Characterization and Application of Different Types of Pineapple Leaf Fibers (PALF) in Cement-Based Composites
Abstract
Highlights
- Pineapple fibers obtained from fruit genotypes exhibit acceptable physical and mechanical properties for use as reinforcement in composite materials.
- Cementitious composites reinforced with pineapple fibers exhibited deflection-hardening behavior due to the good adhesion between the pineapple fiber and the matrix.
- The utilization of agricultural waste from pineapple leaves for fiber production can add value to the material, reducing the economic and environmental costs of disposal and increasing the income of pineapple producers.
- The production of cement-based building elements reinforced with residual pineapple fibers will help reduce the harmful environmental impact of the construction industry.
Abstract
1. Introduction
2. Materials and Methods
2.1. Pineappleplants
2.2. Leaf and Fiber Characterization
2.3. Cement-Based Matrix and Composite Production
3. Results
3.1. Pineapple Leaf Fibers
3.1.1. Foliar Anatomy and Fiber Morphology
3.1.2. Water Absorption and Dimensional Variation of Fibers
3.1.3. X-Ray Diffraction (XRD)
3.1.4. Mechanical Behavior of Fiber
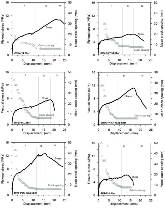
3.2. Flexural Behavior of PALF Reinforced Cement-Based Composites
4. Conclusions
- Fibers produced from fruit genotypes exhibited physical and mechanical properties suitable for use as reinforcement in cement-based matrices. Their dimensional variation due to humidity variations was around 30%, their tensile strength exceeded 250 MPa, and their elastic modulus was approximately 20 GPa. The high mechanical strength is directly associated with the cellulose content of the fibers, with a crystallinity index above 63%.
- When used as reinforcement in cement-based composites, pineapple fibers from fruit genotypes demonstrated a fiber–matrix adhesion greater than 0.4 MPa, which was sufficient to transfer stresses within the cracked matrix, allowing for multiple cracking of the composites and a deflection–hardening behavior, thereby increasing the flexural strength and toughness of the composites.
- Considering that pineapple plants become agricultural waste after fruit harvesting and that fiber production from the leaves yields up to 2.1%, it is believed that fiber extraction from these genotypes is economically viable. This process adds value to an agricultural byproduct and promotes the development of a circular economy, integrating the pineapple agroindustry with the construction sector.
Author Contributions
Funding
Data Availability Statement
Acknowledgments
Conflicts of Interest
References
- Wang, L.; He, T.; Zhou, Y.; Tang, S.; Tan, J.; Liu, Z.; Su, J. The influence of fiber type and length on the cracking resistance, durability and pore structure of face slab concrete. Constr. Build. Mater. 2021, 282, 122706. [Google Scholar] [CrossRef]
- Blazy, J.; Blazy, R.; Drobiec, Ł. Glass Fiber Reinforced Concrete as a Durable and Enhanced Material for Structural and Architectural Elements in Smart City—A Review. Materials 2022, 15, 2754. [Google Scholar] [CrossRef]
- Beytekin, H.E.; Kaya, Y.; Mardani, A.; Sezer, F.Ş. Effect of fiber type, size, and utilization rate on mechanical and thermal properties of lightweight concrete facade panels. Struct. Concr. 2024, 25, 3824–3840. [Google Scholar] [CrossRef]
- Henriksen, T.; Lo, S.; Knaack, U. An innovative approach to manufacture thin-walled glass fibre reinforced concrete for tomorrow’s architectural buildings envelopes with complex geometries. J. Build. Eng. 2015, 4, 189–199. [Google Scholar] [CrossRef]
- Ahmed, T.I.; Tobbala, D.E. Rubbered light concrete containing recycled PET fiber compared to macro-polypropylene fiber in terms of SEM, mechanical, thermal conductivity and electrochemical resistance. Constr. Build. Mater. 2024, 415, 135010. [Google Scholar] [CrossRef]
- Shen, J.; Dai, H.; Zhou, G.; Shi, J. Shear behavior of pre-damaged RC beams strengthened with UHPFRC-CFRP grid layer. Compos. Struct. 2024, 349–350, 118520. [Google Scholar] [CrossRef]
- Calazans, K.G.; Lima, P.R.L.; Toledo Filho, R.D. Mechanical behavior and eco-efficiency of sisal fiber reinforced cement composites containing husk rice ash. Mag. Civ. Eng. 2024, 17, 12702. [Google Scholar] [CrossRef]
- Gudayu, A.D.; Getahun, D.E.; Mekuriaw, D.M.; Walelign, F.T.; Ahmed, A.S. Natural fiber reinforced cementitious composites; materials, compatibility issues and future perspectives. Compos. Interfaces 2024, 32, 1–35. [Google Scholar] [CrossRef]
- Lima, P.R.L.; Barros, J.A.O.; Roque, A.B.; Fontes, C.M.A.; Lima, J.M.F. Short sisal fiber reinforced recycled concrete block for one-way precast concrete slabs. Constr. Build. Mater. 2018, 187, 620–634. [Google Scholar] [CrossRef]
- da Gloria, M.Y.R.; Toledo Filho, R.D. Innovative sandwich panels made of wood bio-concrete and sisal fiber reinforced cement composites. Constr. Build. Mater. 2021, 272, 121636. [Google Scholar] [CrossRef]
- Hoy, M.; Ro, B.; Horpibulsuk, S.; Suddeepong, A.; Buritatum, A.; Arulrajah, A.; Yaowarat, T.; Chinkulkijniwat, A.; Horpibulsuk, J. Flexural Fatigue Performance of Hemp Fiber–Reinforced Concrete Using Recycled Concrete Aggregates as a Sustainable Rigid Pavement. J. Mater. Civ. Eng. 2024, 36, 04024167. [Google Scholar] [CrossRef]
- Farias, L.N.; Lima, P.R.L.; Toledo Filho, R.D.T. Shear behavior of hollow clay brick masonry wallet coated with short jute fiber reinforced mortar. Mater. Constr. 2024, 74, e347. [Google Scholar] [CrossRef]
- de Azevedo, A.R.G.; Nascimento, M.; Do Carmo, D.; Marvila, M.T.; Xavier, G.C.; Monteiro, S.N. Environmental and Durability Perspective of the Use of Curaua Fiber Treated in Mortars. J. Renew. Mater. 2022, 10, 2409–2429. [Google Scholar] [CrossRef]
- Hadipramana, J.; Riza, F.V.; Amirsyah, T.; Mokhatar, S.N.; Ardiansyah, M. Study on Workability of High Strength Concrete Containing Pineapple Leaf Fiber (PALF). IOP Conf. Ser. Mater. Sci. Eng. 2021, 1200, 012006. [Google Scholar] [CrossRef]
- Karolina, R.; Tandika, W.; Hasibuan, A.; Putra, M.A.; Fahreza, D. Pineapple Leaf Fiber (PALF) Waste as an Alternative Fiber in Making Concrete. J. Phys. Conf. Ser. 2022, 2193, 012061. [Google Scholar] [CrossRef]
- Bilcati, G.K.; Matoski, A.; Trianoski, R.; Lengowski, E. Potential Use of Curaua Fiber (Ananas erectifolius) for Cementitious Production Composite Uso Potencial de la Fibra de Curauá (Ananas acutifolius) para la Fabricación de Compuestos Cementicios. Rev. Ing. Constr. 2018, 33, 155–160. [Google Scholar] [CrossRef]
- Teixeira, R.S.; Santos, S.F.; Christoforo, A.L.; Payá, J.; Savastano, H.; Lahr, F.A.R. Impact of Content and Length of Curauá Fibers on Mechanical Behavior of Extruded Cementitious Composites: Analysis of Variance. Cem. Concr. Compos. 2019, 102, 134–144. [Google Scholar] [CrossRef]
- Soltan, D.G.; das Neves, P.; Olvera, A.; Savastano, H., Jr.; Li, V.C. Introducing a Curauá Fiber Reinforced Cement-Based Composite with Strain-Hardening Behavior. Ind. Crops Prod. 2017, 103, 1–12. [Google Scholar] [CrossRef]
- Chellapandian, M.; Arunachelam, N.; Maheswaran, J.; Kumar, N.P. Shear Behavior of Low-Cost and Sustainable Bio-Fiber-Based Engineered Cementitious Composite Beams—Experimental and Theoretical Studies. J. Build. Eng. 2024, 84, 108497. [Google Scholar] [CrossRef]
- Food and Agriculture Organization. FAOSTAT. 2024. Available online: www.fao.org (accessed on 1 December 2024).
- Meena, L.; Sengar, A.S.; Neog, R.; Sunil, C.K. Pineapple processing waste (PPW): Bioactive compounds, their extraction, and utilisation: A review. J. Food Sci. Technol. 2022, 59, 4152–4164. [Google Scholar] [CrossRef]
- Jalil, M.A.; Repon, M.R.; Jurkonienė, S.; Haji, A.; Hussain, S.Z.; Shukhratov, S. Valorization of pineapple leaves: Effective conversion of agro waste to textile materials. Energy Sci. Eng. 2024, 12, 2426–2434. [Google Scholar] [CrossRef]
- Valverde, E.; Torres, L.; Chamorro, R.; Gamboa, P.; Vásquez, C.; Camacho, D.; Hallog, A.; Quirós, R. An Alternative Circular Business Model: Pineapple Waste for the Production of Textile Fiber for Rope Confection in Costa Rica. In Sustainable Fashion and Textiles in Latin America; Springer: Berlin/Heidelberg, Germany, 2021; pp. 191–217. [Google Scholar]
- Sethupathi, M.; Khumalo, M.V.; Skosana, S.J.; Muniyasamy, S. Recent Developments of Pineapple Leaf Fiber (PALF) Utilization in Polymer Composites—A Review. Separations 2024, 11, 245. [Google Scholar] [CrossRef]
- Rosmaina; Elfianis, R.; Mursanto, F.; Janna, A.; Erawati, T.; Yani, L.E.; Solin, N.N.W.M.; Zulfahmi. Mutation Induction in the Pineapple (Ananas comosus L. Merr) Using Colchicine. IOP Conf. Ser. Earth Environ. Sci. 2021, 905, 012082. [Google Scholar] [CrossRef]
- Lu, X.H.; Sun, D.Q.; Wu, Q.S.; Liu, S.H.; Sun, G.M. Physico-Chemical Properties, Antioxidant Activity and Mineral Contents of Pineapple Genotypes Grown in China. Molecules 2014, 19, 8518–8532. [Google Scholar] [CrossRef]
- Silva, J.M.; Lima, P.R.L.; Souza, F.V.D.; Ledo, C.A.S.; Souza, E.H.; Pestana, K.N.; Ferreira, C.F. Genetic Diversity and Nonparametric Statistics to Identify Possible ISSR Marker Association with Fiber Quality of Pineapple. An. Acad. Bras. Cienc. 2019, 91, 1–13. [Google Scholar] [CrossRef]
- Feder, N.; O’Brien, T.P. Plant Microtechnique: Some Principles and New Methods. Am. J. Bot. 1968, 55, 123–142. [Google Scholar] [CrossRef]
- ASTM C1557-20; Standard Test Method for Tensile Strength and Young’s Modulus of Fibers. ASTM International: West Conshohocken, PA, USA, 2020.
- Bergström, S.G.; Gram, H.E. Durability of Alkali-Sensitive Fibres in Concrete. Int. J. Cem. Compos. Light. Concr. 1984, 6, 75–80. [Google Scholar] [CrossRef]
- ASTM C1018; Standard Test Method for Flexural Toughness and First-Crack Strength of Fiber-Reinforced Concrete (Using Beam With Third-Point Loading). ASTM International: West Conshohocken, PA, USA, 2006.
- Melo Filho, J.D.A.; Silva, F.D.A.; Toledo Filho, R.D. Degradation Kinetics and Aging Mechanisms on Sisal Fiber Cement Composite Systems. Cem. Concr. Compos. 2013, 40, 30–39. [Google Scholar] [CrossRef]
- Patrick, K.; Onchiri, R.O.; Mang’uriu, G.N. Inspection of Pineapple Leaf Fibers Extraction to Be Used in the Construction Industry. Environ. Pollut. Prot. 2019, 4, 17–24. [Google Scholar] [CrossRef]
- Kengkhetkit, N.; Amornsakchai, T. Utilisation of Pineapple Leaf Waste for Plastic Reinforcement: 1. A Novel Extraction Method for Short Pineapple Leaf Fiber. Ind. Crops Prod. 2012, 40, 55–61. [Google Scholar] [CrossRef]
- Hazarika, D.; Gogoi, N.; Jose, S.; Das, R.; Basu, G. Exploration of Future Prospects of Indian Pineapple Leaf, an Agro Waste for Textile Application. J. Clean. Prod. 2017, 141, 580–586. [Google Scholar] [CrossRef]
- Martin, A.R.; Martins, M.A.; Mattoso, L.H.; Silva, O.R. Caracterização Química e Estrutural de Fibra de Sisal da Variedade Agave sisalana. Polímeros 2009, 19, 40–46. [Google Scholar] [CrossRef]
- Lima, P.R.; Santos, H.M.; Camilloto, G.P.; Cruz, R.S. Effect of surface biopolymeric treatment on sisal fiber properties and fiber-cement bond. J. Eng. Fibers Fabr. 2017, 12, 155892501701200207. [Google Scholar] [CrossRef]
- Moya, R.; Camacho, D. Production of Natural Fiber Obtained from the Leaves of Pineapple Plants (Ananas comosus) Cultivated in Costa Rica. In Biomass and Bioenergy; Springer International Publishing: Cham, Switzerland, 2014; pp. 111–124. [Google Scholar] [CrossRef]
- Karimah, A.; Ridho, M.R.; Munawar, S.S.; Adi, D.S.; Damayanti, R.; Subiyanto, B.; Fatriasari, W.; Fudholi, A. A review on natural fibers for development of eco-friendly bio-composite: Characteristics, and utilizations. J. Mater. Res. Technol. 2021, 13, 2442–2458. [Google Scholar] [CrossRef]
- Santos, R.D.J.; Lima, P.R.L. Effect of Treatment of Sisal Fiber on Morphology, Mechanical Properties and Fiber-Cement Bond Strength. In Key Engineering Materials; Trans Tech Publications Ltd.: Wollerau, Switzerland, 2015; pp. 410–420. [Google Scholar] [CrossRef]
- Ferreira, S.R.; Lima, P.R.L.; Silva, F.A.; Toledo Filho, R.D. Influência de Ciclos Molhagem-Secagem em Fibras de Sisal sobre a Aderência com Matrizes de Cimento Portland. Matéria (Rio J.) 2012, 17, 1024–1034. [Google Scholar] [CrossRef]
- You, X.; Chen, F.; Ma, Y.; Roselli, A.; Enqvist, E.; Hassi, H. Single Fiber Swelling Behavior for Natural and Man-Made Cellulose Fibers under Alkaline Treatment. Cellulose 2021, 28, 11287–11298. [Google Scholar] [CrossRef]
- Corrêa, A.C.; de Teixeira, E.M.; Pessan, L.A.; Mattoso, L.H.C. Cellulose Nanofibers from Curauá Fibers. Cellulose 2010, 17, 1183–1192. [Google Scholar] [CrossRef]
- Thygesen, A.; Oddershede, J.; Lilholt, H.; Thomsen, A.B.; Ståhl, K. On the Determination of Crystallinity and Cellulose Content in Plant Fibres. Cellulose 2005, 12, 563–576. [Google Scholar] [CrossRef]
- Segal, L.G.J.M.A.; Creely, J.J.; Martin, A.E., Jr.; Conrad, C.M. An empirical method for estimating the degree of crystallinity of native cellulose using the X-ray diffractometer, Text. Res. J. 1959, 29, 786–794. [Google Scholar] [CrossRef]
- Satyanarayana, K.G.; Guimarães, J.L.; Wypych, F. Studies on Lignocellulosic Fibers of Brazil. Part I: Source, Production, Morphology, Properties and Applications. Compos. Part A Appl. Sci. Manuf. 2007, 38, 1694–1709. [Google Scholar] [CrossRef]
- Ferreira, S.R.; Silva, F.A.; Lima, P.R.L.; Toledo Filho, R.D. Effect of Hornification on the Structure, Tensile Behavior and Fiber-Matrix Bond of Sisal, Jute and Curauá Fiber Cement-Based Composite Systems. Constr. Build. Mater. 2017, 139, 551–561. [Google Scholar] [CrossRef]
- Reddy, N.; Yang, Y. Biofibers from Agricultural Byproducts for Industrial Applications. Trends Biotechnol. 2005, 23, 22–27. [Google Scholar] [CrossRef] [PubMed]
- Alves Fidelis, M.E.; Pereira, T.V.C.; Gomes, O.F.M.; de Andrade Silva, F.; Toledo Filho, R.D. The Effect of Fiber Morphology on the Tensile Strength of Natural Fibers. J. Mater. Res. Technol. 2013, 2, 149–157. [Google Scholar] [CrossRef]
- Sena Neto, A.R.; Araujo, M.A.M.; Souza, F.V.D.; Mattoso, L.H.C.; Marconcini, J.M. Characterization and Comparative Evaluation of Thermal, Structural, Chemical, Mechanical and Morphological Properties of Six Pineapple Leaf Fiber Varieties for Use in Composites. Ind. Crops Prod. 2013, 43, 529–537. [Google Scholar] [CrossRef]
- Thakur, V.K. Bast Fibers Composites for Engineering Structural Applications: Myth or the Future Trend. In Green Composites from Natural Resources; CRC Press: Boca Raton, FL, USA, 2013; pp. 147–170. [Google Scholar]
- Rahman, M.M.; Khan, M.A. Surface Treatment of Coir (Cocos nucifera) Fibers and Its Influence on the Fibers’ Physico-Mechanical Properties. Compos. Sci. Technol. 2007, 67, 2369–2376. [Google Scholar] [CrossRef]
- Thomason, J.L.; Carruthers, J.; Kelly, J.; Johnson, G. Fibre cross-section determination and variability in sisal and flax and its effects on fibre performance characterisation. Compos. Sci. Technol. 2011, 71, 1008–1015. [Google Scholar] [CrossRef]
- Zhao, K.; Xue, S.; Zhang, P.; Tian, Y.; Li, P. Application of Natural Plant Fibers in Cement-Based Composites and the Influence on Mechanical Properties and Mass Transport. Materials 2019, 12, 3498. [Google Scholar] [CrossRef]
- Arruda Filho, A.B.; Lima, P.R.L.; Carvalho, R.F.; Gomes, O.F.M.; Filho, R.D.T. Effect of Number of Layers on Tensile and Flexural Behavior of Cementitious Composites Reinforced with a New Sisal Fabric. Textiles 2024, 4, 40–56. [Google Scholar] [CrossRef]
- Aveston, D.; Kelly, A. Theory of Multiple Fracture of Fibrous Composites. J. Mater. 1973, 8, 352–362. [Google Scholar] [CrossRef]
- Bentur, A.; Mindess, S. Fibre Reinforced Cementitious Composites; CRC Press: London, UK, 2006. [Google Scholar] [CrossRef]















| Genotype | Scientific Nomenclature | |
|---|---|---|
| Fruit Genotypes | ‘BRS Imperial’ | Ananas comosus (L.) Merr. |
| ‘Pérola’ | A. comosus | |
| ‘Smooth Cayenne’ | A. comosus | |
| Ornamental Genotypes | ‘BRS Potyra’ | A. comosus var. erectifolius (L.B.Sm.) Coppens and F.Leal × A. comosus var. bracteatus (Lindl.) Coppens and F.Leal |
| ‘BRS Boyrá’ | A. comosus var. bracteatus × A. comosus var. erectifolius | |
| ‘Curauá’ | Ananas comosus (L.) Merr. var. erectifolius (L.B.Sm.) Coppens and F.Leal |
| Characteristics | Cement | Fly Ash (FA) | Silica Fume (SF) | |
|---|---|---|---|---|
| Major chemical component (%) | CaO | 69.77 | 2.06 | 0.17 |
| SiO2 | 15.89 | 53.33 | 95.3 | |
| SO3 | 4.76 | 1.51 | not identified | |
| Al2O3 | 4.35 | 33.23 | 0.04 | |
| K2O | 1.07 | 3.44 | 1.33 | |
| Fe2O3 | 3.66 | 4.96 | 0.35 | |
| Specific gravity (g/cm3) | 3.06 | 2.01 | 2.65 | |
| Genotypes | Leaf Thickness (mm) | Fiber/cm2 | Fiber Yield (%) | Fiber Length (mm) |
|---|---|---|---|---|
| ‘BRS Imperial’ | 38.29 | 342 | 1.70 | 426 |
| ‘Pérola’ | 114.83 | 449 | 1.60 | 525 |
| ‘Smooth Cayenne’ | 27.31 | 196 | 2.10 | 473 |
| ‘BRS Potyra’ | 233.12 | 694 | 4.90 | 611 |
| ‘BRS Boyrá’ | 141.87 | 373 | 5.80 | 585 |
| ‘Curauá’ | 122.47 | 351 | 4.80 | 929 |
| Genotype | Characteristic Angles (2θ) | Intensity | CI (%) | ||||
|---|---|---|---|---|---|---|---|
| θc1 | θc2 | θc3 | θa | Imax (2θ = θc2) | Imin (2θ = θa) | ||
| ‘BRS Imperial’ | 15.79 | 22.43 | 18.71 | 34.40 | 13,962 | 5052 | 63.82 |
| ‘Pérola’ | 15.81 | 22.71 | 18.70 | 34.49 | 15,277 | 5462 | 64.25 |
| ‘Smooth Cayenne’ | 15.47 | 22.45 | 18.90 | 34.09 | 13,969 | 5031 | 63.98 |
| ‘BRS Potyra’ | 15.89 | 22.56 | 18.89 | 34.81 | 15,458 | 5488 | 64.50 |
| ‘BRS Boyrá’ | 15.97 | 22.66 | 18.81 | 34.48 | 14,698 | 5426 | 63.08 |
| ‘Curauá’ | 15.79 | 22.52 | 18.81 | 34.40 | 17,637 | 5727 | 67.53 |
| Genotypes | Diameter (mm) | Tensile Strength (MPa) | Corrected Elastic Modulus (GPa) | ||
|---|---|---|---|---|---|
| 30 mm | 50 mm | 70 mm | |||
| ‘BRS Imperial’ | 0.11 (34) | 321.47 (48) | 289.77 (46) | 276.33 (32) | 19.34 |
| ‘Pérola’ | 0.15 (25) | 257.48 (26) | 255.64 (46) | 260.77 (36) | 20.12 |
| ‘Smooth Cayenne’ | 0.11 (43) | 396.12 (35) | 391.62 (39) | 387.65 (36) | 21.28 |
| ‘BRS Potyra’ | 0.19 (11) | 336.70 (24) | 301.88 (30) | 312.96 (16) | 20.16 |
| ‘BRS Boyrá’ | 0.13 (25) | 272.95 (30) | 242.86 (44) | 228.77 (44) | 25.19 |
| ‘Curauá’ | 0.12 (36) | 480.23 (43) | 447.22 (41) | 436.08 (43) | 28.01 |
| Fiber | σcr (MPa) | δ (mm) | σmax (MPa) | Scr (mm) | τfu (MPa) |
|---|---|---|---|---|---|
| ‘BRS Imperial’ | 2.88 (19) | 0.50 (56) | 7.59 (22) | 6.25 | 0.41 |
| ‘Pérola’ | 3.82 (17) | 0.75 (57) | 6.25 (13) | 7.69 | 0.63 |
| ‘Smooth Cayenne’ | 3.69 (25) | 0.75 (56) | 7.28 (23) | 6.00 | 0.56 |
| ‘BRS Potyra’ | 3.41 (21) | 0.25 (56) | 12.64 (24) | 5.66 | 0.92 |
| ‘BRS Boyrá’ | 4.06 (17) | 1.25 (59) | 7.43 (21) | 7.69 | 0.55 |
| ‘Curauá’ | 3.74 (29) | 0.75 (57) | 10.89 (31) | 6.25 | 0.60 |
Disclaimer/Publisher’s Note: The statements, opinions and data contained in all publications are solely those of the individual author(s) and contributor(s) and not of MDPI and/or the editor(s). MDPI and/or the editor(s) disclaim responsibility for any injury to people or property resulting from any ideas, methods, instructions or products referred to in the content. |
© 2025 by the authors. Licensee MDPI, Basel, Switzerland. This article is an open access article distributed under the terms and conditions of the Creative Commons Attribution (CC BY) license (https://creativecommons.org/licenses/by/4.0/).
Share and Cite
da Silva, J.M.; de Arruda Filho, A.B.; Farias, L.d.N.; de Souza, E.H.; Souza, F.V.D.; Ferreira, C.F.; Lima, P.R.L. Characterization and Application of Different Types of Pineapple Leaf Fibers (PALF) in Cement-Based Composites. Fibers 2025, 13, 51. https://doi.org/10.3390/fib13050051
da Silva JM, de Arruda Filho AB, Farias LdN, de Souza EH, Souza FVD, Ferreira CF, Lima PRL. Characterization and Application of Different Types of Pineapple Leaf Fibers (PALF) in Cement-Based Composites. Fibers. 2025; 13(5):51. https://doi.org/10.3390/fib13050051
Chicago/Turabian Styleda Silva, Julianna M., Adilson Brito de Arruda Filho, Lidianne do N. Farias, Everton Hilo de Souza, Fernanda V. D. Souza, Cláudia F. Ferreira, and Paulo R. L. Lima. 2025. "Characterization and Application of Different Types of Pineapple Leaf Fibers (PALF) in Cement-Based Composites" Fibers 13, no. 5: 51. https://doi.org/10.3390/fib13050051
APA Styleda Silva, J. M., de Arruda Filho, A. B., Farias, L. d. N., de Souza, E. H., Souza, F. V. D., Ferreira, C. F., & Lima, P. R. L. (2025). Characterization and Application of Different Types of Pineapple Leaf Fibers (PALF) in Cement-Based Composites. Fibers, 13(5), 51. https://doi.org/10.3390/fib13050051

