Fabrication of Poly(o/m-Toluidine)–SiC/Zinc Bilayer Coatings and Evaluation of Their Corrosion Resistances
Abstract
:1. Introduction
2. Experimental
2.1. Materials
2.2. Synthesis of Poly(o/m-Toluidine)
2.3. Fabrication of Poly(o/m-Toluidine)-SiC/Zn Coatings
2.3.1. Electrodeposition of SiC/Zn Surface
2.3.2. Chemical Deposition of Poly(o/m-Toluidine) Films
2.4. Characterization
3. Results and Discussion
3.1. Structural Analysis of Poly(o/m-Toluidine) Powders
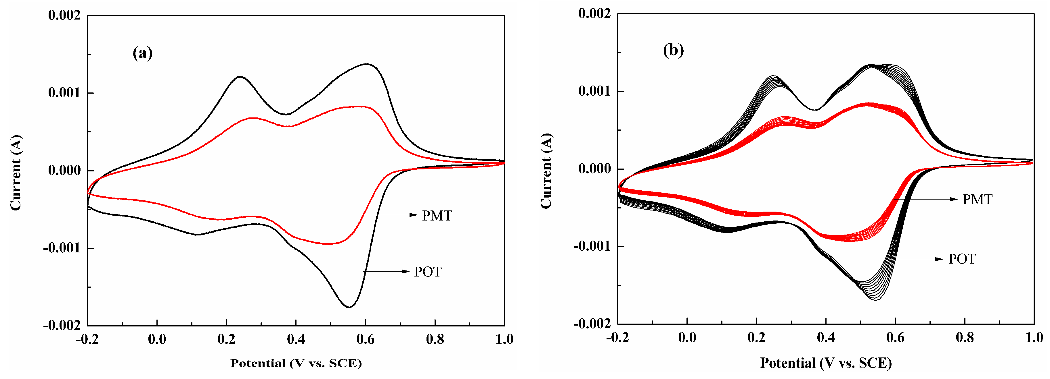
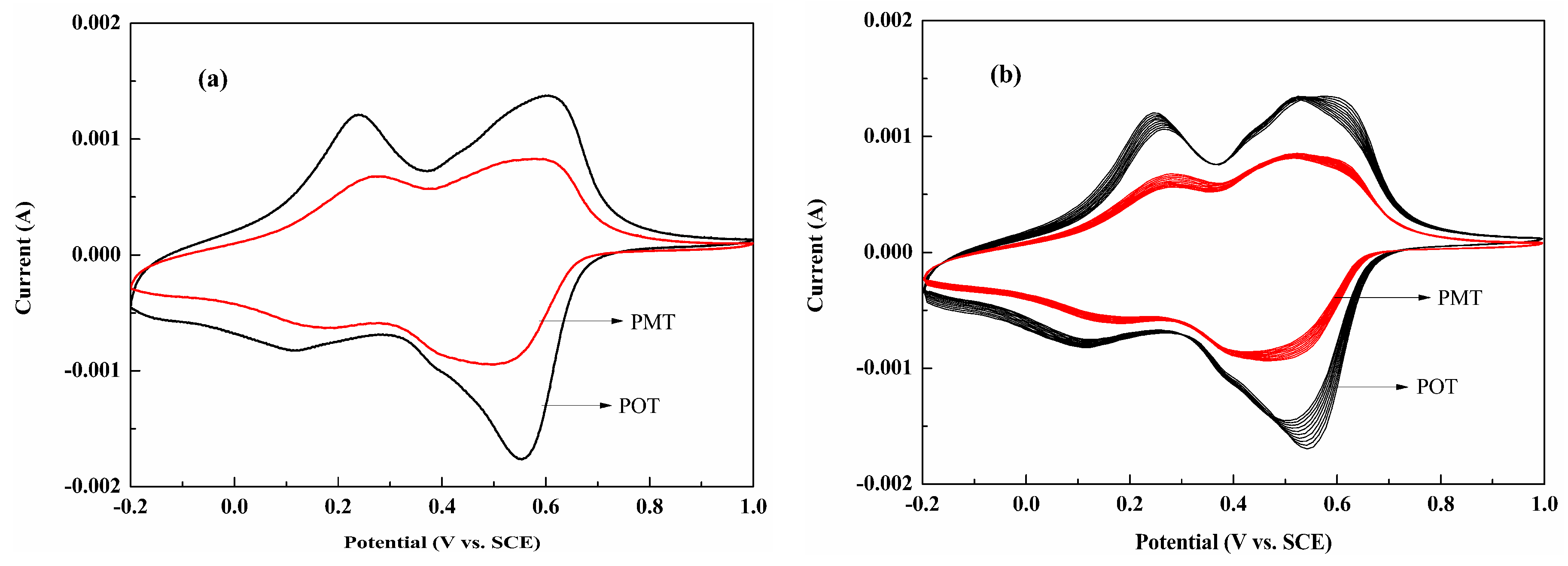
3.2. Electrochemical Behavior of Poly(o/m-Toluidine) Films
3.3. Structural Analysis of Electrodeposited Coatings
3.4. Surface Characterization of Electrodeposited and Bilayer Coatings
3.5. Corrosion Resistances of Electrodeposited and Bilayer Coatings
4. Conclusions
Author Contributions
Funding
Conflicts of Interest
References
- Sajjadnejad, M.; Mozafari, A.; Omidvar, H.; Javanbakht, M. Preparation and corrosion resistance of pulse electrodeposited Zn and Zn–SiC nanocomposite coatings. Appl. Surf. Sci. 2014, 300, 1–7. [Google Scholar] [CrossRef]
- Youssef, K.M.S.; Koch, C.C.; Fedkiw, P.S. Improved corrosion behavior of nanocrystalline zinc produced by pulse-current electrodeposition. Corros. Sci. 2004, 46, 51–64. [Google Scholar] [CrossRef]
- Qing, Y.Q.; Yang, C.N.; Yu, Z.Y.; Zhang, Z.F.; Hu, Q.L.; Liu, C.S. Large-area fabrication of superhydrophobic zinc surface with reversible wettability switching and anticorrosion. J. Electrochem. Soc. 2016, 163, D385–D391. [Google Scholar] [CrossRef]
- Vlasa, A.; Varvara, S.; Pop, A.; Bulea, C.; Muresan, L.M. Electrodeposited Zn–TiO2 nanocomposite coatings and their corrosion behavior. J. Appl. Electrochem. 2010, 40, 1519–1527. [Google Scholar] [CrossRef]
- Nemes, P.I.; Lekka, M.; Fedrizzi, L.; Muresan, L.M. Influence of the electrodeposition current regime on the corrosion resistance of Zn–CeO2 nanocomposite coatings. Surf. Coat. Technol. 2014, 252, 102–107. [Google Scholar] [CrossRef]
- Sen, R.; Bhattacharya, S.; Das, S.; Das, K. Effect of surfactant on the co-electrodeposition of the nano-sized ceria particle in the nickel matrix. J. Alloys Compd. 2010, 489, 650–658. [Google Scholar] [CrossRef]
- Praveen, B.M.; Venkatesha, T.V. Electrodeposition and properties of Zn-nanosized TiO2 composite coatings. Appl. Surf. Sci. 2008, 254, 2418–2424. [Google Scholar] [CrossRef]
- Vathsala, K.; Venkatesha, T.V. Zn–ZrO2 nanocomposite coatings: Elecrodeposition and evaluation of corrosion resistance. Appl. Surf. Sci. 2011, 257, 8929–8936. [Google Scholar] [CrossRef]
- Ryu, H.; Sheng, N.; Ohtsuka, T.; Fujita, S.; Kajiyama, H. Polypyrrole film on 55% Al–Zn-coated steel for corrosion prevention. Corros. Sci. 2012, 56, 67–77. [Google Scholar] [CrossRef]
- Meng, Y.N.; Wang, K.; Zhang, Y.J.; Wei, Z.X. Hierarchical porous graphene/polyaniline composite film with superior rate performance for flexible supercapacitors. Adv. Mater. 2013, 25, 6985–6990. [Google Scholar] [CrossRef] [PubMed]
- Kumar, S.A.; Meenakshi, K.S.; Sankaranarayanan, T.S.N.; Srikanth, S. Corrosion resistant behaviour of PANI–metal bilayer coatings. Prog. Org. Coat. 2008, 62, 285–292. [Google Scholar] [CrossRef]
- Mostafaei, A.; Nasirpouri, F. Epoxy/polyaniline–ZnO nanorods hybrid nanocomposite coatings: Synthesis, characterization and corrosion protection performance of conducting paints. Prog. Org. Coat. 2014, 77, 146–159. [Google Scholar] [CrossRef]
- Lehr, I.L.; Saidman, S.B. Anticorrosive properties of polypyrrole films modified with zinc onto SAE 4140 steel. Prog. Org. Coat. 2013, 76, 1586–1593. [Google Scholar] [CrossRef]
- Sheng, N.; Lei, Y.H.; Hyonoo, A.; Ueda, M.; Ohtsuka, T. Improvement of polypyrrole films for corrosion protection of zinc-coated AZ91D alloy. Prog. Org. Coat. 2014, 77, 1724–1734. [Google Scholar] [CrossRef]
- Tüken, T.; Yazıcı, B.; Erbil, M. Zinc modified polyaniline coating for mild steel protection. Mater. Chem. Phys. 2006, 99, 459–464. [Google Scholar] [CrossRef]
- Li, Z.T.; Ma, L.; Li, W.L.; Gan, M.Y.; Qiu, W.; Yan, J. Characterization and anticorrosive properties of poly(2,3-dimethylaniline)/nano-Al2O3 composite synthesized by emulsion polymerization. Polym. Adv. Technol. 2013, 24, 847–852. [Google Scholar] [CrossRef]
- Bilal, S.; Farooq, S.; Shah, A.A.; Holze, R. Improved solubility, conductivity, thermal stability and corrosion protection properties of poly(o-toluidine) synthesized via chemical polymerization. Synth. Met. 2014, 197, 144–153. [Google Scholar] [CrossRef]
- Hu, C.B.; Li, Y.; Kong, Y.Z.; Ding, Y.S. Preparation of poly(o-toluidine)/nano ZnO/epoxy composite coating and evaluation of its corrosion resistance properties. Synth. Met. 2016, 214, 62–70. [Google Scholar] [CrossRef]
- Wang, Y.Y.; Normand, B.; Suo, X.K.; Planche, M.; Liao, H.; Tang, J.L. Cold-sprayed AZ91D coating and SiC/AZ91D composite coatings. Coatings 2018, 8, 122. [Google Scholar] [CrossRef]
- Hu, C.B.; Li, Y.; Zhang, N.; Zhang, J.W. Preparation of poly(o-ethylaniline)-SiC/zinc bilayer coatings and study of its corrosion resistance properties. J. Electrochem. Soc. 2018, 165, G56–G65. [Google Scholar] [CrossRef]
- Hesampour, M.; Taher, M.A.; Behzadi, M. Synthesis, characterization and application of a MnFe2O4@poly(o-toluidine) nanocomposite for magnetic solid-phase extraction of polycyclic aromatic hydrocarbons. New J. Chem. 2017, 41, 12910–12919. [Google Scholar] [CrossRef]
- Hwang, J.J.; Soto, C.; Lafaurie, D.; Stephen, M.; Sarno, D.M. Porous microspheres of polyaniline, poly(o-toluidine), and poly(m-toluidine) prepared from double emulsions stabilized by toluidine isomers as the single surfactant. J. Colloid Interface Sci. 2018, 513, 331–341. [Google Scholar] [CrossRef] [PubMed]
- Ashokan, S.; Ponnuswamy, V.; Jayamurugan, P.; Chandrasekaran, J.; Rao, Y.V.S. Influence of the counter ion on the properties of organic and inorganic acid doped polyaniline and their schottky diodes. Superlattices Microstruct. 2015, 85, 282–293. [Google Scholar] [CrossRef]
- Song, M.K.; Kim, Y.T.; Kim, B.S.; Kim, J.; Char, K.; Rhee, H.W. Synthesis and characterization of soluble polypyrrole doped with alkylbenzenesulfonic acids. Synth. Met. 2004, 141, 315–319. [Google Scholar] [CrossRef]
- Niu, M.J.; Kong, X.J. Efficient biodiesel production from waste cooking oil using p-toluenesulfonic acid doped polyaniline as a catalyst. RSC Adv. 2015, 5, 27273–27277. [Google Scholar] [CrossRef]
- Golczak, S.; Kanciurzewska, A.; Fahlman, M.; Langer, K.; Langer, J.J. Comparative XPS surface study of polyaniline thin films. Solid State Ion. 2008, 179, 2234–2239. [Google Scholar] [CrossRef]
- Saini, P.; Arora, M.; Gupta, G.; Gupta, B.K.; Singh, V.N.; Choudhary, V. High permittivity polyaniline–barium titanate nanocomposites with excellent electromagnetic interference shielding response. Nanoscale 2013, 5, 4330–4336. [Google Scholar] [CrossRef] [PubMed]
- Shinde, V.P.; Patil, P.P. Investigation on role of monomer(s) during electrochemical polymerization of aniline and its derivatives on low carbon steel by XPS. Electrochim. Acta 2012, 78, 483–494. [Google Scholar] [CrossRef]
- Wang, Y.G.; Li, H.Q.; Xia, Y.Y. Ordered whiskerlike polyaniline grown on the surface of mesoporous carbon and its electrochemical capacitance performance. Adv. Mater. 2006, 18, 2619–2623. [Google Scholar] [CrossRef]
- Cong, H.P.; Ren, X.C.; Wang, P.; Yu, S.H. Flexible graphene–polyaniline composite paper for high-performance supercapacitor. Energy Environ. Sci. 2013, 6, 1185–1191. [Google Scholar] [CrossRef]
- Bavastrello, V.; Carrara, S.; Ram, M.K.; Nicolini, C. Optical and electrochemical properties of poly(o-toluidine) multiwalled carbon nanotubes composite langmuir‒schaefer films. Langmuir 2004, 20, 969–973. [Google Scholar] [CrossRef] [PubMed]
- Bilal, S.; Holze, R. Electrochemical copolymerization of m-toluidine and o-phenylenediamine. Electrochim. Acta 2006, 52, 1247–1257. [Google Scholar] [CrossRef]
- Xia, X.L.; Zhitomirsky, I.; McDermid, J.R. Electrodeposition of zinc and composite zinc-yttria stabilized zirconia coatings. J. Mater. Process. Technol. 2009, 209, 2632–2640. [Google Scholar] [CrossRef]
- Azizi, M.; Schneider, W.; Plieth, W. Electrolytic co-deposition of silicate and mica particles with zinc. J. Solid State Electrochem. 2005, 9, 429–437. [Google Scholar] [CrossRef]
- Yuan, X.T.; Wang, Y.; Sun, D.B.; Yu, H.Y. Influence of pulse parameters on the microstructure and microhardness of nickel electrodeposits. Surf. Coat. Technol. 2008, 202, 1895–1903. [Google Scholar]
- Benchikh, A.; Aitout, R.; Makhloufi, L.; Benhaddad, L.; Saidani, B. Soluble conducting poly(aniline-co-orthotoluidine) copolymer as corrosion inhibitor for carbon steel in 3% NaCl solution. Desalination 2009, 249, 466–474. [Google Scholar] [CrossRef]
- Sajjadnejad, M.; Ghorbani, M.; Afshar, A. Microstructure-corrosion resistance relationship of direct and pulse current electrodeposited Zn–TiO2 nanocomposite coatings. Ceram. Int. 2015, 41, 217–224. [Google Scholar] [CrossRef]
- Ortiz, Z.I.; Díaz-Arista, P.; Meas, Y.; Ortega-Borges, R.; Trejo, G. Characterization of the corrosion products of electrodeposited Zn, Zn–Co and Zn–Mn alloys coatings. Corros. Sci. 2009, 51, 2703–2715. [Google Scholar] [CrossRef]
- Farzaneh, A.; Mohammadi, M.; Ehteshamzadeh, M.; Monhammadi, F. Electrochemical and structural properties of electroless Ni–P–SiC nanocomposite coatings. Appl. Surf. Sci. 2013, 276, 697–704. [Google Scholar] [CrossRef]
- Xing, C.J.; Zhang, Z.M.; Yu, L.M.; Waterhouse, G.I.N.; Zhang, L.J. Anti-corrosion performance of nanostructured poly(aniline-co-metanilic acid) on carbon steel. Prog. Org. Coat. 2014, 77, 354–360. [Google Scholar] [CrossRef]
- Sathiyanarayanan, S.; Balakrishnan, K.; Dhawan, S.K.; Trivedi, D.C. Prevention of corrosion of iron in acidic media using poly(o-methoxy-aniline). Electrochim. Acta 1994, 39, 831–837. [Google Scholar] [CrossRef]
- Chaudhari, S.; Sainkar, S.R.; Patil, P.P. Poly(o-ethylaniline) coatings for stainless steel protection. Prog. Org. Coat. 2007, 58, 54–63. [Google Scholar] [CrossRef]
- Chaudhari, S.; Sainkar, S.R.; Patil, P.P. Anticorrosive properties of electrosynthesized poly(o-anisidine) coatings on copper from aqueous salicylate medium. J. Phys. D Appl. Phys. 2007, 40, 520–533. [Google Scholar] [CrossRef]
- Deyab, M.A. Corrosion protection of aluminum bipolar plates with polyaniline coating containing carbon nanotubes in acidic medium inside the polymer electrolyte membrane fuel cell. J. Power Sources 2014, 268, 50–55. [Google Scholar] [CrossRef]
- Chaudhari, S.; Patil, P.P. Inhibition of nickel coated mild steel corrosion by electrosynthesized polyaniline coatings. Electrochim. Acta 2011, 56, 3049–3059. [Google Scholar] [CrossRef]
- Li, Z.T.; Ma, L.; Gan, M.Y.; Qiu, W.; Fu, D.D.; Li, S.; Bai, Y.Q. Synthesis and anticorrosion performance of poly(2,3-dimethylaniline)–TiO2 composite. Prog. Org. Coat. 2013, 76, 1161–1167. [Google Scholar] [CrossRef]










| Coatings | Tafel Method | Impedance Method | |||||||
|---|---|---|---|---|---|---|---|---|---|
| Ecorr (V) | Icorr (A/cm2) | PE (%) | Rs (Ω·cm2) | CPEc (F/cm2) | Rp (Ω·cm2) | CPEdl (F/cm2) | Rct (Ω·cm2) | PE (%) | |
| Zn | −1.05 | 9.77 × 10−4 | – | 7.67 | 1.83 × 10−5 | 67.51 | 3.38 × 10−4 | 1938 | – |
| SiC/Zn | −0.931 | 2.29 × 10−5 | 76.56 | 13.03 | 5.65 × 10−6 | 112.63 | 1.83 × 10−4 | 4517 | 57.09 |
| POT-SiC/Zn | −0.723 | 8.71 × 10−6 | 91.08 | 30.92 | 8.57 × 10−7 | 233.70 | 5.94 × 10−5 | 8903 | 78.23 |
| PMT-SiC/Zn | −0.805 | 1.17 × 10−5 | 88.02 | 21.28 | 1.21 × 10−6 | 187.90 | 8.53 × 10−5 | 6609 | 70.68 |
© 2018 by the authors. Licensee MDPI, Basel, Switzerland. This article is an open access article distributed under the terms and conditions of the Creative Commons Attribution (CC BY) license (http://creativecommons.org/licenses/by/4.0/).
Share and Cite
Hu, C.; Li, Y.; Zhang, J.; Huang, W. Fabrication of Poly(o/m-Toluidine)–SiC/Zinc Bilayer Coatings and Evaluation of Their Corrosion Resistances. Coatings 2018, 8, 180. https://doi.org/10.3390/coatings8050180
Hu C, Li Y, Zhang J, Huang W. Fabrication of Poly(o/m-Toluidine)–SiC/Zinc Bilayer Coatings and Evaluation of Their Corrosion Resistances. Coatings. 2018; 8(5):180. https://doi.org/10.3390/coatings8050180
Chicago/Turabian StyleHu, Chuanbo, Ying Li, Jiawei Zhang, and Wenlong Huang. 2018. "Fabrication of Poly(o/m-Toluidine)–SiC/Zinc Bilayer Coatings and Evaluation of Their Corrosion Resistances" Coatings 8, no. 5: 180. https://doi.org/10.3390/coatings8050180
APA StyleHu, C., Li, Y., Zhang, J., & Huang, W. (2018). Fabrication of Poly(o/m-Toluidine)–SiC/Zinc Bilayer Coatings and Evaluation of Their Corrosion Resistances. Coatings, 8(5), 180. https://doi.org/10.3390/coatings8050180

