A Novel Approach for Simultaneous Improvement of Mechanical and Corrosion Properties in D36 Steel: EP-UIT Hybrid Process
Abstract
1. Introduction
2. Materials and Methods
3. Results
3.1. Microstructure and Morphology
3.2. Surface Chemical Compositions
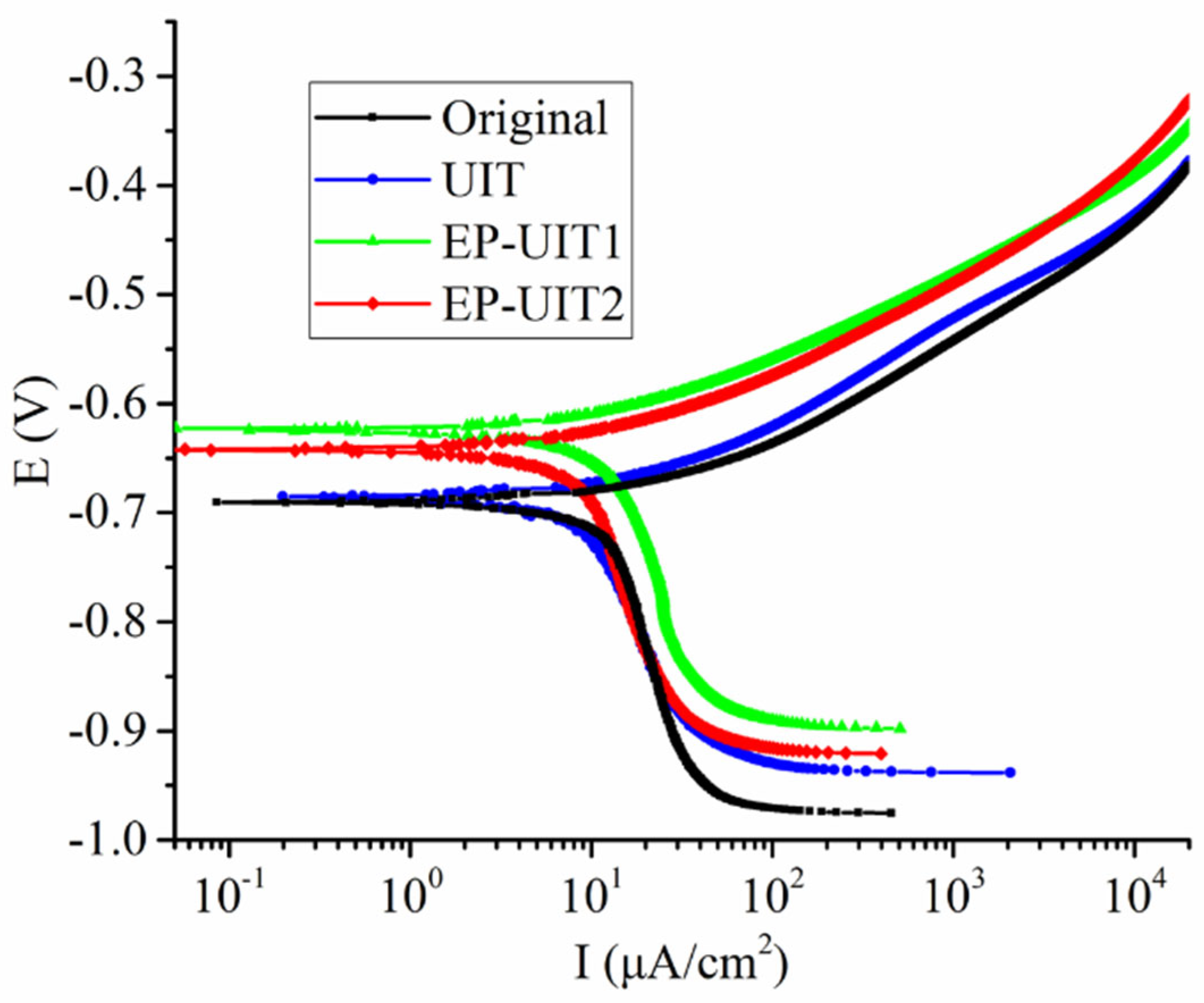
3.3. Potentiodynamic Polarization Behavior
4. Discussion
4.1. Acoustoplastic Effects
4.2. Thermal Effects
4.3. Electroplastic Effects
4.4. Surface Oxidation
5. Conclusions
Author Contributions
Funding
Institutional Review Board Statement
Informed Consent Statement
Data Availability Statement
Conflicts of Interest
References
- Alaei, K.; Karlsson, B. Influence of shot peening on fatigue durability of normalized steel subjected to variable amplitude loading. Int. J. Fatigue 2012, 38, 75–83. [Google Scholar] [CrossRef]
- Hatamleh, O.; Lyons, J.; Forman, R. Laser and shot peening effects on fatigue crack growth in friction stir welded 7075-T7351 aluminum alloy joints. Int. J. Fatigue 2007, 29, 421–434. [Google Scholar] [CrossRef]
- Al-Karawi, H.; Franz von Bock und Polach, R.U.; Al-Emrani, M. Fatigue crack repair in welded structures via tungsten inert gas remelting and high frequency mechanical impact. J. Constr. Steel Res. 2020, 172, 106200. [Google Scholar] [CrossRef]
- Ghosh, S.; Bibhanshu, N.; Suwas, S.; Chatterjee, K. Surface mechanical attrition treatment of additively manufactured 316L stainless steel yields gradient nanostructure with superior strength and ductility. Mater. Sci. Eng. A 2021, 820, 141540. [Google Scholar] [CrossRef]
- Ulaeto, S.B.; Rajan, R.; Pancrecious, J.K.; Rajan, T.; Pai, B.C. Developments in smart anticorrosive coatings with multifunctional characteristics. Prog. Org. Coat. 2017, 111, 294–314. [Google Scholar] [CrossRef]
- Hiroshi, S.; Teppei, O. Effect of stress ratio on the enhancement of fatigue strength in high performance steel welded joints by ultrasonic impact treatment. Int. J. Steel Struct. 2013, 13, 155–161. [Google Scholar] [CrossRef]
- Roy, S.; Fisher, J.W.; Yen, B.T. Fatigue resistance of welded details enhanced by ultrasonic impact treatment (UIT). Int. J. Fatigue 2003, 25, 1239–1247. [Google Scholar] [CrossRef]
- Statnikov, E.S.; Korolkov, O.V.; Vityazev, V.N. Physics and mechanism of ultrasonic impact. Ultrasonics 2006, 44, e533–e538. [Google Scholar] [CrossRef]
- Gu, B.; Yang, Y.; Wang, Y.; Lai, J.; Xu, G.; Gao, L.; Hu, Y.; Luo, F. Study on the effects and mechanisms of ultrasonic impact treatment on impact toughness of Q345 steel welded joints. Eng. Fract. Mech. 2025, 315, 110754. [Google Scholar] [CrossRef]
- Mordyuk, B.N.; Prokopenko, G.I. Ultrasonic impact peening for the surface properties’ management. J. Sound. Vib. 2006, 308, 855–866. [Google Scholar] [CrossRef]
- Yan, M.J.; Li, R.F.; Bi, X.L.; Qiao, L.; Cheng, J.B.; Liu, B. Microstructure and properties of extreme high-speed laser cladded nickel-based coatings assisted by ultrasonic impact treatment. Surf. Coat. Technol. 2025, 498, 131820. [Google Scholar] [CrossRef]
- Yekta, R.T.; Ghahremani, K.; Walbridge, S. Effect of quality control parameter variations on the fatigue performance of ultrasonic impact treated welds. Int. J. Fatigue 2013, 55, 245–256. [Google Scholar] [CrossRef]
- Vilhauer, B.; Bennett, C.R.; Matamoros, A.B.; Rolfe, S.T. Fatigue behavior of welded coverplates treated with Ultrasonic Impact Treatment and bolting. Eng. Struct. 2012, 34, 163–172. [Google Scholar] [CrossRef]
- Mordyuk, B.N.; Prokopenko, G.I.; Vasylyev, M.A.; Iefimov, M.O. Effect of structure evolution induced by ultrasonic peening on the corrosion behavior of AISI-321 stainless steel. Mater. Sci. Eng. A 2007, 458, 253–261. [Google Scholar] [CrossRef]
- Yuan, Y.; Li, R.; Bi, X.; Yan, M.; Cheng, J.; Gu, J. Review on numerical simulation of ultrasonic impact treatment (UIT): Present situation and prospect. J. Mater. Res. Technol. 2024, 30, 1319–1340. [Google Scholar] [CrossRef]
- Liu, Y.; Wang, D.P.; Deng, C.Y.; Xia, L.Q.; Huo, L.X.; Wang, L.J.; Gong, B.M. Influence of re-ultrasonic impact treatment on fatigue behaviors of S690QL welded joints. Int. J. Fatigue 2014, 66, 155–160. [Google Scholar] [CrossRef]
- Mordyuk, B.N.; Prokopenko, G.I.; Grinkevych, K.E.; Piskun, N.A.; Popova, T.V.; Liu, B. Effects of ultrasonic impact treatment combined with the electric discharge surface alloying by molybdenum on the surface related properties of low-carbon steel G21Mn5. Surf. Coat. Technol. 2017, 309, 969–979. [Google Scholar] [CrossRef]
- Yue, X.; Wang, Y.; Zhang, P.; Jiang, X. Investigation of surface integrity in inconel 718 enhanced by heat treatment, ultrasonic impact and multi-media jet processing. Sci. Rep. 2025, 15, 34123. [Google Scholar] [CrossRef]
- Liu, Y.; Wang, D.P.; Deng, C.Y.; Huo, L.X.; Wang, L.J.; Cao, S. Feasibility study on preparation of coatings on Ti–6Al–4V by combined ultrasonic impact treatment and electrospark deposition. Mater. Des. 2014, 63, 488–492. [Google Scholar] [CrossRef]
- Liu, Y.; Wang, D.; Deng, C.; Huo, L.; Wang, L.; Fang, R. Study on fabrication of ceramic coatings on Ti–6Al–4V alloy by combined ultrasonic impact treatment and electrospark. Surf. Eng. 2014, 31, 892–897. [Google Scholar] [CrossRef]
- Haponova, O.; Tarelnyk, V.; Mościcki, T.; Tarelnyk, N. Hybrid Surface Treatment Technologies Based on the Electrospark Alloying Method: A Review. Coatings 2025, 15, 721. [Google Scholar] [CrossRef]
- Sprecher, A.F.; Mannan, S.L.; Conrad, H. On the mechanisms for the electroplastic effect in metals. Acta. Metall. 1986, 34, 1145–1162. [Google Scholar] [CrossRef]
- Conrad, H. Electroplasticity in metals and ceramics. Mater. Sci. Eng. A 2000, 287, 276–287. [Google Scholar] [CrossRef]
- Tang, G.Y.; Zhang, J.; Zheng, M.X.; Fang, W.; Li, Q. Experimental study of electroplastic effect on stainless steel wire 304L. Mater. Sci. Eng. A 2000, 281, 263–267. [Google Scholar] [CrossRef]
- Rudolf, C.; Goswami, R.; Kang, W.; Thomas, J. Effects of electric current on the plastic deformation behavior of pure copper, iron, and titanium. Acta Mater. 2021, 209, 116776. [Google Scholar] [CrossRef]
- Song, Y.; Chen, L.; Hao, C.; Hua, L.; Xu, H.; Lu, J.; Wang, Z.; Lin, J.; Liu, Y.; Xie, L. Electroplasticity constitutive modeling of aluminum alloys based on dislocation density evolution. J. Mater. Res. Technol. 2024, 33, 3501–3517. [Google Scholar] [CrossRef]
- Niu, H.; Gao, P.; Li, H.; Zhan, M. Mechanism and modelling of the electroplastic effect in titanium alloy: From the perspective of dislocation slip. Int. J. Plast. 2025, 192, 104405. [Google Scholar] [CrossRef]
- Wang, H.B.; Song, G.L.; Tang, G.Y. Effect of electropulsing on surface mechanical properties and microstructure of AISI 304 stainless steel during ultrasonic surface rolling process. Mater. Sci. Eng. A 2016, 662, 456–467. [Google Scholar] [CrossRef]
- Wang, H.B.; Song, G.L.; Tang, G.Y. Enhanced surface properties of austenitic stainless steel by electropulsing-assisted ultrasonic surface rolling process. Surf. Coat. Technol. 2015, 282, 149–154. [Google Scholar] [CrossRef]
- Jiang, Y.B.; Tang, G.Y.; Shek, C.H.; Zhu, Y.H.; Guan, L.; Wang, S.N.; Xu, Z.H. Improved ductility of aged Mg-9Al-1Zn alloy strip by electropulsing treatment. J. Mater. Res. 2009, 24, 1810–1814. [Google Scholar] [CrossRef][Green Version]
- Jiang, Y.B.; Tang, G.Y.; Shek, C.H.; Zhu, Y.H.; Xu, Z.H. On the thermodynamics and kinetics of electropulsing induced dissolution of β-Mg17Al12 phase in an aged Mg–9Al–1Zn alloy. Acta Mater. 2009, 57, 4797–4808. [Google Scholar] [CrossRef]
- Liu, T.; Li, X.P.; Tang, G.Y.; Song, G.L. Effect of ultrasonic impact treatment assisted with high energy electropulsing on microstructure of D36 carbon steel. J. Mater. Res. 2016, 31, 3956–3967. [Google Scholar] [CrossRef]
- Maddox, S.J.; Doré, M.; Smith, S.D. A case study of the use of ultrasonic peening for upgrading a welded steel structure. Weld. World 2011, 55, 56–67. [Google Scholar] [CrossRef]
- Jinu, G.R.; Sathiya, P.; Ravichandran, G.; Rathinam, A. Investigation of the fatigue behaviour of butt-welded joints treated by ultrasonic peening process and compared with fatigue life assessment standards. Int. J. Adv. Manuf. Technol. 2009, 40, 74–83. [Google Scholar] [CrossRef]
- Malaki, M.; Ding, H.T. A review of ultrasonic peening treatment. Mater. Des. 2015, 87, 1072–1086. [Google Scholar] [CrossRef]
- Chung, F.H. Quantitative Interpretation of X-Ray Diffraction Patterns of Mixtures III. Simultaneous Determination of a Set of Reference Intensities. J. Appl. Cryst. 1975, 8, 17–19. [Google Scholar] [CrossRef]
- Grosvenor, A.P.; Kobe, B.A.; Biesinger, M.C.; Mclntyre, N.S. Investigation of multiplet splitting of Fe 2p XPS spectra and bonding in iron compounds. Surf. Interface Anal. 2004, 36, 1564–1574. [Google Scholar] [CrossRef]
- Goutier, F.; Valette, S.; Laborde, E.; Lefort, P. 304L stainless steel oxidation in carbon dioxide: An XPS study. J. Alloys Compd. 2011, 509, 3246–3251. [Google Scholar] [CrossRef]
- Ghods, P.; Isgor, O.B.; Brown, J.R.; Bensebaa, F.; Kingston, D. XPS depth profiling study on the passive oxide film of carbon steel in saturated calcium hydroxide solution and the effect of chloride on the film properties. Appl. Surf. Sci. 2011, 257, 4669–4677. [Google Scholar] [CrossRef]
- Ghods, P.; Isgor, O.B.; Bensebaa, F.; Kingston, D. Angle-resolved XPS study of carbon steel passivity and chloride-induced depassivation in simulated concrete pore solution. Corros. Sci. 2012, 58, 159–167. [Google Scholar] [CrossRef]
- Popov, B. Basics of Corrosion Measurements. In Corrosion Engineering, 1st ed.; Elsevier: Amsterdam, The Netherlands, 2015; pp. 181–237. [Google Scholar]
- Fattah-Alhosseini, A.; Yazdani Khan, H.; Heidarpour, A. Comparison of anti-corrosive properties between hot alkaline nitrate blackening and hydrothermal blackening routes. J. Alloys Compd. 2016, 676, 474–480. [Google Scholar] [CrossRef]
- Iuchi, T.; Yamada, Y.; Sugiura, M.; Torao, A. Thermometry in Steel Production; Elsevier: Amsterdam, The Netherlands, 2010; pp. 217–277. [Google Scholar]
- Zhu, H.L.; Cao, F.H.; Zuo, D.T.; Zhu, L.M.; Jin, D.L.; Yao, K.H. A new hydrothermal blackening technology for Fe3O4 coatings of carbon steel. Appl. Surf. Sci. 2008, 254, 5905–5909. [Google Scholar] [CrossRef]
- Onofre-Bustamente, E.; Domínguez-Crespo, M.A.; Genescá-Llongueras, J.; Rodríguez-Gómez, M.A. Characteristics of blueing as an alternative chemical conversion treatment on carbon steel. Surf. Coat. Technol. 2007, 201, 4666–4676. [Google Scholar] [CrossRef]
- Qi, H.; Wang, Y.; Feng, J.; Peng, R.; Shi, Q.; Xie, X. Microbiologically Influenced Corrosion of Q235 Carbon Steel by Ectothiorhodospira sp. Int. J. Environ. Res. Public Health 2022, 19, 15416. [Google Scholar] [CrossRef]
- Siddiq, A.; Ghassemieh, E. Thermomechanical analyses of ultrasonic welding process using thermal and acoustic softening effects. Mech. Mater. 2008, 40, 982–1000. [Google Scholar] [CrossRef]
- Siu, K.W.; Liu, H.; Ngan, A.H.W. A universal law for metallurgical effects on acoustoplasticity. Materialia 2019, 5, 100214. [Google Scholar] [CrossRef]
- Sakai, T.; Belyakov, A.; Kaibyshev, R.; Miura, H.; Jonas, J.J. Dynamic and post-dynamic recrystallization under hot, cold and severe plastic deformation conditions. Prog. Mater. Sci. 2014, 60, 130–207. [Google Scholar] [CrossRef]
- Sauvage, X.; Copreaux, J.; Danoix, F.; Blavette, D. Atomic-scale observation and modelling of cementite dissolution in heavily deformed pearlitic steels. Philos. Mag. A 2000, 80, 781–796. [Google Scholar] [CrossRef]
- Petch, N.J. The cleavage strength of polycrystals. J. Iron. Steel. Int. 1953, 174, 25–28. [Google Scholar]
- Cherif, A.; Pyoun, Y.; Scholtes, B. Effects of ultrasonic nanocrystal surface modification (UNSM) on residual stress state and fatigue strength of AISI 304. J. Mater. Eng. Perform. 2010, 19, 282. [Google Scholar]
- Ghahremani, K.; Walbridge, S.; Topper, T. High cycle fatigue behaviour of impact treated welds under variable amplitude loading conditions. Int. J. Fatigue 2015, 81, 128. [Google Scholar] [CrossRef]
- Gu, B.; Wang, Y.; Gao, L.; Xu, G.; Liu, L.; Sun, S. Effects of ultrasonic impact treatment on the tensile properties of DH36 steel welded joints. Eng. Fract. Mech. 2025, 315, 110798. [Google Scholar] [CrossRef]
- Rahnama, A.; Qin, R.S. The effect of electropulsing on the interlamellar spacing and mechanical properties of a hot-rolled 0.14% carbon steel. Mater. Sci. Eng. A 2015, 627, 145–152. [Google Scholar] [CrossRef]
- Gavriljuk, V.G. Comment on “Effect of interlamellar spacing on cementite dissolution during wire drawing of pearlitic steel wires”. Scr. Mater. 2001, 45, 1469–1472. [Google Scholar] [CrossRef]
- Li, Y.; Choi, P.; Borchers, C.; Westerkamp, S.; Goto, S.; Raabe, D.; Kirchheim, R. Atomic-scale mechanisms of deformation-induced cementite decomposition in pearlite. Acta Mater. 2011, 59, 3965–3977. [Google Scholar] [CrossRef]













| Aspects | Conventional UIT | EP-UIT |
|---|---|---|
| Depth of affected layer | 0.5 mm | >2 mm |
| Recrystallization mechanism | Limited to surface layer | Continuous dynamic recrystallization |
| Corrosion resistance | Modest improvement | Significant enhancement |
| Microstructural refinement | Limited to surface grains | Gradient nanostructure |
| Surface oxidation | Negligible oxide layer | Dense oxide layer |
| Condition | Frequency (Hz) | Peak Current Density (A·mm−2) | Root-Mean-Square Current Density (A·mm−2) | Duration (μs) | Temperature (Beginning) (°C) | Temperature (Ending) (°C) |
|---|---|---|---|---|---|---|
| EP-UIT1 | 400 | 17.44 | 2.27 | 89 | 260 | 440 |
| EP-UIT2 | 500 | 16.60 | 2.75 | 95 | 350 | 610 |
| Treatment | a (α-Fe), (pm) | Fe3O4 (wt. %) | Fe2O3 (wt. %) |
|---|---|---|---|
| As received | 286.64 | - | - |
| UIT | 287.41 ± 0.12 | - | - |
| EP-UIT1 | 287.71 ± 0.23 | 68.6 ± 3.8 | 31.4 ± 3.8 |
| EP-UIT2 | 287.79 ± 0.29 | 77.5 ± 5.5 | 22.5 ± 5.5 |
| Compounds or Phase | Peak Position (Bonding Energy) Fe 2p3/2 (±0.4 eV) | Full Widths at Half-Maximum Fe 2p3/2 (±0.2 eV) |
|---|---|---|
| α-Fe | 707.0 | 1.8 |
| Fe3C (cementite) | 708.2 | 2.0 |
| Fe3O4 (magnetite) | 709.6 | 2.0 |
| Fe2O3 (hematite) | 711.0 | 2.0 |
| Satellite peak | 712.7 | 2.6 |
| Sample | Ecorr (mV) | Icorr (μA·cm−2) | Corrosion Rate (g/(m2·h)) | βa (mV) | βc (mV) | Rp (kΩ·cm2) |
|---|---|---|---|---|---|---|
| Original | −667.4 ± 10.8 | 22.14 ± 0.80 | 0.2307 ± 0.0083 | 22.7 ± 3.1 | 72.7 ± 9.3 | 0.78 ± 0.26 |
| UIT | −663.2 ± 9.6 | 22.44 ± 1.41 | 0.2338 ± 0.0147 | 24.4 ± 3.7 | 69.0 ± 14.3 | 0.69 ± 0.16 |
| EP-UIT1 | −618.2 ± 13.5 | 7.40 ± 2.33 | 0.0771 ± 0.0243 | 27.1 ± 5.0 | 75.2 ± 17.3 | 2.36 ± 0.44 |
| EP-UIT2 | −620.7 ± 10.1 | 8.19 ± 2.56 | 0.0853 ± 0.0267 | 33.3 ± 5.4 | 109.7 ± 14.5 | 2.80 ± 0.29 |
| Sample | Rs (Ω·cm2) | Rct (Ω·cm2) | θ (°) | n | Y0 (sn·Ω−1·cm−2) | ω* (Hz) |
|---|---|---|---|---|---|---|
| Original | 4.9 | 812 | 7.77 | 0.914 | (9.55) E−3 | 0.2 |
| UIT | 7.1 | 1200 | 17.30 | 0.808 | (15.78) E−3 | 0.4 |
| EP-UIT1 | 4.6 | 2172 | 27.67 | 0.693 | (2.88) E−3 | 6.3 |
| EP-UIT2 | 4.0 | 2708 | 32.42 | 0.640 | (2.43) E−3 | 4.8 |
Disclaimer/Publisher’s Note: The statements, opinions and data contained in all publications are solely those of the individual author(s) and contributor(s) and not of MDPI and/or the editor(s). MDPI and/or the editor(s) disclaim responsibility for any injury to people or property resulting from any ideas, methods, instructions or products referred to in the content. |
© 2026 by the authors. Licensee MDPI, Basel, Switzerland. This article is an open access article distributed under the terms and conditions of the Creative Commons Attribution (CC BY) license.
Share and Cite
Liu, T.; Chen, L.; Song, G.; Li, X. A Novel Approach for Simultaneous Improvement of Mechanical and Corrosion Properties in D36 Steel: EP-UIT Hybrid Process. Coatings 2026, 16, 195. https://doi.org/10.3390/coatings16020195
Liu T, Chen L, Song G, Li X. A Novel Approach for Simultaneous Improvement of Mechanical and Corrosion Properties in D36 Steel: EP-UIT Hybrid Process. Coatings. 2026; 16(2):195. https://doi.org/10.3390/coatings16020195
Chicago/Turabian StyleLiu, Tao, Lijie Chen, Guolin Song, and Xiaohui Li. 2026. "A Novel Approach for Simultaneous Improvement of Mechanical and Corrosion Properties in D36 Steel: EP-UIT Hybrid Process" Coatings 16, no. 2: 195. https://doi.org/10.3390/coatings16020195
APA StyleLiu, T., Chen, L., Song, G., & Li, X. (2026). A Novel Approach for Simultaneous Improvement of Mechanical and Corrosion Properties in D36 Steel: EP-UIT Hybrid Process. Coatings, 16(2), 195. https://doi.org/10.3390/coatings16020195

