li, G.D. Effects of Housefly Protein on Growth Performance, Immunity and Muscular Composition in Pacific White Leg Shrimp Litopenaeus vannamei. Fish. Sci. 2018, 37, 324–329. [Google Scholar]
- Cao, J.M.; Yan, J.; Wang, G.X.; Huang, Y.H.; Zhang, R.B.; Zhou, T.T.; Liu, Q.F.; Sun, Z.W. Effects of replacement of fish meal with housefly maggot meal ondigestive enzymes, transaminases activities and hepatopancreashistological structure of Litopenaeus vannamei. South China Fish. Sci. 2012, 8, 72–79. [Google Scholar]
- Wang, W.; Feng, J.; Wang, Z.; Sun, G.; Bao, Z. Preliminary study on anti-baculovirus mechanism of feeding housefly larvae (Musca domestia) and population infection model of outbreaking epidemic disease of shrimp (Panaeus chinensis). Ying Yong Sheng Tai Xue Bao 2002, 13, 728–730. [Google Scholar]
- Liu, L.B.; Li, S.D.; Chen, J.H.; Zhang, S.C.; Wang, H. Effect of Fresh Housefly Larva on Growth and Immunity in Pacific White Leg Shrimp Litopenaeus vannamei. Fish. Sci. 2010, 29, 721–724. [Google Scholar]
- Cheng, X.M.; Huang, Q.C.; Wang, F.H.; Li, G.D. Effects of Dietary Housefly Protein on Growth Performance and Nutrional Quality of Soft Shelled Turtle Trionyx sinensis. Fish. Sci. 2018, 37, 51–58. [Google Scholar] [CrossRef]
- Kurniawan, D.R.; Arief, M.; Agustono; Lamid, M. Effect of maggot (Hermetia illucens) flour in commercial feed on protein retention, energy retention, protein content, and fat content in tilapia (Oreochromis niloticus). IOP Conf. Ser. Earth Environ. Sci. 2018, 137, 012072. [Google Scholar] [CrossRef]
- Herawati, V.E.; Pinandoyo; Darmanto, Y.S.; Hutabarat, J. Growth Performance and Nutrient Content of Carp (Cyprinus Carpio) With the Feeding of Maggot Meal Substitution Cultivated in Different Media. IOP Conf. Ser. Earth Environ. Sci. 2019, 246, 012003. [Google Scholar] [CrossRef]
- Fasakin, E.A.; Balogun, A.M.; Ajayi, O.O. Evaluation of full-fat and defatted maggot meals in the feeding of clariid catfish Clarias gariepinus fingerlings. Aquac. Res. 2003, 34, 733–738. [Google Scholar] [CrossRef]
- Feng, J.; Liu, X.; Xu, Z.R.; Lu, Y.P.; Liu, Y.Y. The effect of Aspergillus oryzae fermented soybean meal on growth performance, digestibility of dietary components and activities of intestinal enzymes in weaned piglets. Anim. Feed Sci. Technol. 2007, 134, 295–303. [Google Scholar] [CrossRef]
- Nemati, Z.; Karimi, A.; Besharati, M. Effects of Aflatoxin B1 and Yeast Cell Wall Supplementation on the Growth Performance of Broilers. In Proceedings of the 2015 International Conference on Innovations in Chemical and Agricultural Engineering (ICICAE’2015), Kuala Lumpur, Malaysia, 8–9 February 2015. [Google Scholar]
- Chambers, J.R.; Gong, J. The intestinal microbiota and its modulation for Salmonella control in chickens. Food Res. Int. 2011, 44, 3149–3159. [Google Scholar] [CrossRef]
- Yuan, C.Y.; Meng, Y.; Bi, J.C.; Cui, Q.M. Effects of fermented feed on digestive enzyme activities and intestinal microflora of Penaeus vannamei. Feed Ind. 2018, 39, 24–28. [Google Scholar] [CrossRef]
- Turnbaugh, P.J.; Bäckhed, F.; Fulton, L.; Gordon, J.I. Diet-induced obesity is linked to marked but reversible alterations in the mouse distal gut microbiome. Cell Host Microbe 2008, 3, 213–223. [Google Scholar] [CrossRef]
- Levy, M.; Blacher, E.; Elinav, E. Microbiome, metabolites and host immunity. Curr. Opin. Microbiol. 2017, 35, 8–15. [Google Scholar] [CrossRef]
- AOAC. Official Methods of Analysis of the Association of Official Analytical Chemists, 16th ed.; Association of Official Analytical Chemists: Arlington, VA, USA, 1995. [Google Scholar]
- Zheng, L.; Xie, S.; Zhuang, Z.; Liu, Y.; Tian, L.; Niu, J. Effects of yeast and yeast extract on growth performance, antioxidant ability and intestinal microbiota of juvenile Pacific white shrimp (Litopenaeus vannamei). Aquaculture 2021, 530, 735941. [Google Scholar] [CrossRef]
- Callahan, B.J.; McMurdie, P.J.; Rosen, M.J.; Han, A.W.; Johnson, A.J.; Holmes, S.P. DADA2: High-resolution sample inference from Illumina amplicon data. Nat. Methods 2016, 13, 581–583. [Google Scholar] [CrossRef]
- Bokulich, N.A.; Kaehler, B.D.; Rideout, J.R.; Dillon, M.; Bolyen, E.; Knight, R.; Huttley, G.A.; Gregory Caporaso, J. Optimizing taxonomic classification of marker-gene amplicon sequences with QIIME 2’s q2-feature-classifier plugin. Microbiome 2018, 6, 90. [Google Scholar] [CrossRef] [PubMed]
- Vázquez-Baeza, Y.; Pirrung, M.; Gonzalez, A.; Knight, R. EMPeror: A tool for visualizing high-throughput microbial community data. GigaScience 2013, 2, 16. [Google Scholar] [CrossRef] [PubMed]
- Segata, N.; Izard, J.; Waldron, L.; Gevers, D.; Miropolsky, L.; Garrett, W.S.; Huttenhower, C. Metagenomic biomarker discovery and explanation. Genome Biol. 2011, 12, R60. [Google Scholar] [CrossRef]
- Faust, K.; Raes, J. Microbial interactions: From networks to models. Nat. Rev. Microbiol. 2012, 10, 538–550. [Google Scholar] [CrossRef] [PubMed]
- Avena, L.; Castell, F.; Gaudilliere, A.; Mélot, C. Random Forests and Networks Analysis. J. Stat. Phys. 2017, 173, 985–1027. [Google Scholar] [CrossRef]
- Langille, M.G.; Zaneveld, J.; Caporaso, J.G.; McDonald, D.; Knights, D.; Reyes, J.A.; Clemente, J.C.; Burkepile, D.E.; Vega Thurber, R.L.; Knight, R.; et al. Predictive functional profiling of microbial communities using 16S rRNA marker gene sequences. Nat. Biotechnol. 2013, 31, 814–821. [Google Scholar] [CrossRef]
- Konopka, A. What is microbial community ecology? ISME J. 2009, 3, 1223–1230. [Google Scholar] [CrossRef]
- Williams, R.J.; Howe, A.; Hofmockel, K.S. Demonstrating microbial co-occurrence pattern analyses within and between ecosystems. Front. Microbiol. 2014, 5, 358. [Google Scholar] [CrossRef]
- Zhang, M.Z.; Pan, L.Q.; Fan, D.P.; He, J.J.; Su, C.; Gao, S.; Zhang, M.Y. Study of fermented feed by mixed strains and their effects on the survival, growth, digestive enzyme activity and intestinal flora of Penaeus vannamei. Aquaculture 2021, 530, 735703. [Google Scholar] [CrossRef]
- Duan, Y.F.; Wang, Y.; Liu, Q.S.; Dong, H.B.; Li, H.; Xiong, D.L.; Zhang, J.S. Changes in the intestine microbial, digestion and immunity of Litopenaeus vannamei in response to dietary resistant starch. Sci. Rep. 2019, 9, 6464. [Google Scholar] [CrossRef]
- Li, B.; Zeng, Q.; Song, Y.; Gao, Z.; Jiang, L.; Ma, H.; He, J. The effect of fly maggot in pig feeding diets on growth performance and gut microbial balance in Ningxiang pigs. J. Anim. Physiol. Anim. Nutr. 2020, 104, 1867–1874. [Google Scholar] [CrossRef] [PubMed]
- D’Alvise, P.W.; Lillebø, S.; Prol-Garcia, M.J.; Wergeland, H.I.; Nielsen, K.F.; Bergh, Ø.; Gram, L. Phaeobacter gallaeciensis reduces Vibrio anguillarum in cultures of microalgae and rotifers, and prevents vibriosis in cod larvae. PLoS ONE 2012, 7, e43996. [Google Scholar] [CrossRef] [PubMed]
- Grotkjær, T.; Bentzon-Tilia, M.; D’Alvise, P.; Dierckens, K.; Bossier, P.; Gram, L. Phaeobacter inhibens as probiotic bacteria in non-axenic Artemia and algae cultures. Aquaculture 2016, 462, 64–69. [Google Scholar] [CrossRef]
- Rasmussen, B.B.; Erner, K.E.; Bentzon-Tilia, M.; Gram, L. Effect of TDA-producing Phaeobacter inhibens on the fish pathogen Vibrio anguillarum in non-axenic algae and copepod systems. Microb. Biotechnol. 2018, 11, 1070–1079. [Google Scholar] [CrossRef] [PubMed]
- Sonnenschein, E.C.; Jimenez, G.; Castex, M.; Gram, L. The Roseobacter-Group Bacterium Phaeobacter as a Safe Probiotic Solution for Aquaculture. Appl. Environ. Microbiol. 2021, 87, e0258120. [Google Scholar] [CrossRef]
- Kang, Y.-H.; Park, C.-S.; Han, M.-S. Pseudomonas aeruginosa UCBPP-PA14 a useful bacterium capable of lysing Microcystis aeruginosa cells and degrading microcystins. J. Appl. Phycol. 2012, 24, 1517–1525. [Google Scholar] [CrossRef]
- Jiao, L.F.; Dai, T.M.; Zhong, S.Q.; Jin, M.; Sun, P.; Zhou, Q.C. Vibrio parahaemolyticus infection impaired intestinal barrier function and nutrient absorption in Litopenaeus vannamei. Fish Shellfish Immunol. 2020, 99, 184–189. [Google Scholar] [CrossRef]
- Georgopapadakou, N.H.; Liu, F.Y. Penicillin-binding proteins in bacteria. Antimicrob. Agents Chemother. 1980, 18, 148–157. [Google Scholar] [CrossRef]
- Yocum, R.R.; Waxman, D.J.; Rasmussen, J.R.; Strominger, J.L. Mechanism of penicillin action: Penicillin and substrate bind covalently to the same active site serine in two bacterial D-alanine carboxypeptidases. Proc. Natl. Acad. Sci. USA 1979, 76, 2730–2734. [Google Scholar] [CrossRef]
- Pruden, A.; Pei, R.; Storteboom, H.; Carlson, K.H. Antibiotic resistance genes as emerging contaminants: Studies in northern Colorado. Environ. Sci. Technol. 2006, 40, 7445–7450. [Google Scholar] [CrossRef]
- Alakomi, H.L.; Skyttä, E.; Saarela, M.; Mattila-Sandholm, T.; Latva-Kala, K.; Helander, I.M. Lactic acid permeabilizes gram-negative bacteria by disrupting the outer membrane. Appl. Environ. Microbiol. 2000, 66, 2001–2005. [Google Scholar] [CrossRef] [PubMed]
- Karim, M.R.U.; Harunari, E.; Oku, N.; Akasaka, K.; Igarashi, Y. Bulbimidazoles A-C, Antimicrobial and Cytotoxic Alkanoyl Imidazoles from a Marine Gammaproteobacterium Microbulbifer Species. J. Nat. Prod. 2020, 83, 1295–1299. [Google Scholar] [CrossRef] [PubMed]
- Fiebig, A.; Riedel, T.; Gronow, S.; Petersen, J.; Klenk, H.P.; Göker, M. Genome sequence of the reddish-pigmented Rubellimicrobium thermophilum type strain (DSM 16684(T)), a member of the Roseobacter clade. Stand. Genom. Sci. 2013, 8, 480–490. [Google Scholar] [CrossRef][Green Version]
- Yang, J.; Yang, Y. Metal—Organic Frameworks for Biomedical Applications. Small 2020, 16, 1906846. [Google Scholar] [CrossRef]
- Seo, H.S.; Kwon, K.K.; Yang, S.H.; Lee, H.S.; Bae, S.S.; Lee, J.H.; Kim, S.J. Marinoscillum gen. nov., a member of the family ‘Flexibacteraceae’, with Marinoscillum pacificum sp. nov. from a marine sponge and Marinoscillum furvescens nom. rev., comb. nov. Int. J. Syst. Evol. Microbiol. 2009, 59, 1204–1208. [Google Scholar] [CrossRef]
- Garrity, G.M.; Holt, J.G. The Road Map to the Manual. In Bergey’s Manual® of Systematic Bacteriology: Volume One: The Archaea and the Deeply Branching and Phototrophic Bacteria; Boone, D.R., Castenholz, R.W., Garrity, G.M., Eds.; Springer: New York, NY, USA, 2001; pp. 119–166. [Google Scholar]
- Wexler, A.G.; Goodman, A.L. An insider’s perspective: Bacteroides as a window into the microbiome. Nat. Microbiol. 2017, 2, 17026. [Google Scholar] [CrossRef] [PubMed]
- Holdeman, L.V.; Moore, W.E.C. New Genus, Coprococcus, Twelve New Species, and Emended Descriptions of Four Previously Described Species of Bacteria from Human Feces. Int. J. Syst. Evol. Microbiol. 1974, 24, 260–277. [Google Scholar] [CrossRef]
- Bowman, J.P.; McCammon, S.A.; Brown, J.L.; McMeekin, T.A. Glaciecola punicea gen. nov., sp. nov. and Glaciecola pallidula gen. nov., sp. nov.: Psychrophilic bacteria from Antarctic sea-ice habitats. Int. J. Syst. Evol. Microbiol. 1998, 48, 1213–1222. [Google Scholar] [CrossRef]
- Lee, H.K.; Chun, J.; Moon, E.Y.; Ko, S.H.; Lee, D.S.; Lee, H.S.; Bae, K.S. Hahella chejuensis gen. nov., sp. nov., an extracellular-polysaccharide-producing marine bacterium. Int. J. Syst. Evol. Microbiol. 2001, 51, 661–666. [Google Scholar] [CrossRef]
- Jeong, H.; Yim, J.H.; Lee, C.; Choi, S.H.; Park, Y.K.; Yoon, S.H.; Hur, C.G.; Kang, H.Y.; Kim, D.; Lee, H.H.; et al. Genomic blueprint of Hahella chejuensis, a marine microbe producing an algicidal agent. Nucleic Acids Res. 2005, 33, 7066–7073. [Google Scholar] [CrossRef]
- Baer, M.L.; Ravel, J.; Chun, J.; Hill, R.T.; Williams, H.N. A proposal for the reclassification of Bdellovibrio stolpii and Bdellovibrio starrii into a new genus, Bacteriovorax gen. nov. as Bacteriovorax stolpii comb. nov. and Bacteriovorax starrii comb. nov., respectively. Int. J. Syst. Evol. Microbiol. 2000, 50 Pt 1, 219–224. [Google Scholar] [CrossRef] [PubMed][Green Version]
- Zhu, J.; Dai, W.; Qiu, Q.; Dong, C.; Zhang, J.; Xiong, J. Contrasting Ecological Processes and Functional Compositions between Intestinal Bacterial Community in Healthy and Diseased Shrimp. Microb. Ecol. 2016, 72, 975–985. [Google Scholar] [CrossRef] [PubMed]
- Naughton, L.M.; An, S.Q.; Hwang, I.; Chou, S.H.; He, Y.Q.; Tang, J.L.; Ryan, R.P.; Dow, J.M. Functional and genomic insights into the pathogenesis of Burkholderia species to rice. Environ. Microbiol. 2016, 18, 780–790. [Google Scholar] [CrossRef] [PubMed]
- Dursun, A.; Zenciroglu, A.; Karagol, B.S.; Hakan, N.; Okumus, N.; Gol, N.; Tanir, G. Burkholderia gladioli sepsis in newborns. Eur. J. Pediatr. 2012, 171, 1503–1509. [Google Scholar] [CrossRef]
- Pérez-Pantoja, D.; Nikel, P.I.; Chavarría, M.; de Lorenzo, V. Endogenous stress caused by faulty oxidation reactions fosters evolution of 2,4-dinitrotoluene-degrading bacteria. PLoS Genet. 2013, 9, e1003764. [Google Scholar] [CrossRef]
- Meijer, W.G.; Nienhuis-Kuiper, M.E.; Hansen, T.A. Fermentative bacteria from estuarine mud: Phylogenetic position of Acidaminobacter hydrogenoformans and description of a new type of gram-negative, propionigenic bacterium as Propionibacter pelophilus gen. nov., sp. nov. Int. J. Syst. Bacteriol. 1999, 49 Pt 3, 1039–1044. [Google Scholar] [CrossRef]
- Shen, H.; Song, T.; Lu, J.; Qiu, Q.; Chen, J.; Xiong, J. Shrimp AHPND Causing Vibrio anguillarum Infection: Quantitative Diagnosis and Identifying Antagonistic Bacteria. Mar. Biotechnol. 2021, 23, 964–975. [Google Scholar] [CrossRef]







| Items | CK | FM | FF | HT |
|---|---|---|---|---|
| Initial weight/g | 3.95 ± 0.20 a | 4.14 ± 0.18 a | 3.93 ± 0.14 a | 3.85 ± 0.089 a |
| Final weight/g | 10.07 ± 0.06 b | 11.38 ± 0.36 a | 8.32 ± 0.58 c | 12.19 ± 0.35 a |
| Specific growth rate/% | 3.47 ± 0.17 b | 3.75 ± 0.13 ab | 2.77 ± 0.36 c | 4.27 ± 0.02 a |
| Weight gain rate/% | 155.60 ± 11.84 b | 113.00 ± 20.48 c | 175.80 ± 9.31 ab | 216.60 ±1.96 a |
| Survival rate/% | 75.33 ± 6.43 a | 69.33 ± 5.03 a | 75.33 ± 10.06 a | 77.33 ± 4.16 a |
| Mortality rate/% | 24.67 ± 6.43 a | 30.67 ± 5.03 a | 24.67 ± 10.06 a | 22.67 ± 4.16 a |
| Items | CK | FM | FF | HT |
|---|---|---|---|---|
| Chao Index | 556.00 ± 140.00 a | 293.00 ± 108.00 a | 673.00 ± 330.00 a | 530.00 ± 219.00 a |
| Shannon Index | 5.84 ± 0.28 b | 2.30 ± 0.71 a | 3.00 ± 0.58 a | 5.720 ± 0.34 b |
| Simpson | 0.95 ± 0.01 b | 0.49 ± 0.12 a | 0.54 ± 0.13 a | 0.97 ± 0.01 b |
Disclaimer/Publisher’s Note: The statements, opinions and data contained in all publications are solely those of the individual author(s) and contributor(s) and not of MDPI and/or the editor(s). MDPI and/or the editor(s) disclaim responsibility for any injury to people or property resulting from any ideas, methods, instructions or products referred to in the content. |
© 2023 by the authors. Licensee MDPI, Basel, Switzerland. This article is an open access article distributed under the terms and conditions of the Creative Commons Attribution (CC BY) license (https://creativecommons.org/licenses/by/4.0/).
Share and Cite
Li, X.; Yang, L.; Jiang, S.; Zhou, F.; Jiang, S.; Li, Y.; Chen, X.; Yang, Q.; Duan, Y.; Huang, J. Effect of Fly Maggot Protein as Dietary on Growth and Intestinal Microbial Community of Pacific White Shrimp Litopenaeus vannamei. Biology 2023, 12, 1433. https://doi.org/10.3390/biology12111433
Li X, Yang L, Jiang S, Zhou F, Jiang S, Li Y, Chen X, Yang Q, Duan Y, Huang J. Effect of Fly Maggot Protein as Dietary on Growth and Intestinal Microbial Community of Pacific White Shrimp Litopenaeus vannamei. Biology. 2023; 12(11):1433. https://doi.org/10.3390/biology12111433
Chicago/Turabian StyleLi, Xintao, Lishi Yang, Shigui Jiang, Falin Zhou, Song Jiang, Yundong Li, Xu Chen, Qibin Yang, Yafei Duan, and Jianhua Huang. 2023. "Effect of Fly Maggot Protein as Dietary on Growth and Intestinal Microbial Community of Pacific White Shrimp Litopenaeus vannamei" Biology 12, no. 11: 1433. https://doi.org/10.3390/biology12111433
APA StyleLi, X., Yang, L., Jiang, S., Zhou, F., Jiang, S., Li, Y., Chen, X., Yang, Q., Duan, Y., & Huang, J. (2023). Effect of Fly Maggot Protein as Dietary on Growth and Intestinal Microbial Community of Pacific White Shrimp Litopenaeus vannamei. Biology, 12(11), 1433. https://doi.org/10.3390/biology12111433

