Test-Retest Reliability of Isokinetic Strength Measurements in Lower Limbs in Elderly
Abstract
:Simple Summary
Abstract
1. Introduction
2. Materials and Methods
2.1. Participants
2.2. Measurements
2.2.1. Participant Characterization Measures
2.2.2. Isokinetic Measure
2.2.3. Isokinetic Variables Studied
2.3. Data Analysis
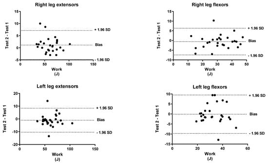
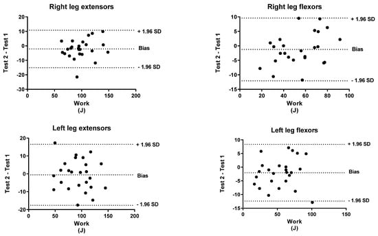
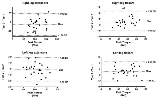
3. Results
4. Discussion
5. Conclusions
Author Contributions
Funding
Institutional Review Board Statement
Informed Consent Statement
Data Availability Statement
Acknowledgments
Conflicts of Interest
References
- Deschenes, M.R. Effects of aging on muscle fibre type and size. Sports Med. 2004, 34, 809–824. [Google Scholar] [CrossRef] [PubMed]
- Surakka, J.; Aunola, S.; Nordblad, T.; Karppi, S.L.; Alanen, E. Feasibility of power-type strength training for middle aged men and women: Self perception, musculoskeletal symptoms, and injury rates. Br. J. Sports Med. 2003, 37, 131–136. [Google Scholar] [CrossRef] [PubMed] [Green Version]
- Ferris, L.T.; Williams, J.S.; Shen, C.L.; O’Keefe, K.A.; Hale, K.B. Resistance training improves sleep quality in older adults a pilot study. J. Sports Sci. Med. 2005, 4, 354–360. [Google Scholar] [PubMed]
- Harbo, T.; Brincks, J.; Andersen, H. Maximal isokinetic and isometric muscle strength of major muscle groups related to age, body mass, height, and sex in 178 healthy subjects. Eur. J. Appl. Physiol. 2012, 112, 267–275. [Google Scholar] [CrossRef]
- Baumgartner, R.N.; Waters, D.L.; Gallagher, D.; Morley, J.E.; Garry, P.J. Predictors of skeletal muscle mass in elderly men and women. Mech. Ageing. Dev. 1999, 107, 123–136. [Google Scholar] [CrossRef]
- Prochniewicz, E.; Thompson, L.V.; Thomas, D.D. Age-related decline in actomyosin structure and function. Exp. Gerontol. 2007, 42, 931–938. [Google Scholar] [CrossRef]
- Jones, T.E.; Stephenson, K.W.; King, J.G.; Knight, K.R.; Marshall, T.L.; Scott, W.B. Sarcopenia-mechanisms and treatments. J. Geriatr. Phys. Ther. 2009, 32, 83–89. [Google Scholar] [CrossRef]
- Doherty, T.J. The influence of aging and sex on skeletal muscle mass and strength. Curr. Opin. Clin. Nutr. Metab. Care 2001, 4, 503–508. [Google Scholar] [CrossRef]
- von Haehling, S.; Morley, J.E.; Anker, S.D. An overview of sarcopenia: Facts and numbers on prevalence and clinical impact. J. Cachexia Sarcopenia Muscle 2010, 1, 129–133. [Google Scholar] [CrossRef]
- Goodpaster, B.H.; Park, S.W.; Harris, T.B.; Kritchevsky, S.B.; Nevitt, M.; Schwartz, A.V.; Simonsick, E.M.; Tylavsky, F.A.; Visser, M.; Newman, A.B. The loss of skeletal muscle strength, mass, and quality in older adults: The health, aging and body composition study. J. Gerontol. Ser. A Biol. Sci. Med. Sci. 2006, 61, 1059–1064. [Google Scholar] [CrossRef]
- Marcell, T.J.; Hawkins, S.A.; Wiswell, R.A. Leg strength declines with advancing age despite habitual endurance exercise in active older adults. J. Strength Cond. Res. 2014, 28, 504–513. [Google Scholar] [CrossRef] [PubMed]
- Mitchell, W.K.; Williams, J.; Atherton, P.; Larvin, M.; Lund, J.; Narici, M. Sarcopenia, dynapenia, and the impact of advancing age on human skeletal muscle size and strength; a quantitative review. Front. Physiol. 2012, 3, 260. [Google Scholar] [CrossRef] [PubMed] [Green Version]
- Buchman, A.S.; Wilson, R.S.; Boyle, P.A.; Tang, Y.; Fleischman, D.A.; Bennett, D.A. Physical activity and leg strength predict decline in mobility performance in older persons. J. Am. Geriatr. Soc. 2007, 55, 1618–1623. [Google Scholar] [CrossRef] [PubMed]
- Meyer, C.; Dow, B.; Bilney, B.E.; Moore, K.J.; Bingham, A.L.; Hill, K.D. Falls in older people receiving in-home informal care across Victoria: Influence on care recipients and caregivers. Australas. J. Ageing 2012, 31, 6–12. [Google Scholar] [CrossRef]
- Reid, K.F.; Naumova, E.N.; Carabello, R.J.; Phillips, E.M.; Fielding, R.A. Lower extremity muscle mass predicts functional performance in mobility-limited elders. J. Nutr. Health Aging 2008, 12, 493–498. [Google Scholar] [CrossRef]
- Li, R.C.; Jasiewicz, J.M.; Middleton, J.; Condie, P.; Barriskill, A.; Hebnes, H.; Purcell, B. The development, validity, and reliability of a manual muscle testing device with integrated limb position sensors. Arch. Phys. Med. Rehabil. 2006, 87, 411–417. [Google Scholar] [CrossRef] [Green Version]
- Dvir, Z. An isokinetic study of combined activity of the hip and knee extensors. Clin. Biomech. 1996, 11, 135–138. [Google Scholar] [CrossRef]
- van Dyk, N.; Bahr, R.; Whiteley, R.; Tol, J.L.; Kumar, B.D.; Hamilton, B.; Farooq, A.; Witvrouw, E. Hamstring and Quadriceps Isokinetic Strength Deficits Are Weak Risk Factors for Hamstring Strain Injuries: A 4-Year Cohort Study. Am. J. Sports Med. 2016, 44, 1789–1795. [Google Scholar] [CrossRef]
- Pereira, J.C.; Neri, S.G.R.; Vainshelboim, B.; Gadelha, A.B.; Bottaro, M.; Lima, R.M. A reference equation for normal standards for knee extensor isokinetic strength in Brazilian older women. Aging Clin. Exp. Res. 2019, 31, 1531–1537. [Google Scholar] [CrossRef]
- Perrin, D.H.; Robertson, R.J.; Ray, R.L. Bilateral lsokinetic Peak Torque, Torque Acceleration Energy, Power, and Work Relationships in Athletes and Nonathletes. J. Orthop. Sports Phys. Ther. 1987, 9, 184–189. [Google Scholar] [CrossRef] [Green Version]
- Janssen, J.C.; Le-Ngoc, L. Intratester reliability and validity of concentric measurements using a new hand-held dynamometer. Arch. Phys. Med. Rehabil. 2009, 90, 1541–1547. [Google Scholar] [CrossRef] [PubMed]
- Coudeyre, E.; Jegu, A.G.; Giustanini, M.; Marrel, J.P.; Edouard, P.; Pereira, B. Isokinetic muscle strengthening for knee osteoarthritis: A systematic review of randomized controlled trials with meta-analysis. Ann. Phys. Rehabil. Med. 2016, 59, 207–215. [Google Scholar] [CrossRef] [PubMed]
- Hall, M.; Hinman, R.S.; Wrigley, T.V.; Kasza, J.; Lim, B.W.; Bennell, K.L. Knee extensor strength gains mediate symptom improvement in knee osteoarthritis: Secondary analysis of a randomised controlled trial. Osteoarthr. Cartil. 2018, 26, 495–500. [Google Scholar] [CrossRef] [PubMed] [Green Version]
- Camacho-Cardenosa, M.; Camacho-Cardenosa, A.; Brazo-Sayavera, J.; Olcina, G.; Tomas-Carus, P.; Timón, R. Evaluation of 18-Week Whole-Body Vibration Training in Normobaric Hypoxia on Lower Extremity Muscle Strength in an Elderly Population. High Alt. Med. Biol. 2019, 20, 157–164. [Google Scholar] [CrossRef] [PubMed] [Green Version]
- Koo, T.K.; Li, M.Y. A Guideline of Selecting and Reporting Intraclass Correlation Coefficients for Reliability Research. J. Chiropr. Med. 2016, 15, 155–163. [Google Scholar] [CrossRef] [PubMed] [Green Version]
- Jenkins, N.D.M.; Cramer, J.T. Reliability and Minimum Detectable Change for Common Clinical Physical Function Tests in Sarcopenic Men and Women. J. Am. Geriatr. Soc. 2017, 65, 839–846. [Google Scholar] [CrossRef] [PubMed] [Green Version]
- Portney, L.G.; Watkins, M.P. Foundations of Clinical Research: Applications to Practice; Pearson/Prentice Hall: Upper Saddle River, NJ, USA, 2009; Volume 892. [Google Scholar]
- Gray, V.L.; Ivanova, T.D.; Garland, S.J. Reliability of center of pressure measures within and between sessions in individuals post-stroke and healthy controls. Gait Posture 2014, 40, 198–203. [Google Scholar] [CrossRef]
- Van Driessche, S.; Van Roie, E.; Vanwanseele, B.; Delecluse, C. Test-retest reliability of knee extensor rate of velocity and power development in older adults using the isotonic mode on a Biodex System 3 dynamometer. PLoS ONE 2018, 13, e0196838. [Google Scholar] [CrossRef] [Green Version]
- Symons, T.B.; Vandervoort, A.A.; Rice, C.L.; Overend, T.J.; Marsh, G.D. Reliability of a single-session isokinetic and isometric strength measurement protocol in older men. J. Gerontol. Ser. A Biol. Sci. Med. Sci. 2005, 60, 114–119. [Google Scholar] [CrossRef] [Green Version]
- Bergamin, M.; Gobbo, S.; Bullo, V.; Vendramin, B.; Duregon, F.; Frizziero, A.; Di Blasio, A.; Cugusi, L.; Zaccaria, M.; Ermolao, A. Reliability of a device for the knee and ankle isometric and isokinetic strength testing in older adults. Muscles Ligaments Tendons J. 2017, 7, 323–330. [Google Scholar] [CrossRef]
- Hartmann, A.; Knols, R.; Murer, K.; de Bruin, E.D. Reproducibility of an isokinetic strength-testing protocol of the knee and ankle in older adults. Gerontology 2009, 55, 259–268. [Google Scholar] [CrossRef] [PubMed]
- Adsuar, J.C.; Parraca, J.; Raimundo, A.; Garcia-Gordillo, M.A.; Polero, P.; Tomas-Carus, P. Test-retest reliability of isokinetic knee strength measurements in type 2 diabetes mellitus patients. Sustainability 2021, 13, 1343. [Google Scholar] [CrossRef]
- Ribeiro, F.; Lépine, P.A.; Garceau-Bolduc, C.; Coats, V.; Allard, É.; Maltais, F.; Saey, D. Test-retest reliability of lower limb isokinetic endurance in COPD: A comparison of angular velocities. Int. J. Chronic Obstr. Pulm. Dis. 2015, 10, 1163–1172. [Google Scholar] [CrossRef] [Green Version]
- Dvir, Z. Isokinetics: Muscle Testing, Interpretation, and Clinical Applications; Elsevier Health Sciences: Amsterdam, The Netherlands, 2004. [Google Scholar]
- Hollander, D.B.; Kraemer, R.R.; Kilpatrick, M.W.; Ramadan, Z.G.; Reeves, G.V.; Francois, M.; Hebert, E.P.; Tryniecki, J.L. Maximal eccentric and concentric strength discrepancies between young men and women for dynamic resistance exercise. J. Strength Cond. Res. 2007, 21, 34–40. [Google Scholar] [CrossRef] [PubMed]
- Olmos, A.A.; Stratton, M.T.; Ha, P.L.; Dalton, B.E.; VanDusseldorp, T.A.; Mangine, G.T.; Feito, Y.; Poisal, M.J.; Jones, J.A.; Smith, T.M.; et al. Early and late rapid torque characteristics and select physiological correlates in middle-aged and older males. PLoS ONE 2020, 15, e0231907. [Google Scholar] [CrossRef] [PubMed]
- Buckinx, F.; Aubertin-Leheudre, M. Physical Performance and Muscle Strength Tests: Pros and Cons; Springer: Berlin/Heidelberg, Germany, 2021; pp. 65–99. [Google Scholar]
- Nyland, J.; Frost, K.; Quesada, P.; Angeli, C.; Swank, A.; Topp, R.; Malkani, A.L. Self-reported chair-rise ability relates to stair-climbing readiness of total knee arthroplasty patients: A pilot study. J. Rehabil. Res. Dev. 2007, 44, 751–760. [Google Scholar] [CrossRef]
- Okamoto, N.; Nakatani, T.; Okamoto, Y.; Iwamoto, J.; Saeki, K.; Kurumatani, N. Increasing the number of steps walked each day improves physical fitness in Japanese community-dwelling adults. Int. J. Sports Med. 2010, 31, 277–282. [Google Scholar] [CrossRef]
- Requena, B.; Arampatzi, F.; Salonikidis, K. Effect of plyometric training on chair-rise, jumping and sprinting performance in three age groups of women. J. Sports Med. Phys. Fit. 2010, 50, 166–173. [Google Scholar]
- Mato, L.; Wattanathorn, J.; Muchimapura, S.; Tongun, T.; Piyawatkul, N.; Yimtae, K.; Thanawirattananit, P.; Sripanidkulchai, B. Centella asiatica improves physical performance and health-related quality of life in healthy elderly volunteer. Evid.-Based Complement. Altern. Med. 2011, 2011, 579467. [Google Scholar]
- Bruun, I.H.; Mogensen, C.B.; Nørgaard, B.; Schiøttz-Christensen, B.; Maribo, T. Validity and responsiveness to change of the 30-second Chair-Stand Test in older adults admitted to an emergency department. J. Geriatr. Phys. Ther. 2019, 42, 265–274. [Google Scholar] [CrossRef]
- Wright, A.A.; Cook, C.E.; Baxter, G.D.; Dockerty, J.D.; Abbott, J.H. A comparison of 3 methodological approaches to defining major clinically important improvement of 4 performance measures in patients with hip osteoarthritis. J. Orthop. Sports Phys. Ther. 2011, 41, 319–327. [Google Scholar] [CrossRef] [PubMed]
- Kirn, D.R.; Reid, K.F.; Hau, C.; Phillips, E.M.; Fielding, R.A. What is a clinically meaningful improvement in leg-extensor power for mobility-limited older adults? J. Gerontol. Ser. A Biomed. Sci. Med. Sci. 2016, 71, 632–636. [Google Scholar] [CrossRef] [PubMed] [Green Version]
- Barbalho, M.; Gentil, P.; Raiol, R.; Del Vecchio, F.B.; Ramirez-Campillo, R.; Coswig, V.S. High 1RM tests reproducibility and validity are not dependent on training experience, muscle group tested or strength level in older women. Sports 2018, 6, 171. [Google Scholar] [CrossRef] [PubMed] [Green Version]
- Da Silva, E.M.; Brentano, M.A.; Cadore, E.L.; De Almeida, A.P.V.; Kruel, L.F.M. Analysis of muscle activation during different leg press exercises at submaximum effort levels. J. Strength Cond. Res. 2008, 22, 1059–1065. [Google Scholar] [CrossRef] [PubMed] [Green Version]






| Total Mean (SD) | Women Mean (SD) | Men Mean (SD) | |
|---|---|---|---|
| Age (years) | 73.25 (4.92) | 74.56 (5.36) | 71.84 (4.04) |
| Height (m) | 1.59 (0.09) | 1.52 (0.06) | 1.66 (0.07) |
| Weight (kg) | 77.42 (20.82) | 67.65 (10.67) | 87.96 (23.98) |
| BMI (kg/m2) | 30.33 (7.45) | 29.02 (4.55) | 31.73 (9.56) |
| Diseases (n) | 3.46 (1.55) | 4.05 (1.47) | 2.40 (1.07) |
| Medication (n) | 3.93 (2.63) | 4.94 (2.41) | 2.10 (2.02) |
| Peak Torque (N·m) | Work (J) | |||||||||
|---|---|---|---|---|---|---|---|---|---|---|
| Test | Re-Test | Test | Re-Test | |||||||
| Test Measurement | Mean | (SD) | Mean | (SD) | p | Mean | (SD) | Mean | (SD) | p |
| General | ||||||||||
| Right leg extensors | 88.65 | (32.68) | 88.08 | (31.74) | 0.480 | 79.42 | (28.06) | 78.97 | (27.30) | 0.545 |
| Left leg extensors | 86.75 | (32.88) | 85.38 | (30.82) | 0.223 | 77.36 | (26.92) | 76.58 | (26.45) | 0.414 |
| Right leg flexors | 43.78 | (16.76) | 42.73 | (16.68) | 0.035 | 42.69 | (18.68) | 41.81 | (19.57) | 0.171 |
| Left leg flexors | 45.19 | (18.73) | 44.02 | (18.18) | 0.040 | 43.61 | (20.85) | 42.56 | (20.60) | 0.149 |
| Women | ||||||||||
| Right leg extensors | 66.66 | (19.76) | 68.24 | (19.03) | 0.083 | 60.69 | (17.29) | 61.82 | (16.67) | 0.067 |
| Left leg extensors | 68.82 | (18.04) | 67.70 | (18.26) | 0.277 | 62.79 | (15.23) | 61.77 | (15.39) | 0.280 |
| Right leg flexors | 32.69 | (7.49) | 32.33 | (7.47) | 0.462 | 31.54 | (9.62) | 30.99 | (10.13) | 0.428 |
| Left leg flexors | 33.64 | (7.31) | 33.41 | (7.44) | 0.742 | 32.59 | (8.94) | 32.47 | (8.74) | 0.898 |
| Men | ||||||||||
| Right leg extensors | 112.41 | (26.73) | 109.51 | (28.76) | 0.026 | 99.66 | (22.97) | 97.50 | (24.39) | 0.116 |
| Left leg extensors | 106.11 | (32.49) | 104.48 | (30.43) | 0.436 | 93.10 | (28.14) | 92.57 | (26.79) | 0.781 |
| Right leg flexors | 55.75 | (15.77) | 53.96 | (16.67) | 0.046 | 54.73 | (18.72) | 53.49 | (20.71) | 0.273 |
| Left leg flexors | 57.66 | (19.39) | 55.48 | (19.46) | 0.015 | 55.50 | (23.53) | 53.47 | (24.09) | 0.066 |
| Assessed Action | ICC (95% CI) | SEM (N·m) | SEM (%) | SRD (N·m) | SRD (%) | ICC (95% CI) | SEM (J) | SEM (%) | SRD (J) | SRD (%) |
|---|---|---|---|---|---|---|---|---|---|---|
| Total (n = 52) | Peak Torque (N·m) | Work (J) | ||||||||
| Right leg extensors | 0.98 (0.97–0.99) | 4.56 | 5.20 | 12.63 | 14.30 | 0.98 (0.97–0.99) | 3.91 | 4.90 | 10.85 | 13.70 |
| Left leg extensors | 0.97 (0.94–0.98) | 5.52 | 6.40 | 15.29 | 17.80 | 0.97 (0.94–0.98) | 4.62 | 6.00 | 12.81 | 16.60 |
| Right leg flexors | 0.98 (0.96–0.99) | 2.36 | 5.50 | 6.55 | 15.20 | 0.97 (0.95–0.98) | 3.31 | 7.80 | 9.18 | 21.70 |
| Left leg flexors | 0.97 (0.96–0.98) | 3.20 | 7.20 | 8.86 | 19.90 | 0.97 (0.95–0.98) | 3.59 | 8.30 | 9.95 | 23.10 |
| Women (n = 27) | ||||||||||
| Right leg extensors | 0.97 (0.94–0.99) | 3.36 | 5.00 | 9.31 | 13.80 | 0.98 (0.96–0.99) | 2.40 | 3.90 | 6.66 | 10.90 |
| Left leg extensors | 0.96 (0.91–0.98) | 3.63 | 5.30 | 10.06 | 14.70 | 0.95 (0.90–0.98) | 3.42 | 5.50 | 9.49 | 15.20 |
| Right leg flexors | 0.94 (0.88–0.97) | 1.83 | 5.60 | 5.08 | 15.60 | 0.94 (0.87–0.97) | 2.42 | 7.70 | 6.70 | 21.40 |
| Left leg flexors | 0.88 (0.75–0.94) | 2.55 | 7.60 | 7.08 | 21.10 | 0.85 (0.70–0.93) | 3.42 | 10.50 | 9.49 | 29.20 |
| Men (n = 25) | ||||||||||
| Right leg extensors | 0.97 (0.94–0.99) | 4.81 | 4.30 | 13.32 | 12.00 | 0.96 (0.91–0.88) | 4.74 | 4.80 | 13.13 | 13.30 |
| Left leg extensors | 0.95 (0.88–0.98) | 7.03 | 6.70 | 19.50 | 18.50 | 0.95 (0.89–0.98) | 6.14 | 6.60 | 17.02 | 18.30 |
| Right leg flexors | 0.96 (0.91–0.98) | 3.24 | 5.90 | 8.99 | 16.40 | 0.96 (0.91–0.98) | 4.41 | 8.10 | 12.22 | 22.60 |
| Left leg flexors | 0.97 (0.94–0.99) | 3.36 | 5.90 | 9.33 | 16.50 | 0.97 (0.94–0.99) | 4.12 | 7.60 | 11.43 | 21.00 |
Publisher’s Note: MDPI stays neutral with regard to jurisdictional claims in published maps and institutional affiliations. |
© 2022 by the authors. Licensee MDPI, Basel, Switzerland. This article is an open access article distributed under the terms and conditions of the Creative Commons Attribution (CC BY) license (https://creativecommons.org/licenses/by/4.0/).
Share and Cite
Parraca, J.A.; Adsuar, J.C.; Domínguez-Muñoz, F.J.; Barrios-Fernandez, S.; Tomas-Carus, P. Test-Retest Reliability of Isokinetic Strength Measurements in Lower Limbs in Elderly. Biology 2022, 11, 802. https://doi.org/10.3390/biology11060802
Parraca JA, Adsuar JC, Domínguez-Muñoz FJ, Barrios-Fernandez S, Tomas-Carus P. Test-Retest Reliability of Isokinetic Strength Measurements in Lower Limbs in Elderly. Biology. 2022; 11(6):802. https://doi.org/10.3390/biology11060802
Chicago/Turabian StyleParraca, Jose A., José Carmelo Adsuar, Francisco Javier Domínguez-Muñoz, Sabina Barrios-Fernandez, and Pablo Tomas-Carus. 2022. "Test-Retest Reliability of Isokinetic Strength Measurements in Lower Limbs in Elderly" Biology 11, no. 6: 802. https://doi.org/10.3390/biology11060802
APA StyleParraca, J. A., Adsuar, J. C., Domínguez-Muñoz, F. J., Barrios-Fernandez, S., & Tomas-Carus, P. (2022). Test-Retest Reliability of Isokinetic Strength Measurements in Lower Limbs in Elderly. Biology, 11(6), 802. https://doi.org/10.3390/biology11060802

