Three-Dimensional Thermoelastic Contact Model of Coated Solids with Frictional Heat Partition Considered
Abstract
1. Introduction
2. Theory
2.1. Contact Model
- In the modified iterative algorithm, the calculations of the iteration parameter δn and the update length of heat flux in the conjugate gradient direction are conducted over the real contact area Ωc rather than the whole calculation domain Ω as follows:where and are intermediate variables used by the flow chart of heat partition solver as shown in Figure 2b. In the standard CGM, the calculations of δn and are conducted over the whole calculation domain Ω.
- The update of the heat flux Q2[i, j] is performed only within the real contact area Ωc in the conjugate gradient direction with the update length . Outside the real contact area Ωc, the heat flux Q2[i, j] is enforced to be zero.
2.2. Frequency Response Functions
3. Verification of the Present Model
4. Numerical Results and Discussion
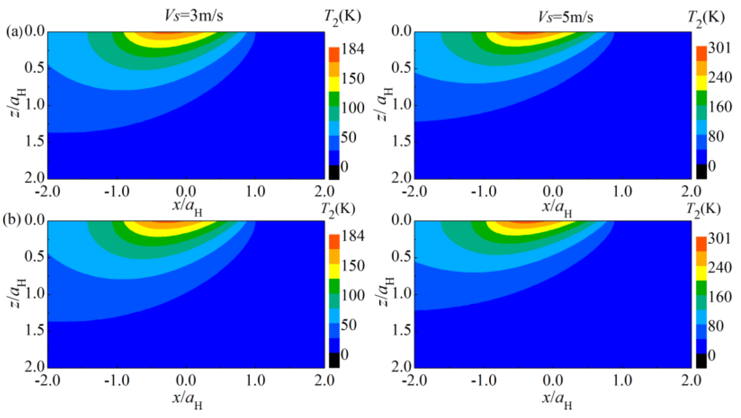
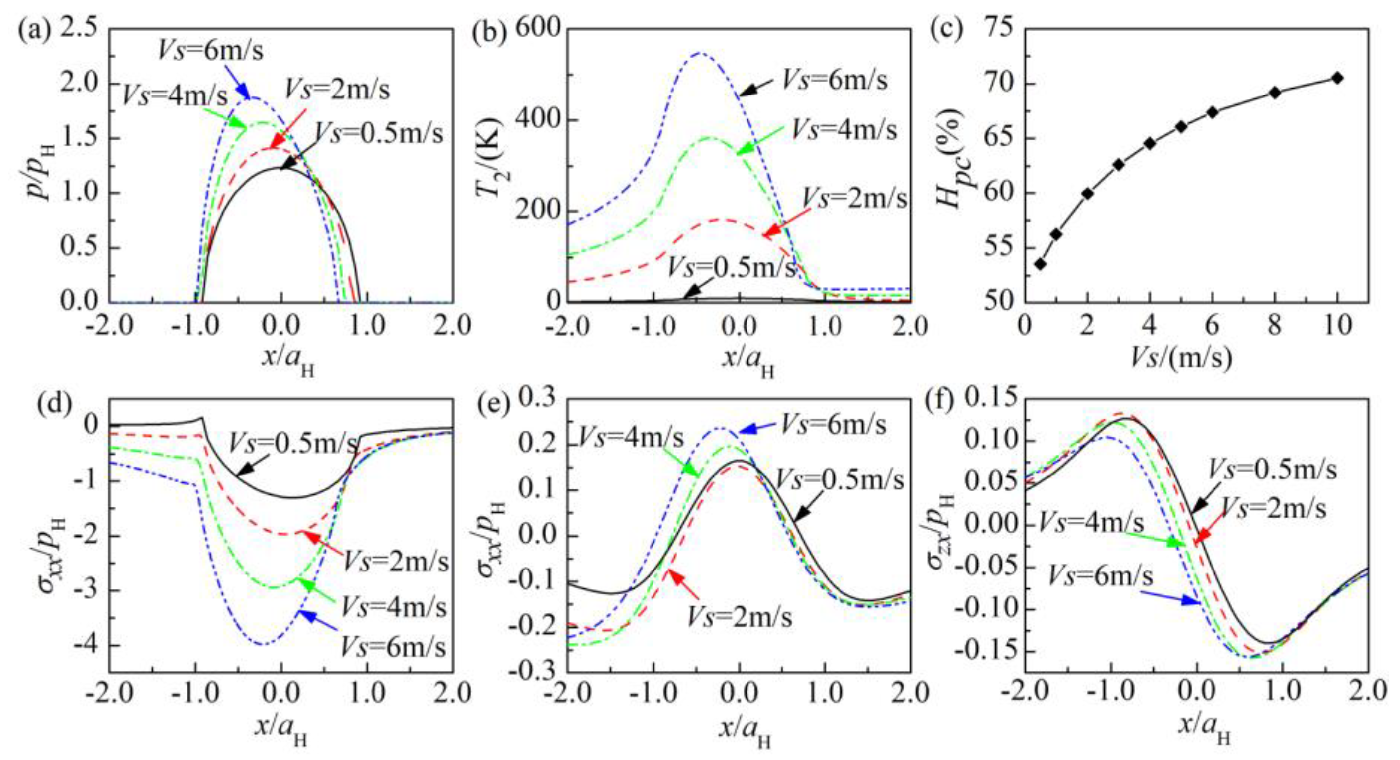
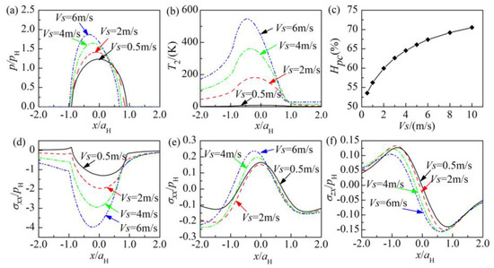
4.1. Effect of the Sliding Velocity
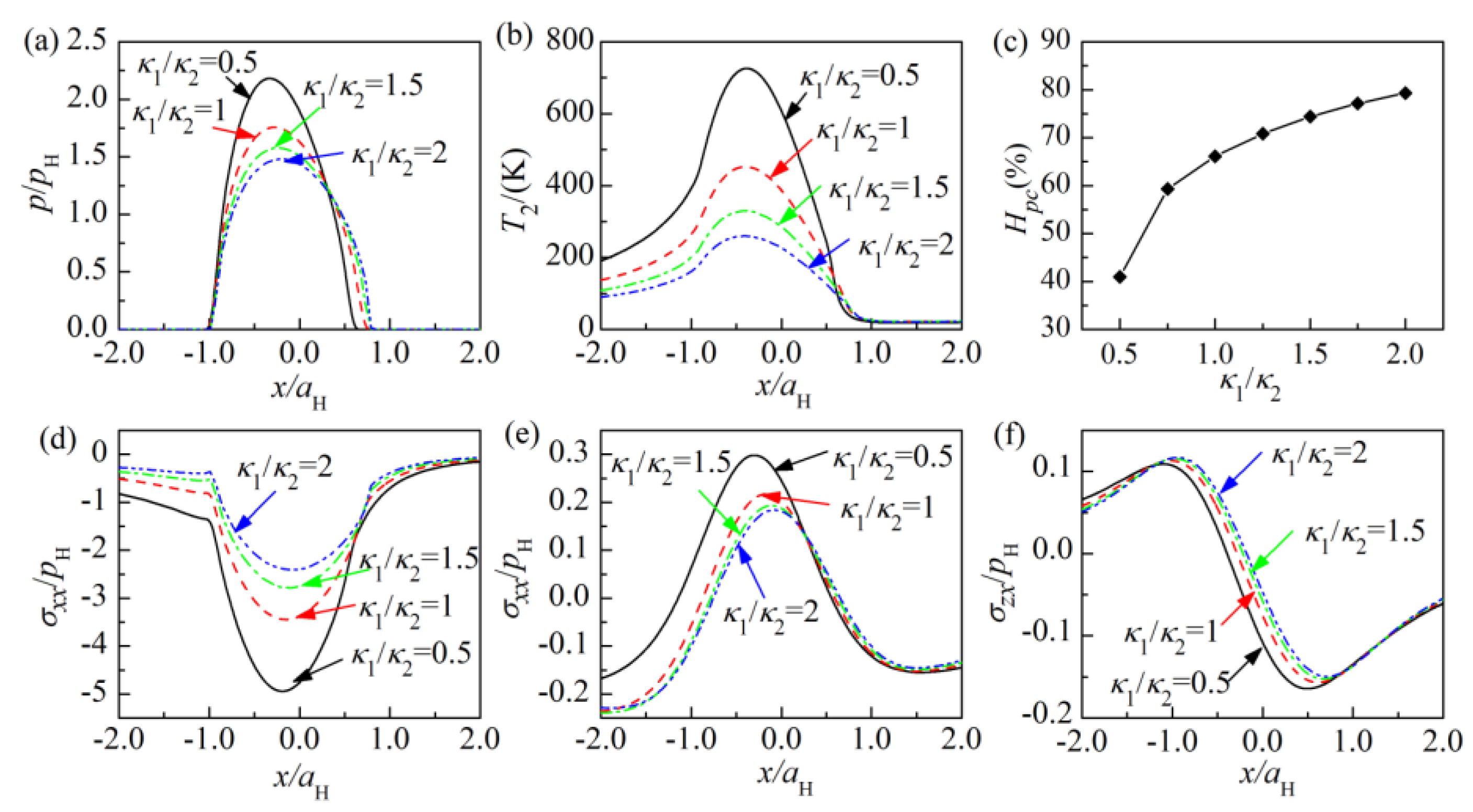
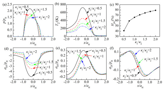
4.2. Effect of the Coating Thermal Conductivity
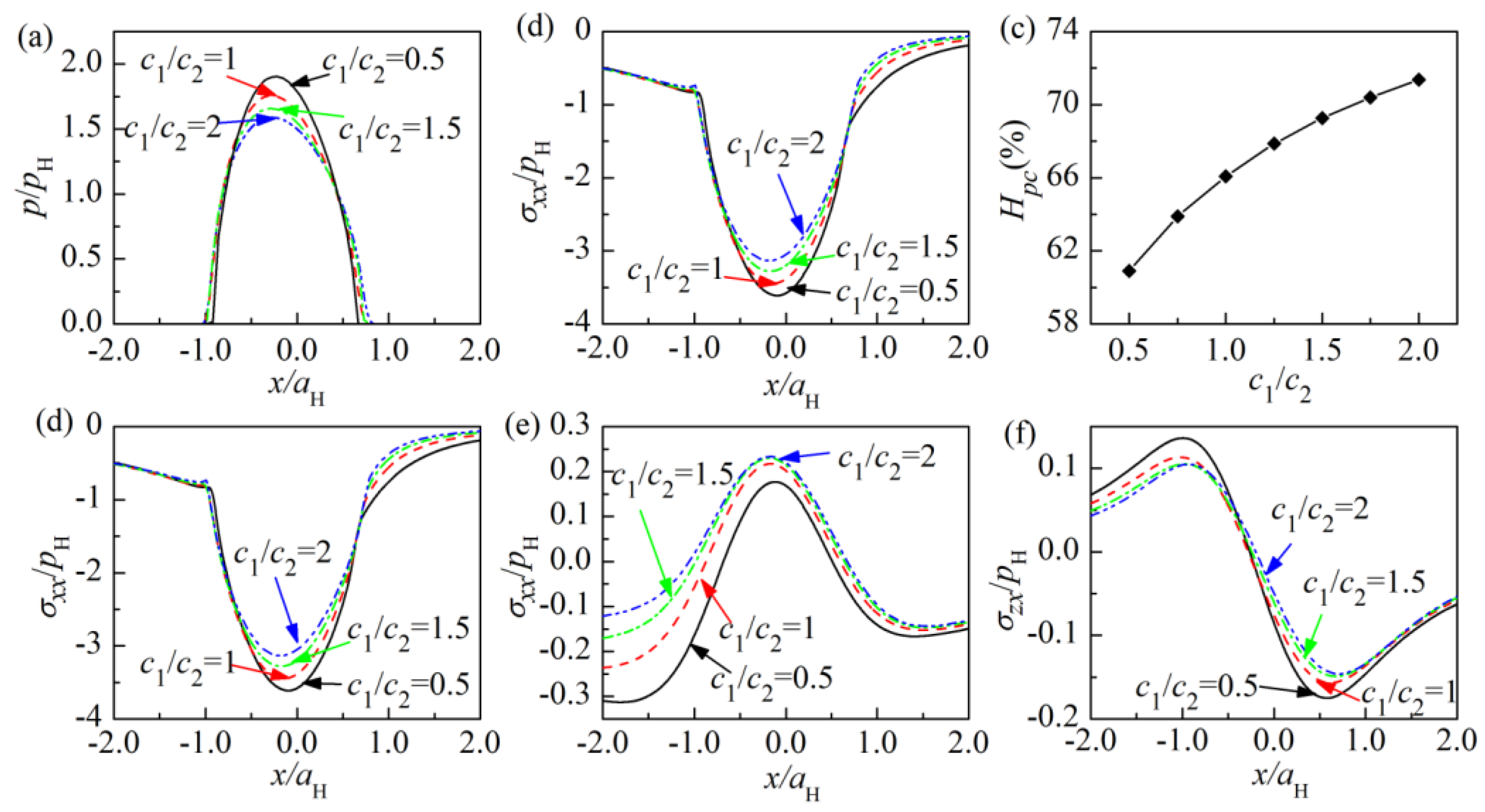
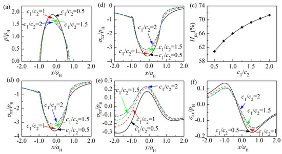
4.3. Effect of the Coating Volumetric Heat Capacity
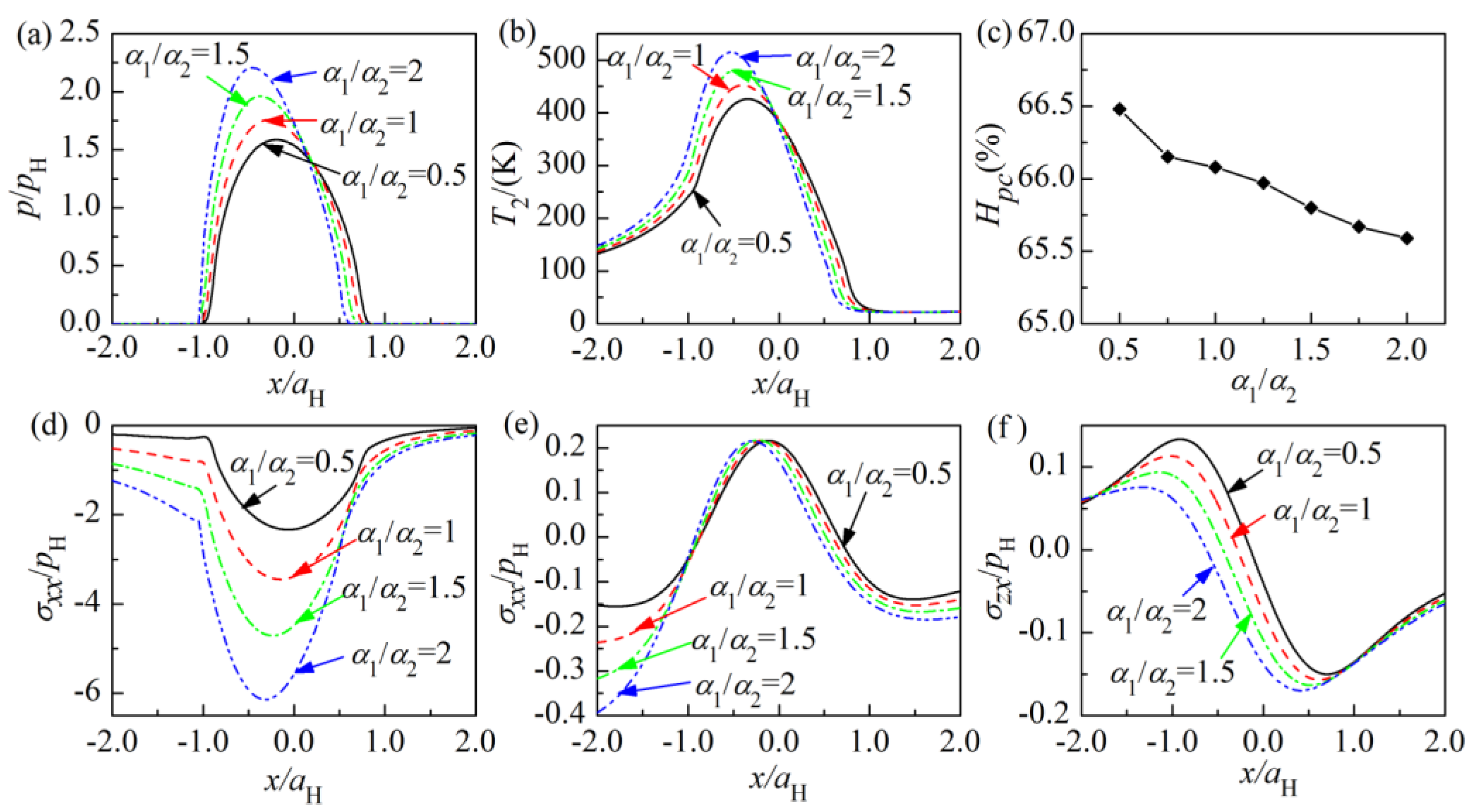
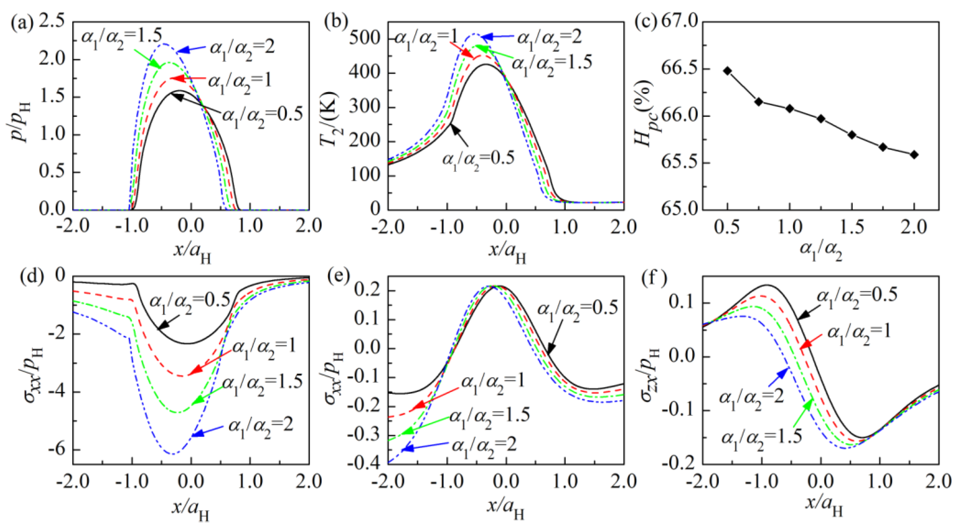
4.4. Effect of the Coating Thermal Expansion Coefficient
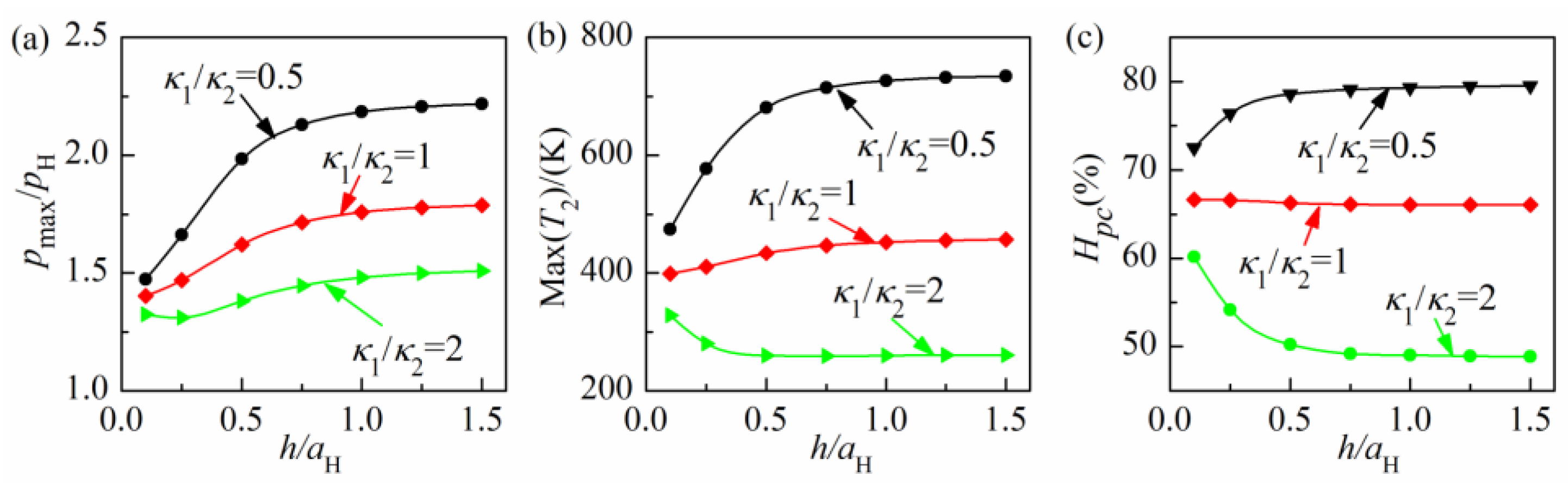
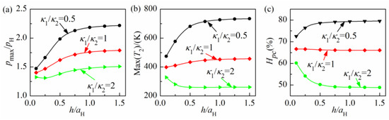
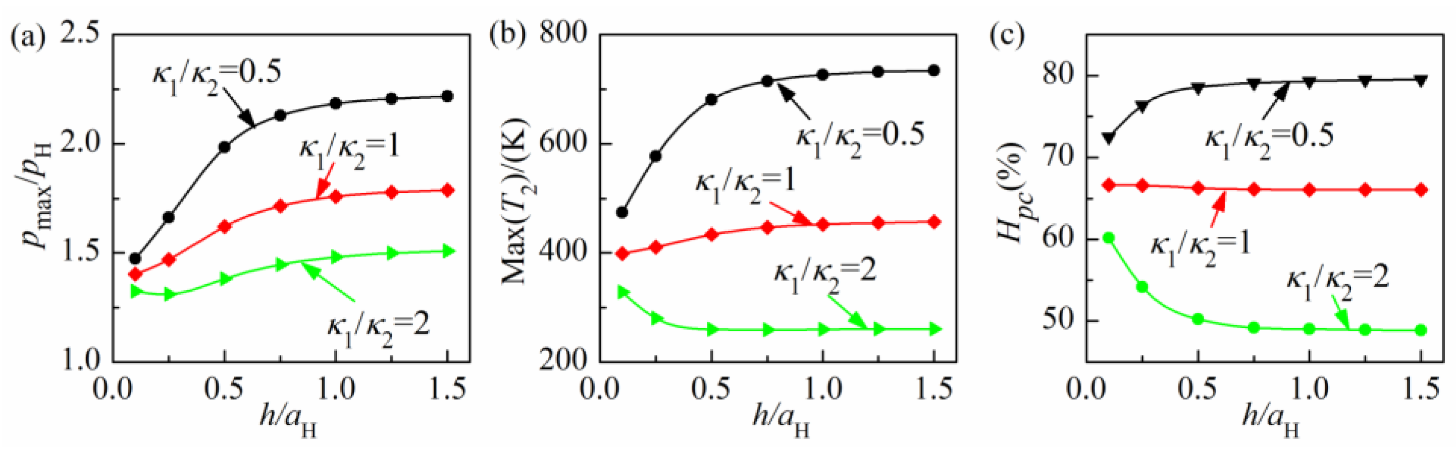
4.5. Effect of the Coating Thickness
5. Conclusions
- With the increase of the sliding speed, the maximum contact pressure, the maximum temperature rise, the heat partition coefficient, the maximum tensile stress of σxx at the base of the coating and the maximum shear stress σzx on the interface all increase.
- With the increase of the coating thermal conductivity, the maximum contact pressure, the maximum temperature rise, the maximum tensile stress of σxx at the base of the coating and maximum shear stress σzx on the interface decrease, the heat partition coefficient increases.
- With the increase of the coating volumetric heat capacity, the maximum contact pressure, the maximum temperature rise and the maximum shear stress σzx on the interface decrease, the heat partition coefficient and the maximum tensile stress of σxx at the base of the coating increase.
- With the increase of the coating thermal expansion coefficient, the maximum contact pressure, the maximum temperature rise and the maximum shear stress σzx on the interface increase, the heat partition coefficient and the maximum tensile stress of σxx at the base of the coating vary slightly.
- The increase of the coating thickness h ranging from 0 to aH exerts a significant effect on the contact behavior, however a further increase of the coating thickness h only brings a marginal effect.
Author Contributions
Funding
Conflicts of Interest
Appendix A
Appendix B
Appendix C
References
- Kalin, M.; Vizintin, J. The tribological performance of DLC-coated gears lubricated with biodegradable oil in various pinion/gear material combinations. Wear 2005, 259, 1270–1280. [Google Scholar] [CrossRef]
- Moorthy, V.; Shaw, B.A. Contact fatigue performance of helical gears with surface coatings. Wear 2012, 276, 130–140. [Google Scholar] [CrossRef]
- Chen, L.; Yang, M.C.; Song, C.F.; Yu, B.J.; Qian, L.M. Is 2 nm DLC coating enough to resist the nanowear of silicon. Wear 2013, 302, 909–917. [Google Scholar] [CrossRef]
- Chen, W.W.; Wang, Q.J. Thermomechanical analysis of elastoplastic bodies in a sliding spherical contact and the effects of sliding speed, heat partition, and thermal softening. J. Tribol. 2008, 130, 041402. [Google Scholar] [CrossRef]
- Sneddon, I.N. Fourier Transforms; McGraw-Hill: New York, NY, USA, 1951. [Google Scholar]
- Burmister, D.M. The general theory of stresses and displacements in layered systems. I. J. Appl. Phys. 1945, 16, 89–94. [Google Scholar] [CrossRef]
- Burmister, D.M. The general theory of stresses and displacements in layered soil systems. III. J. Appl. Phys. 1945, 16, 296–302. [Google Scholar] [CrossRef]
- Chen, W.T. Computation of stresses and displacements in a layered elastic medium. Int. J. Eng. Sci. 1971, 9, 775–800. [Google Scholar] [CrossRef]
- Chen, W.T.; Engel, P.A. Impact and contact stress analysis in multilayer media. Int. J. Solids Struct. 1972, 8, 1257–1281. [Google Scholar] [CrossRef]
- O’Sullivan, T.C.; King, R.B. Sliding contact stress-field due to a spherical indenter on a layered elastic half-space. J. Tribol. 1988, 110, 235–240. [Google Scholar] [CrossRef]
- Nogi, T.; Kato, T. Influence of a hard surface layer on the limit of elastic contact—Part I: Analysis using a real surface model. J. Tribol. 1997, 119, 493–500. [Google Scholar] [CrossRef]
- Cai, S.; Bhushan, B. A numerical three-dimensional contact model for rough, multilayered elastic/plastic solid surfaces. Wear 2005, 259, 1408–1423. [Google Scholar] [CrossRef]
- Wang, Z.J.; Wang, W.Z.; Wang, H.; Zhu, D.; Hu, Y.Z. Partial slip contact analysis on three-dimensional elastic layered half space. J. Tribol. 2010, 132, 021403. [Google Scholar] [CrossRef]
- Kot, M. Contact mechanics of coating-substrate systems: Monolayer and multilayer coatings. Arch. Civ. Mech. Eng. 2012, 12, 464–470. [Google Scholar] [CrossRef]
- Wang, T.J.; Wang, L.Q.; Gu, L.; Zheng, D.Z. Stress analysis of elastic coated solids in point contact. Tribol. Int. 2015, 86, 52–61. [Google Scholar] [CrossRef]
- Chen, W.W.; Zhou, K.; Keer, L.M.; Wang, Q.J. Modeling elasto-plastic indentation on layered materials using the equivalent inclusion method. Int. J. Solids Struct. 2010, 47, 2841–2854. [Google Scholar] [CrossRef]
- Kral, E.R.; Komvopoulos, K.; Bogy, D.B. Finite element analysis of repeated indentation of an elastic-plastic layered medium by a rigid sphere, Part I: Surface results. J. Appl. Mech. 1995, 62, 20–28. [Google Scholar] [CrossRef]
- Kral, E.R.; Komvopoulos, K. Three-dimensional finite element analysis of subsurface stress and strain fields due to sliding contact on an elastic-plastic layered medium. J. Tribol. 1997, 119, 332–341. [Google Scholar] [CrossRef]
- Kang, J.J.; Xu, B.S.; Wang, H.D.; Wang, C.B. Competing failure mechanism and life prediction of plasma sprayed composite ceramic coating in rolling-sliding contact condition. Tribol. Int. 2014, 73, 128–137. [Google Scholar] [CrossRef]
- Carslaw, H.; Jaeger, J.C. Conduction of Heat in Solids; Oxford University Press: London, UK, 1959. [Google Scholar]
- Barber, J.R.; Martin-Moran, C.J. Green’s functions for transient thermoelastic contact problems for the half-plane. Wear 1982, 79, 11–19. [Google Scholar] [CrossRef]
- Barber, J.R. Thermoelastic displacements and stresses due to a heat source moving over the surface of a half plane. J. Appl. Mech. 1984, 51, 636–640. [Google Scholar] [CrossRef]
- Wang, Q.; Liu, G. A thermoelastic asperity contact model considering steady-state heat transfer. Tribol. Trans. 1999, 42, 763–770. [Google Scholar] [CrossRef]
- Liu, S.; Wang, Q. A three-dimensional thermomechanical model of contact between non-conforming rough surfaces. J. Tribol. 2001, 123, 17–26. [Google Scholar] [CrossRef]
- Leroy, J.M.; Floquet, A.; Villechaise, B. Thermomechanical behavior of multilayered media: Theory. J. Tribol. 1989, 111, 538–544. [Google Scholar] [CrossRef]
- Leroy, J.M.; Floquet, A.; Villechaise, B. Thermomechanical behavior of multilayered media: Results. J. Tribol. 1990, 112, 317–323. [Google Scholar] [CrossRef]
- Ju, Y.; Farris, T.N. FFT thermoelastic solutions for moving heat sources. J. Tribol. 1997, 119, 156–162. [Google Scholar] [CrossRef]
- Shodja, H.M.; Ghahremaninejad, A. An FGM coated elastic solid under thermomechanical loading: A two dimensional linear elastic approach. Surf. Coat. Technol. 2006, 200, 4050–4064. [Google Scholar] [CrossRef]
- Liu, J.; Ke, L.L.; Wang, Y.S. Two-dimensional thermoelastic contact problem of functionally graded materials involving frictional heating. Int. J. Solids Struct. 2011, 48, 2536–2548. [Google Scholar] [CrossRef]
- Shi, Z. Mechanical and Thermal Contact Analysis in Layered Elastic Solids. Ph.D. Thesis, University of Minnesota, Minneapolis, MN, USA, November 2001. [Google Scholar]
- Kulkarni, S.M.; Rubin, C.A.; Hahn, G.T. Elasto-plastic coupled temperature-displacement finite element analysis of two-dimensional rolling-sliding contact with a translating heat source. J. Tribol. 1991, 113, 93–101. [Google Scholar] [CrossRef]
- Ye, N.; Komvopoulos, K. Three-dimensional finite element analysis of elastic-plastic layered media under thermomechanical surface loading. J. Tribol. 2003, 125, 52–59. [Google Scholar] [CrossRef]
- Gong, Z.Q.; Komvopoulos, K. Mechanical and thermomechanical elastic-plastic contact analysis of layered media with patterned surfaces. J. Tribol. 2004, 126, 9–17. [Google Scholar] [CrossRef]
- Guan, X.Y.; Lu, Z.B.; Wang, L.P. Achieving high tribological performance of graphite-like carbon coatings on ti6al4v in aqueous environments by gradient interface design. Tribol. Lett. 2011, 44, 315. [Google Scholar] [CrossRef]
- Khotsyanovskii, A.O.; Kumurzhi, A.Y.; Lyashenko, B.A. Improvement of strength and wear resistance of metal products with ion-plasma nitride coatings by pulse technique implementations. Strength Mater. 2014, 46, 422–428. [Google Scholar] [CrossRef]
- Czyzniewski, A. Optimising deposition parameters of W-DLC coatings for tool materials of high speed steel and cemented carbide. Vacuum 2012, 86, 2140–2147. [Google Scholar] [CrossRef]
- He, D.; Li, X.; Pu, J.; Wang, L.; Zhang, G.; Liu, Z.; Li, W.; Xue, Q. Improving the mechanical and tribological properties of TiB2/a-C nanomultilayers by structural optimization. Ceram. Int. 2018, 44, 3356–3363. [Google Scholar] [CrossRef]
- Johnson, K.L. Non-Hertzian normal contact of elastic contact bodies. In Contact Mechanics; Cambridge University Press: Cambridge, UK, 1985; pp. 107–144. [Google Scholar]
- Polonsky, I.A.; Keer, L.M. A numerical method for solving rough contact problems based on the multi-level multi-summation and conjugate gradient techniques. Wear 1999, 231, 206–219. [Google Scholar] [CrossRef]
- Wang, W.Z.; Hu, Y.Z.; Wang, H. Dry contact analysis based on the conjugate gradient methods and fast fourier transformation. Chin. J. Mech. Eng. 2006, 42, 14–18. (In Chinese) [Google Scholar] [CrossRef]
- Liu, S.; Wang, Q.; Liu, G. A versatile method of discrete convolution and FFT (DC-FFT) for contact analyses. Wear 2000, 243, 101–111. [Google Scholar] [CrossRef]
- Azarkhin, A.; Barber, J.R. Transient thermoelastic contact problem of two sliding half-planes. Wear 1985, 102, 1–13. [Google Scholar] [CrossRef]
- Boucly, V.; Nélias, D.; Liu, S.; Wang, Q.J.; Keer, L.M. Contact analyses for bodies with frictional heating and plastic behavior. J. Tribol. 2005, 127, 355–364. [Google Scholar] [CrossRef]
- Blok, H. Theoretical study of temperature rise at surfaces of actual contact under oiliness lubricating conditions. In Proceedings of the General Discussion on Lubrication and Lubricants, London, UK, 13–15 October 1937; Volume 2, pp. 222–235. [Google Scholar]
- Tian, X.; Kennedy, F.E. Maximum and average flash temperatures in sliding contacts. J. Tribol. 1994, 116, 167–174. [Google Scholar] [CrossRef]
- Jaegar, J.C. Moving sources of heat and the temperature at sliding surfaces. J. Proc. R. Soc. NSW 1942, 76, 202. [Google Scholar]
- Archard, J.F.; Rowntree, R.A. The temperature of rubbing bodies; part 2, the distribution of temperatures. Wear 1988, 128, 1–17. [Google Scholar] [CrossRef]
- Francis, H.A. Interfacial temperature distribution within a sliding hertzian contact. ASLE Trans. 1971, 14, 41–54. [Google Scholar] [CrossRef]
- Gao, J.; Lee, S.C.; Ai, X.; Nixon, H. An FFT-based transient flash temperature model for general three-dimensional rough surface contacts. J. Tribol. 2000, 122, 519–523. [Google Scholar] [CrossRef]
- Bos, J.; Moes, H. Frictional heating of tribological contacts. J. Tribol. 1995, 117, 171–177. [Google Scholar] [CrossRef]
- Shewchuk, J.R. An Introduction to the Conjugate Gradient Method without the Agonizing Pain; Carnegie Mellon University: Pittsburgh, PA, USA, 1994. [Google Scholar]
- Ahmadi, N.L.M.T.; Keer, L.M.; Mura, T. Non-Hertzian contact stress analysis for an elastic half-space normal and sliding contact. Int. J. Solids Struct. 1983, 19, 357–373. [Google Scholar] [CrossRef]
- Ju, Y.; Farris, T.N. Spectral analysis of two-dimensional contact problems. J. Tribol. 1996, 118, 320–328. [Google Scholar] [CrossRef]
- Liu, S.; Wang, Q. Studying contact stress fields caused by surface tractions with a discrete convolution and fast fourier transform algorithm. J. Tribol. 2002, 124, 36–45. [Google Scholar] [CrossRef]
- Kul’chyts’kyi-Zhyhailo, R.; Bajkowski, A. Elastic coating with inhomogeneous interlayer under the action of normal and tangential forces. Mater. Sci. 2014, 49, 650–659. [Google Scholar] [CrossRef]











| Name and Unit of the Input Parameter | Value |
|---|---|
| Elasticity modulus of the ball, E (GPa) | 2.1 × 102 |
| Poisson ratio of the ball, ν | 3 × 10−1 |
| Thermal conductivity of the ball, κ (W/m·K) | 5.02 × 101 |
| Volumetric heat capacity of the ball, c (J/m3·K) | 5.02 × 105 |
| Thermal expansion coefficient of the ball, α (m/m·K) | 1.17 × 10−5 |
| Elasticity modulus of the substrate, E2 (GPa) | 2.1 × 102 |
| Poisson ratio of the substrate, ν2 | 3 × 10−1 |
| Thermal conductivity of the substrate, κ2 (W/m·K) | 5.02 × 101 |
| Volumetric heat capacity of the substrate, c2 (J/m3·K) | 5.02 × 105 |
| Thermal expansion coefficient of the substrate, α2 (m/m·K) | 1.17 × 10−5 |
| Elasticity modulus of the coating, E1 (GPa) | E2 |
| Poisson ratio of the coating, ν1 | ν2 |
| Thermal conductivity of the coating, κ1 (W/m·K) | κ2 |
| Volumetric heat capacity of the coating, c1 (J/m3·K) | c2 |
| Thermal expansion coefficient of the coating, α1 (m/m·K) | α2 |
| Radius of ball, R (m) | 1.0 × 10−2 |
| External normal load, W (N) | 20 |
| Friction coefficient, μf | 0.1 |
| Sliding velocity, Vs (m/s) | 0–10 |
| Coating thickness, h (m) | aH |
| Name and Unit of the Input Parameter | Value |
|---|---|
| Elasticity modulus of the ball, E (GPa) | 2.1 × 102 |
| Poisson ratio of the ball, ν | 3 × 10−1 |
| Thermal conductivity of the ball, κ (W/mK) | 5.02 × 101 |
| Volumetric heat capacity of the ball, c (J/m3·K) | 5.02 × 105 |
| Thermal expansion coefficient of the ball, α (m/mK) | 1.17 × 10−5 |
| Elasticity modulus of the substrate, E2 (GPa) | 2.1 × 102 |
| Poisson ratio of the substrate, ν2 | 3 × 10−1 |
| Thermal conductivity of the substrate, κ2 (W/mK) | 5.02 × 101 |
| Volumetric heat capacity of the substrate, c2 (J/m3·K) | 5.02 × 105 |
| Thermal expansion coefficient of the substrate, α2 (m/mK) | 1.17 × 10−5 |
| Elasticity modulus of the coating, E1 (GPa) | 2E2 |
| Poisson ratio of the coating, ν1 | ν2 |
| Thermal conductivity of the coating, κ1 (W/mK) | 0.5κ2–2κ2 |
| Volumetric heat capacity of the coating, c1 (J/m3·K) | 0.5c2–2c2 |
| Thermal expansion coefficient of the coating, α1 (m/mK) | 0.5α2–2α2 |
| Radius of ball, R (m) | 1.0 × 10−2 |
| External normal load, W (N) | 30 |
| Friction coefficient, μf | 0.1 |
| Sliding velocity, Vs (m/s) | 0–10 |
| Coating thickness, h (m) | 0–2aH |
© 2018 by the authors. Licensee MDPI, Basel, Switzerland. This article is an open access article distributed under the terms and conditions of the Creative Commons Attribution (CC BY) license (http://creativecommons.org/licenses/by/4.0/).
Share and Cite
Wang, T.; Ma, X.; Wang, L.; Gu, L.; Yin, L.; Zhang, J.; Zhan, L.; Sun, D. Three-Dimensional Thermoelastic Contact Model of Coated Solids with Frictional Heat Partition Considered. Coatings 2018, 8, 470. https://doi.org/10.3390/coatings8120470
Wang T, Ma X, Wang L, Gu L, Yin L, Zhang J, Zhan L, Sun D. Three-Dimensional Thermoelastic Contact Model of Coated Solids with Frictional Heat Partition Considered. Coatings. 2018; 8(12):470. https://doi.org/10.3390/coatings8120470
Chicago/Turabian StyleWang, Tingjian, Xinxin Ma, Liqin Wang, Le Gu, Longcheng Yin, Jingjing Zhang, Liwei Zhan, and Dong Sun. 2018. "Three-Dimensional Thermoelastic Contact Model of Coated Solids with Frictional Heat Partition Considered" Coatings 8, no. 12: 470. https://doi.org/10.3390/coatings8120470
APA StyleWang, T., Ma, X., Wang, L., Gu, L., Yin, L., Zhang, J., Zhan, L., & Sun, D. (2018). Three-Dimensional Thermoelastic Contact Model of Coated Solids with Frictional Heat Partition Considered. Coatings, 8(12), 470. https://doi.org/10.3390/coatings8120470
