Trade-Off Between Growth Regimes in Chlorella vulgaris: Impact on Carotenoid Production
Abstract
1. Introduction
2. Material and Methods
2.1. Chemicals
2.2. Microalgae Culture and Biomass Production
2.3. Experimental Setup and Kinetic Parameters
2.4. Measurement of Biomass
2.5. Carotenoids Profile
2.6. Evaluation of Energy Requirements for an Industrial Trade-Off in Microalgal-Based Pigments Production
2.7. Statistical Analysis
3. Results
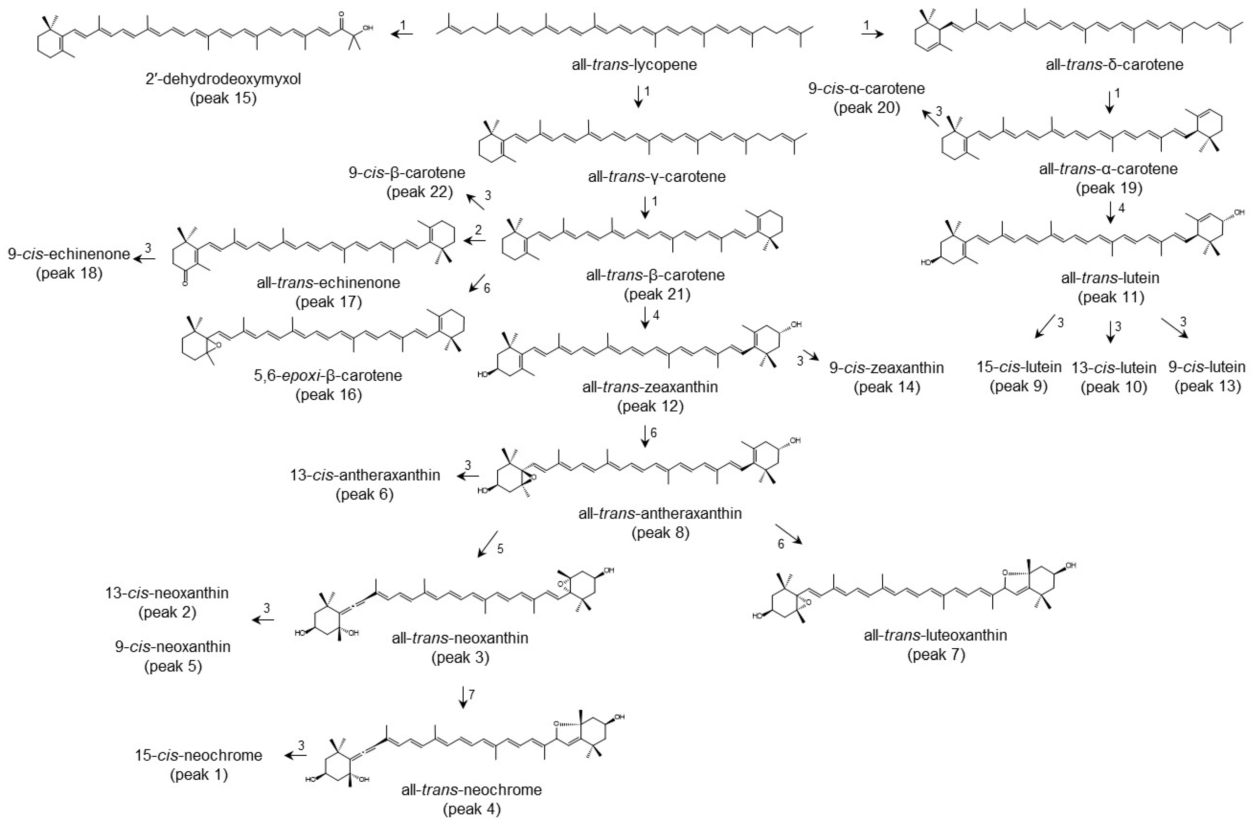
3.1. Identification of the Carotenoid Profile in All Growth Regimes
3.2. Determination of the Carotenoid Profile During Phototrophic Regime Growth
3.3. Determination of the Carotenoid Profile During Heterotrophic Regime Growth
3.4. Growth Curve Performance and Industrial Trade-Off in Microalgal-Based Pigment Production
4. Discussion
5. Conclusions
6. Future Perspectives
Author Contributions
Funding
Informed Consent Statement
Data Availability Statement
Conflicts of Interest
References
- Zhou, L.; Li, K.; Duan, X.; Hill, D.; Barrow, C.; Dunshea, F.; Suleria, H. Bioactive compounds in microalgae and their potential health benefits. Food Biosci. 2022, 49, 101932. [Google Scholar] [CrossRef]
- Gebregziabher, B.S.; Gebremeskel, H.; Debesa, B.; Ayalneh, D.; Mitiku, T.; Wendwessen, T.; Habtemariam, E.; Nur, S.; Getachew, T. Carotenoids: Dietary sources, health functions, biofortification, marketing trend and affecting factors—A review. J. Agric. Food Res. 2023, 14, 100834. [Google Scholar] [CrossRef]
- Pessoa JD, S.; de Oliveira CF, M.; Mena-Chalco, J.P.; de Carvalho JC, M.; Ferreira-Camargo, L.S. Trends on Chlamydomonas reinhardtii growth regimes and bioproducts. Biotechnol. Appl. Biochem. 2023, 70, 1830–1842. [Google Scholar] [CrossRef] [PubMed]
- Fernandes, A.S.; Caetano, P.A.; Jacob-Lopes, E.; Zepka, L.Q.; de Rosso, V.V. Alternative green solvents associated with ultrasound-assisted extraction: A green chemistry approach for the extraction of carotenoids and chlorophylls from microalgae. Food Chem. 2024, 455, 139939. [Google Scholar] [CrossRef] [PubMed]
- Bufka, J.; Lenka, V.; Josef, S.; Věra, K. Exploring carotenoids: Metabolism, antioxidants, and impacts on human health. J. Funct. Foods 2024, 118, 106284. [Google Scholar] [CrossRef]
- Sun, H.; Wang, Y.; He, Y.; Liu, B.; Mou, H.; Chen, F.; Yang, S. Microalgae-derived pigments for the food industry. Mar. Drugs 2023, 21, 82. [Google Scholar] [CrossRef]
- Market Research Reports. 2023. Available online: https://www.marketsandmarkets.com/Market-Reports/algae-product-market-250538721.html (accessed on 1 January 2023).
- Gohara-Beirigo, A.K.; Matsudo, M.C.; Cezare-Gomes, E.A.; de Carvalho JC, M.; Danesi, E.D.G. Microalgae trends toward functional staple food incorporation: Sustainable alternative for human health improvement. Trends Food Sci. Technol. 2022, 125, 185–199. [Google Scholar] [CrossRef]
- Thiviyanathan, V.A.; Ker, P.J.; Tang SG, H.; Amin, E.P.; Yee, W.; Hannan, M.A.; Jamaludin, Z.; Nghiem, L.D.; Mahlia, T.M.I. Microalgae biomass and biomolecule quantification: Optical techniques, challenges and prospects. Renew. Sustain. Energy Rev. 2024, 189, 113926. [Google Scholar] [CrossRef]
- Jiang, M.; Nakano, S.I. New insights into the stoichiometric regulation of carotenoid production in Chlorella vulgaris. Bioresour. Technol. Rep. 2022, 20, 101227. [Google Scholar] [CrossRef]
- Cai, Y.; Liu, Y.; Liu, T.; Gao, K.; Zhang, Q.; Cao, L.; Wang, Y.; Wu, X.; Zheng, H.; Ruan, R. Heterotrophic cultivation of Chlorella vulgaris using broken rice hydrolysate as carbon source for biomass and pigment production. Bioresour. Technol. 2021, 323, 124607. [Google Scholar] [CrossRef]
- Akepach, P.; Ribeiro-Filho, N.; Wattanakul, J.; Darwish, R.; Gedi, M.A.; Gray, D.A. Bioaccessibility of carotenoids (β-carotene and lutein) from intact and disrupted microalgae (Chlamydomonas reinhardtii). LWT 2022, 160, 113292. [Google Scholar] [CrossRef]
- Nass, P.P.; do Nascimento, T.C.; Fernandes, A.S.; Caetano, P.A.; de Rosso, V.V.; Jacob-Lopes, E.; Zepka, L.Q. Guidance for formulating ingredients/products from Chlorella vulgaris and Arthrospira platensis considering carotenoid and chlorophyll bioaccessibility and cellular uptake. Food Res. Int. 2022, 157, 111469. [Google Scholar] [CrossRef] [PubMed]
- Masojídek, J.; Ranglová, K.; Rearte, T.A.; Plá, P.S.C.; Torzillo, G.; Benavides, A.M.S.; Neori, A.; Gómez, C.; Álvarez-Gómez, F.; Lukeš, M.; et al. Changes in photosynthesis, growth and biomass composition in outdoor Chlorella g120 culture during the metabolic shift from heterotrophic to phototrophic cultivation regime. Algal Res. 2021, 56, 102303. [Google Scholar] [CrossRef]
- Cao, Y.; Yang, S.; Wang, J.; Kong, W.; Guo, B.; Xi, Y.; Zhang, A.; Yue, B. Metabolomic exploration of the physiological regulatory mechanism of the growth and metabolism characteristics of Chlorella vulgaris under photoautotrophic, mixotrophic, and heterotrophic cultivation conditions. Biomass Bioenergy 2023, 173, 106775. [Google Scholar] [CrossRef]
- Pérez-Gálvez, A.; Fontecha, J. Analytical protocols in carotenoid analysis. In Pigments from Microalgae Handbook; Springer: Cham, Switzerland, 2020; pp. 151–178. [Google Scholar] [CrossRef]
- Rippka, R.; Deruelles, J.; Waterbury, J.B.; Herdman, M.; Stanier, R.Y. Generic assignments, strain histories and properties of pure cultures of cyanobacteria. Microbiology 1979, 111, 1–61. [Google Scholar] [CrossRef]
- Maroneze, M.M.; Deprá, M.C.; Zepka, L.Q.; Jacob-Lopes, E. Artificial lighting strategies in photobioreactors for bioenergy production by Scenedesmus obliquus CPCC05. SN Appl. Sci. 2019, 1, 1–12. [Google Scholar] [CrossRef]
- Francisco, É.C.; Franco, T.T.; Wagner, R.; Jacob-Lopes, E. Assessment of different carbohydrates as exogenous carbon source in cultivation of cyanobacteria. Bioprocess Biosyst. Eng. 2014, 37, 1497–1505. [Google Scholar] [CrossRef]
- Giuffrida, D.; Zoccali, M.; Giofre, S.V.; Dugo, P.; Mondello, L. Apocarotenoids determination in Capsicum chinense Jacq, cv. Habanero, by supercritical fluid chromatography-triple-quadrupole/mass spectrometry. Food Chem. 2017, 231, 316–323. [Google Scholar] [CrossRef]
- Santos, A.M.; Deprá, M.C.; Santos, A.M.; Zepka, L.Q.; Jacob-Lopes, E. Aeration energy requirements in microalgal heterotrophic bioreactors applied to agroindustrial wastewater treatment. Curr. Biotechnol. 2016, 5, 249–254. [Google Scholar] [CrossRef]
- Deprá, M.C.; Severo, I.A.; dos Santos, A.M.; Zepka, L.Q.; Jacob-Lopes, E. Environmental impacts on commercial microalgae-based products: Sustainability metrics and indicators. Algal Res. 2020, 51, 102056. [Google Scholar] [CrossRef]
- Patias, L.D.; Fernandes, A.S.; Petry, F.C.; Mercadante, A.Z.; Jacob-Lopes, E.; Zepka, L.Q. Carotenoid profile of three microalgae/cyanobacteria species with peroxyl radical scavenger capacity. Food Res. Int. 2017, 100, 260–266. [Google Scholar] [CrossRef] [PubMed]
- Maroneze, M.M.; Jacob-Lopes, E.; Zepka, L.Q.; Roca, M.; Pérez-Gálvez, A. Esterified carotenoids as new food components in cyanobacteria. Food Chem. 2019, 287, 295–302. [Google Scholar] [CrossRef] [PubMed]
- Fernandes, A.S.; Petry, F.C.; Mercadante, A.Z.; Jacob-Lopes, E.; Zepka, L.Q. HPLC-PDA-MS/MS as a strategy to characterize and quantify natural pigments from microalgae. Curr. Res. Food Sci. 2020, 3, 100–112. [Google Scholar] [CrossRef]
- Fernandes, A.S.; Nascimento, T.C.; Pinheiro, P.N.; Vendruscolo, R.G.; Wagner, R.; de Rosso, V.V.; Jacob-Lopes, E.; Zepka, L.Q. Bioaccessibility of microalgae-based carotenoids and their association with the lipid matrix. Food Res. Int. 2021, 148, 110596. [Google Scholar] [CrossRef]
- Nascimento, T.C.D.; Pinheiro, P.N.; Fernandes, A.S.; Murador, D.C.; Neves, B.V.; de Menezes, C.R.; de Rosso, V.V.; Jacob-Lopes, E.; Zepka, L.Q. Bioaccessibility and intestinal uptake of carotenoids from microalgae Scenedesmus obliquus. LWT 2021, 140, 110780. [Google Scholar] [CrossRef]
- Paliwal, C.; Ghosh, T.; George, B.; Pancha, I.; Maurya, R.; Chokshi, K.; Ghosh, A.; Mishra, S. Microalgal carotenoids: Potential nutraceutical compounds with chemotaxonomic importance. Algal Res. 2016, 15, 24–31. [Google Scholar] [CrossRef]
- Rodrigues, E.; Mariutti, L.R.; Chisté, R.C.; Mercadante, A.Z. Development of a novel micro-assay for evaluation of peroxyl radical scavenger capacity: Application to carotenoids and structure–activity relationship. Food Chem. 2012, 135, 2103–2111. [Google Scholar] [CrossRef]
- Chang, C.S.; Chang, C.L.; Lai, G.H. Reactive oxygen species scavenging activities in a chemiluminescence model and neuroprotection in rat pheochromocytoma cells by astaxanthin, beta-carotene, and canthaxanthin. Kaohsiung J. Med. Sci. 2013, 29, 412–421. [Google Scholar] [CrossRef]
- Papp, T.; Csernetics, Á.; Nagy, G.; Bencsik, O.; Iturriaga, E.A.; Eslava, A.P.; Vágvölgyi, C. Canthaxanthin production with modified Mucor circinelloides strains. Appl. Microbiol. Biotechnol. 2013, 97, 4937–4950. [Google Scholar] [CrossRef]
- El-Gawad, E.A.; Wang, H.P.; Yao, H. Diet supplemented with synthetic carotenoids: Effects on growth performance and biochemical and immunological parameters of yellow perch (Perca flavescens). Front. Physiol. 2019, 10, 1056. [Google Scholar] [CrossRef]
- Maroneze, M.M.; Caballero-Guerrero, B.; Zepka, L.Q.; Jacob-Lopes, E.; Perez-Galvez, A.; Roca, M. Accomplished high-resolution metabolomic and molecular studies identify new carotenoid biosynthetic reactions in cyanobacteria. J. Agric. Food Chem. 2020, 68, 6212–6220. [Google Scholar] [CrossRef] [PubMed]
- Dineshkumar, R.; Subramanian, G.; Dash, S.K.; Sen, R. Development of an optimal light-feeding strategy coupled with semi-continuous reactor operation for simultaneous improvement of microalgal photosynthetic efficiency, lutein production and CO2 sequestration. Biochem. Eng. J. 2016, 113, 47–56. [Google Scholar] [CrossRef]
- Bazarnova, J.; Smyatskaya, Y.; Shlykova, A.; Balabaev, A.; Đurović, S. Obtaining fat-soluble pigments—Carotenoids from the biomass of Chlorella microalgae. Appl. Sci. 2022, 12, 3246. [Google Scholar] [CrossRef]
- Misawa, N.; Satomi, Y.; Kondo, K.; Yokoyama, A.; Kajiwara, S.; Saito, T.; Ohtani, T.; Miki, W. Structure and functional analysis of a marine bacterial carotenoid biosynthesis gene cluster and astaxanthin biosynthetic pathway proposed at the gene level. J. Bacteriol. 1995, 177, 6575–6584. [Google Scholar] [CrossRef]
- Armstrong, G.A. Genetics of eubacterial carotenoid biosynthesis: A colorful tale. Annu. Rev. Microbiol. 1997, 51, 629–659. [Google Scholar] [CrossRef]
- Sun, Z.; Cunningham, F.X., Jr.; Gantt, E. Differential expression of two isopentenyl pyrophosphate isomerases and enhanced carotenoid accumulation in a unicellular chlorophyte. Proc. Natl. Acad. Sci. USA 1998, 95, 11482–11488. [Google Scholar] [CrossRef]
- Grünewald, K.; Hagen, C. β-carotene is the intermediate exported from the chloroplast during accumulation of secondary carotenoids in Haematococcus pluvialis. J. Appl. Phycol. 2001, 13, 89–93. [Google Scholar] [CrossRef]
- Hu, J.; Nagarajan, D.; Zhang, Q.; Chang, J.S.; Lee, D.J. Heterotrophic cultivation of microalgae for pigment production: A review. Biotechnol. Adv. 2018, 36, 54–67. [Google Scholar] [CrossRef]
- Chua, E.T.; Dal’Molin, C.; Thomas-Hall, S.; Netzel, M.E.; Netzel, G.; Schenk, P.M. Cold and dark treatments induce omega-3 fatty acid and carotenoid production in Nannochloropsis oceanica. Algal Res. 2020, 51, 102059. [Google Scholar] [CrossRef]
- Chen, J.H.; Nagarajan, D.; Huang, Y.; Zhu, X.; Liao, Q.; Chang, J.S. A novel and effective two-stage cultivation strategy for enhanced lutein production with Chlorella sorokiniana. Biochem. Eng. J. 2022, 188, 108688. [Google Scholar] [CrossRef]
- Chen, C.Y.; Lu, I.C.; Nagarajan, D.; Chang, C.H.; Ng, I.S.; Lee, D.J.; Chang, J.S. A highly efficient two-stage cultivation strategy for lutein production using heterotrophic culture of Chlorella sorokiniana MB-1-M12. Bioresour. Technol. 2018, 253, 141–147. [Google Scholar] [CrossRef] [PubMed]
- Chen, C.Y.; Liu, C.C. Optimization of lutein production with a two-stage mixotrophic cultivation system with Chlorella sorokiniana MB-1. Bioresour. Technol. 2018, 262, 74–79. [Google Scholar] [CrossRef] [PubMed]
- Chen, W.C.; Hsu, Y.C.; Chang, J.S.; Ho, S.H.; Wang, L.F.; Wei, Y.H. Enhancing production of lutein by a mixotrophic cultivation system using microalga Scenedesmus obliquus CWL-1. Bioresour. Technol. 2019, 291, 121891. [Google Scholar] [CrossRef]
- Ferreira, J.; Braga, M.Q.; Gama, R.C.N.; Magalhães, I.B.; Marangon, B.B.; Castro, J.S.; Lorentz, J.F.; Henriques, B.S.; Pereira, A.S.A.P.; Assemany, P.P.; et al. Carotenoids from wastewater-grown microalgae biomass: Life cycle assessment and techno-economical analysis. J. Clean. Prod. 2024, 434, 140526. [Google Scholar] [CrossRef]
- Zhu, L.D.; Takala, J.; Hiltunen, E.; Wang, Z.M. Recycling harvest water to cultivate Chlorella zofingiensis under nutrient limitation for biodiesel production. Bioresour. Technol. 2013, 144, 14–20. [Google Scholar] [CrossRef] [PubMed]
- Deprá, M.C.; Dias, R.R.; Severo, I.A.; de Menezes, C.R.; Zepka, L.Q.; Jacob-Lopes, E. Carbon dioxide capture and use in photobioreactors: The role of the carbon dioxide loads in the carbon footprint. Bioresour. Technol. 2020, 314, 123745. [Google Scholar] [CrossRef]
- Shi, X.M.; Liu, H.J.; Zhang, X.W.; Chen, F. Production of biomass and lutein by Chlorella protothecoides at various glucose concentrations in heterotrophic cultures. Process Biochem. 1999, 34, 341–347. [Google Scholar] [CrossRef]
- Ip, P.F.; Chen, F. Production of astaxanthin by the green microalga Chlorella zofingiensis in the dark. Process Biochem. 2005, 40, 733–738. [Google Scholar] [CrossRef]
- Sun, N.; Wang, Y.; Li, Y.T.; Huang, J.C.; Chen, F. Sugar-based growth, astaxanthin accumulation and carotenogenic transcription of heterotrophic Chlorella zofingiensis (Chlorophyta). Process Biochem. 2008, 43, 1288–1292. [Google Scholar] [CrossRef]



| Peak a | Pigments | tR (min) b | UV-Vis Characteristics | Fragment Ions (Positive Mode) (m/z) | |||
|---|---|---|---|---|---|---|---|
| λmáx (nm) c | III/II d (%) | AB/II e (%) | [M + H]+ | MS/MS | |||
| 1 | 15-cis-neochrome | 6.2 | 327, 405, 428, 455 | 65 | 42 | 601 | 583 [M + H − 18]+, 565 [M + H − 18 − 18]+, 547 [M + H − 18 − 18 − 18]+, 509 [M + H − 92]+ |
| 2 | 13-cis-neoxanthin | 6.7 | 337, 419, 443,471 | 81 | 17 | 601 | 583 [M + H − 18f, 547 [M + H − 18 − 18 − 18]+, 221 |
| 3 | all-trans-neoxanthin | 7.5 | 415, 438, 468 | 78 | 0 | 601 | 583 [M + H − 18]+, 565 [M + H − 18 − 18]+, 547 [M + H − 18 − 18 − 18]+, 509 [M + H − 92]+ |
| 4 | all-trans-neochrome | 7.7 | 398,421, 447 | 80 | 0 | 601 | 583 [M + H − 18]+,, 547 [M + H − 18 − 18 − 18]+, 221 |
| 5 | 9-cis- neoxanthin | 8.0 | 325, 415, 438, 467 | 78 | 0 | 601 | 583 [M + H − 18]+, 565 [M + H − 18 − 18]+, 509 [M + H − 92]+ |
| 6 | 13-cis-antheraxanthin | 8.7 | 326, 415, 438, 467 | 72 | 13 | 585 | 583 [M + H − 18]+, 565 [M + H − 18 − 18]+, 509 [M + H − 92]+ |
| 7 | all-trans-luteoxanthin | 8.8 | 400, 420, 447 | 100 | 0 | 601 | 583 [M + H − 18]+ |
| 8 | all-trans-antheraxanthin | 9.3 | 416, 442, 473 | 50 | 0 | 585 | 567 [M + H − 18]+, 549 [M + H − 18 − 18]+, 531 |
| 9 | 15-cis-lutein | 10.3 | 331, 415, 437, 465 | 37 | 31 | 569 | 551 [M + H − 18]+, 533 [M + H − 18 − 18]+ |
| 10 | 13-cis-lutein | 11.2 | 328, 415, 438, 465 | 25 | 39 | 569 | 551 [M + H − 18]+, 533 [M + H − 18 − 18]+, 477 [M + H − 92]+ |
| 11 | all-trans-lutein | 12.3 | 419, 443, 471 | 57 | 0 | 569 | 551 [M + H − 18]+, 533 [M + H − 18 − 18]+ |
| 12 | all-trans-zeaxanthin | 14.5 | 425, 449, 475 | 25 | 0 | 569 | 551 [M + H − 18]+, 533 [M + H − 18 − 18]+,495, 477 [M + H − 92]+, 459 |
| 13 | 9-cis-lutein | 15.2 | 326, 420, 440, 465 | 50 | 12 | 569 | 551 [M + H − 18]+, 533 [M + H − 18 − 18]+,495, 477 [M + H − 92]+, 459 |
| 14 | 9-cis-zeaxanthin | 17.6 | 338, 420, 445, 470 | 33 | 25 | 569 | 551 [M + H − 18]+, 533 [M + H − 18 − 18]+,495, 477 [M + H − 92]+, 459 |
| 15 | 2′-dehydrodeoxymyxol | 20.2 | 445, 473, 504 | 63 | 0 | 567 | 549 [M + H − 18]+ |
| 16 | 5,6-epoxy-β-carotene | 20.3 | 420, 446, 470 | 50 | 0 | 553 | 535 [M + H − 18]+, 461 [M + H − 92]+, 205 |
| 17 | all-trans-echinenone | 23.6 | 462 | nc f | 0 | 551 | 533 [M + H − 18]+, 427, 203 |
| 18 | 9-cis-echinenone | 25.6 | 342, 450 | nc | 20 | 551 | 533 [M + H − 18]+, 427, 203 |
| 19 | all-trans-α-carotene | 27.8 | 420, 445, 473 | 62 | 0 | 537 | 444 [M + H − 92]+, 399, 355 |
| 20 | 9-cis- α-carotene | 28.9 | 330, 420, 444, 472 | 70 | nc | 537 | 444 [M + H − 92]+, 399, 355 |
| 21 | all-trans-β-carotene | 31.0 | 425, 451, 476 | 25 | 0 | 537 | 444 [M + H − 92]+, 399, 355 |
| 22 | 9-cis-β-carotene | 33.7 | 341, 420, 446, 472 | 20 | 14 | 537 | 444 [M + H − 92]+, 399, 355 |
| Peak | Compounds | Phototrophic * | Heterotrophic * | ||||||
|---|---|---|---|---|---|---|---|---|---|
| Zero-Time | Lag | Log | Stacionary | Zero-Time | Lag | Log | Stacionary | ||
| 1 | 15-cis-neochrome | nd 1 | nd | nd | nd | nd | 36.31 ± 0.03 a | 5.33 ± 0.02 b | nd |
| 2 | 13-cis-neoxanthin | nd | nd | nd | nd | nd | 22.41 ± 0.04 a | nd | nd |
| 3 | all-trans-neoxanthin | 119.80 ± 0.82 b | 170.89 ± 0.49 a | 98.47 ± 0.10 c | 99.07 ± 0.27 c | 16.72 ± 0.07 g | 61.50 ± 0.16 d | 20.45 ± 0.02 f | 28.31 ± 0.53 e |
| 4 | all-trans-neochrome | nd | nd | nd | nd | nd | nd | 5.00 ± 0.00 a | nd |
| 5 | 9-cis-neoxanthin | 65.17 ± 0.09 d | 103.11 ± 0.13 a | 84.47 ± 0.07 c | 98.47 ± 0.48 b | 28.89 ± 0.00 f | 52.74 ± 0.18 e | 18.23 ± 0.15 h | 22.50 ± 0.02 g |
| 6 | 13-cis-antheraxanthin | 72.44 ± 0.19 b | 85.15 ± 0.21 a | nd | nd | nd | 21.35 ± 0.13 c | 12.69 ± 0.13 e | 19.55 ± 0.17 d |
| 7 | all-trans-luteoxanthin | nd | nd | 27.90 ± 0.46 b | 81.60 ± 0.19 a | 24.34 ± 0.09 c | 24.28 ± 0.08 c | nd | nd |
| 8 | all-trans-antheraxanthin | nd | nd | nd | nd | nd | 40.73 ± 0.18 a | 5.35 ± 0.00 c | 16.91 ± 0.01 b |
| 9 | 15-cis-lutein | 54.64 ± 0.14 b | 44.79 ± 0.79 c | 46.89 ± 0.60 c | 59.31 ± 0.31 a | 45.28 ± 0.08 c | 30.42 ± 0.42 d | 5.01 ± 0.13 f | 11.51 ± 0.02 e |
| 10 | 13-cis-lutein | 27.08 ± 0.44 a | 20.55 ± 0.31 b | 15.03 ± 1.09 d | 18.37 ± 0.13 c | 21.78 ± 0.07 b | 11.44 ± 0.15 e | 3.27 ± 0.13 f | 4.62 ± 0.12 f |
| 11 | all-trans-lutein | 1054.15 ± 0.98 a | 510.83 ± 1.25 d | 654.05 ± 3.77 c | 700.53 ± 1.81 b | 96.68 ± 0.39 h | 330.53 ± 2.94 f | 236.46 ± 1.33 g | 363.02 ± 0.69 e |
| 12 | all-trans-zeaxanthin | 61.28 ± 0.10 d | 85.88 ± 0.06 c | 167.62 ± 1.17 a | 161.04 ± 0.82 b | 18.61 ± 0.02 f | 50.53 ± 0.20 e | 5.55 ± 0.01 g | nd |
| 13 | 9-cis-lutein | 14.53 ± 0.09 b | 7.34 ± 0.19 d | 8.26 ± 0.23 c,d | 10.62 ± 0.31 c | 64.19 ± 0.03 a | 13.63 ± 0.24 b | 6.89 ± 0.11 d | 15.26 ± 0.17 b |
| 14 | 9-cis-zeaxanthin | nd | nd | nd | nd | 53.01 ± 0.60 a | 41.62 ± 0.28 b | 11.87 ± 0.07 d | 18.32 ± 0.05 c |
| 15 | 2′-dehydrodeoxymyxol | nd | nd | nd | nd | nd | 16.21 ± 0.56 a | nd | nd |
| 16 | 5,6-epoxy-β-carotene | nd | nd | nd | nd | nd | 18.05 ± 0.35 a | nd | nd |
| 17 | all-trans-echinenone | nd | 114.53 ± 0.36 c | 266.67 ± 2.01 a | 232.16 ± 2.41 b | nd | 49.69 ± 0.16 e | nd | nd |
| 18 | 9-cis-echinenone | nd | 112.78 ± 0.52c | 159.79 ± 1.64 a | 137.44 ± 2.56 b | nd | 45.61 ± 0.98 e | nd | nd |
| 19 | all-trans-α-carotene | 103.42 ± 0.01 a | 5.21 ± 0.20 f | 27.87 ± 0.42 d | 22.00 ± 0.24 d | 72.23 ± 1.48 b | 41.43 ± 0.68 c | 13.93 ± 0.46 e | 24.22 ± 0.18 d |
| 20 | 9-cis-α-carotene | 3.06 ± 0.12 a | nd | nd | nd | 6.87 ± 0.40 a | nd | nd | nd |
| 21 | all-trans-β-carotene | 214.22 ± 0.92 c | 192.05 ± 0.49 d | 311.64 ± 1.47 a | 296.59 ± 1.08 b | 92.82 ± 2.56 f | 170.43 ± 1.05 e | 31.81 ± 0.28 h | 48.42 ± 0.02 g |
| 22 | 9-cis-β-carotene | 74.62 ± 0.70 d | 87.63 ± 0.08 c | 132.51 ± 0.83 a | 117.79 ± 0.66 b | 30.12 ± 0.43 f | 48.81 ± 0.36 e | 5.85 ± 0.03 h | 17.86 ± 0.34 g |
| Total | 1849.88 ± 0.80 c | 1540.74 ± 1.76 d | 2001.17 ± 8.50 b | 2034.99 ± 0.92 a | 571.54 ± 5.07 g | 1127.72 ± 7.25 e | 387.69 ± 2.33 h | 590.51 ± 1.91 f | |
| Parameter | Photoautotrophic | Heterotrophic |
|---|---|---|
| Xmax (g/L) | 1.90 b ± 0.01 | 2.20 a ± 0.02 |
| µmax (d−1) | 0.51 a ± 0.00 | 0.45 b ± 0.00 |
| Tg (d) | 1.35 b ± 0.01 | 1.54 a ± 0.01 |
| Px (average) (g/L/d) | 0.23 b ± 0.02 | 0.24 a ± 0.02 |
| Px (peak) (g/L/d) | 0.36 b ± 0.01 | 0.42 a ± 0.01 |
Disclaimer/Publisher’s Note: The statements, opinions and data contained in all publications are solely those of the individual author(s) and contributor(s) and not of MDPI and/or the editor(s). MDPI and/or the editor(s) disclaim responsibility for any injury to people or property resulting from any ideas, methods, instructions or products referred to in the content. |
© 2024 by the authors. Licensee MDPI, Basel, Switzerland. This article is an open access article distributed under the terms and conditions of the Creative Commons Attribution (CC BY) license (https://creativecommons.org/licenses/by/4.0/).
Share and Cite
Caetano, P.A.; Nass, P.P.; Deprá, M.C.; Nascimento, T.C.d.; Jacob-Lopes, E.; Zepka, L.Q. Trade-Off Between Growth Regimes in Chlorella vulgaris: Impact on Carotenoid Production. Colorants 2024, 3, 282-297. https://doi.org/10.3390/colorants3040020
Caetano PA, Nass PP, Deprá MC, Nascimento TCd, Jacob-Lopes E, Zepka LQ. Trade-Off Between Growth Regimes in Chlorella vulgaris: Impact on Carotenoid Production. Colorants. 2024; 3(4):282-297. https://doi.org/10.3390/colorants3040020
Chicago/Turabian StyleCaetano, Patrícia Acosta, Pricila Pinheiro Nass, Mariany Costa Deprá, Tatiele Casagrande do Nascimento, Eduardo Jacob-Lopes, and Leila Queiroz Zepka. 2024. "Trade-Off Between Growth Regimes in Chlorella vulgaris: Impact on Carotenoid Production" Colorants 3, no. 4: 282-297. https://doi.org/10.3390/colorants3040020
APA StyleCaetano, P. A., Nass, P. P., Deprá, M. C., Nascimento, T. C. d., Jacob-Lopes, E., & Zepka, L. Q. (2024). Trade-Off Between Growth Regimes in Chlorella vulgaris: Impact on Carotenoid Production. Colorants, 3(4), 282-297. https://doi.org/10.3390/colorants3040020
