Preliminary Study of Linear Density, Tenacity, and Crystallinity of Cotton Fibers †
Abstract
:1. Introduction

2. Experimental Section
2.1. Cotton Samples
2.2. AFIS Test
2.3. Stelometer Test and Fiber Number Count
2.4. CIIR Calculation

3. Results and Discussion
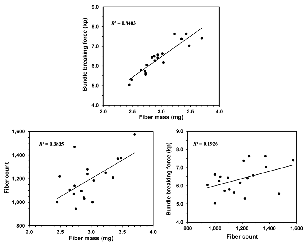
3.1. Relationships between Fiber Bundle Breaking Force, Fiber Mass and Fiber Count

3.2. Fiber Tenacity and Linear Density

3.3. Fine and Coarse Fibers
3.4. Fiber Linear Density and Tenacity vs. Fiber Crystallinity


3.5. AFIS Fineness versus Fiber Linear Density


4. Conclusions
Acknowledgments
Author Contributions
Conflicts of Interest
References
- Hsieh, Y.-L. Chemical structure and properties of cotton. In Cotton: Science and Technology; Gordon, S., Hsieh, Y.-L., Eds.; Woodhead Publishing Limited: Cambridge, England, 2007; pp. 3–34. [Google Scholar]
- Thibodeaux, D.P.; Evans, J.P. Cotton fiber maturity by image analysis. Text. Res. J. 1986, 56, 130–139. [Google Scholar] [CrossRef]
- Maxwell, J.M.; Gordon, S.G.; Huson, M.G. Internal structure of mature and immature cotton fibers revealed by scanning probe microscopy. Text. Res. J. 2003, 73, 1005–1012. [Google Scholar] [CrossRef]
- Bradow, J.M.; Hinojosa, O.; Wartelle, L.H.; Davidonis, G.; Saaaenrath-Cole, G.F.; Bauer, P.J. Applications of AFIS fineness and maturity module and X-ray fluorescence spectroscopy in fiber maturity evaluation. Text. Res. J. 2003, 66, 545–554. [Google Scholar]
- Hequet, E.; Wyatt, B.; Abidi, N.; Thibodeaux, D.P. Creation of a set of reference material for cotton fiber maturity measurements. Text. Res. J. 2006, 76, 576–586. [Google Scholar] [CrossRef]
- Hsieh, Y.-L.; Hu, X.-P.; Nguyen, A. Strength and crystallinity structure of developing Acala cotton. Text. Res. J. 1997, 67, 529–536. [Google Scholar]
- Hartzell-Lawson, M.M.; Hsieh, Y.-L. Characterizing the noncellulosics in developing cotton fibers. Text. Res. J. 2000, 70, 810–819. [Google Scholar] [CrossRef]
- Abidi, N.; Hequet, E.; Cabrales, L. Changes in sugar composition and cellulose content during the secondary cell wall biogenesis in cotton fibers. Cellulose 2010, 17, 153–160. [Google Scholar] [CrossRef]
- Abidi, N.; Cabrales, L.; Hequet, E. Fourier transform infrared spectroscopic approach to the study of the secondary cell wall development in cotton fiber. Cellulose 2010, 17, 309–320. [Google Scholar] [CrossRef]
- Abidi, N.; Cabrales, L.; Haigler, C.H. Changes in the cell wall and cellulose content of developing cotton fibers investigated by FTIR spectroscopy. Carbohydr. Polym. 2014, 100, 9–16. [Google Scholar] [CrossRef]
- Paudel, D.R.; Hequet, E; Abidi, N. Evaluation of cotton fiber maturity measurements. Ind. Crops Prod. 2013, 45, 435–441. [Google Scholar] [CrossRef]
- Abbot, A.M.; Higgerson, G.J.; Long, R.L.; Lucas, S.R.; Naylor, G.R.S.; Tischler, C.R.; Purmalis, M.M. An instrument for determining the average fiber linear density (fineness) of cotton lint samples. Text. Res. J. 2009, 80, 822–833. [Google Scholar]
- Lord, E. Air flow through plugs of textile fibers part II. The micronaire test for cotton. J. Text. Inst. 1956, 47, T16–T47. [Google Scholar] [CrossRef]
- American Society for Testing and Materials (ASTM D5866–12). Standard test method for neps in cotton fibers. In Annual Book of ASTM Standards; ASTM International: West Conshohocken, PA, USA, 2012. [Google Scholar]
- American Society for Testing and Materials (ASTM D1577–12). Standard test method for linear density of textile fibers. In Annual Book of ASTM Standards; ASTM International: West Conshohocken, PA, USA, 2012. [Google Scholar]
- Hsieh, Y.-L.; Honik, E.; Hartzell, M.M. A developmental study of single fiber strength: Greenhouse grown SJ-2 Acala cotton. Text. Res. J. 1995, 65, 101–112. [Google Scholar] [CrossRef]
- Rodgers, J.; Delhom, C.; Fortier, C.; Thibodeaux, D. Rapid measurement of cotton fiber maturity and fineness by image analysis microscopy using the Cottonscope®. Text. Res. J. 2012, 82, 259–271. [Google Scholar] [CrossRef]
- Park, S.; Baker, J.; Himmel, M.; Parilla, P.; Johnson, D. Cellulose crystallinity index: Measurement techniques and their impact on interpreting cellulase performance. Biotechnol. Biofuels J. 2010, 3, 1–10. [Google Scholar] [CrossRef]
- Liu, Y.; Thibodeaux, D.; Gamble, G. Development of Fourier transform infrared spectroscopy in direct, non-destructive, and rapid determination of cotton fiber maturity. Text. Res. J. 2011, 81, 1559–1567. [Google Scholar] [CrossRef]
- Liu, Y.; Thibodeaux, D.; Gamble, G.; Bauer, P.; VanDerveer, D. Comparative investigation of Fourier transform infrared (FT-IR) spectroscopy and X-ray Diffraction (XRD) in the determination of cotton fiber crystallinity. Appl. Spectrosc. 2012, 66, 983–986. [Google Scholar] [CrossRef]
- American Society for Testing and Materials (ASTM D1445–12). Standard test method for breaking strength and elongation of cotton fibers (flat bundle method). In Annual Book of ASTM Standards; ASTM International: West Conshohocken, PA, USA, 2012. [Google Scholar]
- Liu, Y.; Thibodeaux, D.; Rodgers, J. Fiber Mass, Count and breAking Force from Stelometer Test. In Proceedings of the 2014 Beltwide Cotton Conference, New Orleans, LA, USA, 6–8 January 2014; National Cotton Council of America: Memphis, TN, USA, 2014. [Google Scholar]
- Liu, Y.; Thibodeaux, D.; Gamble, G.; Rodgers, J. Preliminary study of relating cotton fiber tenacity and elongation with crystallinity. Text. Res. J. 2014. [Google Scholar] [CrossRef]
© 2014 by the authors; licensee MDPI, Basel, Switzerland. This article is an open access article distributed under the terms and conditions of the Creative Commons Attribution license (http://creativecommons.org/licenses/by/3.0/).
Share and Cite
Liu, Y.; Thibodeaux, D.; Rodgers, J. Preliminary Study of Linear Density, Tenacity, and Crystallinity of Cotton Fibers. Fibers 2014, 2, 211-220. https://doi.org/10.3390/fib2030211
Liu Y, Thibodeaux D, Rodgers J. Preliminary Study of Linear Density, Tenacity, and Crystallinity of Cotton Fibers. Fibers. 2014; 2(3):211-220. https://doi.org/10.3390/fib2030211
Chicago/Turabian StyleLiu, Yongliang, Devron Thibodeaux, and James Rodgers. 2014. "Preliminary Study of Linear Density, Tenacity, and Crystallinity of Cotton Fibers" Fibers 2, no. 3: 211-220. https://doi.org/10.3390/fib2030211
APA StyleLiu, Y., Thibodeaux, D., & Rodgers, J. (2014). Preliminary Study of Linear Density, Tenacity, and Crystallinity of Cotton Fibers. Fibers, 2(3), 211-220. https://doi.org/10.3390/fib2030211
