Properties of Post-Consumer Polyethylene Terephthalate Coating Mechanically Deposited on Mild Steels
Abstract
1. Introduction
2. Materials and Methods
2.1. Materials
2.2. Deposition Process
2.3. Coating Characterization
2.4. Corrosion Resistance Evaluation
3. Results and Discussion
3.1. Characterization Results
3.2. Corrosion Resistance of PET Coated Steel
3.2.1. Results of Exposure of the Coating on Scratched Samples after 480 h in Salt Spray Chamber
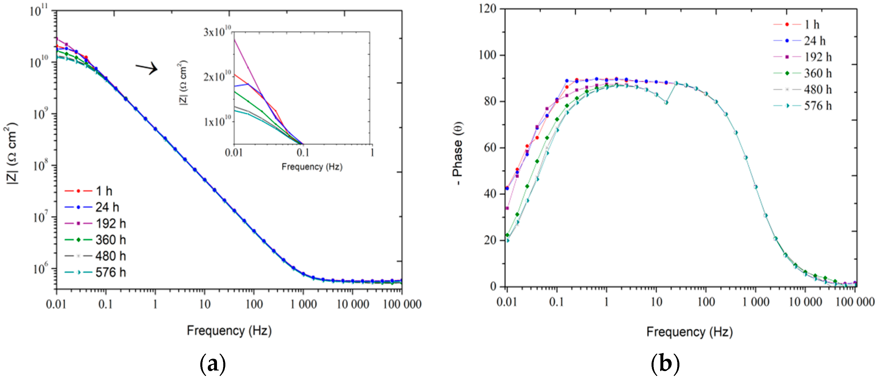
3.2.2. Electrochemical Impedance Spectroscopy (EIS)
4. Conclusions
Author Contributions
Funding
Acknowledgments
Conflicts of Interest
References
- Lins, V.F.C.; Branco, J.R.T.; Diniz, F.R.C.; Brogan, J.C.; Berndt, C.C. Erosion behavior of thermal sprayed, recycled polymer and ethylene–methacrylic acid composite coatings. Wear 2007, 262, 274–281. [Google Scholar] [CrossRef]
- Le, L.; Mojtaba, M.; Chun, Q.L.; Dilan, R. Effect of corrosion and hydrogen embrittlement on microstructure and mechanical properties of mild steel. Constr. Build. Mater. 2018, 170, 78–90. [Google Scholar] [CrossRef]
- Sienkiewicz, M.; Janik, H.; Borzędowska-Labuda, K.; Kucińska-Lipka, J. Environmentally friendly polymer-rubber composites obtained from waste tyres: A review. J. Clean. Prod. 2017, 147, 560–571. [Google Scholar] [CrossRef]
- Çınar, M.E.; Kar, F. Characterization of composite produced from waste PET and marble dust. Constr. Build. Mater. 2018, 163, 734–741. [Google Scholar] [CrossRef]
- Ramachandra, T.V.; Bharath, H.A.; Kulkarni, G.; Han, S.S. Municipal solid waste: Generation, composition and GHG emissions in Bangalore, India Review article. Renew. Sustain. Energy Rev. 2018, 82, 1122–1136. [Google Scholar] [CrossRef]
- Plastics Europe. Available online: https://www.plasticseurope.org/application/files/5715/1717/4180/Plastics_the_facts_2017_FINAL_for_website_one_page.pdf (accessed on 9 August 2018).
- Shen, L.; Worrell, E.; Patel, M.K. Open-loop recycling: A LCA case study of PET bottle-to-fibre recycling. Resour. Conserv. Recycl. 2010, 55, 34–52. [Google Scholar] [CrossRef]
- Awaja, F.; Pavel, D. Recycling of PET. Eur. Polym. J. 2005, 41, 1453–1477. [Google Scholar] [CrossRef]
- Duarte, L.T.; Paula, E.M.; Branco, J.R.T.; Lins, V.F.C. Production and characterization of thermally sprayed polyethylene terephthalate coatings. Surf. Coat. Technol. 2004, 182, 261–267. [Google Scholar] [CrossRef]
- Phetphaisit, C.W.; Namahoot, J.; Saengkiettiyut, K.; Ruamcharoen, J.; Ruamcharoen, P. Green metal organic coating from recycled PETs and modified natural rubber for the automobile industry. Prog. Org. Coat. 2015, 86, 181–189. [Google Scholar] [CrossRef]
- Sanaee, Z.; Mohajerzadeh, S.; Zand, K.; Gard, F.S.; Pajouhi, H. Minimizing permeability of PET substrates using oxygen plasma treatment. Appl. Surf. Sci. 2011, 257, 2218–2225. [Google Scholar] [CrossRef]
- ASTM B117 Standard Practice for Standard Practice for Operating Salt Spray (Fog) Apparatus; ASTM International: West Conshohocken, PA, USA, 2012.
- ISO 9227-2017 Corrosion Tests In Artificial Atmospheres—Salt Spray Tests; ISO: Geneva, Switzerland, 2017.
- Jayakannan, M.; Ramakrishnan, S. Effect of branching on the crystallization kinetics of poly(ethylene terephthalate). J. Appl. Polym. Sci. 1999, 74, 59–66. [Google Scholar] [CrossRef]
- ASTM D4541 Standard Test Method for Pull-Off Strength of Coatings Using Portable Adhesion Testers; ASTM International: West Conshohocken, PA, USA, 2017.
- Deflorian, F.; Fedrizz, L.; Rossi, S.; Bonora, P.L. Organic coating capacitance measurement by EIS: Ideal and actual trends. Electrochim. Acta 1999, 44, 4243–4249. [Google Scholar] [CrossRef]
- Bacon, R.C.; Smith, J.J.; Rugg, F.M. Electrolytic resistance in evaluating protective merit of coatings on metals. Ind. Eng. Chem. 1948, 40, 161–168. [Google Scholar] [CrossRef]
- Zhang, J.; Hu, J.; Zhang, J.; Cao, C. Studies of impedance models and water transport behaviors of polypropylene coated metals in NaCl solution. Prog. Org. Coat. 2004, 49, 293–301. [Google Scholar] [CrossRef]
- Wang, H.; Zhou, Q. Evaluation and failure analysis of linseed oil encapsulated self healing anticorrosive coating. Prog. Org. Coat. 2018, 118, 108–115. [Google Scholar] [CrossRef]
- Chen, Z.; Hay, J.N.; Jenkins, M.J. FTIR spectroscopic analysis of poly(ethylene terephthalate) on crystallization. Eur. Polym. J. 2012, 48, 1586–1610. [Google Scholar] [CrossRef]
- Chen, Z.; Hay, J.N.; Jenkins, M.J. The thermal analysis of poly(ethylene terephthalate) by FTIR spectroscopy. Thermochim. Acta 2013, 552, 123–130. [Google Scholar] [CrossRef]
- Parvinzadeh, M.; Moradian, S.; Rashidi, A.; Yazdanshenas, M.E. Surface characterization of polyethylene terephthalate/silica nanocomposites. Appl. Surf. Sci. 2010, 256, 2792–2802. [Google Scholar] [CrossRef]
- Demirel, B. Optimisation of mould surface temperature and bottle residence time in mould for the carbonated soft drink PET containers. Polym. Test 2017, 60, 220–228. [Google Scholar] [CrossRef]
- Takeshitaa, Y.; Sawadaa, T.; Handaa, T.; Watanuki, Y.; Kudo, T. Influence of air-cooling time on physical properties of thermoplastic polyester powder coatings. Prog. Org. Coat. 2012, 75, 584–589. [Google Scholar] [CrossRef]
- Guçlu, G.; Orbay, M. Alkyd resins synthesized from postconsumer PET bottles. Prog. Org. Coat. 2009, 65, 362–365. [Google Scholar] [CrossRef]
- Mirabedini, S.M.; Kiamaneshb, A.A. The effect of micro and nano-sized particles on mechanical and adhesion properties of a clear polyester powder coating. Prog. Org. Coat. 2013, 76, 1625–1632. [Google Scholar] [CrossRef]
- Puiga, M.; Cabedoa, L.; Graceneaa, J.J.; Jiménez-Morales, A.; Gámez-Pérez, J.; Suay, J.J. Adhesion enhancement of powder coatings on galvanised steel by addition of organo-modified silica particles. Prog. Org. Coat. 2014, 77, 1309–1315. [Google Scholar] [CrossRef]
- Jegdić, B.V.; Bajat, J.B.; Popić, J.P.; Stevanović, S.I.; Mišković-Stanković, V.B. The EIS investigation of powder polyester coatings on phosphated low carbon steel: The effect of NaNO2 in the phosphating bath. Corros. Sci. 2011, 53, 2872–2880. [Google Scholar] [CrossRef]
- Ding, R.; Jiang, J.; Gui, T. Study of impedance model and water transport behavior of modified solvent-free epoxy anticorrosion coating by EIS. J. Coat. Technol. Res. 2016, 13, 501–515. [Google Scholar] [CrossRef]
- Mafi, R.; Mirabedini, S.M.; Naderi, R.; Attar, M.M. Effect of curing characterization on the corrosion performance of polyester and polyester/epoxy powder coatings. Corros. Sci. 2008, 50, 3280–3286. [Google Scholar] [CrossRef]
- Ismail, L.; Ramesh, K.; Mat Nor, N.A.; Jamari, S.K.M.; Vengadaesvaran, B.; Arof, A.K. Performance of polyester/epoxy binder coating system—Studies on coating resistance, adhesion and differential scanning calorimetry. Pigment Resin Technol. 2016, 45, 158–163. [Google Scholar] [CrossRef]
- Moreno, C.C.; Hernández, S.; Santana, J.J.; González-Guzmán, J.; Souto, R.M.; González, S. Characterization of water uptake by organic coatings used for the corrosion protection of steel as determined from capacitance measurements. Int. J. Electrochem. Sci. 2012, 7, 7390–7403. [Google Scholar]
- Shreepathi, S.; Naik, S.M.; Vattipalli, M.R. Water transportation through organic coatings: Correlation between electrochemical impedance measurements, gravimetry, and water vapor permeability. J. Coat. Technol. Res. 2012, 9, 411–422. [Google Scholar] [CrossRef]
- Fredj, N.; Cohendoz, S.; Mallarino, S.; Feaugas, X.; Touzain, S. Evidencing antagonist effects of water uptake and leaching processes in marine organic coatings by gravimetry and EIS. Prog. Org. Coat. 2010, 67, 287–295. [Google Scholar] [CrossRef]








| Wavenumber (cm−1) | Functional Groups |
|---|---|
| 3200–3600 | O–H |
| 2850–3000 | C–H aliphatic |
| 1715–1740 | stretch C=O unconjugated ketone, ester and carboxylic acid group |
| 1600–1690 | stretch C=O aromatic ketone and conjugated aldehydes |
| 1407, 1018, 1465 | CH2– |
| 1270–1097 | ester group vibration |
| 1043–972 | stretching of ether group C–O–C |
| 871, 724 | Vibration =C–H benzene ring off plan |
| Sample | Glass Transition Temperature (Tg) (°C) | Crystallization Temperature (Tc) (°C) | ΔHc (J g−1) | Melting Temperature (Tm) (°C) | ΔHm (J g−1) | χc (%) | Decomposition Temperature (Td) (°C) | |
|---|---|---|---|---|---|---|---|---|
| Onset | Midpoint | |||||||
| PET powder | 73.8 | 78.6 | 195.0 | 35.6 | 233.0 | 35.7 | 25.5 | 454.7 |
| PET coating | 72.8 | 80.0 | 209.0 | 46.8 | 235.0 | 44.4 | 31.7 | 455.0 |
| Samples | Thickness (µm) | Adhesion (MPa) | Reference |
|---|---|---|---|
| Polyester | 291–294 | 4.8–6.2 | [24] |
| Carboxylate polyester resin (URALAC) | 50.0 ± 5 | 1.7–3.0 | [26] |
| Saturated carboxylated polyester resin | 90.0 ± 10 | 4–6.8 | [27] |
| Post-consumer polyethylene terephthalate | 65 ± 5 | >5 | This work |
| Time (h) | Rp 1010 (Ω cm2) | Error (%) | Pre-Factor of Qc 10−11 (S sn cm−2) | Error (%) | n |
|---|---|---|---|---|---|
| 1 | 1.82 | 5.2 | 5.30 | 1.11 | 0.98 |
| 24 | 1.78 | 3.77 | 5.25 | 1.35 | 0.98 |
| 192 | 2.10 | 2.10 | 5.14 | 0.72 | 0.98 |
| 360 | 1.09 | 1.69 | 5.25 | 0.83 | 0.98 |
| 480 | 0.86 | 1.62 | 5.30 | 0.89 | 0.98 |
| 576 | 0.81 | 1.62 | 5.34 | 0.90 | 0.98 |
| Samples | Thickness (µm) | Time (h) | Rp (Ω cm2) | Reference |
|---|---|---|---|---|
| Polyester powder coating | 90 ± 10 | 0–500 | ≈108 → 105 | [27] |
| Polyester powder coating | 30 ± 2 | 24–1368 | ≈1010 → 107 | [28] |
| Polyester powder coating | 45 ± 3 | 168–1200 | ≈107 → 104 | [30] |
| Polyester/epoxy powder coating | 45 ± 3 | 168–1200 | ≈108 → 105 | [30] |
| Polyester resin | 30–40 | 0–720 | ≈107 → 104 | [31] |
© 2019 by the authors. Licensee MDPI, Basel, Switzerland. This article is an open access article distributed under the terms and conditions of the Creative Commons Attribution (CC BY) license (http://creativecommons.org/licenses/by/4.0/).
Share and Cite
Silva, E.; Fedel, M.; Deflorian, F.; Cotting, F.; Lins, V. Properties of Post-Consumer Polyethylene Terephthalate Coating Mechanically Deposited on Mild Steels. Coatings 2019, 9, 28. https://doi.org/10.3390/coatings9010028
Silva E, Fedel M, Deflorian F, Cotting F, Lins V. Properties of Post-Consumer Polyethylene Terephthalate Coating Mechanically Deposited on Mild Steels. Coatings. 2019; 9(1):28. https://doi.org/10.3390/coatings9010028
Chicago/Turabian StyleSilva, Elisângela, Michele Fedel, Flavio Deflorian, Fernando Cotting, and Vanessa Lins. 2019. "Properties of Post-Consumer Polyethylene Terephthalate Coating Mechanically Deposited on Mild Steels" Coatings 9, no. 1: 28. https://doi.org/10.3390/coatings9010028
APA StyleSilva, E., Fedel, M., Deflorian, F., Cotting, F., & Lins, V. (2019). Properties of Post-Consumer Polyethylene Terephthalate Coating Mechanically Deposited on Mild Steels. Coatings, 9(1), 28. https://doi.org/10.3390/coatings9010028

