A Novel Image Segmentation Approach for Microstructure Modelling
Abstract
1. Introduction
1.1. Image Segmentation
2. Methodology
2.1. Materials
2.2. Image Acquisition
2.3. Proposed Image Segmentation Procedure
2.4. Model Formulation
2.4.1. Material Models
2.4.2. Other Threshold Methods
2.5. RVE Estimation
2.6. Experimental Methods
3. Results
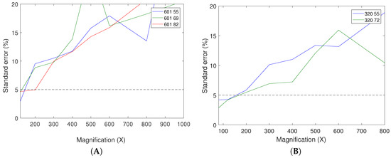
3.1. RVE Validation
3.2. Comparison to Experiment
3.2.1. Specific Heat and Density
3.2.2. Thermal Conductivity Results
3.3. Comparison to Alternative Techniques
4. Discussion
5. Conclusions
Supplementary Materials
Author Contributions
Conflicts of Interest
References
- Faraoun, H.; Seichepine, J.; Coddet, C.; Aourag, H.; Zwick, J.; Hopkins, N.; Sporer, D.; Hertter, M. Modelling route for abradable coatings. Surf. Coat. Technol. 2006, 200, 6578–6582. [Google Scholar] [CrossRef]
- Bolot, R.; Seichepine, J.; Vucko, F.; Coddet, C.; Sporer, D.; Fiala, P.; Bartlett, B. Thermal Conductivity of AlSi/Polyester Abradable Coatings. In Proceedings of the Thermal Spray 2008: Crossing Borders (DVS-ASM), Maastricht, The Netherlands, 2–4 June 2008; pp. 1056–1061. [Google Scholar]
- Bolot, R.; Seichepine, J.; Qiao, J.; Coddet, C. Predicting the thermal conductivity of AlSi/polyester abradable coatings: effects of the numerical method. J. Therm. Spray 2011, 20, 39–47. [Google Scholar] [CrossRef]
- Fizi, Y.; Yamina, M.; Lahmar, H. Modeling of the Mechanical Behaviour of Abradable Coatings for the Aeronautical Industry. In Proceedings of the 2nd International Conference on Aeronautics Sciences, ICAS 2015, Oran, Algeria, 3–4 November 2015. [Google Scholar]
- Bolelli, G.; Candeli, A.; Koivuluoto, H.; Lusvarghi, L.; Manfredini, T.; Vuoristo, P. Microstructure-based thermo-mechanical modelling of thermal spray coatings. Mater. Des. 2015, 73, 20–34. [Google Scholar] [CrossRef]
- Gupta, M. Establishment of Relationships between Coating Microstructure and Thermal Conductivity in Thermal Barrier Coatings by Finite Element Modelling. Master’s Thesis, University West, Gothenburg, Sweden, 2010. [Google Scholar]
- Qiao, J.H.; Bolot, R.; Liao, H.L.; Bertrand, P.; Coddet, C. A 3D finite-difference model for the effective thermal conductivity of thermal barrier coatings produced by plasma spraying. Int. J. Therm. Sci. 2013, 65, 120–126. [Google Scholar] [CrossRef]
- Deshpande, S.; Kulkarni, A.; Sampath, S.; Herman, H. Application of image analysis for characterization of porosity in thermal spray coatings and correlation with small angle neutron scattering. Surf. Coat. Technol. 2004, 187, 6–16. [Google Scholar] [CrossRef]
- Bolot, R.; Qiao, J.H.; Bertrand, G.; Bertrand, P.; Coddet, C. Effect of thermal treatment on the effective thermal conductivity of YPSZ coatings. Surf. Coat. Technol. 2010, 205, 1034–1038. [Google Scholar] [CrossRef]
- Coffman, V.R.; Reid, A.C.E.; Langer, S.A.; Dogan, G. OOF3D: An image-based finite element solver for materials science. Math. Comput. Simul. 2012, 82, 2951–2961. [Google Scholar] [CrossRef]
- Qiao, J.H.; Bolot, R.; Liao, H. Finite element modeling of the elastic modulus of thermal barrier coatings. Surf. Coat. Technol. 2013, 220, 170–173. [Google Scholar] [CrossRef]
- Otsu, N. A threshold selection method from gray-level histograms. Automatica 1975, 9, 62–66. [Google Scholar] [CrossRef]
- Zivelonghi, A.; Cernuschi, F.; Peyrega, C.; Jeulin, D.; Lindig, S.; You, J. Influence of the dual-scale random morphology on the heat conduction of plasma-sprayed tungsten via image-based FEM. Comput. Mater. Sci. 2013, 68, 5–17. [Google Scholar] [CrossRef]
- Matějíček, J.; Kolman, B.; Dubský, J.; Neufuss, K.; Hopkins, N.; Zwick, J. Alternative methods for determination of composition and porosity in abradable materials. Mater. Charact. 2006, 57, 17–29. [Google Scholar] [CrossRef]
- Wiederkehr, T.; Klusemann, B.; Gies, D.; Müller, H.; Svendsen, B. An image morphing method for 3D reconstruction and FE-analysis of pore networks in thermal spray coatings. Comput. Mater. Sci. 2010, 47, 881–889. [Google Scholar] [CrossRef]
- Dorvaux, J.; Lavigne, O.; Mevrel, R. Modelling the Thermal Conductivity of Thermal Barrier Coatings; NASA: Washington, DC, USA, 1998.
- Leo, M.; Looney, D.; Orazio, T.D.; Mandic, D.P.; Member, S. Identification of Defective Areas in Composite Materials by Bivariate EMD Analysis of Ultrasound. IEEE Trans. Instrum. Measur. 2012, 61, 221–232. [Google Scholar] [CrossRef]
- Chen, S.-H.; Perng, D.-B. Automatic optical inspection system for IC molding surface. J. Intell. Manuf. 2016, 27, 915–926. [Google Scholar] [CrossRef]
- Material Properties for hBN. Available online: http://www.matweb.com/search/datasheet.aspx?matguid=8fbbb7d47809493e9afbb7778657d5bb&ckck=1 (accessed on 21 November 2016).
- Material Properties for Polyester. Available online: http://www.professionalplastics.com/professionalplastics/ThermalPropertiesofPlasticMaterials.pdf (accessed on 15 October 2016).
- Material Properties for Air. Available online: http://www.engineeringtoolbox.com/air-properties-d_156.html (accessed on 10 October 2016).
- Kanit, T.; Forest, S.; Galliet, I.; Mounoury, V.; Jeulin, D. Determination of the size of the representative volume element for random composites: Statistical and numerical approach. Int. J. Solids Struct. 2003, 40, 3647–3679. [Google Scholar] [CrossRef]
- Johnston, R.; Evans, W. Freestanding abradable coating manufacture and tensile test development. Surf. Coat. Technol. 2007, 202, 725–729. [Google Scholar] [CrossRef]
- Fois, N.; Watson, M.; Marshall, M. The influence of material properties on the wear of abradable materials. Proc. Inst. Mech. Eng. Part J J. Eng. Tribol. 2016, 231, 240–253. [Google Scholar] [CrossRef]















| Magnification (×) | Model Size (m) |
|---|---|
| 80 | 1223 |
| 120 | 815 |
| 200 | 489 |
| 300 | 326 |
| 400 | 245 |
| 500 | 196 |
| 600 | 163 |
| 800 | 122 |
| Material | Conductivity W/m/K | Specific Heat Capacity Cp J/kg/K | Density kg/m | Reference |
|---|---|---|---|---|
| AlSi(12%) | 130 | 910 | 2700 | [9] |
| hBN | 33 | 808 | 2100 | [19] |
| Polyester | 0.15 | 1350 | 900 | [20] |
| Pores | 0.0257 | 1005 | 1.205 | [21] |
| Cracks | - | 910 | 2700 | [9] * |
| Dimensionality | - |
| Coating-HR15Y | Metal (%) | CZ (%) | Dislocator (%) | Porosity (%) | Density (kg/m) | (J/K/kg) |
|---|---|---|---|---|---|---|
| 601-82 | ||||||
| 601-69 | ||||||
| 601-55 | ||||||
| 320-72 | ||||||
| 320-55 |
| Coating | Variable | LT-GT | Bolot | Otsu |
|---|---|---|---|---|
| 601 55 | Brightness | NS | **** | * |
| 601 82 | Brightness | NS | * | *** |
| 320 55 | Brightness | NS | * | *** |
| 601 55 | Contrast | NS | ** | NS |
| 601 82 | Contrast | NS | *** | **** |
| 320 55 | Contrast | * | * | ** |
© 2017 by the authors. Licensee MDPI, Basel, Switzerland. This article is an open access article distributed under the terms and conditions of the Creative Commons Attribution (CC BY) license (http://creativecommons.org/licenses/by/4.0/).
Share and Cite
Watson, M.; Marshall, M. A Novel Image Segmentation Approach for Microstructure Modelling. Coatings 2017, 7, 166. https://doi.org/10.3390/coatings7100166
Watson M, Marshall M. A Novel Image Segmentation Approach for Microstructure Modelling. Coatings. 2017; 7(10):166. https://doi.org/10.3390/coatings7100166
Chicago/Turabian StyleWatson, Michael, and Matthew Marshall. 2017. "A Novel Image Segmentation Approach for Microstructure Modelling" Coatings 7, no. 10: 166. https://doi.org/10.3390/coatings7100166
APA StyleWatson, M., & Marshall, M. (2017). A Novel Image Segmentation Approach for Microstructure Modelling. Coatings, 7(10), 166. https://doi.org/10.3390/coatings7100166

