Feasibility of Intravoxel Incoherent Motion (IVIM) and Dynamic Contrast-Enhanced Magnetic Resonance Imaging (DCE-MRI) in Differentiation of Benign Parotid Gland Tumors
Abstract
Simple Summary
Abstract
1. Introduction
2. Materials and Methods
2.1. Study Group
2.2. Imaging Protocol
2.3. Image Analysis
2.3.1. Intravoxel Incoherent Motion (IVIM) Analysis
2.3.2. Quantitative DCE-MRI Analysis
2.3.3. Statistical Analysis
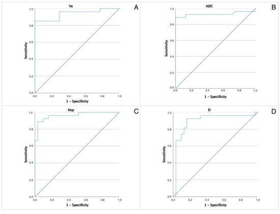
3. Results
4. Discussion
5. Conclusions
Author Contributions
Funding
Institutional Review Board Statement
Informed Consent Statement
Data Availability Statement
Conflicts of Interest
References
- Barnes, L.; Eveson, J.W.; Reichart, P.; Sidransky, D. World Health Organization Classification of Tumors—Pathology and Genetics of Head and Neck Tumors; IARC Press: Lyon, France, 2005; pp. 209–281. [Google Scholar]
- Witt, R.L.; Eisele, D.W.; Morton, R.P.; Nicolai, P.; Poorten, V.V.; Zbären, P. Etiology and management of recurrent parotid pleomorphic adenoma. Laryngoscope 2015, 125, 888–893. [Google Scholar] [CrossRef] [PubMed]
- Riad, M.A.; Abdel-Rahman, H.; Ezzat, W.F.; Adly, A.; Dessouky, O.; Shehata, M. Variables related to recurrence of pleomorphic adenomas: Outcome of parotid surgery in 182 cases. Laryngoscope 2011, 121, 1467–1472. [Google Scholar] [CrossRef]
- Faquin, W.C.; Rossi, E.D.; Baloch, Z.; Barkan, G.A.; Foschini, M.P.; Kurtycz, D.F.I.; Pusztaszeri, M.; Vielh, P. The Milan System for Reporting Salivary Gland Cytopathology; Springer International Publishing AG: Cham, Switzerland, 2018; pp. 1–10. [Google Scholar]
- Coudert, H.; Mirafzal, S.; Dissard, A.; Boyer, L.; Montoriol, P.F. Multiparametric magnetic resonance imaging of parotid tumors: A systematic review. Diagn. Interv. Imaging 2021, 102, 121–130. [Google Scholar] [CrossRef] [PubMed]
- Noij, D.P.; Martens, R.M.; Marcus, J.T.; de Bree, R.; Leemans, C.R.; Castelijns, J.A.; de Jong, M.C.; de Graaf, P. Intravoxel incoherent motion magnetic resonance imaging in head and neck cancer: A systematic review of the diagnostic and prognostic value. Oral Oncol. 2017, 68, 81–91. [Google Scholar] [CrossRef] [PubMed]
- Liang, Y.Y.; Xu, F.; Guo, Y.; Wang, J. Diagnostic accuracy of magnetic resonance imaging techniques for parotid tumors, a systematic review and meta-analysis. Clin. Imaging 2018, 52, 36–43. [Google Scholar] [CrossRef] [PubMed]
- Mikaszewski, B.; Markiet, K.; Smugała, A.; Stodulski, D.; Szurowska, E.; Stankiewicz, C. Diffusion-weighted MRI in the differential diagnosis of parotid malignancies and pleomorphic adenomas: Can the accuracy of dynamic MRI be enhanced? Oral Surg. Oral Med. Oral Pathol. Oral Radiol. 2017, 124, 95–103. [Google Scholar] [CrossRef]
- Mikaszewski, B.; Markiet, K.; Smugała, A.; Stodulski, D.; Szurowska, E.; Stankiewicz, C. Clinical and demographic data improve diagnostic accuracy of dynamic contrast-enhanced and diffusion-weighted MRI in differential diagnostics of parotid gland tumors. Oral Oncol. 2020, 111, 104932. [Google Scholar] [CrossRef]
- Le Bihan, D.; Breton, E.; Lallemand, D.; Aubin, M.L.; Vignaud, J.; Laval-Jeantet, M. Separation of diffusion and perfusion in intravoxel incoherent motion MR imaging. Radiology 1988, 168, 497–505. [Google Scholar] [CrossRef]
- Le Bihan, D.; Turner, R. The capillary network: A link between IVIM and classical perfusion. Magn. Reason. Med. 1992, 27, 171–178. [Google Scholar] [CrossRef]
- Le Bihan, D. What can we see with IVIM MRI? Neuroimage 2019, 187, 56–67. [Google Scholar] [CrossRef]
- Ai, Q.Y.; King, A.D.; Chan, J.S.M.; Chen, W.; Chan, K.C.A.; Woo, J.K.S.; Zee, B.C.Y.; Chan, A.T.C.; Poon, D.M.C.; Ma, B.B.Y.; et al. Distinguishing early-stage nasopharyngeal carcinoma from benign hyperplasia using intravoxel incoherent motion diffusion-weighted MRI. Eur. Radiol. 2019, 29, 5627–5634. [Google Scholar] [CrossRef] [PubMed]
- Martínez Barbero, J.P.; Rodríquez Jiménez, I.; Martin Noguerol, T.; Luna Alcalá, A. Utility of MRI diffusion techniques in the evaluation of tumors of the head and neck. Cancers 2013, 5, 875–889. [Google Scholar] [CrossRef] [PubMed]
- Fujima, N.; Yoshida, D.; Sakashita, T.; Homma, A.; Tsukahara, A.; Tha, K.K.; Kudo, K.; Shirato, H. Intravoxel incoherent motion diffusion-weighted imaging in head and neck squamous cell carcinoma: Assessment of perfusion-related parameters compared to dynamic contrast-enhanced MRI. Magn. Reason. Imaging 2014, 32, 1206–1213. [Google Scholar] [CrossRef] [PubMed][Green Version]
- Marzi, S.; Piludu, F.; Vidiri, A. Assessment of diffusion parameters by intravoxel incoherent motion MRI in head and neck squamous cell carcinoma. NMR Biomed. 2013, 26, 1806–1814. [Google Scholar] [CrossRef] [PubMed]
- Fujima, N.; Yoshida, D.; Sakashita, T.; Homma, A.; Tsukahara, A.; Shimizu, Y.; Tha, K.K.; Kudo, K.; Shirato, H. Prediction of the treatment outcome using intravoxel incoherent motion and diffusional kurtosis imaging in nasal or sinonasal squamous cell carcinoma patients. Eur. Radiol. 2017, 27, 956–965. [Google Scholar] [CrossRef]
- Ma, G.; Xu, X.Q.; Zhu, L.N.; Jiang, J.S.; Su, G.Y.; Hu, H.; Bu, S.S.; Wu, F.Y. Intravoxel Incoherent Motion Magnetic Resonance Imaging for Assessing Parotid Gland Tumors: Correlation and Comparison with Arterial Spin Labeling Imaging. Korean J. Radiol. 2021, 22, 243–252. [Google Scholar] [CrossRef]
- Hauser, T.; Essig, M.; Jensen, A.; Laun, F.B.; Münter, M.; Maier-Hein, K.H.; Stieltjes, B. Prediction of treatment response in head and neck carcinomas using IVIM-DWI: Evaluation of lymph node metastasis. Eur. J. Radiol. 2014, 83, 783–787. [Google Scholar] [CrossRef]
- Hejduk, B.; Bobek-Billewicz, B.; Rutkowski, T.; Hebda, A.; Zawadzka, A.; Jurkowski, M.K. Application of Intravoxel Incoherent Motion (IVIM) Model for Differentiation Between Metastatic and Non-Metastatic Head and Neck Lymph Nodes. Pol. J. Radiol. 2017, 82, 506–510. [Google Scholar] [CrossRef]
- Marzi, S.; Piludu, F.; Forina, C.; Sanguineti, G.; Covello, R.; Spriano, G.; Vidiri, A. Correlation study between intravoxel incoherent motion MRI and dynamic contrast-enhanced MRI in head and neck squamous cell carcinoma: Evaluation in primary tumors and metastatic nodes. Magn. Reason. Imaging 2017, 37, 1–8. [Google Scholar] [CrossRef]
- Liang, L.; Luo, X.; Lian, Z.; Chen, W.; Zhang, B.; Dong, Y.; Liang, C.; Zhang, S. Lymph node metastasis in head and neck squamous carcinoma: Efficacy of intravoxel incoherent motion magnetic resonance imaging for the differential diagnosis. Eur. J. Radiol. 2017, 90, 159–165. [Google Scholar] [CrossRef]
- Paudyal, R.; Oh, J.H.; Riaz, N.; Venigalla, P.; Li, J.; Hatzoglou, V.; Leeman, J.; Nunez, D.A.; Lu, Y.; Deasy, J.O.; et al. Intravoxel incoherent motion diffusion-weighted MRI during chemoradiation therapy to characterize and monitor treatment response in human papillomavirus head and neck squamous cell carcinoma. J. Magn. Reason. Imaging 2017, 45, 1013–1023. [Google Scholar] [CrossRef]
- Ding, Y.; Hazle, J.D.; Mohamed, A.S.; Frank, S.J.; Hobbs, B.P.; Colen, R.R.; Gunn, G.B.; Wang, J.; Kalpathy-Cramer, J.; Garden, A.S.; et al. Intravoxel incoherent motion imaging kinetics during chemoradiotherapy for human papillomavirus-associated squamous cell carcinoma of the oropharynx: Preliminary results from a prospective pilot study. NMR Biomed. 2015, 28, 1645–1654. [Google Scholar] [CrossRef] [PubMed]
- Marzi, S.; Farneti, A.; Vidiri, A.; Di Giuliano, F.; Marucci, L.; Spasiano, F.; Terrenato, I.; Sanguineti, G. Radiation-induced parotid changes in oropharyngeal cancer patients: The role of early functional imaging and patient-/treatment-related factors. Radiat Oncol. 2018, 13, 189. [Google Scholar] [CrossRef] [PubMed]
- Chu, C.; Zhou, N.; Zhang, H.; Dou, X.; Li, M.; Liu, S.; Zhu, Y.; Chen, W.; Chan, Q.; He, J.; et al. Correlation between intravoxel incoherent motion MR parameters and MR nodular grade of parotid glands in patients with Sjögren’s syndrome: A pilot study. Eur. J. Radiol. 2017, 86, 241–247. [Google Scholar] [CrossRef] [PubMed]
- Su, G.Y.; Xu, X.Q.; Wang, Y.Y.; Hu, H.; Shen, J.; Hong, X.N.; Shi, H.B.; Wu, F.Y. Feasibility study of using intravoxel incoherent motion mri to detect parotid gland abnormalities in early-stage Sjögren syndrome patients. J. Magn. Reason. Imaging 2016, 43, 1455–1461. [Google Scholar] [CrossRef] [PubMed]
- Yabuuchi, H.; Fukuya, T.; Tajima, T.; Hachitanda, Y.; Tomita, K.; Koga, M. Salivary gland tumors: Diagnostic value of gadolinium-enhanced dynamic MR imaging with histopathologic correlation. Radiology 2003, 226, 345–354, Erratum in Radiology 2003, 227, 909. [Google Scholar] [CrossRef]
- Sumi, M.; Nakamura, T. Head and neck tumors: Assessment of perfusion-related parameters and diffusion coefficients based on the intravoxel incoherent motion model. AJNR Am. J. Neuroradiol. 2013, 34, 410–416. [Google Scholar] [CrossRef]
- Yabuuchi, H.; Kamitani, T.; Sagiyama, K.; Yamasaki, Y.; Hida, T.; Matsuura, Y.; Hino, T.; Murayama, Y.; Yasumatsu, R.; Yamamoto, H. Characterization of parotid gland tumors: Added value of permeability MR imaging to DWI and DCE-MRI. Eur. Radiol. 2020, 30, 6402–6412. [Google Scholar] [CrossRef]
- Xu, X.Q.; Choi, Y.J.; Sung, Y.S.; Yoon, R.G.; Jang, S.W.; Park, J.E.; Heo, Y.J.; Baek, J.H.; Lee, J.H. Intravoxel Incoherent Motion MR Imaging in the Head and Neck: Correlation with Dynamic Contrast-Enhanced MR Imaging and Diffusion-Weighted Imaging. Korean J. Radiol. 2016, 17, 641–649. [Google Scholar] [CrossRef]
- Sumi, M.; Nakamura, T. Head and neck tumours: Combined MRI assessment based on IVIM and TIC analyses for the differentiation of tumors of different histological types. Eur. Radiol. 2014, 24, 223–231. [Google Scholar] [CrossRef]
- Patella, F.; Franceschelli, G.; Petrillo, M.; Sansone, M.; Fusco, R.; Pesapane, F.; Pompili, G.; Ierardi, A.M.; Saibene, A.M.; Moneghini, L.; et al. A multiparametric analysis combining DCE-MRI- and IVIM -derived parameters to improve differentiation of parotid tumors: A pilot study. Future Oncol. 2018, 14, 2893–2903. [Google Scholar] [CrossRef] [PubMed]
- ITIS Foundation. Available online: https://itis.swiss/virtual-population/tissue-properties/database/relaxation-times/ (accessed on 1 November 2021).
- Parker, G.J.; Roberts, C.; Macdonald, A.; Buonaccorsi, G.A.; Cheung, S.; Buckley, D.L.; Jackson, A.; Watson, Y.; Davies, K.; Jayson, G.C. Experimentally-derived functional form for a population-averaged high-temporal-resolution arterial input function for dynamic contrast-enhanced MRI. Magn. Reason. Med. 2006, 56, 993–1000. [Google Scholar] [CrossRef] [PubMed]
- Koo, T.K.; Li, M.Y. A Guideline of Selecting and Reporting Intraclass Correlation Coefficients for Reliability Research. J. Chiropr. Med. 2017, 15, 155–163, Erratum in J. Chiropr. Med. 2017, 16, 346. [Google Scholar] [CrossRef] [PubMed]
- Friedman, E.; Patino, M.O.; Abdel Razek, A.A.K. MR Imaging of Salivary Gland Tumors. Magn. Reson. Imaging Clin. N. Am. 2022, 30, 135–149. [Google Scholar] [CrossRef]
- Mikaszewski, B.; Markiet, K.; Smugała, A.; Stodulski, D.; Szurowska, E.; Stankiewicz, C. An algorithm for preoperative differential diagnostics of parotid tumours on the basis of their dynamic and diffusion-weighted magnetic resonance images: A retrospective analysis of 158 cases. Folia Morphol. 2018, 77, 29–35. [Google Scholar] [CrossRef]
- Xu, Z.; Chen, M.; Zheng, S.; Chen, S.; Xiao, J.; Hu, Z.; Lu, L.; Yang, Z.; Lin, D. Differential diagnosis of parotid gland tumours: Application of SWI combined with DWI and DCE-MRI. Eur. J. Radiol. 2022, 146, 110094. [Google Scholar] [CrossRef]
- Matsusue, E.; Fujihara, Y.; Matsuda, E.; Tokuyasu, Y.; Nakamoto, S.; Nakamura, K.; Ogawa, T. Differentiating parotid tumors by quantitative signal intensity evaluation on MR imaging. Clin. Imaging 2017, 46, 37–43. [Google Scholar] [CrossRef]
- Elmokadem, A.H.; Abdel Khalek, A.M.; Abdel Wahab, R.M.; Tharwat, N.; Gaballa, G.M.; Elata, M.A.; Amer, T. Diagnostic Accuracy of Multiparametric Magnetic Resonance Imaging for Differentiation Between Parotid Neoplasms. Can. Assoc. Radiol. J. 2019, 70, 264–272. [Google Scholar] [CrossRef]
- Nada, A.A.; Youssef, A.A.; Basmy, A.E.; Amin, A.W.; Shokry, A.M. Diffusion-weighted imaging of the parotid gland: Can the apparent diffusion coefficient discrim- inate between normal and abnormal parotid gland tissues? Erciyes Med. J. 2017, 39, 125–130. [Google Scholar] [CrossRef][Green Version]
- Sumi, M.; Van Cauteren, M.; Sumi, T.; Obara, M.; Ichikawa, Y.; Nakamura, T. Salivary gland tumors: Use of intravoxel incoherent motion MR imaging for assessment of diffusion and perfusion for the differentiation of benign from malignant tumors. Radiology 2012, 263, 770–777. [Google Scholar] [CrossRef]



| Warthin Tumors | Pleomorphic Adenomas | Myoepitheliomas | Basal Cell Adenomas | ||
|---|---|---|---|---|---|
| Sex | Females | 17 | 19 | 3 | 2 |
| Males | 14 | 8 | 0 | 1 | |
| Total number of lesions | 31 | 27 | 3 | 3 | |
| Mean BMI | Females | 29.2 | 26.3 | 25.3 | 24.9 |
| Males | 32.4 | 23.7 | - | 26.5 | |
| Side | Right | 15 | 18 | - | 1 |
| Left | 16 | 9 | 3 | 2 | |
| Location | Superficial lobe | 25 | 15 | - | 2 |
| Deep lobe | 6 | 10 | 3 | - | |
| Accessory lobe | - | 2 | - | 1 | |
| Size * (mm) | Females | 17 | 17 | 38 | 8 |
| Males | 20 | 15 | - | 19 | |
| Lymphadenopathy | Females | 6 | 1 | 1 | 1 |
| Males | 7 | 2 | - | 1 | |
| Facial nerve palsy | Females | 0 | 0 | 0 | 0 |
| Males | 0 | 1 (post-operative) | 0 | 0 | |
| Sequence | Orientation | TR (ms) | TE (ms) | SL/SPC | FOV | Matrix |
|---|---|---|---|---|---|---|
| T2 Blade | Sagittal | 4070 | 144 | 3.0/3.6 | 250∗250 | 320∗320 |
| T2 TIRM | Coronal | 6000 | 100 | 3.0/3.6 | 229∗271 | 540∗640 |
| T1 TSE | Transverse | 555 | 11 | 3.0/3.6 | 195∗240 | 416∗512 |
| T2 TSE DIXON | Transverse | 3050 | 75 | 3.5/4.0 | 218∗240 | 442∗608 |
| ep2d_DWI | Transverse | 8130 | 65 | 4.0 | 236∗250 | 208∗220 |
| ep2d_DWI ADC | Transverse | 8130 | 65 | 4.0 | 236∗250 | 208∗220 |
| T1 Vibe DIXON | Transverse | 7.7 | 2.4 | 1.0i | 189∗220 | 163∗224 |
| T1 Vibe CM Dyn 1–36 | Transverse | 4.2 | 1.6 | 3.5i | 260∗260 | 154∗192 |
| T1 Vibe DIXON CM | Transverse | 7.7 | 2.4 | 1.0i | 189∗220 | 163∗224 |
| IVIM | Permeability | ||||||||
|---|---|---|---|---|---|---|---|---|---|
| D | D* | FP | ROI | Ktrans | Kep | Ve | iAUC | ROI | |
| ICC | 0.963 | 0.827 | 0.925 | 0.997 | 0.963 | 0.990 | 0.940 | 0.967 | 0.995 |
| 95% CI | 0.957–0.984 | 0.715–0.895 | 0.876–0.955 | 0.995–0.998 | 0.940–0.978 | 0.984–0.994 | 0.901–0.963 | 0.946–0.980 | 0.991–0.998 |
| Warthin Tumors | Pleomorphic Adenomas | Contralateral Parotid | |||||
|---|---|---|---|---|---|---|---|
| Magnetic Resonance Parameters | Median | Interquartile Range | Median | Interquartile Range | Median | Interquartile Range | |
| ADC 10−3 mm2/s | 0.68 | 0.1 | 1.32 | 0.25 | 0.84 | 0.21 | |
| IVIM | D 10−3 mm2/s | 0.63 | 0.17 | 1.19 | 0.53 | 0.71 | 0.12 |
| D*10−3 mm2/s | 135.9 | 145.5 | 47.05 | 20.7 | 117.76 | 41.89 | |
| FP % | 24.8 | 8.5 | 34.4 | 14.5 | 23.6 | 8.3 | |
| Permeability | Ktrans min−1 | 0.41 | 0.29 | 0.17 | 0.34 | 0.13 | 0.14 |
| Kep min−1 | 2.49 | 1.04 | 0.31 | 0.81 | 1.22 | 0.49 | |
| Ve | 0.16 | 0.1 | 0.62 | 0.76 | 0.12 | 0.09 | |
| iAUC | 0.27 | 0.11 | 0.24 | 0.38 | 0.14 | 0.15 | |
| No of lesions | No of lesions | ||||||
| TIC | Type A | 0 | 19 | ||||
| Type B | 29 | 1 | |||||
| Type C | 2 | 7 | |||||
| Sample 1/Sample 2 | Pleomorphic Adenomas vs. Warthin Tumors | Pleomorphic Adenomas vs. Healthy Parotids | Warthin Tumors vs. Healthy Parotids | |
|---|---|---|---|---|
| ADC | <0.001 | <0.001 | <0.001 | |
| IVIM | D | <0.001 | <0.001 | 0.049 |
| D* | <0.001 | <0.001 | 0.922 | |
| FP | <0.001 | <0.001 | 0.52 | |
| Permeability | Ktrans | 0.004 | 0.042 | <0.001 |
| Kep | <0.001 | <0.001 | <0.001 | |
| Ve | <0.001 | <0.001 | 0.004 | |
| iAUC | 0.319 | <0.001 | <0.001 | |
| Sensitivity % | 95% CI | Specificity % | 95% CI | PPV % | 95% CI | NPV % | 95% CI | Accuracy % | 95% CI | ||
|---|---|---|---|---|---|---|---|---|---|---|---|
| ADC | 88.9 | 79.8–97.7 | 100 | 88.8–100 | 100 | NA | 91.0 | 77.7–96.7 | 94.8 | 85.6–98.9 | |
| IVIM | D | 81.5 | 61.9–93.7 | 87.1 | 70.2–96.4 | 84.9 | 68.8–93.4 | 84.1 | 70.4–92.2 | 84.5 | 72.6–92.6 |
| D* | 85.2 | 66.3–95.8 | 70.9 | 52.0–85.8 | 72.24 | 59.5–82.2 | 84.4 | 68.0–93.2 | 77.7 | 64.8–87.5 | |
| FP | 48.2 | 28.7–68.1 | 93.6 | 78.6–99.2 | 86.9 | 62.1–96.4 | 67.1 | 58.3–74.8 | 72.2 | 58.9–83.2 | |
| Permeability | Ktrans | 44.4 | 25.5–64.7 | 100 | 88.8–100 | 100 | NA | 66.9 | 59.2–73.9 | 73.9 | 60.7–84.5 |
| Kep | 88.9 | 70.8–97.7 | 96.8 | 83.3–99.9 | 96.1 | 77.9–99.4 | 90.1 | 77.1–96.6 | 93.1 | 83.2–98.1 | |
| Ve | 85.2 | 66.3–95.8 | 100 | 88.8–100 | 100 | NA | 88.4 | 75.5–94.9 | 93.1 | 83.2–98.1 | |
| iAUC | NA | NA | NA | NA | NA | NA | NA | NA | NA | NA | |
Publisher’s Note: MDPI stays neutral with regard to jurisdictional claims in published maps and institutional affiliations. |
© 2022 by the authors. Licensee MDPI, Basel, Switzerland. This article is an open access article distributed under the terms and conditions of the Creative Commons Attribution (CC BY) license (https://creativecommons.org/licenses/by/4.0/).
Share and Cite
Markiet, K.; Glinska, A.; Nowicki, T.; Szurowska, E.; Mikaszewski, B. Feasibility of Intravoxel Incoherent Motion (IVIM) and Dynamic Contrast-Enhanced Magnetic Resonance Imaging (DCE-MRI) in Differentiation of Benign Parotid Gland Tumors. Biology 2022, 11, 399. https://doi.org/10.3390/biology11030399
Markiet K, Glinska A, Nowicki T, Szurowska E, Mikaszewski B. Feasibility of Intravoxel Incoherent Motion (IVIM) and Dynamic Contrast-Enhanced Magnetic Resonance Imaging (DCE-MRI) in Differentiation of Benign Parotid Gland Tumors. Biology. 2022; 11(3):399. https://doi.org/10.3390/biology11030399
Chicago/Turabian StyleMarkiet, Karolina, Anna Glinska, Tomasz Nowicki, Edyta Szurowska, and Boguslaw Mikaszewski. 2022. "Feasibility of Intravoxel Incoherent Motion (IVIM) and Dynamic Contrast-Enhanced Magnetic Resonance Imaging (DCE-MRI) in Differentiation of Benign Parotid Gland Tumors" Biology 11, no. 3: 399. https://doi.org/10.3390/biology11030399
APA StyleMarkiet, K., Glinska, A., Nowicki, T., Szurowska, E., & Mikaszewski, B. (2022). Feasibility of Intravoxel Incoherent Motion (IVIM) and Dynamic Contrast-Enhanced Magnetic Resonance Imaging (DCE-MRI) in Differentiation of Benign Parotid Gland Tumors. Biology, 11(3), 399. https://doi.org/10.3390/biology11030399

