Kenaf Fibre Reinforced Cementitious Composites
Abstract
:1. Introduction
2. Kenaf Plant and Fibre
2.1. Physical, Chemical and Mechanical Properties of Kenaf Fibre
2.2. Surface Modification of Kenaf Fibre
3. Performance of Kenaf Fibre-Reinforced Cementitious Composites (KFRCC)
3.1. Fresh Properties
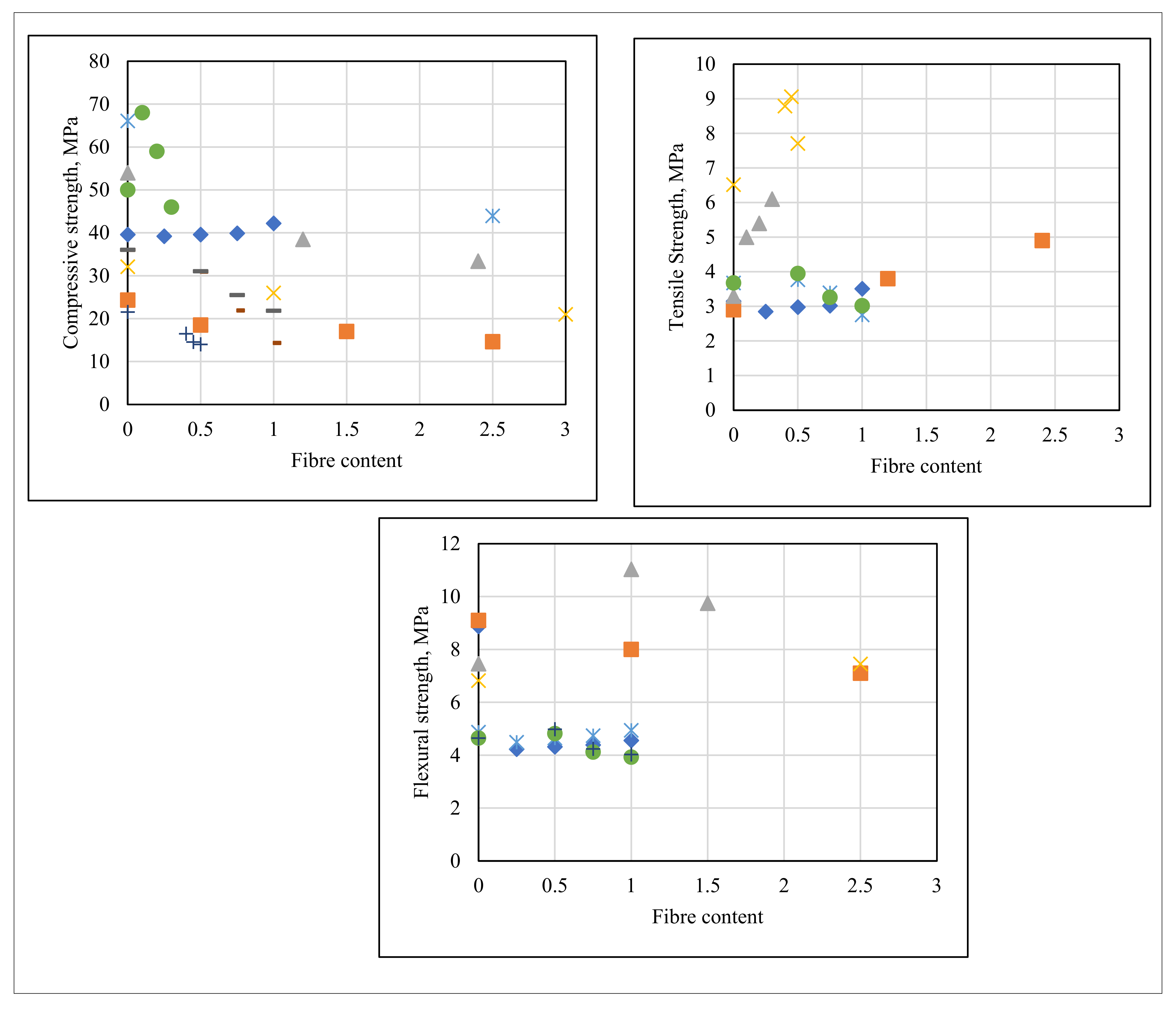
3.2. Mechanical and Microstructural Properties
3.3. Durability Properties
4. Discussion
5. Conclusions and Future Outlook
- KF are cost effective and environmentally friendly alternative to traditional fibres that can be utilized to improve the mechanical properties and durability of cementitious composites.
- KFRCC mixtures have lower workability and longer setting time than plain cementitious mixtures. Fibre pre-treatment can alleviate the reduction in workability by minimizing the water-absorbing chemical components of KF.
- The incorporation of KF in cement based-composites reduces their compressive strength. This is in line with the general understanding that the primary function of fibres is to control the propagation of the cracks in composites by bridging across cracks and providing post-cracking ductility rather than increasing compressive strength.
- The use of the appropriate length and content of KF improves the tensile and flexural strengths of cementitious composite. KF control the micro-cracks propagation, resulting in enhanced ductility, crack pattern and fracture energy of the cementitious composites.
- KF can effectively enhance the shrinkage performance of cement-based composites. However, further research is needed to thoroughly understand their effect on long-term performance.
Author Contributions
Funding
Institutional Review Board Statement
Informed Consent Statement
Acknowledgments
Conflicts of Interest
References
- Onuaguluchi, O.; Banthia, N. Plant-based natural fi bre reinforced cement composites: A review. Cem. Concr. Compos. 2016, 68, 96–108. [Google Scholar] [CrossRef]
- Huseien, G.F.; Mirza, J.; Ismail, M.; Ghoshal, S.K.; Hussein, A.A. Geopolymer mortars as sustainable repair material: A comprehensive review. Renew. Sustain. Energy Rev. 2017, 80, 54–74. [Google Scholar] [CrossRef]
- Hedjazi, S.; Castillo, D. Relationships among compressive strength and UPV of concrete reinforced with different types of fibers. Heliyon 2020, 6, e03646. [Google Scholar] [CrossRef] [PubMed]
- Grzymski, F.; Musiał, M.; Trapko, T. Mechanical properties of fibre reinforced concrete with recycled fibres. Constr. Build. Mater. 2019, 198, 323–331. [Google Scholar] [CrossRef]
- Fang, C.; Ali, M.; Xie, T.; Visintin, P.; Sheikh, A.H. The influence of steel fibre properties on the shrinkage of ultra-high performance fibre reinforced concrete. Constr. Build. Mater. 2020, 242, 117993. [Google Scholar] [CrossRef]
- Bankir, M.B.; Sevim, U.K. Performance optimization of hybrid fiber concretes against acid and sulfate attack. J. Build. Eng. 2020, 32, 101443. [Google Scholar] [CrossRef]
- Abid, S.R.; Abdul-hussein, M.L.; Ayoob, N.S.; Ali, S.H.; Kadhum, A.L. Repeated drop-weight impact tests on self-compacting concrete reinforced with micro-steel fiber. Heliyon 2020, 6, e03198. [Google Scholar] [CrossRef] [Green Version]
- Ramesh, M. Progress in Materials Science Kenaf (Hibiscus cannabinus L.) fibre based bio-materials: A review on processing and properties. J. Prog. Mater. Sci. 2016, 78, 1–92. [Google Scholar] [CrossRef]
- Guo, A.; Sun, Z.; Satyavolu, J. Experimental and finite element analysis on flexural behavior of mortar beams with chemically modified kenaf fibers. Constr. Build. Mater. 2021, 292, 123449. [Google Scholar] [CrossRef]
- Kim, D.K.J.J.H. Mechanical properties of kenaf fiber-cement composites containing kenaf gamma-ray grafted with acrylamide. J. Wood Sci. 2014, 60, 263–268. [Google Scholar] [CrossRef]
- Adole, A.M.; Yatim, J.M.; Ramli, S.A. Kenaf Fibre and Its Bio-Based Composites: A Conspectus. Sci. Technol. 2019, 27, 297–329. [Google Scholar]
- Esmaeilpourshirvani, N.; Taghavighalesari, A. Improvement of the engineering behavior of sand-clay mixtures using kenaf fiber reinforcement. Transp. Geotech. 2019, 19, 1–8. [Google Scholar] [CrossRef]
- Pirmohammad, S.; Shokorlou, Y.M.; Amani, B. Laboratory investigations on fracture toughness of asphalt concretes reinforced with carbon and kenaf fibers. Eng. Fract. Mech. 2020, 226, 106875. [Google Scholar] [CrossRef]
- Sim, Y.Y.; Nyam, K.L. Hibiscus cannabinus L. (kenaf) studies: Nutritional composition, phytochemistry, pharmacology, and potential applications. Food Chem. 2021, 344, 128582. [Google Scholar] [CrossRef]
- Chu, C.; Chew, S.; Nyam, K. Recent advances in encapsulation technologies of kenaf (Hibiscus cannabinus) leaves and seeds for cosmeceutical application. Food Bioprod. Process. 2021, 127, 99–113. [Google Scholar] [CrossRef]
- Juliana, A.H.; Paridah, M.T.; Rahim, S.; Azowa, I.N.; Anwar, U.M.K. Properties of particleboard made from kenaf (Hibiscus cannabinus L.) as function of particle geometry. J. Mater. 2012, 34, 406–411. [Google Scholar] [CrossRef]
- Elsaid, A.; Dawood, M.; Seracino, R.; Bobko, C. Mechanical properties of kenaf fiber reinforced concrete. Constr. Build. Mater. 2011, 25, 1991–2001. [Google Scholar] [CrossRef]
- Izran, K.; Zharif, T.M.; Beyer, G.; Jani, S.M.; Azrieda, A.R.N.; Yanti, A.K. Kenaf For Biocomposite: An Overview. J. Sci. Technol. 2014, 6, 41–66. [Google Scholar]
- Shahar, F.S.; Sultan, M.T.H.; Shah, A.U.M.; Safri, S.N.A. A short review on the extraction of kenaf fibers and the mechanical properties of kenaf powder composites. IOP Conf. Ser. Mater. Sci. Eng. 2019, 670, 012028. [Google Scholar] [CrossRef] [Green Version]
- Nadzri, S.N.Z.A.; Sultan, M.T.H.; Shah, A.U.M.; Safri, S.N.A.; Basri, A.A. A review on the kenaf/glass hybrid composites with limitations on mechanical and low velocity impact properties. Polymers 2020, 12, 1285. [Google Scholar] [CrossRef]
- Sadia, M.; Jee, L.; Hossain, S.; Siong, L. The influence of addition of treated kenaf fibre in the production and properties of fibre reinforced foamed composite. Constr. Build. Mater. 2018, 178, 518–528. [Google Scholar]
- Khalil, H.P.S.A.; Bhat, A.H.; Yusra, A.F.I. Green composites from sustainable cellulose nanofibrils: A review. Carbohydr. Polym. 2012, 87, 963–979. [Google Scholar] [CrossRef]
- Pietak, A.; Korte, S.; Tan, E.; Downard, A.; Staiger, M.P. Atomic force microscopy characterization of the surface wettability of natural fibres. APSUSC 2007, 253, 3627–3635. [Google Scholar] [CrossRef]
- Sanjay, M.R.; Siengchin, S.; Parameswaranpillai, J.; Jawaid, M.; Iulian, C.; Khan, A. A comprehensive review of techniques for natural fi bers as reinforcement in composites: Preparation, processing and characterization. Carbohydr. Polym. J. 2019, 207, 108–121. [Google Scholar]
- Santana, H.A.; Júnior, N.S.A.; Ribeiro, D.V.; Cilla, M.S.; Dias, C.M.R. Vegetable fibers behavior in geopolymers and alkali-activated cement based matrices: A review. J. Build. Eng. 2021, 44, 103291. [Google Scholar] [CrossRef]
- Ashori, A.; Harun, J.; Raverty, W.D.; Nor, M.; Yusoff, M. Chemical and Morphological Characteristics of Malaysian Cultivated Kenaf (Hibiscus cannabinus) Fiber. Polym.-Plast. Technol. Eng. 2006, 45, 131–134. [Google Scholar] [CrossRef]
- Ikhwan, M.; Zaki, M.; Dolah, R.; Mohamed, M.Z. Tensile behaviour for mercerization of single kenaf fiber. Malays. J. Fundam. Appl. Sci. 2018, 14, 437–439. [Google Scholar]
- Yan, L.; Kasal, B.; Huang, L. A review of recent research on the use of cellulosic fi bres, their fi bre fabric reinforced cementitious, geo-polymer and polymer composites in civil engineering. Compos. Part B 2016, 92, 94–132. [Google Scholar] [CrossRef]
- Mahjoub, R.; Yatim, J.M.; Sam, A.R.M.; Raftari, M. Characteristics of continuous unidirectional kenaf fiber reinforced epoxy composites. J. Mater. 2014, 64, 640–649. [Google Scholar] [CrossRef]
- Fiore, V.; di Bella, G.; Valenza, A. The effect of alkaline treatment on mechanical properties of kenaf fibers and their epoxy composites. Compos. B 2015, 68, 14–21. [Google Scholar] [CrossRef]
- Karimah, A.; Ridho, M.R.; Munawar, S.S.; Adi, D.S.; Damayanti, R.; Subiyanto, B.; Fatriasari, F.; Fudholi, A. A review on natural fibers for development of eco-friendly bio-composite: Characteristics, and utilizations. J. Mater. Res. Technol. 2021, 13, 2442–2458. [Google Scholar] [CrossRef]
- Shirazi, M.G.; Rashid, A.S.A.; Nazir, R.B.; Rashid, A.H.A.; Kassim, A.; Horpibulsuk, S. Investigation of tensile strength on alkaline treated and untreated kenaf geotextile under dry and wet conditions. Geotext. Geomembr. 2019, 47, 522–529. [Google Scholar] [CrossRef]
- Azwa, Z.N.; Yousif, B.F.; Manalo, A.C.; Karunasena, W. A review on the degradability of polymeric composites based on natural fibres. Mater. Des. 2013, 47, 424–442. [Google Scholar] [CrossRef] [Green Version]
- Guo, A.; Sun, Z.; Satyavolu, J. Impact of chemical treatment on the physiochemical and mechanical properties of kenaf fibers. Ind. Crop. Prod. 2019, 141, 111726. [Google Scholar] [CrossRef]
- Lam, T.F.; Yatim, J.M. Mechanical properties of kenaf fiber reinforced concrete with different fiber content and fiber length. J. Asian Concr. Fed. 2015, 1, 11–21. [Google Scholar] [CrossRef]
- Azzmi, N.M.; Yatim, J.M. Kenaf Fibrous Concrete: Mechanical properties with different fiber volume fraction. Int. J. Adv. Sci. Eng. Inf. Technol. 2018, 8, 1036–1042. [Google Scholar] [CrossRef]
- Babatunde, O.E.; Yatim, J.M.; Razavi, M. Experimental Study of Kenaf Bio Fibrous Concrete Composites Experimental Study of Kenaf Bio Fibrous Concrete Composites. Adv. Sci. Lett. 2018, 24, 3922–3927. [Google Scholar] [CrossRef]
- Abd Razak, S.I.; Abdul Rahman, W.A.W.; Hashim, S.; Yahya, M.Y. Enhanced Interfacial Interaction and Electronic Properties of Novel Conducting Kenaf/Polyaniline Biofibers. Polym.-Plast. Technol. Eng. 2013, 52, 51–57. [Google Scholar] [CrossRef]
- Perumal, P.A.; Rassiah, K.; Dickson, P.P.; Razak, J.A. Mechanical properties of kenaf/polyester composites. Int. J. Eng. Technol. IJET-IJENS 2011, 11, 127–131. [Google Scholar]
- Edeerozey, A.M.M.; Akil, H.; Azhar, A.B.; Ariffin, M.I.Z. Chemical modification of kenaf fibers. Mater. Lett. 2006, 61, 2023–2025. [Google Scholar] [CrossRef]
- Ishak, Z.A.M.; Ariawan, D.; Salim, M.S.; Taib, R.M.; Thirmizir, M.Z.A.; Phua, Y.J. The effect of alkalization on the mechanical and water absorption properties of non-woven kenaf fiber/unsaturated-polyester composites produced by resin-transfer molding (RTM). In Proceedings of the 16th European Conference on Composite Materials, Seville, Spain, 22–26 June 2014. [Google Scholar]
- Muhammad, A.; Rashidi, A.R.; Wahit, M.U.; Sanusi, S.N.A.; Iziuna, S.; Jamaludin, S. Alkaline treatment on kenaf fiber to be incorporated in unsaturated polyester. J. Eng. Appl. Sci. 2016, 11, 11894–11897. [Google Scholar]
- Jawaid, M.A.M.; Ishak, K.A.M.R. The Effect of Silane Treated Fibre Loading on Mechanical Properties of Pineapple Leaf/Kenaf Fibre Filler Phenolic Composites. J. Polym. Environ. 2018, 26, 1520–1527. [Google Scholar]
- Cho, D.; Lee, H.S.; Han, S.O. Effect of Fiber Surface Modification on the Interfacial and Mechanical Properties of Kenaf Fiber-Reinforced Thermoplastic and Thermosetting Polymer Composites. Compos. Interfaces 2009, 16, 711–729. [Google Scholar] [CrossRef]
- Sharif, J.; Fatahiyah, S.; Azilah, N.; Othman, F. Graft copolymerization of glycidyl methacrylate onto deligni fi ed kenaf fi bers through pre-irradiation technique. Radiat. Phys. Chem. 2013, 91, 125–131. [Google Scholar] [CrossRef]
- Majid, R.A.; Ismail, H.; Taib, R.M. Benzoyl Chloride Treatment of Kenaf Core Powder: The Effects on Mechanical and Morphological Properties of PVC/ENR/kenaf Core Powder Composites. Procedia Chem. 2016, 19, 803–809. [Google Scholar] [CrossRef] [Green Version]
- Series, C. Study of the effect of surface treatment of kenaf fibre on mechanical properties of kenaf filled unsaturated polyester composite. J. Phys. Conf. Ser. Pap. 2017, 908, 012002. [Google Scholar]
- Chang, B.P.; Chan, W.H.; Zamri, M.H.; Akil, H. Investigating the Effects of Operational Factors on Wear Properties of Heat-Treated Pultruded Kenaf Fiber-Reinforced Polyester Composites using Taguchi Method. J. Nat. Fibers 2019, 16, 702–717. [Google Scholar] [CrossRef]
- Ariawan, D.; Mohd Ishak, Z.A.; Mat Taib, R.; Ahmad Thirmizir, M.Z.; Phua, Y.J. Effect of Heat Treatment on Properties of Kenaf Fiber Mat/Unsaturated Polyester Composite Produced by Resin Transfer Molding. Appl. Mech. Mater. 2015, 699, 118–123. [Google Scholar] [CrossRef]
- Lande, I.; Terje, R. The influence of steel fibres on compressive and tensile strength of ultra high performance concrete: A review. Constr. Build. Mater. 2020, 256, 119459. [Google Scholar]
- Amiandamhen, S.O.; Osadolor, S.O. Recycled waste paper-cement composite panels reinforced with kenaf fibres: Durability and mechanical properties. J. Mater. Cycles Waste Manag. 2020, 22, 1492–1500. [Google Scholar] [CrossRef] [Green Version]
- Hasan, N.S.; Sobuz, H.R.; Auwalu, A.S.; Tamanna, N. Investigation into the suitability of kenaf fiber to produce structural concrete. Adv. Mater. Lett. 2015, 6, 731–737. [Google Scholar] [CrossRef]
- Beddu, S.; Basri, A.; Muda, Z.C.; Farahlina, F.; Mohamad, D.; Itam, Z.; Kamal, N.L.M.; Sabariah, T. Comparison of Thermomechanical Properties of Cement Mortar with Kenaf and Polypropylene Fibers. IOP Conf. Ser. Mater. Sci. Eng. 2021, 1144, 012036. [Google Scholar] [CrossRef]
- Kavitha, R.; Sundarraja, M.C.; Dhivya, S.; Chanthira, N.; Vinodhini, C.; Logeswaran, S. Investigation on Properties of Concrete by adding Metakaolin and Kenaf Fibres. IOP Conf. Ser. Mater. Sci. Eng. 2021, 1145, 012009. [Google Scholar] [CrossRef]
- Gwon, S.; Choi, Y.C.; Shin, M. Effect of plant cellulose microfibers on hydration of cement composites. Constr. Build. Mater. 2021, 267, 121734. [Google Scholar] [CrossRef]
- Baarimah, A.O.; Mohsin, S.M.S.; Alaloul, W.S.; Ba-Naimoon, M.S. Effect of Sodium Hydroxide on Mechanical Characteristics of Kenaf Fibers Reinforced Concrete. J. Phys. Conf. Ser. 2021, 1962, 012013. [Google Scholar] [CrossRef]
- Abirami, R.; Sangeetha, S.P.; Nadeemmishab, K.; Vaseem, P.Y.; Sad, K.S. Experimental behaviour of sisal and kenaf fibre reinforced concrete. AIP Conf. Proc. 2020, 2271, 030023. [Google Scholar]
- Liu, X.; Wang, H.; Fei, Z.; Dai, L.; Zhang, G.; Ai, S.; Guo, Y.; Wang, S. Effect of slightly cadmium-enriched kenaf straw on the mechanical and thermal properties of cement mortar. Eur. J. Environ. Civ. Eng. 2020, 24, 1–19. [Google Scholar] [CrossRef]
- Zhou, C.; Cai, L.; Chen, Z.; Li, J. Effect of kenaf fiber on mechanical properties of high-strength cement composites. Constr. Build. Mater. 2020, 263, 121007. [Google Scholar] [CrossRef]
- Ogunbode, E.B. Flexural Creep Performance of Pre-cracked Kenaf Bio Fibrous Concrete Composite Subjected to Sustained Bending Loading. Int. J. Psychosoc. Rehabil. 2020, 24, 5527–5544. [Google Scholar] [CrossRef]
- Samsudin, M.F.; Ramli, M.; Ban, C.C. Mechanical properties and flexural behaviour of fibrous cementitious composites containing hybrid, kenaf and barchip fibres in cyclic exposure. Mater. Sci. Adv. Compos. Mater. 2019, 2, 1–11. [Google Scholar] [CrossRef]
- Ogunbode, E.B.; Jamaludin, M.Y.; Affendi, H.B.; Aziz, A.A.; Ishak, Y.M.; Hamid, H.A. An Evaluation of the Interfacial Bond Strength of Kenaf Fibrous Concrete and Plain Concrete Composite. Int. J. Built Environ. Sustain. 2019, 6, 1–6. [Google Scholar] [CrossRef]
- Azzmi, N.M.; Yatim, J.M.; Hamid, H.A.; Aziz, A.A.; Adole, A.M. Mechanical properties of pulverized fuel ash concrete kenaf fibrous. MATEC Web Conf. 2018, 250, 05007. [Google Scholar] [CrossRef] [Green Version]
- Mahzabin, M.S.; Hock, L.J.; Kang, L.S. Performance of Mechanical Behavior of Kenaf Fibre Reinforced Foamed Composite. AIP Conf. Proc. 2017, 1892, 020035. [Google Scholar]
- Rahman, A.; Sam, M.; Usman, J.; Akbar, S.; Yusoff, I.M. Properties of Mortar Reinforced With Natural Horse Hair and Kenaf Fibres. Malays. J. Civ. Eng. 2016, 28, 300–314. [Google Scholar]
- Arunachalam, A.; Jayakumar, K. Influence of polypropylene fibres on the mechanical and durability properties of high performance concrete. In Proceedings of the International Conference FIBRE Concrete, Prague, Czech Republic, 10–11 September 2015. [Google Scholar]
- Semsi, Y.; Inan, G.; Tabak, V. Effect of aspect ratio and volume fraction of steel fiber on the mechanical properties of SFRC. Constr. Build. Mater. 2007, 21, 1250–1253. [Google Scholar]
- Ramesh, B.; Eswari, S. Mechanical behaviour of basalt fibre reinforced concrete: An experimental study. Mater. Today Proc. 2021, 43, 2317–2322. [Google Scholar] [CrossRef]
- Fallah, S.; Nematzadeh, M. Mechanical properties and durability of high-strength concrete containing macro-polymeric and polypropylene fibers with nano-silica and silica fume. Constr. Build. Mater. 2017, 132, 170–187. [Google Scholar] [CrossRef]
- Islam, M.S.; Ju, S. Influence of jute fiber on concrete properties. Constr. Build. Mater. 2018, 189, 768–776. [Google Scholar] [CrossRef]
- Akil, H.M.; Omar, M.F.; Mazuki, A.A.M.; Safiee, S.; Ishak, Z.A.M.; Bakar, A.A. Kenaf fiber reinforced composites: A review. Mater. Des. 2011, 32, 4107–4121. [Google Scholar] [CrossRef]
- Borhan, T.M. Properties of glass concrete reinforced with short basalt fibre. J. Mater. 2012, 42, 265–271. [Google Scholar] [CrossRef]
- Ramezanianpour, A.A.; Esmaeili, M.; Ghahari, S.A.; Najafi, M.H. Laboratory study on the effect of polypropylene fiber on durability, and physical and mechanical characteristic of concrete for application in sleepers. Constr. Build. Mater. 2013, 44, 411–418. [Google Scholar] [CrossRef]
- Ali, M.; Liu, A.; Sou, H.; Chouw, N. Mechanical and dynamic properties of coconut fibre reinforced concrete. Constr. Build. Mater. 2012, 30, 814–825. [Google Scholar] [CrossRef]
- Guo, A.; Sun, Z.; Satyavolu, J. Impact of modified kenaf fibers on shrinkage and cracking of cement pastes. Constr. Build. Mater. 2020, 264, 120230. [Google Scholar] [CrossRef]
- Sivakumaresa Chockalingam, L.N.; Merina, R.N. Strength and Durability Characteristics of Coir, Kenaf and Polypropylene Fibers Reinforced High Performance Concrete. J. Nat. Fibers 2021, 18, 1–9. [Google Scholar] [CrossRef]













| Type | Cellulose | Hemi-Cellulose | Lignin | Pentosan | 1% NaOH Extract | Hot Water | E.B. Extract | Ash |
|---|---|---|---|---|---|---|---|---|
| Bast | 56.4 | 26.2 | 14.7 | 13.5 | 14.5 | 3.4 | 2.7 | 2.2 |
| Core | 46.1 | 29.7 | 22.1 | 20.7 | 20.6 | 3.9 | 2.2 | 1.6 |
| Density (g/cm3) | Tensile Strength (MPa) | Young Modulus (GPa) | Elongation at Break (%) | Ref. |
|---|---|---|---|---|
| 1.45 | 930 | 53 | 1.5 | [12] |
| 1.29 | 157–600 | 12.8–34.2 | - | [17] |
| - | 129.10–267.69 | 9.02–11.88 | 1.35–2.07 | [27] |
| 1.4 | 223–930 | 14.5-53 | 1.5–2.7 | [28] |
| 1.2 | 580–925 | - | 1.26–2.6 | [29] |
| 1.2 | 350–600 | 40 | 2.5–3.5 | [30] |
| Treatment Method | Treatment Effect | Matrix | Tensile Strength (MPa) | Ref. | |
|---|---|---|---|---|---|
| Untreated | Treated | ||||
| Improved the properties of the single fibres and the composite. | Cement | 423 423 | 433 503 | [9] | |
| Alkaline treatment | Cleaned and chemically modified the surface of the KF, resulting in a rise in surface roughness, which improves interfacial adhesion between the cement matrix and KF in terms of hydration, and internal curing. | Cement | - | [21] | |
| Improved the tensile behaviour of the treated fibres. | Single | 129.10 | 267.69 | [27] | |
| Removed the lignin and hemicellulose components of KF. | Cement | - | - | [35] | |
| - | Cement | - | - | [36] | |
| - | Cement | - | - | [37] | |
| Removed the surface impurities of the fibres. | Single fibre | 218 | 254 | [38] | |
| Removed the impurities from the surface of the fibres and improved the mechanical properties of the composite. | Polyester | 69.1 | 90.8 | [39] | |
| Cleaned and chemically modified the fibre surface with increased surface roughness. | Single fibre | 215.4 | 243.7 | [40] | |
| Removed the amorphous hemicellulose and lignin from the fibre and re-arranged the cellulose chain into a more compact manner, resulting in an increased packing density and improved mechanical properties. | Single fibre | 251.4 | 384.7 | [41] | |
| Improved the mechanical strength of the composite. | Unsaturated polyester | 67 | 84.2 | [42] | |
| Silane treatment | Removed a large portion of hemicellulose, lignin, and hydroxyl groups, which improved the fibre-matrix interfacial bonding. | Phenolic | 48 | 52 | [43] |
| Improved the flexural, interfacial shear strengths, and mechanical properties of the composites. | Thermoplastic polypropylene | 26 | 47 | [44] | |
| Thermosetting unsaturated polyester | 43 | 85 | |||
| Graft copolymerization | Decreased the lignin content from 14.3% to as low as 3.3%. Besides, the SEM results showed that the treated KF surface was cleaner and smoother than the surface of the untreated fibres. | Single fibre | - | - | [45] |
| Hydrogen peroxide | Increased the cellulose content and the crystallinity of the fibres by 40% and 26.8%, respectively. | Single fibre | 423.01 | 503.02 | [34] |
| Potassium permanganate | Increased the cellulose content in the fibres by 21%, while the hemicellulose and lignin content decreased by 34.21% and 17%, respectively, compared to untreated fibres. | Single fibre | 423.01 | 425 | [34] |
| Benzoyl chloride | Improved the fibre-matrix interfacial adhesion by the formation of a new linkage that connected the surface of KF with the matrix. | polyvinyl chloride with epoxidized natural rubber | 4.4 | 4.7 | [46] |
| Stearic acid | Increased the matrix interphase region and wettability. Besides, increased surface roughness resulted in improved surface interaction between resin and fibre. | Unsaturated polyester | 35.664 | 56.893 | [47] |
| Heat treatment | Decreased the fibre surface moisture absorption and voids content, which resulted in a composite with better properties. | Thermosetting unsaturated polyester | - | - | [48] |
| Increased cellulose crystallinity due to the modification of the molecular structure in addition to the partial removal of the impurities on the surface of the fibres. | Single | 251.43 | 320.85 | [49] | |
| Ref. | Year | Fibre Diameter μm | Fibre Length mm | Optimum Length | Fibre Volume % | Optimum Volume | Testing Variables | Dependent Variables | Testing Method |
|---|---|---|---|---|---|---|---|---|---|
| [9] | 2021 | 62.99–83.24 | 10 | - | 0.25–0.75 | - | Treatment method, fibres content and effect of superplasticizer | Mechanical properties | Compressive strength, modulus of elasticity and flexural strength and toughness |
| Microstructural properties | SEM | ||||||||
| [17] | 2011 | Mix (25–38) | - | 1.2–2.4 | 1.2 | Effect of fibre content | Mechanical properties | Compressive strength, elastic modulus, tensile and flexural strength | |
| [35] | 2015 | - | 25 and 50 | 50 | 0.5–2 | 0.75 | Effect of fibre content and length | Fresh properties | Slump |
| Mechanical properties | Compressive, tensile and flexural strength | ||||||||
| [36] | 2018 | - | 25 and 50 | 25 | 0.5–1.5 | 0.5–1 | Effect of fibre content and length | Fresh properties | Slump |
| Mechanical properties | Compressive, tensile and flexural strength | ||||||||
| Microstructural properties | SEM and EDX | ||||||||
| [37] | 2018 | 39–115 | 25 and 50 | 50 | 0.5–1 | 0.5 | Effect of fibre content and length | Fresh properties | Slump, compaction factor and VeBe test |
| Mechanical properties | Compressive, tensile and flexural strength and elastic modulus test | ||||||||
| Durability properties | Drying shrinkage | ||||||||
| [51] | 2020 | - | - | - | 2–10 | 8 | Fibre’s content | Mechanical properties | Modulus of rupture, modulus of elasticity (MOE) |
| Durability properties | Water absorption, fungal decay and termite damage | ||||||||
| [52] | 2015 | - | Mix (20 + 50) | - | 1–5 | 1 | Effect of fibre content | Fresh properties | Slump and compaction factor |
| Mechanical properties | Compressive and flexural strength, direct shear and rebound hammer | ||||||||
| [53] | 2021 | - | - | - | 0.1–0.3 | - | Fibres type and content | Fresh properties | Flowability |
| Mechanical properties | Compressive and tensile strength | ||||||||
| Thermal properties | Thermal conductivity | ||||||||
| [54] | 2021 | - | - | - | 0.5–2 | 0.5 | Metakaolin ratio and kenaf content | Mechanical properties | Compressive, tensile and flexural strength |
| [55] | 2021 | - | 5 and 400 µm | - | 0.3–0.6 | - | Effect of fibres size and content | Fresh properties | Flowability, setting time and heat of hydration |
| Mechanical properties | Compressive strength | ||||||||
| Microstructural properties | SEM EDS mercury intrusion porosimetry | ||||||||
| [56] | 2021 | - | 30 | - | 1 and 2 | 1 | Effect of sodium hydroxide and fibre content | Mechanical properties | Compressive and flexural strength |
| [57] | 2020 | 75 | Mix of (60–80) | - | 0.25–1 | 1 | Fibre type and content | Mechanical properties | Compressive, tensile and flexural strength |
| [58] | 2020 | - | Mix of (5 –15) | - | 0.5–2.5 | 0.5 | Fibre type and content | Mechanical properties | Compressive and flexural strength |
| Thermal properties | Thermal conductivity | ||||||||
| Microstructural properties | SEM | ||||||||
| [59] | 2020 | - | Mix of (5–15) | - | 1–2 | 1 | The influence of the strength grade and fibre content | Mechanical properties | Compressive strength, flexural strength, deformation behavior and toughness |
| Microstructural properties | SEM and XRD | ||||||||
| [60] | 2020 | 65.4 | 25 and 50 | 50 | 0–2 | 0.5 | Effect of fibre length and content | Fresh properties | Slump, compaction factor and VeBe test |
| Mechanical properties | Compressive strength, tensile strength, flexural strength and flexural creep | ||||||||
| Microstructural properties | SEM | ||||||||
| [61] | 2019 | - | 20 | - | 2.5 | - | Barchip fibre/kenaf fibre ratio | Mechanical properties | Compressive and flexural strength |
| [62] | 2019 | - | 50 | - | 0.75 | - | The interfacial bonding behaviour between KFCC and cement | Mechanical properties | Shear test, compressive strength and tensile strength |
| [63] | 2018 | - | 25 and 50 | 50 | 0.5–1.5 | 0.5 and 0.75 | Fibre content and binder material | Mechanical properties | Compressive, tensile and flexural strength |
| [64] | 2017 | - | 50 | - | 0.4–0.5 | 0.45 | Effect of fibre content | Mechanical properties | Compressive, tensile and flexural strength |
| Durability properties | Water absorption | ||||||||
| [65] | 2016 | - | 40 | - | 0–1.5 | 1 | Curing conditions, fibre types and content | Fresh properties | Slump |
| Mechanical properties | Compressive and flexural strength | ||||||||
| [66] | 2015 | - | 19 | - | 0.25 and 0.4 | 0.4 | Fibres type and content | Fresh properties | Slump |
| Mechanical properties | Compressive and flexural strength | ||||||||
| Durability properties | Water absorption and drying shrinkage | ||||||||
| Microstructural properties | SEM |
Publisher’s Note: MDPI stays neutral with regard to jurisdictional claims in published maps and institutional affiliations. |
© 2022 by the authors. Licensee MDPI, Basel, Switzerland. This article is an open access article distributed under the terms and conditions of the Creative Commons Attribution (CC BY) license (https://creativecommons.org/licenses/by/4.0/).
Share and Cite
Abbas, A.-G.N.; Aziz, F.N.A.A.; Abdan, K.; Mohd Nasir, N.A.; Norizan, M.N. Kenaf Fibre Reinforced Cementitious Composites. Fibers 2022, 10, 3. https://doi.org/10.3390/fib10010003
Abbas A-GN, Aziz FNAA, Abdan K, Mohd Nasir NA, Norizan MN. Kenaf Fibre Reinforced Cementitious Composites. Fibers. 2022; 10(1):3. https://doi.org/10.3390/fib10010003
Chicago/Turabian StyleAbbas, Al-Ghazali Noor, Farah Nora Aznieta Abdul Aziz, Khalina Abdan, Noor Azline Mohd Nasir, and Mohd Nurazzi Norizan. 2022. "Kenaf Fibre Reinforced Cementitious Composites" Fibers 10, no. 1: 3. https://doi.org/10.3390/fib10010003
APA StyleAbbas, A.-G. N., Aziz, F. N. A. A., Abdan, K., Mohd Nasir, N. A., & Norizan, M. N. (2022). Kenaf Fibre Reinforced Cementitious Composites. Fibers, 10(1), 3. https://doi.org/10.3390/fib10010003

