Biomechanical Analysis on Skilled Badminton Players during Take-Off Phase in Forehand Overhead Strokes: A Pilot Study
Abstract
Simple Summary
Abstract
1. Introduction
2. Materials and Methods
2.1. Participants
2.2. Experimental Procedure
2.3. Statistical Analysis
3. Results
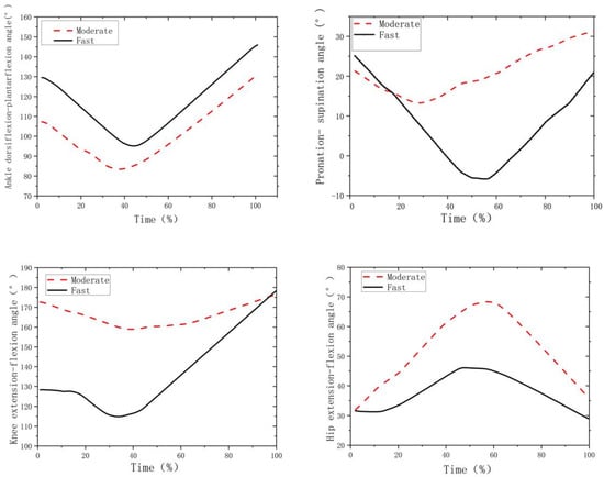
3.1. Joint Kinematics and GRF Variables
3.2. Joint Contact Force Variables
4. Discussion
4.1. GRF, Joint Kinematics and Contact Forces in Braking Phase (Initial Contact, Peak)
4.2. GRF, Joint Kinematics and Contact Forces in Propulsion Phase (Take-off, Min)
4.3. Experimental Limitation
5. Conclusions
Author Contributions
Funding
Institutional Review Board Statement
Informed Consent Statement
Data Availability Statement
Conflicts of Interest
References
- Phomsoupha, M.; Laffaye, G. The Science of Badminton: Game Characteristics, Anthropometry, Physiology, Visual Fitness and Biomechanics. Sports Med. 2015, 45, 473–495. [Google Scholar] [CrossRef] [PubMed]
- Faude, O.; Meyer, T.; Rosenberger, F.; Fries, M.; Huber, G.; Kindermann, W. Physiological characteristics of badminton match play. Eur. J. Appl. Physiol. 2007, 100, 479–485. [Google Scholar] [CrossRef] [PubMed]
- Li, D.; Gao, R.; Dong, L.; Lam, W.-K.; Zhang, F. A novel 3D re-entrant unit cell structure with negative Poisson’s ratio and tunable stiffness. Smart Mater Struct. 2020, 29, 6. [Google Scholar] [CrossRef]
- Kuntze, G.; Sellers, W.I.; Mansfield, N. Bilateral ground reaction forces and joint moments for lateral sidestepping and crossover stepping tasks. J. Sports Sci. Med. 2009, 8, 1–8. [Google Scholar]
- Kuntze, G.; Mansfield, N.; Sellers, W. A biomechanical analysis of common lunge tasks in badminton. J. Sports Sci. 2010, 28, 183–191. [Google Scholar] [CrossRef]
- Lam, W.K.; Ryue, J.; Lee, K.K.; Park, S.K.; Cheung, J.T.M.; Ryu, J. Does shoe heel design influence ground reaction forces and knee moments during maximum lunges in elite and intermediate badminton players? PLoS ONE 2017, 12, e0174604. [Google Scholar] [CrossRef]
- Lam, W.K.; Ding, R.; Qu, Y. Ground reaction forces and knee kinetics during single and repeated badminton lunges. J. Sports Sci. 2017, 35, 587–592. [Google Scholar] [CrossRef]
- Hong, Y.; Wang, S.J.; Lam, W.K.; Cheung, J.T.-M. Kinetics of Badminton Lunges in Four Directions. J. Appl. Biomech. 2014, 30, 113–118. [Google Scholar] [CrossRef]
- Zhang, Z.; Li, S.; Wan, B.; Visentin, P.; Jiang, Q.; Dyck, M.; Li, H.; Shan, G. The Influence of X-Factor (Trunk Rotation) and Experience on the Quality of the Badminton Forehand Smash. J. Hum. Kinet. 2016, 53, 9–22. [Google Scholar] [CrossRef]
- Taha, Z.; Hassan, M.S.S.; Yap, H.J.; Yeo, W.K. Preliminary Investigation of an Innovative Digital Motion Analysis Device for Badminton Athlete Performance Evaluation. In Engineering of Sport 11. Procedia Engineering; Jansen, A.J., Ed.; Elsevier Science Bv: Amsterdam, The Netherlands, 2016; Volume 147, pp. 461–465. [Google Scholar]
- Barnamehei, H.; Ghomsheh, F.T.; Cherati, A.S.; Pouladian, M. Upper Limb Neuromuscular Activities and Synergies Comparison between Elite and Nonelite Athletics in Badminton Overhead Forehand Smash. Appl. Bionics Biomech. 2018, 2018, 6067807. [Google Scholar] [CrossRef]
- Koike, S.; Hashiguchi, T. Dynamic contribution analysis of badminton-smash-motion with consideration of racket shaft deformation (a model consisted of racket-side upper limb and a racket). In Engineering of Sport 10. Procedia Engineering; James, D., Choppin, S., Allen, T., Wheat, J., Fleming, P., Eds.; Elsevier Science Bv: Amsterdam, The Netherlands, 2014; Volume 72, pp. 496–501. [Google Scholar]
- Engebretsen, L.; Soligard, T.; Steffen, K.; Alonso, J.M.; Aubry, M.; Budgett, R.; Dvorak, J.; Jegathesan, M.; Meeuwisse, W.H.; Mountjoy, M.; et al. Sports injuries and illnesses during the London Summer Olympic Games 2012. Br. J. Sports Med. 2013, 47, 407–414. [Google Scholar] [CrossRef] [PubMed]
- Hewett, T.E.; Myer, G.D.; Ford, K.R.; Heidt, R.S., Jr.; Colosimo, A.J.; McLean, S.G.; Van Den Bogert, A.J.; Paterno, M.V.; Succop, P. Biomechanical Measures of Neuromuscular Control and Valgus Loading of the Knee Predict Anterior Cruciate Ligament Injury Risk in Female Athletes: A Prospective Study. Am. J. Sports Med. 2005, 33, 492–501. [Google Scholar] [CrossRef]
- Shariff, A.H.; George, J.; Ramlan, A.A. Musculoskeletal injuries among Malaysian badminton players. Singap. Med. J. 2009, 50, 1095–1097. [Google Scholar]
- Goh, S.L.; Mokhtar, A.H.; Ali, M.R.M. Badminton injuries in youth competitive players. J. Sports Med. Phys. Fit. 2013, 53, 65–70. [Google Scholar]
- Lin, C.-F.; Hua, S.-H.; Huang, M.-T.; Lee, H.-H.; Liao, J.-C. Biomechanical analysis of knee and trunk in badminton players with and without knee pain during backhand diagonal lunges. J. Sports Sci. 2015, 33, 1429–1439. [Google Scholar] [CrossRef] [PubMed]
- Herbaut, A.; Delannoy, J.; Foissac, M. Injuries in French and Chinese regular badminton players. Sci. Sports 2018, 33, 145–151. [Google Scholar] [CrossRef]
- Kimura, Y.; Ishibashi, Y.; Tsuda, E.; Yamamoto, Y.; Tsukada, H.; Toh, S. Mechanisms for anterior cruciate ligament injuries in badminton. Br. J. Sports Med. 2010, 44, 1124–1127. [Google Scholar] [CrossRef]
- Sasaki, S.; Nagano, Y.; Ichikawa, H. Loading differences in single-leg landing in the forehand- and backhand-side courts after an overhead stroke in badminton: A novel tri-axial accelerometer research. J. Sports Sci. 2018, 36, 2794–2801. [Google Scholar] [CrossRef]
- Mei, Q.; Gu, Y.; Fu, F.; Fernandez, J. A biomechanical investigation of right-forward lunging step among badminton players. J. Sports Sci. 2017, 35, 457–462. [Google Scholar] [CrossRef]
- Nielsen, M.H.; Lund, J.N.; Lam, W.-K.; Kersting, U.G. Differences in impact characteristics, joint kinetics and measurement reliability between forehand and backhand forward badminton lunges. Sports Biomech. 2020, 19, 547–560. [Google Scholar] [CrossRef]
- Lam, W.-K.; Lee, K.-K.; Park, S.-K.; Ryue, J.; Yoon, S.; Ryu, J. Understanding the impact loading characteristics of a badminton lunge among badminton players. PLoS ONE 2018, 13, e0205800. [Google Scholar] [CrossRef] [PubMed]
- Kimura, Y.; Ishibashi, Y.; Tsuda, E.; Yamamoto, Y.; Hayashi, Y.; Sato, S. Increased knee valgus alignment and moment during single-leg landing after overhead stroke as a potential risk factor of anterior cruciate ligament injury in badminton. Br. J. Sports Med. 2012, 46, 207–213. [Google Scholar] [CrossRef] [PubMed]
- Park, S.-K.; Lam, W.K.; Yoon, S.; Lee, K.-K.; Ryu, J. Effects of forefoot bending stiffness of badminton shoes on agility, comfort perception and lower leg kinematics during typical badminton movements. Sports Biomech. 2017, 16, 374–386. [Google Scholar] [CrossRef] [PubMed]
- Walter, J.P.; D’Lima, D.D.; Colwell, C.W.; Fregly, B.J., Jr. Decreased knee adduction moment does not guarantee decreased medial contact force during gait. J. Orthop. Res. 2010, 28, 1348–1354. [Google Scholar] [CrossRef]
- Winter, D. Biomechanics and Motor Control of Human Movement, 4th ed.; John Wiley & Sons: Hoboken, NJ, USA, 2009. [Google Scholar] [CrossRef]
- Wang, X.; Ma, Y.; Hou, B.Y.; Lam, W.-K. Influence of Gait Speeds on Contact Forces of Lower Limbs. J. Health Eng. 2017, 2017, 6375976. [Google Scholar] [CrossRef]
- Lam, W.-K.; Jia, S.-W.; Baker, J.S.; Ugbolue, U.C.; Gu, Y.; Sun, W. Effect of consecutive jumping trials on metatarsophalangeal, ankle, and knee biomechanics during take-off and landing. Eur. J. Sport Sci. 2020, 21, 53–60. [Google Scholar] [CrossRef]
- Zhao, T.Y.; Ma, Y.; Zhang, H.Y.; Pan, H.G.; Cai, Y. Free vibration analysis of a rotating graphene nanoplatelet reinforced pre-twist blade-disk assembly with a setting angle. Appl. Math. Model. 2021, 93, 578–596. [Google Scholar] [CrossRef]
- Zhao, T.; Li, K.; Ma, H. Study on dynamic characteristics of a rotating cylindrical shell with uncertain parameters. Anal. Math. Phys. 2022, 12, 97. [Google Scholar] [CrossRef]
- Zhao, T.Y.; Jiang, L.P.; Pan, H.G.; Yang, J.; Kitipornchai, S. Coupled free vibration of a functionally graded pre-twisted blade-shaft system reinforced with graphene nanoplatelets. Compos. Struct. 2021, 262, 113362. [Google Scholar] [CrossRef]
- Zhao, T.Y.; Cui, Y.S.; Pan, H.G.; Yuan, H.Q.; Yang, J. Free vibration analysis of a functionally graded graphene nanoplatelet reinforced disk-shaft assembly with whirl motion. Int. J. Mech. Sci. 2021, 197, 106335. [Google Scholar] [CrossRef]
- Zhao, T.Y.; Yan, K.; Li, H.W.; Wang, X. Study on theoretical modeling and vibration performance of an assembled cylindrical shell-plate structure with whirl motion. Appl. Math. Model. 2022, 110, 618–632. [Google Scholar] [CrossRef]
- Damsgaard, M.; Rasmussen, J.; Christensen, S.T.; Surma, E.; de Zee, M. Analysis of musculoskeletal systems in the AnyBody Modeling System. Simul. Model. Pract. Theory 2006, 14, 1100–1111. [Google Scholar] [CrossRef]
- Chen, T.L.-W.; Wang, Y.; Wong, D.W.-C.; Lam, W.-K.; Zhang, M. Joint contact force and movement deceleration among badminton forward lunges: A musculoskeletal modelling study. Sports Biomech. 2020, 1–13. [Google Scholar] [CrossRef] [PubMed]
- Jurkojć, J.; Michnik, R.; Czapla, K. Mathematical modelling as a tool to assessment of loads in volleyball player’s shoulder joint during spike. J. Sports Sci. 2017, 35, 1179–1186. [Google Scholar] [CrossRef]
- Quan, W.; Ren, F.; Sun, D.; Fekete, G.; He, Y. Do novice runners show greater changes in biomechanical parameters? Appl. Bionics Biomech. 2021, 2021, 8894636. [Google Scholar] [CrossRef]
- Greene, B.R.; McGrath, D.; O’Neill, R.; O’Donovan, K.J.; Burns, A.; Caulfield, B. An adaptive gyroscope-based algorithm for temporal gait analysis. Med. Biol. Eng. Comput. 2010, 48, 1251–1260. [Google Scholar] [CrossRef]
- Doherty, C.; Bleakley, C.; Hertel, J.; Caulfield, B.; Ryan, J.; Delahunt, E. Single-leg drop landing motor control strategies following acute ankle sprain injury. Scand. J. Med. Sci. Sports 2015, 25, 525–533. [Google Scholar] [CrossRef]
- Dupré, T.; Funken, J.; Muller, R.; Mortensen, K.R.L.; Lysdal, F.G.; Braun, M.; Krahl, H.; Potthast, W. Does inside passing contribute to the high incidence of groin injuries in soccer? A biomechanical analysis. J. Sports Sci. 2018, 36, 1827–1835. [Google Scholar] [CrossRef]
- Shiming, L.; Zhao, Z.; Bingjun, W.; Brandie, W.; Gongbing, S. The relevance of body positioning and its training effect on badminton smash. J. Sports Sci. 2017, 35, 310–316. [Google Scholar]
- Cronin, J.; McNair, P.J.; Marshall, R. Lunge performance and its determinants. J. Sports Sci. 2003, 21, 49–57. [Google Scholar] [CrossRef]
- Wang, Y.; Niu, W.; He, Y.; Pei, B.Q.; Fan, Y.B. Experimental study on the half-squat parachute landing for drivingand validating the inverse dynamic simulation. J. Med. Biomech. 2010, 25, 257–261+72. (In Chinese) [Google Scholar]
- Yu, B.; Lin, C.-F.; Garrett, W.E. Lower extremity biomechanics during the landing of a stop-jump task. Clin. Biomech. 2006, 21, 297–305. [Google Scholar] [CrossRef]
- Lin, P.E.; Sigward, S.M. Contributors to knee loading deficits during gait in individuals following anterior cruciate ligament reconstruction. Gait Posture 2018, 66, 83–87. [Google Scholar] [CrossRef] [PubMed]
- Hunt, K.J.; Goeb, Y.; Behn, A.W.; Criswell, B.; Chou, L. Ankle Joint Contact Loads and Displacement with Progressive Syndesmotic Injury. Foot Ankle Int. 2015, 36, 1095–1103. [Google Scholar] [CrossRef] [PubMed]
- Williams, D.S.; McClay, I.S.; Hamill, J.; Buchanan, T.S. Lower Extremity Kinematic and Kinetic Differences in Runners with High and Low Arches. J. Appl. Biomech. 2001, 17, 153–163. [Google Scholar] [CrossRef]
- Donoghue, O.A.; Harrison, A.J.; Coffey, N.; Hayes, K. Functional Data Analysis of Running Kinematics in Chronic Achilles Tendon Injury. Med. Sci. Sports Exerc. 2008, 40, 1323–1335. [Google Scholar] [CrossRef]
- Gruber, A.H.; Derrick, T.R.; Hamill, J. Impact Shock Attenuation is Increased with Rearfoot Running Compared to Forefoot Running. Med. Sci. Sports Exerc. 2012, 44, 772–773. [Google Scholar]
- Caruntu, D.I.; Moreno, R. Human Knee Inverse Dynamics Model of Vertical Jump Exercise. J. Comput. Nonlinear Dyn. 2019, 14, 12. [Google Scholar] [CrossRef]
- Liu, W.G.; Liu, X.Z.; Li, Q. Dynamic Analysis of Different Forms of Vertical Jump in Ordinary Crowd. J. Beijing Univ. Phys. Educ. 2003, 26, 45–47+79. (In Chinese) [Google Scholar]
- Janicijevic, D.; Knezevic, O.M.; Mirkov, D.M.; Pérez-Castilla, A.; Petrovic, M.; Samozino, P.; García-Ramos, A. The force–velocity relationship obtained during the squat jump exercise is meaningfully influenced by the initial knee angle. Sports Biomech. 2020, 9, 1136–1145. [Google Scholar] [CrossRef]




| Variable | Event | Fast | Moderate | Cohen’s d |
|---|---|---|---|---|
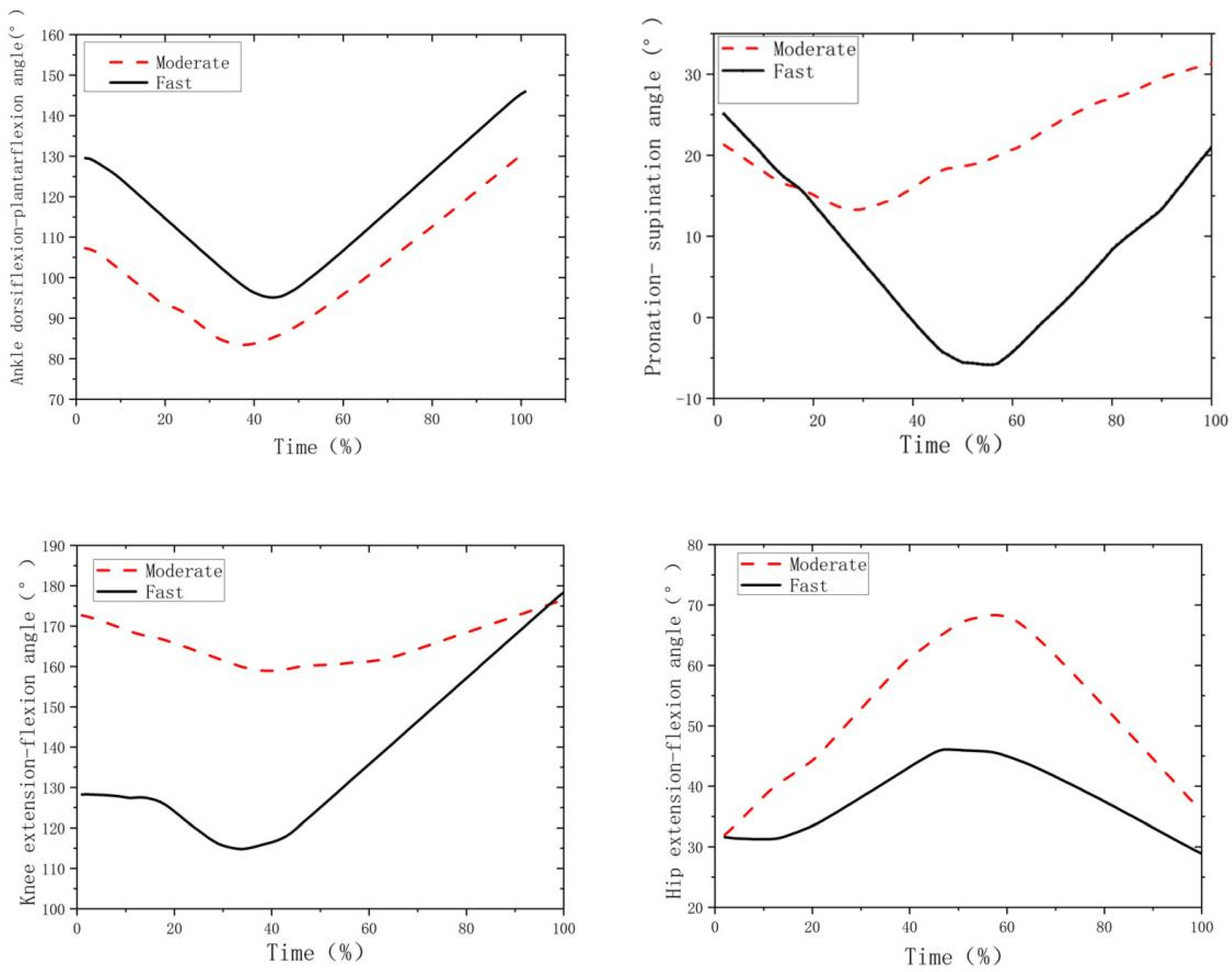
| Ankle dorsiflexion–plantarflexion angle | Initial contact | 128.26 ± 5.38 ** | 107.30 ± 2.83 | 4.87 |
| Min | 94.30 ± 1.77 ** | 81.61 ± 3.77 | 4.30 | |
| Take-off | 145.95 ± 4.45 ** | 131.15 ± 6.26 | 2.72 | |
| Pronation–supination angle | Initial contact | 25.11 ± 6.15 | 21.32 ± 5.30 | 0.66 |
| Min | −5.86 ± 3.39 ** | 13.29 ± 2.54 | 6.39 | |
| Take-off | 21.62 ± 4.21 * | 31.39 ± 4.62 | 2.21 | |
| Knee extension–flexion angle | Initial contactMinTake-off | 128.26 ± 5.38 ** | 172.70 ± 4.65 | 8.83 |
| 114.78 ± 11.21 ** | 159.13 ± 9.14 | 4.33 | ||
| 178.37 ± 1.24 | 176.6 ± 1.05 | 1.54 | ||
| Hip extension–flexion angle | Initial contactPeakTake-off | 31.61 ± 5.05 | 32.00 ± 3.52 | 0.08 |
| 46.09 ± 6.38 ** | 68.32 ± 3.21 | 4.40 | ||
| 28.5 ± 6.76 ** | 34.89 ± 3.22 | 1.20 |
| Variable | Event | Fast | Moderate | Cohen’s d |
|---|---|---|---|---|
| Mean | Mean | |||
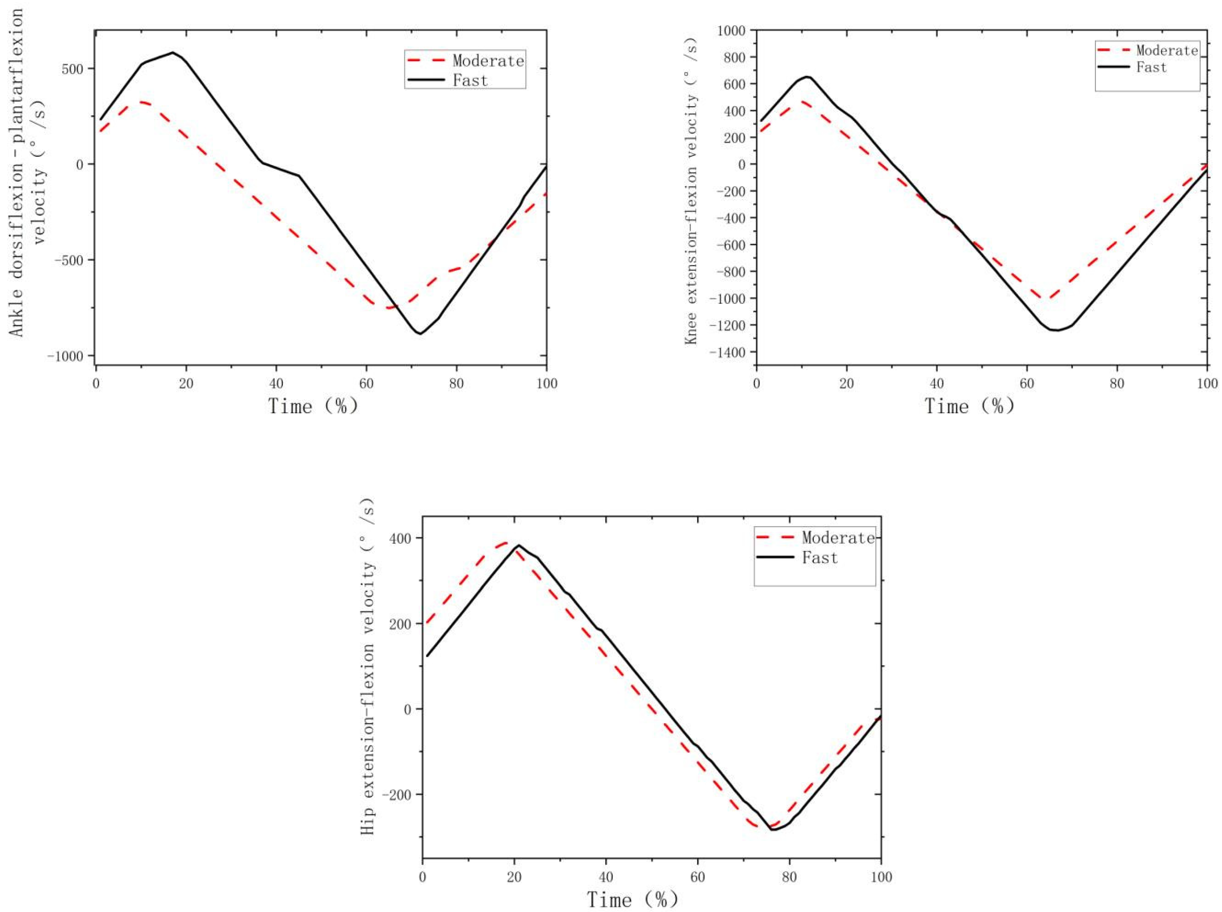
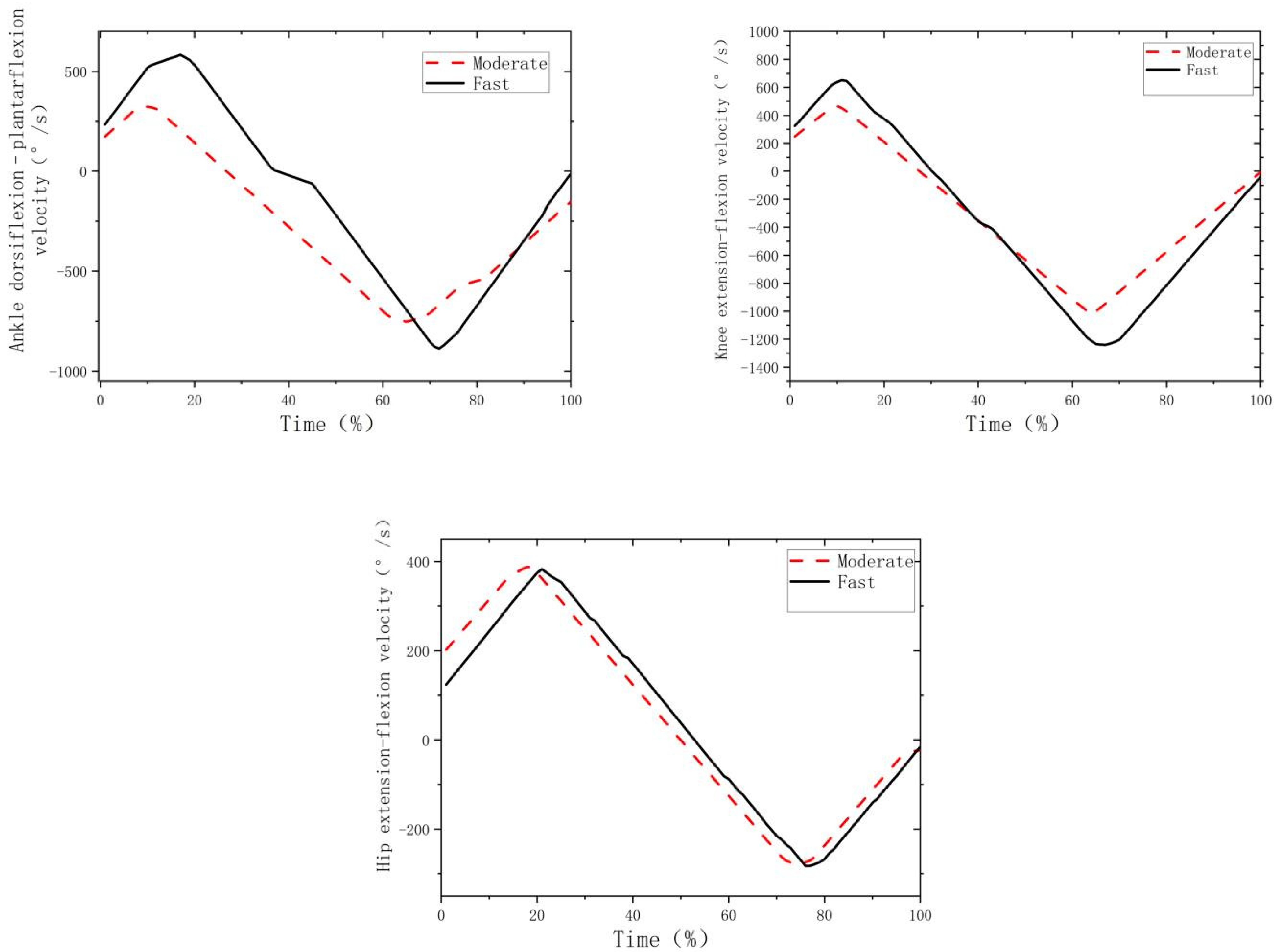
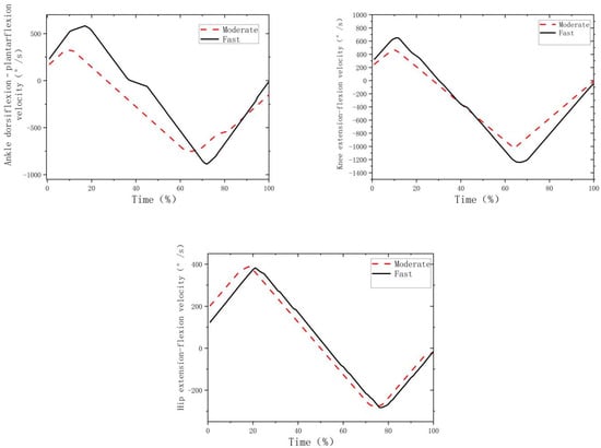
| Ankle dorsiflexion–plantarflexion velocity | Initial contact | 233.80 ± 40.74 | 173.59 ± 52.57 | 1.28 |
| Peak | 582.02 ± 177.225 ** | 323.24 ± 6.19 | 2.06 | |
| Min | −886.967 ± 104.937 * | −752.22 ± 45.375 | 1.66 | |
| Knee extension–flexion velocity | Initial contact | 324.09 ± 44.23 * | 248.16 ± 23.38 | 2.14 |
| Peak | 651.08 ± 89.71 ** | 465.78 ± 19.85 | 2.85 | |
| Min | −1240.31 ± 75.98 ** | −1016.00 ± 49.58 | 3.49 | |
| Hip extension–flexion velocity | Initial contact | 123.93 ± 24.28 ** | 202.36 ± 27.06 | 3.05 |
| Peak | 382.44 ± 35.69 | 387.79 ± 48.99 | 0.12 | |
| Min | −282.81 ± 46.49 | −277.34 ± 57.57 | 0.10 |
| Variable | Event | Fast | Moderate | Cohen’s d |
|---|---|---|---|---|
| Vertical GRF | First peak | 2.16 ± 0.14 ** | 1.59 ± 0.17 | 3.66 |
| Valley | 1.49 ± 0.06 | 1.32 ± 0.11 | 1.91 | |
| Second peak | 2.29 ± 0.03 ** | 1.87 ± 0.05 | 10.18 | |
| Horizontal GRF | First peak | 1.54 ± 0.21 ** | 1.43 ± 0.29 | 0.43 |
| Valley | 1.26 ± 0.20 | 1.14 ± 0.17 | 0.64 | |
| Second peak | 1.18 ± 0.24 ** | 1.45 ± 0.14 | 1.37 |
| Variable | Event | Fast | Moderate | Cohen’s d |
|---|---|---|---|---|
| Ankle medial–lateral force | Peak | 1.99 ± 0.34 ** | 1.68 ± 3.95 | 0.11 |
| Ankle proximal–distal force | Peak | −11.46 ± 0.48 ** | −9.83 ± 0.13 | 4.63 |
| Knee medial–lateral force | Peak | 2.23 ± 0.05 ** | 2.05 ± 0.05 | 3.6 |
| Knee proximal–distal force | First peak | −7.70 ± 0.64 ** | −7.49 ± 0.26 | 0.42 |
| Valley | −7.68 ± 0.26 ** | −7.16 ± 0.18 | 2.32 | |
| Second peak | −7.94 ± 0.79 ** | −7.23 ± 0.47 | 1.09 | |
| Hip medial–lateral force | Peak | 2.04 ± 0.20 | 2.21 ± 0.13 | 1.00 |
| Hip proximal–distal force | First peak | −7.86 ± 0.15 ** | −6.02 ± 0.18 | 11.10 |
| Valley | −6.81 ± 0.86 ** | −5.50 ± 0.56 | 1.80 | |
| Second peak | −7.48 ± 0.24 | −7.66 ± 0.21 | 0.79 |
Publisher’s Note: MDPI stays neutral with regard to jurisdictional claims in published maps and institutional affiliations. |
© 2022 by the authors. Licensee MDPI, Basel, Switzerland. This article is an open access article distributed under the terms and conditions of the Creative Commons Attribution (CC BY) license (https://creativecommons.org/licenses/by/4.0/).
Share and Cite
Cui, X.; Lam, W.K.; Gao, Q.; Wang, X.; Zhao, T. Biomechanical Analysis on Skilled Badminton Players during Take-Off Phase in Forehand Overhead Strokes: A Pilot Study. Biology 2022, 11, 1401. https://doi.org/10.3390/biology11101401
Cui X, Lam WK, Gao Q, Wang X, Zhao T. Biomechanical Analysis on Skilled Badminton Players during Take-Off Phase in Forehand Overhead Strokes: A Pilot Study. Biology. 2022; 11(10):1401. https://doi.org/10.3390/biology11101401
Chicago/Turabian StyleCui, Xinze, Wing Kai Lam, Qiang Gao, Xin Wang, and Tianyu Zhao. 2022. "Biomechanical Analysis on Skilled Badminton Players during Take-Off Phase in Forehand Overhead Strokes: A Pilot Study" Biology 11, no. 10: 1401. https://doi.org/10.3390/biology11101401
APA StyleCui, X., Lam, W. K., Gao, Q., Wang, X., & Zhao, T. (2022). Biomechanical Analysis on Skilled Badminton Players during Take-Off Phase in Forehand Overhead Strokes: A Pilot Study. Biology, 11(10), 1401. https://doi.org/10.3390/biology11101401

