Previous Article in Journal
Discrete Element Method Simulation of Silicon Nitride Ceramic Bearings with Prefabricated Crack Defects
 
 
Font Type:
Arial Georgia Verdana
Font Size:
Aa Aa Aa
Line Spacing:
Column Width:
Background:
Article

Enhanced Current Saturation in IGZO Thin Film Transistors Using a Source-Connected Bottom Gate Structure

School of Electronics and Information Engineering, Korea Aerospace University, Goyang 10540, Republic of Korea
Coatings 2026, 16(2), 161; https://doi.org/10.3390/coatings16020161
Submission received: 5 January 2026 / Revised: 24 January 2026 / Accepted: 26 January 2026 / Published: 27 January 2026
(This article belongs to the Special Issue Recent Advances in Thin-Film Transistors: From Design to Application)

Highlights

What are the main findings?
  • SCBG (source-connected bottom gate) improves drain current saturation in short-channel IGZO TFTs.
  • For L = 5 μm, ro = 475 MΩ and VA = 1.2 kV.
  • SCBG suppresses channel length modulation, reducing dL)/dVDS by ~55%.
  • Simulations show slower drain-side depletion growth with increasing VDS in SCBG.
What are the implications of the main findings?
  • SCBG mitigates channel length modulation.
  • Electrostatic scheme compatible with self-aligned IGZO TFT process flows.
  • Improved current saturation can stabilize OLED driving TFT operation at scaled L.

Abstract

Channel length modulation (CLM) in indium gallium zinc oxide (IGZO) thin film transistors (TFTs) reduces the output resistance (ro) in the saturation regime. It also degrades current driving accuracy for active matrix organic light emitting diode (AMOLED) backplanes. For top gate, self-aligned devices with nominal channel lengths of 5–15 μm, transmission line method (TLM) analysis yields an effective channel length reduction (ΔL) of about 1.8 μm. This result is consistent with lateral hydrogen redistribution from the self-aligned source/drain (S/D) process. At L = 5 μm, the conventional TFT exhibits ro = 13.5 ± 2.5 MΩ and an Early voltage (VA) = 56.1 ± 10.4 V (n = 5). We propose a source connected bottom gate (SCBG) structure that electrostatically stabilizes the pinch-off region and suppresses CLM. The SCBG TFT increases ro to 475 ± 52 MΩ and VA to 1159 ± 173 V at L = 5 μm (n = 5), while maintaining normal transfer characteristics. Two-dimensional device simulations reproduce the trend and show that the drain-bias-induced pinch-off shift is reduced, with dL)/dVDS decreasing from 0.027 to 0.012 μm/V (about 55%). These results indicate that the SCBG approach is effective for enhancing current saturation in short channel IGZO TFTs for high-resolution AMOLED applications.

1. Introduction

Amorphous indium gallium zinc oxide (IGZO) has been widely studied as a channel material for thin film transistors (TFTs) in backplanes for active matrix organic light emitting diode (AMOLED) displays. This interest is driven by its high field effect mobility, low leakage current, and compatibility with large area fabrication processes [1,2]. IGZO TFTs can achieve field effect mobility above 10 cm2/V∙s even in the amorphous phase, which is advantageous for high resolution displays [3,4]. In addition, IGZO TFTs can be fabricated at low process temperatures below 300 °C on large-area substrates, making it attractive for next generation applications such as flexible and transparent displays [5,6].
In high-resolution AMOLED displays, the area occupied by TFTs in each pixel must be reduced to maximize the pixel aperture ratio and achieve high brightness at low power consumption. This requirement inevitably drives the downscaling of TFT dimensions, particularly the channel length. Modern high-resolution displays with pixel densities exceeding 500 ppi demand TFTs with channel lengths approaching 5 μm or even shorter [7,8]. However, as the channel length decreases, various short channel effects emerge, among which channel length modulation (CLM) is particularly detrimental to the current driving capability required for AMOLED operation. CLM refers to the phenomenon in which the effective channel length decreases as the drain–source voltage increases in the saturation regime, causing the drain current to continue increasing rather than remaining constant [9]. In a typical 2T1C (two transistors and one capacitor) pixel circuit, the driving TFT is intended to operate in the saturation mode. It is desirable that the drain current remains nearly independent of the drain voltage so that the OLED current is accurately determined by the data voltage [10]. Therefore, suppressing CLM is crucial for achieving stable pixel operation in high-resolution AMOLED displays.
In our IGZO TFTs, however, we observed a markedly enhanced CLM when the channel length (L) was reduced to ~5 μm. The drain current strongly depended on the drain voltage, and the slope of the output characteristics in the saturation regime was much larger than that of the long-channel devices. This degradation in current saturation has a serious impact on the ability of the driving TFT to supply stable current in AMOLED pixels. Notably, a channel length of 5 μm is not extremely short by conventional TFT standards [11,12]. This suggests that specific factors inherent to our IGZO TFT fabrication process may be contributing to the enhanced CLM beyond simple geometric scaling effects.
A distinctive feature of our IGZO TFT fabrication process is the use of in situ hydrogen doping during silicon nitride (SiNx) passivation layer deposition to form low resistance source/drain (S/D) regions. This approach has been widely reported in the literature [13,14,15]. During SiNx deposition by plasma enhanced chemical vapor deposition (PECVD), hydrogen radicals diffuse in IGZO, and they act as n-type dopants. We hypothesize that lateral hydrogen diffusion from the S/D regions into the channel shortens the effective channel length. This mechanism may be a primary contributor to the enhanced CLM observed in short channel devices. The major pathway is hypothesized to be through the silicon dioxide (SiO2) layer, which will be discussed based on the cross-sectional structure in the following sections.
In this work, we focus on IGZO TFTs with L = 5 μm that exhibit pronounced CLM compared with long-channel devices. First, we perform transmission line method (TLM) analysis on fabricated devices with various channel lengths to experimentally quantify the effective channel length. In order to improve current saturation, we propose a source-connected bottom gate (SCBG) structure. From device fabrication results, we show that the proposed SCBG structure suppresses this effect through enhanced electrostatic control of the channel. Finally, we support the effect of the SCBG structure on the suppression of pinch-off point shift using physics-based device simulations performed with COMSOL Multiphysics (ver. 5.3).

2. Device Structure and Fabrication

Conventional IGZO TFTs were fabricated with a top gate structure, as shown in Figure 1. Figure 1a illustrates the hydrogen doping process during the SiNx passivation layer deposition, showing the diffusion pathways of hydrogen radicals, and Figure 1b shows the cross-sectional schematic of the completed device structure. The channel width was fixed at 15 μm. The channel length (L) was varied from 5 to 15 μm (5, 7.5, 10, and 15 μm) to investigate the dependence of the electrical characteristics on channel length.
The fabrication sequence began with the deposition of a buffer layer on a glass substrate. A 300 nm thick silicon dioxide (SiO2) buffer layer was deposited by PECVD at 200 °C to provide electrical isolation and surface smoothing. A 50 nm thick IGZO film was subsequently deposited by radio frequency (RF) magnetron sputtering at room temperature. A target with In:Ga:Zn = 1:1:1 at. % was used in an Ar/O2 mixture (95/5). The IGZO layer was patterned by wet etching to define the active island. Next, a 200 nm thick SiO2 gate insulator was deposited by PECVD at 250 °C. A 100 nm thick molybdenum (Mo) film was deposited by sputtering and patterned to form the top gate electrode. All film thicknesses were controlled by calibrated deposition rates and deposition time, and were verified by ellipsometry for inorganic dielectric films and by stylus profilometry for metal layers.
Hydrogen plasma doping for S/D formation was carried out by in situ hydrogen incorporation during deposition of the SiNx passivation layer. In our study, a 200 nm thick SiNx passivation layer was deposited by PECVD at 250 °C. During the SiNx deposition, the S/D regions were self-aligned to the top gate electrode because hydrogen radicals were blocked by the Mo gate. Therefore, only the IGZO regions not covered by the gate were selectively doped. As schematically illustrated in Figure 1a, hydrogen radicals diffuse not only vertically through the SiO2 gate insulator but also laterally within the SiO2 gate insulator toward the channel region. We hypothesize that the effective channel length is reduced by lateral hydrogen diffusion mediated by the gate insulator, which extends the doped regions into the channel. Contact holes were subsequently opened through the SiNx and SiO2 layers by dry etching. Finally, a 100 nm thick Mo contact metal was deposited by sputtering and patterned to form the S/D electrodes. All devices underwent post-annealing at 250 °C for 1 h in ambient air to stabilize the electrical performance and activate the hydrogen dopants.
For the SCBG devices, the process flow was identical to that of the conventional devices except that two additional steps were inserted between the SiO2 buffer layer deposition and the IGZO deposition. After depositing the 300 nm thick buffer layer on the glass substrate, a 100 nm thick molybdenum (Mo) film was deposited by sputtering and patterned to form the bottom gate electrode. Subsequently, a 200 nm thick SiO2 bottom gate oxide was deposited by PECVD at 250 °C. After these steps, the IGZO active layer was deposited and patterned in the same manner as in the conventional devices, and all subsequent steps were identical to those used for the conventional devices. The detailed device structure is presented in Section 3.2.

3. Results and Discussions

3.1. Device Characteristics as a Function of Channel Length

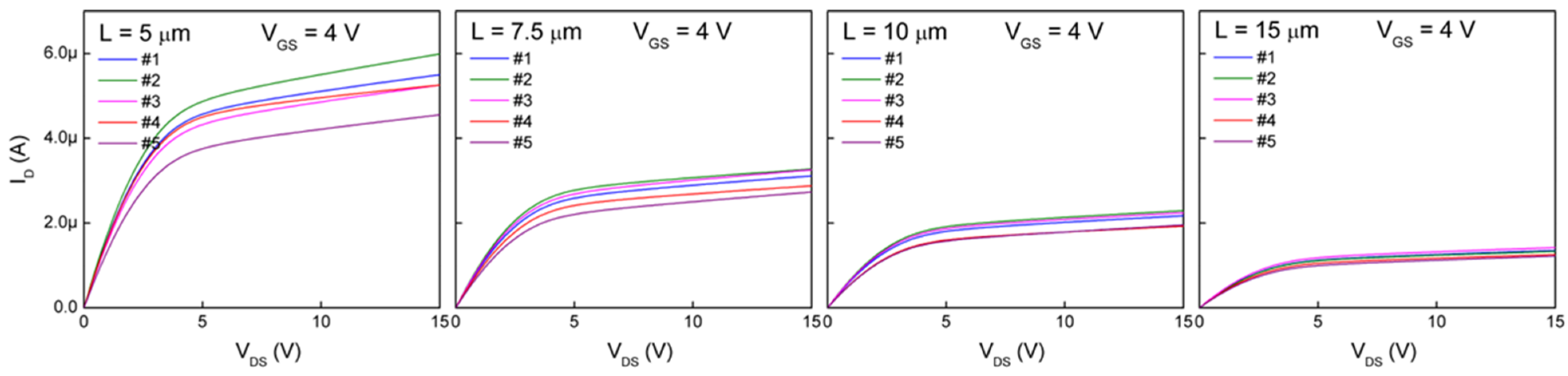
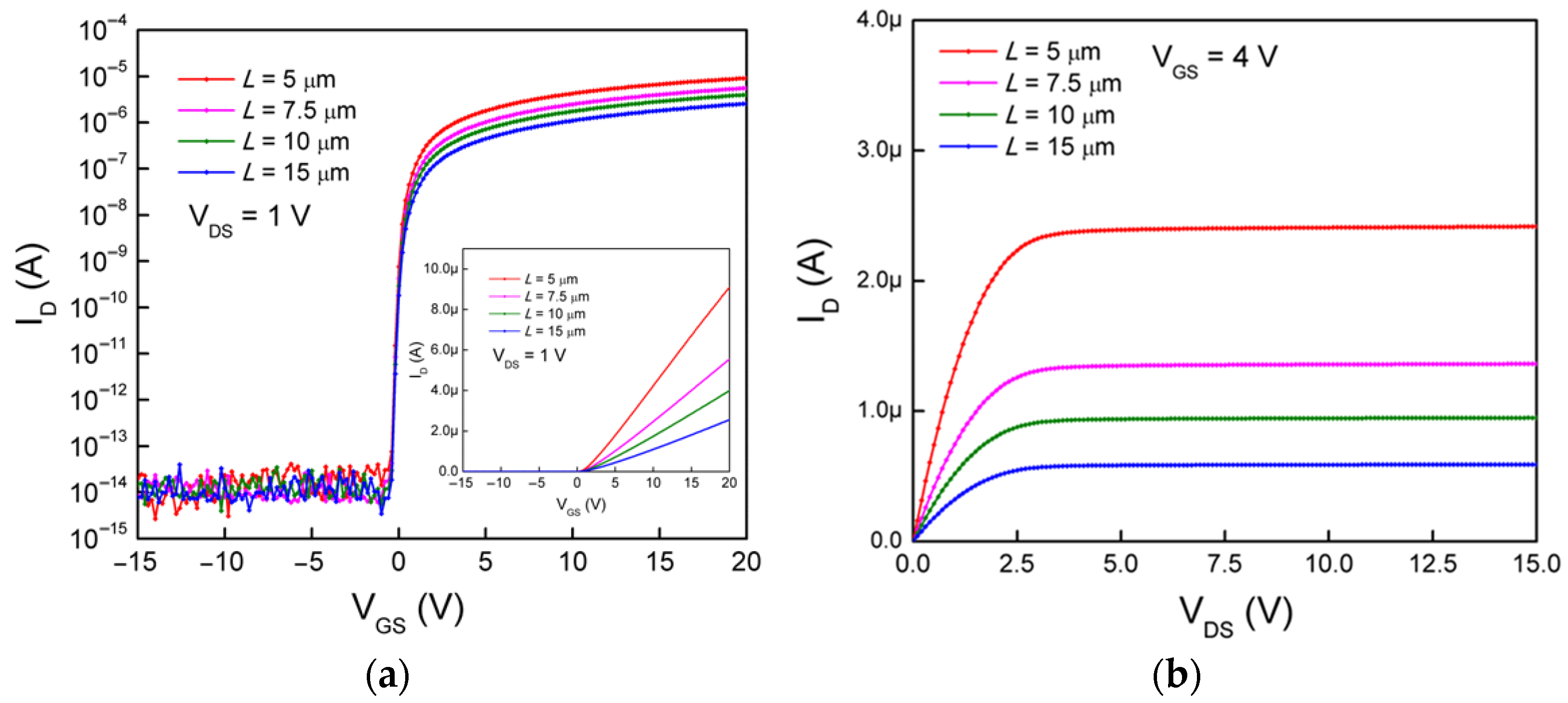
The electrical characteristics of the fabricated conventional IGZO TFTs were measured at room temperature using an Agilent 4156C semiconductor parameter analyzer (Agilent Technologies, Santa Clara, CA, USA). Transfer characteristics (IDVGS) were obtained by sweeping the gate–source voltage (VGS) from −15 V to 20 V at a fixed drain–source voltage (VDS) of 1 V. Output characteristics (IDVDS) were measured by sweeping VDS from 0 to 15 V at a fixed VGS of 4 V. Figure 2a shows the IDVGS curves for devices with channel lengths of 5, 7.5, 10, and 15 μm. The threshold voltage (Vth) and the field effect mobility (μeff) were extracted using the linear extrapolation method in the linear regime, where VGSVth > VDS. Specifically, Vth was determined from the VGS-axis intercept (Vint) of a linear fit to the IDVGS curve. It was then corrected as Vth = VintVDS/2. This correction is used because the intercept corresponds to Vth + VDS/2 in the standard MOSFET linear regime expression. The extracted Vth ranged from −0.19 to 0.23 V across L = 5–15 μm, and μeff waw around 9.0 cm2/V∙s, respectively. These values are consistent with those reported for IGZO TFTs with hydrogen-doped S/D in the literature [13,14].
Figure 2b presents the IDVDS curves for the same set of devices. A clear difference in current saturation behavior is observed as a function of channel length. The L = 15 μm and L = 10 μm devices exhibit well-defined current saturation, indicating weak CLM. In contrast, the L = 7.5 μm device shows a moderate increase in the drain current with VDS, and the L = 5 μm device displays a severe current rise in the saturation regime. To quantitatively assess the CLM effect, we extracted the output resistance (ro = (dID/dVDS)−1) which is the inverse of the slope of the IDVDS curve in the saturation regime (VDS = 10–15 V). The average value of ro for the L = 5 μm device is 13.5 MΩ, and that for the L = 15 μm device is 53.6 MΩ which is 4 times higher. This result demonstrates that short channel IGZO TFTs suffer from stronger CLM than their long channel counterparts. Specifically, in the saturation regime, IDVDS curves are linearly fitted as ID = (1/ro) × VDS + ID0, where ID0 is the extrapolated current obtained from the y-intercept of the above linear fit. The CLM is often quantified by the Early voltage which is defined as VA = ID0 × ro, which corresponds to the absolute value of extrapolated x-intercept of the aforementioned linear fit. The Early voltage (VA) for the L = 5 μm device is approximately 56 V. Reproducibility of the transfer and output characteristics is provided in Figure A1 and Figure A2 in Appendix A. Device-to-device statistics of Vth, ro, and VA are summarized in Section 3.2.
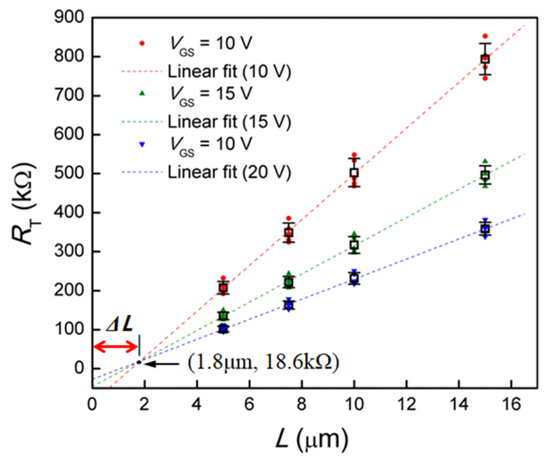
To investigate the effective channel length of the fabricated devices, we performed transmission line method (TLM) analysis [16,17,18]. Using the drain current values measured at VDS = 1 V for three different gate voltages (VGS = 10, 15, and 20 V), we calculated the total source-to-drain resistance. Heare, RT = Rch + Rs. Rch is the channel resistance dependent on VGS, whereas Rs is the independent series resistance incorporating S/D and contact resistances. For each channel length, five devices were measured. RT was calculated for each device. The symbols and error bars in Figure 3 represent mean ± standard deviation (SD) (n = 5). Figure 3 plots the RT versus the nominal (designed) channel length for three VGS conditions, where the extrapolated lines do not converge at the positive y-axis. The nominal channel length was defined by the top gate pattern, and it was verified by an optical microscope after fabrication. In standard TLM analysis, the extrapolated lines for different gate voltages should intersect at a point on the positive y-axis, and this y-intercept represents Rs. However, the fact that our intersection point does not lie on the positive y-axis indicates that the nominal channel lengths do not accurately represent the effective channel lengths. As shown in Figure 3, the three extrapolated lines converge at a point of (1.8 μm, 18.6 kΩ). According to conventional TLM interpretation, a non-zero x-coordinate of the intersection indicates channel length reduction [17]. We define ΔL ≈ 1.8 μm as the difference between the nominal channel length (L) and the effective channel length (Leff).
As described in Section 2, hydrogen is intentionally introduced as an n-type dopant during the SiNx passivation layer deposition at 250 °C by PECVD. The dopants are activated during the subsequent post-annealing step at 250 °C for 1 h. During SiNx deposition, hydrogen diffuses not only vertically into the IGZO S/D regions but also laterally within the 200 nm thick SiO2 gate insulator as illustrated in Figure 1a. Because the hydrogen diffusion coefficient in SiO2 is substantially higher than that in IGZO, the gate insulator can be a dominant diffusion pathway for hydrogen in our devices. To assess the plausibility of this hypothesis, we compare the hydrogen diffusion coefficients in the literature. Nomura et al. reported a hydrogen diffusion coefficient of 2.6 × 10−15 cm2/s at 200 °C in IGZO [19]. The diffusion coefficient at 250 °C can be estimated as 1.7 × 10−14 cm2/s using the Arrhenius equation and an activation energy (Ea) of 0.89 eV. In contrast, Shang et al. reported a hydrogen diffusion coefficient of 2.4 × 10−8 cm2/s at 250 °C in SiO2 [20]. This value is more than six orders of magnitude larger than the estimated value in IGZO at 250 °C. Such a large contrast supports that lateral hydrogen transport within the SiO2 gate insulator can occur much more readily than through the IGZO layer itself. Therefore, even though the lateral diffusion length cannot be uniquely determined with the literature values alone, it can depend on microstructure such as film thickness and layer stack. Nevertheless, the gate insulator provides a physically plausible and potentially dominant pathway for lateral hydrogen redistribution. In this scenario, hydrogen in IGZO may form a gradual concentration profile extending toward the channel from S/D edges. Such lateral redistribution would reduce the electrically active channel length (Leff) relative to the nominal designed length (L). Accordingly, we believe that an effective channel length reduction (ΔL = LLeff) produced by the net impact of hydrogen redistribution is broadly consistent with the extracted ΔL (≈1.8 μm) from TLM analysis.

3.2. Source-Connected Bottom Gate Structure and Its Effects

As mentioned in Section 3.1, lateral hydrogen diffusion toward the channel during in situ doping can reduce Leff, which can enhance CLM in short channel devices. This severe CLM degrades the output characteristics and limits the scalability of IGZO TFTs with hydrogen-doped S/D. To suppress this CLM effect in short-channel devices while preserving the benefits of hydrogen doping for low contact resistance and self-alignment, we propose a source-connected bottom gate (SCBG) structure. Figure 4 shows the cross-sectional schematic of the SCBG device. Unlike the conventional top gate structure discussed in Section 2, the SCBG configuration incorporates an additional bottom gate electrode. The bottom gate and source electrodes are connected by a metal interconnection through two via holes, ensuring that both electrodes remain at the source potential during device operation. This architecture is designed to stabilize the channel potential near the drain depletion region by introducing a bottom gate tied to the source potential (VS = 0 V). Consequently, the pinch-off point shift and the resulting CLM are expected to be suppressed in the proposed structure.
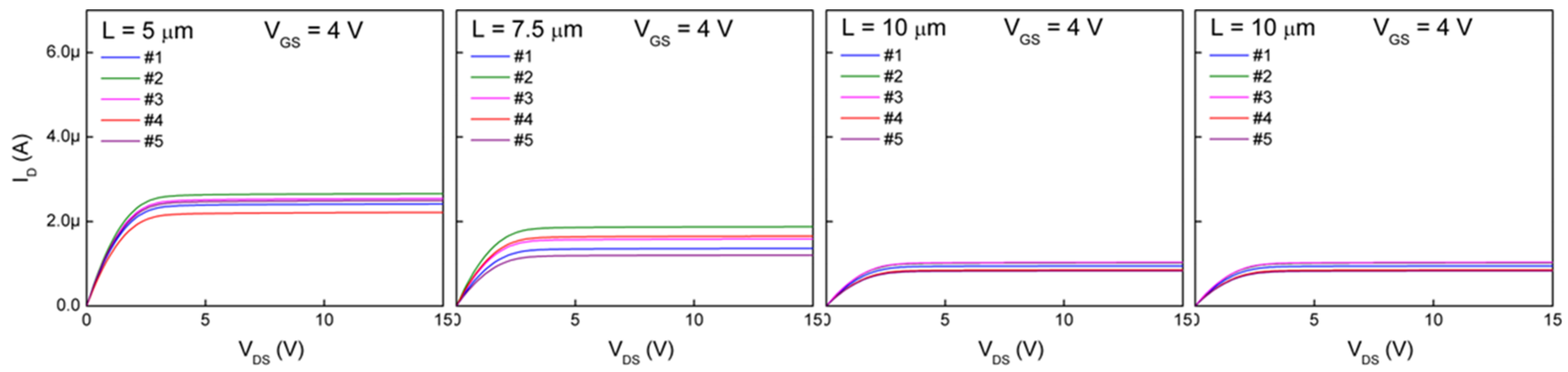
Figure 5 demonstrates the effectiveness of the SCBG structure in suppressing CLM. Figure 5a shows the IDVGS curves of fabricated SCBG devices with channel lengths of 5, 7.5, 10, and 15 μm, measured at VDS = 1 V. All devices exhibit well-defined transfer characteristics with Vth of approximately 0.66 V. The bottom gate in the SCBG device is tied to the source potential (VBG = VS = 0 V). Therefore, the slight positive shift in Vth compared with the conventional structure (−0.19 V in Section 3.1) is not attributed to an intentional bottom gate biasing effect. Instead, it is considered a secondary effect arising from the modified electrostatic boundary condition. More importantly, differences in the IGZO/SiO2 bottom interface (buffer SiO2 deposited at 200 °C versus bottom gate insulator deposited at 250 °C) may alter interfacial defect states. These changes in oxygen-vacancy-related and hydroxyl/hydrogen-related defects can shift Vth [21]. Figure 5b shows the IDVDS curves measured at VGS = 4 V, revealing a clear contrast with the conventional devices (Figure 2b). In the saturation regime, the SCBG devices exhibit nearly flat saturation behavior. For the L = 5 μm device, the output resistance (ro) was extracted from a linear fit of the IDVDS curve at VDS = 10–15 V. We used the same procedure as for the conventional devices, yielding ro = 475 MΩ. The Early voltage (VA) of the SCBG structure is approximately 1.2 kV, which is approximately 20 times higher than that of the conventional structure. This increase in VA indicates a substantial suppression of CLM in the SCBG structure. Reproducibility of the transfer and output characteristics is provided in Figure A3 and Figure A4 in Appendix A. Key parameters (Vth, ro, and VA for each L) extracted from the measured characteristics are summarized in Table 1. Values are reported as mean ± SD (n = 5).
The proposed SCBG structure exhibits an almost VDS-independent drain current in the saturation regime. This behavior can be attributed to the fact that the bottom gate is electrically tied to the source potential (0 V). Consequently, an increase in VDS is not expected to significantly perturb the potential distribution in the vicinity of the pinch-off point near the drain. As a result, the drain-bias-induced shift of the pinch-off point is significantly suppressed, which leads to a pronounced improvement in the current saturation characteristics. In addition to the high VDS comparison, we examined the low VDS saturation behavior under lower gate biases (VGS = 1 V and 2 V), for which current saturation occurs at lower VDS. The corresponding output characteristics confirm that the SCBG device maintains a markedly reduced output slope compared with the conventional device in the saturation regime (Appendix B, Figure A5). To support the suppressed pinch-off point movement with increasing VDS in the SCBG structure, device simulations were performed. The corresponding results and discussion are presented in the following section.

3.3. Simulation Analysis of Pinch-Off Point Movement

To assess the effectiveness of the SCBG structure in suppressing CLM, two-dimensional (2-D) electrostatic simulations were performed using the Semiconductor Module of COMSOL Multiphysics. Material parameters for IGZO were set to typical values (Eg = 3.05 eV, εr = 10). The simulation domain represents a 2-D cross section along the nominal channel length (5 μm) with the S/D length (1 + 1 μm) and thickness (50 nm), matching the geometry of the fabricated devices. The reduction in effective channel length was modeled using the complementary error function (erfc), which can mimic the lateral diffusion of hydrogen. The detailed doping profile in the IGZO channel (1 μm < x < 6 μm) was modeled as
N ( x ) = N c h + 0.5 N S D · e r f c ( x L S D + L c h a r L c h a r ) + 0.5 N S D · e r f c ( ( L + L S D L c h a r ) x L c h a r ) .
Here, Nch (=1 × 1015 cm−3) is the background dopant concentration in the channel and NSD (=1 × 1019 cm−3) is the dopant concentration in the S/D. The nominal channel length is L (=5 μm), and LSD (=1 μm) is the length of the S/D outside the channel. Lchar (=0.28 μm) is a fitting parameter in the erfc-based profile that sets the spatial scale of the dopant concentration tail extending from the S/D edges into the channel. A detailed explanation of this point is provided later.
The primary objective of these simulations was to qualitatively investigate the impact of the gradual doping profile and the effect of the SCBG structure on the CLM. We did not attempt to quantitatively match the measured device characteristics. Therefore, we examined the electron concentration profiles in the IGZO layer rather than IDVDS characteristics. Figure 6 compares 2-D electron concentration maps in the IGZO layer. Figure 6a shows a series of 2-D electron concentration maps of the conventional top gate structure at VGS = 4 V and VDS = 0, 2, 4, 6, 8, and 10 V. Figure 6b shows the corresponding maps of the SCBG structure under the same bias conditions. In both cases, the electron concentration in the channel region near the drain begins to decrease noticeably once VDS exceeds approximately 4 V, forming a drain depletion region. However, a critical difference is observed between the two structures. In the conventional device, the reduction in electron concentration occurs predominantly in the upper portion of the IGZO layer. In the SCBG device, the reduction is concentrated mainly in the lower portion of the IGZO layer. This implies that, for the conventional structure, the depletion-region expansion takes place near the top of the IGZO. The channel is primarily formed under top gate control. As VDS increases, this promotes movement of the pinch-off point toward the source. In contrast, in the SCBG structure the depletion region expands mostly in the lower IGZO region, which is less directly associated with the top-gate-controlled channel. Consequently, the pinch-off point shift can be relatively smaller. This contrast indirectly indicates that the SCBG configuration suppresses the CLM effect.
To analyze the pinch-off point movement, we defined a horizontal cutline located 5 nm below the gate insulator interface, extending from the source through the channel to the drain. The electron concentration along this cutline was then extracted with VDS varying from 0 to 10 V in 1 V steps at fixed VGS = 4 V. Figure 7a shows a series of the electron concentration on the cutline of the conventional structure, while Figure 7b shows the corresponding series of the SCBG structure under the same bias conditions. At VDS = 0 V, the electron concentration at the channel center is approximately 2 × 1017 cm−3. The effective channel length (Leff) can be estimated by measuring the distance between two points near the S/D edges where the electron concentration begins to increase. However, because the concentration increases only gradually near the onset, the exact locations of these points are ambiguous. Therefore, we adopt an operational definition that is less sensitive to this ambiguity. We define the two edge points as those where the electron concentration at VDS = 0 V is 10% higher than the central value (i.e., 2.2 × 1017 cm−3). We confirmed that using nearby substitutions (e.g., 5–15%) do not appreciably change the extracted Leff. For both device structures, the extracted effective channel length is approximately fitted to 3.2 μm, which is consistent with the Leff extracted from TLM analysis in Section 3.1. The reason for setting Lchar = 0.28 μm (in Equation (1)) is to calibrate the simulated Leff to the value extracted from the TLM analysis. When Lchar = 0.28 μm, the effective channel length could be obtained as 3.2 μm. We denote the effective channel length extracted at VDS = 0 V using the above definition as Leff0.
In Figure 7a for the conventional structure, it is observed that a pronounced electron-depleted region forms near the drain and expands once VDS exceeds ~4–5 V. As VDS increases further, the electron concentration in this region drops sharply. In Figure 7b for the SCBG structure, it is also observed that an electron-depleted region forms near the drain. However, as VDS increases, the minimum electron concentration does not decrease to the same level as in the conventional structure, and the rate of reduction is markedly reduced. In addition, the expansion of the depletion region toward the source is substantially slowed.
To facilitate quantitative analysis of the pinch-off point shift, we define the pinch-off point operationally. Specifically, it is the position where the electron concentration drops to 1/20 of the channel center value at VDS = 0 V (i.e., 2 × 1016 cm−3). This corresponds to a 95% depletion of electrons and avoids reliance on the conventional pinch-off definition. Among the two points that satisfy the defined criteria, the one located closer to the channel is selected. Figure 8a shows the extracted positions of the pinch-off point (xpo) as a function of VDS ranging from 6 to 10 V for both the conventional and SCBG structures. To assess the variability of the simulation results, we varied a few simulation parameters. We scaled the S/D doping concentration by 1.5 and by 1/1.5. We also varied the gate insulator thickness by +10% and −10%. The resulting spread is shown as error bars in Figure 8. In the case of conventional structure, xpo moves progressively toward the source as VDS increases, confirming the characteristic behavior of CLM. However, in the case of the SCBG structure, xpo exhibits a markedly reduced shift, in contrast to the conventional case.
Figure 8b illustrates the channel length reduction (ΔL), as a function of VDS, where ΔL was defined as the distance between the drain-side channel edge and xpo. The slope of the linear regression of ΔL corresponds to dL)/dVDS. Linear regression analysis yielded dL)/dVDS = 0.027 μm/V for the conventional structure. On the other hand, the SCBG structure showed a considerably smaller dL)/dVDS of 0.012 μm/V. This corresponds to a ~55% reduction in dL)/dVDS compared with the conventional structure.
A clear difference between the SCBG and conventional structures appears in the degree of pinch-off point shift. This considerable reduction in the pinch-off point shift demonstrates that the SCBG effectively improves current saturation against VDS variations. The reduced ΔL and dL)/dVDS in the SCBG device can be interpreted as an electric field control effect. The source-tied bottom gate (VBG = VS = 0 V) redistributes the electric field near the pinch-off region. This weakens the lateral field component that drives pinch-off shift. Supporting 2-D electric field plots and a lateral field component comparison are provided in Appendix C (Figure A6 and Figure A7). These simulation results support that the SCBG structure suppresses CLM in short-channel IGZO TFTs with hydrogen-doped S/D under the assumed lateral doping profile. To address scalability toward submicron operation, we additionally evaluated shorter channels (L = 3.0 and 2.5 μm). For these cases, hydrogen-diffusion-induced effective channel lengths are estimated to be approximately 1.2 and 0.7 μm, respectively. We used the same pinch-off extraction framework as in Figure 8 (VDS = 6–10 V). The results confirm that the SCBG structure continues to suppress pinch-off shift compared with the conventional structure (Appendix C, Figure A8).

4. Conclusions

This study investigated CLM in top gate IGZO TFTs with self-aligned hydrogen-doped S/D. Conventional devices showed pronounced CLM as the channel length approached 5 μm, with a strong reduction in output resistance and Early voltage. TLM analysis indicated an effective channel length reduction of about 1.8 μm. COMSOL simulations with an assumed gradual doping profile supported drain-bias-induced expansion of the drain side depletion region and a shift of the pinch-off point toward the source.
To mitigate this degradation, we proposed a SCBG structure that adds a bottom gate that is tied to the source potential while maintaining process compatibility with self-aligned hydrogen-doped S/D. Experiments demonstrated markedly improved current saturation for L = 5 μm SCBG devices, with substantially higher output resistance and Early voltage than the conventional structure. Simulations for the SCBG structure also showed a smaller pinch-off point shift than the conventional structure.
These results indicate that the proposed SCBG structure stabilizes the potential near the pinch-off point and screens drain-induced perturbations. The modest threshold voltage shift is a manageable tradeoff for the improved saturation behavior. Overall, the SCBG structure provides a practical device-level strategy for robust short channel IGZO TFTs and is promising for high-resolution AMOLED backplanes. Future work will address bottom gate optimization, long-term stability, and circuit integration.

Funding

This work was supported by the GRRC program of Gyeonggi Province (GRRC-KAU-2025-B01, Development of Cinema Sound-Transmissive Display for the Substitution for Traditional Projector and Screen Systems).

Data Availability Statement

The original contributions presented in this study are included in the article. Further inquiries can be directed to the corresponding author.

Conflicts of Interest

The author declares that the research was conducted in the absence of any commercial or financial relationships that could be construed as a potential conflict of interest.

Appendix A

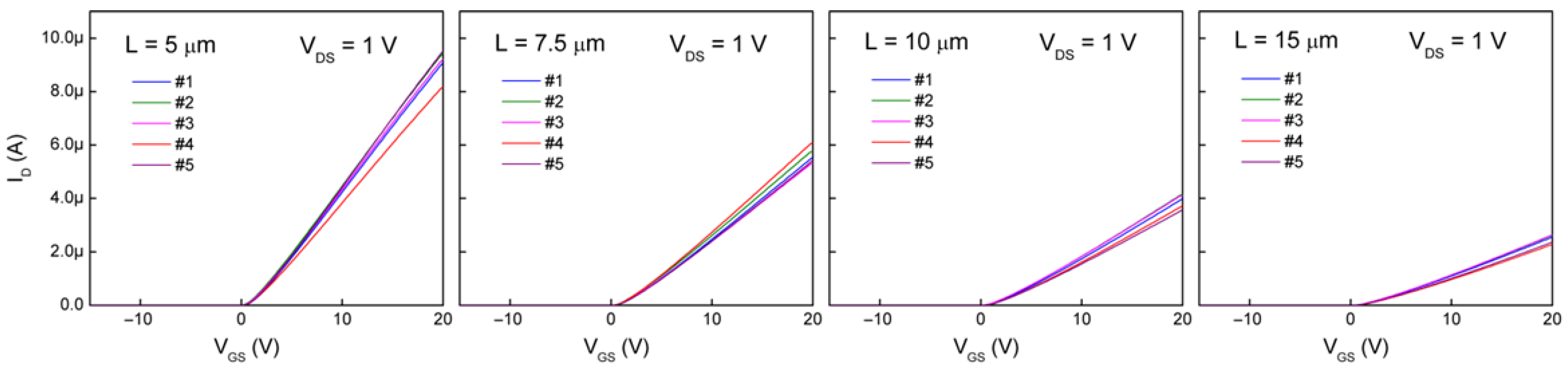
This appendix provides device-to-device measurements (n = 5) of IDVGS and IDVDS characteristics with multiple devices under the same conditions. Representative curves are shown in Figure 2 and Figure 5 in the main text.
Figure A1. Multiple IDVGS characteristics of the conventional IGZO TFTs for four channel lengths (L = 5, 7.5, 10, and 15 μm), measured under the same conditions as in Figure 2a (n = 5).
Figure A1. Multiple IDVGS characteristics of the conventional IGZO TFTs for four channel lengths (L = 5, 7.5, 10, and 15 μm), measured under the same conditions as in Figure 2a (n = 5).
Coatings 16 00161 g0a1
Figure A2. Multiple IDVDS characteristics of the conventional IGZO TFTs for four channel lengths (L = 5, 7.5, 10, and 15 μm), measured under the same conditions as in Figure 2b (n = 5).
Figure A2. Multiple IDVDS characteristics of the conventional IGZO TFTs for four channel lengths (L = 5, 7.5, 10, and 15 μm), measured under the same conditions as in Figure 2b (n = 5).
Coatings 16 00161 g0a2
Figure A3. Multiple IDVGS characteristics of the SCBG IGZO TFTs for four channel lengths (L = 5, 7.5, 10, and 15 μm), measured under the same conditions as in Figure 5a (n = 5).
Figure A3. Multiple IDVGS characteristics of the SCBG IGZO TFTs for four channel lengths (L = 5, 7.5, 10, and 15 μm), measured under the same conditions as in Figure 5a (n = 5).
Coatings 16 00161 g0a3
Figure A4. Multiple IDVDS characteristics of the SCBG IGZO TFTs for four channel lengths (L = 5, 7.5, 10, and 15 μm), measured under the same conditions as in Figure 5b (n = 5).
Figure A4. Multiple IDVDS characteristics of the SCBG IGZO TFTs for four channel lengths (L = 5, 7.5, 10, and 15 μm), measured under the same conditions as in Figure 5b (n = 5).
Coatings 16 00161 g0a4

Appendix B. Additional Output Characteristics at Low Gate Bias

To address practical relevance at lower VDS while maintaining operation in the saturation regime, we measured output characteristics for the conventional and SCBG devices at VGS = 1 V and 2 V. In the saturation regime, the conventional device shows a noticeable ID increase with VDS, whereas the SCBG device exhibits an almost flat IDVDS dependence.
Figure A5. Output characteristics of the conventional and SCBG devices measured at (a) VGS = 1 V and (b) VGS = 2 V.
Figure A5. Output characteristics of the conventional and SCBG devices measured at (a) VGS = 1 V and (b) VGS = 2 V.
Coatings 16 00161 g0a5

Appendix C. Additional Simulation Analyses

Appendix C.1. Electric-Field Redistribution near the Pinch-Off Region

To clarify the physical mechanism of the reduced ΔL and dL)/dVDS, we compared the electric-field distribution near the pinch-off region at VDS = 10 V for the conventional and SCBG structures. The SCBG structure (VBG = VS = 0 V) exhibits field redistribution with an enhanced vertical component and reduced lateral component near the pinch-off region, which suppresses pinch-off shift.
Figure A6. Two-dimensional electric field vector plots near the pinch-off region at VDS = 10 V for (a) the conventional structure and (b) the SCBG structure. The plotting window is centered at the pinch-off point, and electric-field vectors are plotted with the same scaling for both structures. Compared with the conventional device where the vectors are dominated by the lateral component, the SCBG device shows a noticeable vertical component induced by the source-tied bottom gate boundary condition (VBG = VS = 0 V), consistent with weakened lateral field-driven pinch-off shift.
Figure A6. Two-dimensional electric field vector plots near the pinch-off region at VDS = 10 V for (a) the conventional structure and (b) the SCBG structure. The plotting window is centered at the pinch-off point, and electric-field vectors are plotted with the same scaling for both structures. Compared with the conventional device where the vectors are dominated by the lateral component, the SCBG device shows a noticeable vertical component induced by the source-tied bottom gate boundary condition (VBG = VS = 0 V), consistent with weakened lateral field-driven pinch-off shift.
Coatings 16 00161 g0a6
Figure A7. Comparison of the lateral electric field component Ex along the channel at VDS = 10 V for the conventional and SCBG structures, plotted with the same scaling: (a) a full-channel view over x = 1–6 μm and (b) a magnified view centered at the pinch-off region. Although Ex(x) can locally become larger in some depleted regions toward the drain due to electric field redistribution, the x-direction field integrates to the same applied potential drop (VDS = 10 V). The reduced Ex near the pinch-off region in (b) is the key factor that suppresses pinch-off shift and reduces ΔL and dL)/dVDS.
Figure A7. Comparison of the lateral electric field component Ex along the channel at VDS = 10 V for the conventional and SCBG structures, plotted with the same scaling: (a) a full-channel view over x = 1–6 μm and (b) a magnified view centered at the pinch-off region. Although Ex(x) can locally become larger in some depleted regions toward the drain due to electric field redistribution, the x-direction field integrates to the same applied potential drop (VDS = 10 V). The reduced Ex near the pinch-off region in (b) is the key factor that suppresses pinch-off shift and reduces ΔL and dL)/dVDS.
Coatings 16 00161 g0a7

Appendix C.2. Shorter Channel Scaling Analysis Using Pinch-Off Shift

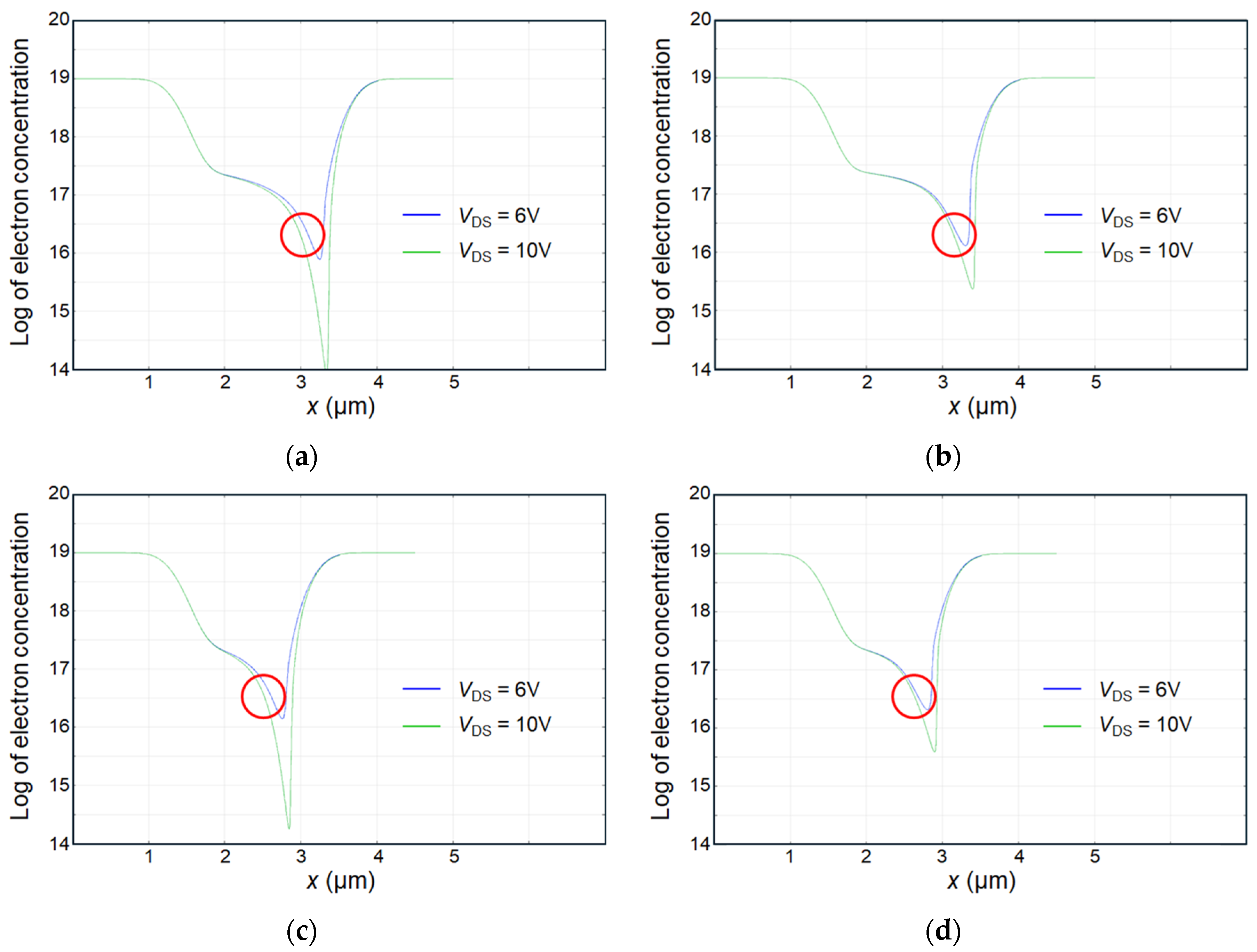
We extended the analysis to shorter channels (L = 3.0 and 2.5 μm), where hydrogen diffusion leads to estimated Leff of approximately 1.2 and 0.7 μm, respectively. Following the same analysis window used in Figure 8, pinch-off shift was quantified using the change in pinch-off position (Δxpo) between VDS = 6 V and 10 V for the conventional and SCBG structures. For L = 3.0 μm, Δxpo decreases from 0.10 μm (conventional) to 0.05 μm (SCBG), corresponding to ~50% reduction. For L = 2.5 μm, Δxpo decreases from 0.10 μm (conventional) to 0.06 μm (SCBG), corresponding to ~40% reduction.
Figure A8. Pinch-off shift comparison for shorter channels using the same pinch-off extraction framework as Figure 8, evaluated at VDS = 6 V and 10 V: (a) conventional structure with L = 3.0 μm, (b) SCBG structure with L = 3.0 μm, (c) conventional structure with L = 2.5 μm, and (d) SCBG structure with L = 2.5 μm. The SCBG structure exhibits a smaller change in pinch-off position (Δxpo between VDS = 6 V and 10 V) than the conventional structure at both channel lengths. The red circle indicates the vicinity of the pinch-off point.
Figure A8. Pinch-off shift comparison for shorter channels using the same pinch-off extraction framework as Figure 8, evaluated at VDS = 6 V and 10 V: (a) conventional structure with L = 3.0 μm, (b) SCBG structure with L = 3.0 μm, (c) conventional structure with L = 2.5 μm, and (d) SCBG structure with L = 2.5 μm. The SCBG structure exhibits a smaller change in pinch-off position (Δxpo between VDS = 6 V and 10 V) than the conventional structure at both channel lengths. The red circle indicates the vicinity of the pinch-off point.
Coatings 16 00161 g0a8

References

  1. Mo, Y.G.; Kim, M.; Kang, C.K.; Jeong, J.H.; Park, Y.S.; Choi, C.G.; Kim, H.D.; Kim, S.S. Amorphous-oxide TFT backplane for large-sized AMOLED TVs. J. Soc. Inf. Disp. 2011, 19, 16–20. [Google Scholar] [CrossRef]
  2. Su, L.-Y.; Lin, H.-Y.; Lin, H.-K.; Wang, S.-L.; Peng, L.-H.; Huang, J. Characterizations of amorphous IGZO thin-film transistors with low subthreshold swing. IEEE Electron Device Lett. 2011, 32, 1245–1247. [Google Scholar] [CrossRef]
  3. Nomura, K.; Ohta, H.; Takagi, A.; Kamiya, T.; Hirano, M.; Hosono, H. Room-temperature fabrication of transparent flexible thin-film transistors using amorphous oxide semiconductors. Nature 2004, 432, 488–492. [Google Scholar] [CrossRef] [PubMed]
  4. Na, J.H.; Kitamura, M.; Arakawa, Y. High field-effect mobility amorphous InGaZnO transistors with aluminum electrodes. Appl. Phys. Lett. 2008, 93, 063501. [Google Scholar] [CrossRef]
  5. Xiao, X.; Zhang, L.; Shao, Y.; Zhou, X.; He, H.; Zhang, S. Room-temperature-processed flexible amorphous InGaZnO thin film transistor. ACS Appl. Mater. Interfaces 2018, 10, 25850–25857. [Google Scholar] [CrossRef] [PubMed]
  6. Chien, Y.-T.; Tsai, Y.-L.; Zhou, K.-J.; Zheng, Y.-Z.; Tai, M.-C.; Tu, H.-Y.; Kuo, C.-W.; Chang, T.-C.; Tsai, T.-M. Performance enhancement of InGaZnO top-gate thin film transistor with low-temperature high-pressure fluorine treatment. IEEE Electron Device Lett. 2021, 42, 1611–1614. [Google Scholar] [CrossRef]
  7. Noh, J.Y.; Han, D.M.; Jeong, W.-C.; Kim, J.W.; Cha, S.Y. Development of 55-in 4K UHD OLED TV employing the internal gate IC with high reliability and short channel IGZO TFTs. J. Soc. Inf. Disp. 2018, 26, 36–41. [Google Scholar] [CrossRef]
  8. Kim, D.; Kim, Y.; Lee, S.; Kang, M.S.; Kim, D.H.; Lee, H. High resolution a-IGZO TFT pixel circuit for compensating threshold voltage shifts and OLED degradations. IEEE J. Electron Devices Soc. 2017, 5, 372–377. [Google Scholar] [CrossRef]
  9. Wie, C.R. Nonsaturating drain current characteristic in short-channel amorphous-silicon thin-film transistors. IEEE Trans. Electron Devices 2010, 57, 846–854. [Google Scholar] [CrossRef]
  10. Kandpal, K.; Singh, A.; Srivastava, A. Voltage-programmed pixel circuit design for AMOLED displays. In Contemporary Trends in Semiconductor Devices: Theory, Experiment and Applications; Goswami, R., Saha, R., Eds.; Springer: Singapore, 2022; pp. 249–264. [Google Scholar] [CrossRef]
  11. Sharma, A.; Bahubalindruni, P.G.; Bharti, M.; Barquinha, P. Physical parameters based analytical I–V model of long and short channel a-IGZO TFTs. Solid-State Electron. 2022, 192, 108273. [Google Scholar] [CrossRef]
  12. Bahubalindruni, P.G.; Kiazadeh, A.; Sacchetti, A.; Martins, J.; Rovisco, A.; Grade Tavares, V.; Martins, R.; Fortunato, E.; Barquinha, P. Influence of channel length scaling on InGaZnO TFTs characteristics: Unity current-gain cutoff frequency, intrinsic voltage-gain, and on-resistance. J. Disp. Technol. 2016, 12, 515–518. [Google Scholar] [CrossRef]
  13. Peng, C.; Huang, H.; Xu, M.; Chen, L.; Li, X.; Zhang, J. A simple doping process achieved by modifying the passivation layer for self-aligned top-gate In-Ga-Zn-O thin-film transistors at 200 °C. Nanomaterials 2022, 12, 4021. [Google Scholar] [CrossRef]
  14. Katsouras, I.; Frijters, C.; Poodt, P.; Gelinck, G.; Kronemeijer, A.J. Large-area spatial atomic layer deposition of amorphous oxide semiconductors at atmospheric pressure. J. Soc. Inf. Disp. 2019, 27, 304–312. [Google Scholar] [CrossRef]
  15. Ahn, B.D.; Shin, H.S.; Kim, G.H.; Park, J.-S.; Kim, H.J. A novel amorphous InGaZnO thin film transistor structure without source/drain layer deposition. Jpn. J. Appl. Phys. 2009, 48, 03B019. [Google Scholar] [CrossRef]
  16. Shimura, Y.; Nomura, K.; Yanagi, H.; Kamiya, T.; Hirano, M.; Hosono, H. Specific contact resistances between amorphous oxide semiconductor In–Ga–Zn–O and metallic electrodes. Thin Solid Films 2008, 516, 5899–5902. [Google Scholar] [CrossRef]
  17. Duan, X.; Lu, C.; Chuai, X.; Chen, Q.; Yang, G.; Geng, D. A Direct n+-Formation Process by Magnetron Sputtering an Inter-Layer Dielectric for Self-Aligned Coplanar Indium Gallium Zinc Oxide Thin-Film Transistors. Micromachines 2022, 13, 652. [Google Scholar] [CrossRef]
  18. Lee, B.H.; Han, S.; Lee, S.Y. Investigation on the variation of channel resistance and contact resistance of SiZnSnO semiconductor depending on Si contents using transmission line method. Solid-State Electron. 2018, 139, 15–20. [Google Scholar] [CrossRef]
  19. Nomura, K.; Kamiya, T.; Hosono, H. Effects of diffusion of hydrogen and oxygen on electrical properties of amorphous oxide semiconductor In–Ga–Zn–O. ECS J. Solid State Sci. Technol. 2013, 2, P5–P8. [Google Scholar] [CrossRef]
  20. Shang, L.; Chou, I.-M.; Lu, W.; Burruss, R.C.; Zhang, Y. Determination of diffusion coefficients of hydrogen in fused silica between 296 and 523 K by Raman spectroscopy and application of fused silica capillaries in studying redox reactions. Geochim. Cosmochim. Acta 2009, 73, 5435–5443. [Google Scholar] [CrossRef]
  21. Mativenga, M.; Haque, F.; Billah, M.M.; Um, J.G. Origin of Light Instability in Amorphous IGZO Thin-Film Transistors and Its Suppression. Sci. Rep. 2021, 11, 14618. [Google Scholar] [CrossRef] [PubMed]
Figure 1. Schematics of hydrogen incorporation and the conventional self-aligned IGZO TFT structure. (a) Possible hydrogen diffusion pathways during SiNx passivation, including lateral diffusion through the SiO2 gate insulator. Here, H*, Si*, and N* denote radical species. (b) cross-sectional view of the conventional top gate IGZO TFT.
Figure 1. Schematics of hydrogen incorporation and the conventional self-aligned IGZO TFT structure. (a) Possible hydrogen diffusion pathways during SiNx passivation, including lateral diffusion through the SiO2 gate insulator. Here, H*, Si*, and N* denote radical species. (b) cross-sectional view of the conventional top gate IGZO TFT.
Coatings 16 00161 g001
Figure 2. Electrical characteristics of conventional IGZO TFTs with different channel lengths. (a) Transfer curves (IDVGS) at VDS = 1 V, (b) output curves (IDVDS) at VGS = 4 V. Representative curves are shown here. Device-to-device measurements (n = 5) are provided in Appendix A (Figure A1 and Figure A2).
Figure 2. Electrical characteristics of conventional IGZO TFTs with different channel lengths. (a) Transfer curves (IDVGS) at VDS = 1 V, (b) output curves (IDVDS) at VGS = 4 V. Representative curves are shown here. Device-to-device measurements (n = 5) are provided in Appendix A (Figure A1 and Figure A2).
Coatings 16 00161 g002
Figure 3. TLM results for conventional devices. Total resistance (RT) versus L extracted at VDS = 1 V for VGS = 10, 15, and 20 V. Data points and error bars represent mean ± SD (n = 5).
Figure 3. TLM results for conventional devices. Total resistance (RT) versus L extracted at VDS = 1 V for VGS = 10, 15, and 20 V. Data points and error bars represent mean ± SD (n = 5).
Coatings 16 00161 g003
Figure 4. Cross-sectional schematic of the SCBG IGZO TFT. The bottom gate is connected to the source, keeping it at the source potential.
Figure 4. Cross-sectional schematic of the SCBG IGZO TFT. The bottom gate is connected to the source, keeping it at the source potential.
Coatings 16 00161 g004
Figure 5. Electrical characteristics of SCBG IGZO TFTs with different L. (a) Transfer curves (IDVGS) at VDS = 1 V, (b) output curves (IDVDS) at VGS = 4 V, showing improved current saturation. Representative curves are shown here. Device-to-device measurements (n = 5) are provided in Appendix A (Figure A3 and Figure A4).
Figure 5. Electrical characteristics of SCBG IGZO TFTs with different L. (a) Transfer curves (IDVGS) at VDS = 1 V, (b) output curves (IDVDS) at VGS = 4 V, showing improved current saturation. Representative curves are shown here. Device-to-device measurements (n = 5) are provided in Appendix A (Figure A3 and Figure A4).
Coatings 16 00161 g005
Figure 6. Simulated 2-D electron concentration maps at VGS = 4 V for VDS = 0, 2, 4, 6, 8, and 10 V. (a) Conventional structure, (b) SCBG structure.
Figure 6. Simulated 2-D electron concentration maps at VGS = 4 V for VDS = 0, 2, 4, 6, 8, and 10 V. (a) Conventional structure, (b) SCBG structure.
Coatings 16 00161 g006
Figure 7. Simulated electron concentration along a horizontal cutline (5 nm below the interface) at VGS = 4 V for VDS = 0–10 V (1 V steps). (a) Conventional structure, (b) SCBG structure. Note that some curves share the same color; they can be distinguished by the legend order and their monotonic shift in position. The red circle highlights the region near the pinch-off point.
Figure 7. Simulated electron concentration along a horizontal cutline (5 nm below the interface) at VGS = 4 V for VDS = 0–10 V (1 V steps). (a) Conventional structure, (b) SCBG structure. Note that some curves share the same color; they can be distinguished by the legend order and their monotonic shift in position. The red circle highlights the region near the pinch-off point.
Coatings 16 00161 g007
Figure 8. Metrics extracted from the cutline analysis at VGS = 4 V (VDS = 6–10 V). (a) Pinch-off position (xpo) versus VDS, (b) channel length reduction (ΔL) versus VDS with linear fits.
Figure 8. Metrics extracted from the cutline analysis at VGS = 4 V (VDS = 6–10 V). (a) Pinch-off position (xpo) versus VDS, (b) channel length reduction (ΔL) versus VDS with linear fits.
Coatings 16 00161 g008
Table 1. Summary of key device parameters for the conventional and SCBG IGZO TFTs as a function of channel length (L). Values are reported as mean ± SD (n = 5).
Table 1. Summary of key device parameters for the conventional and SCBG IGZO TFTs as a function of channel length (L). Values are reported as mean ± SD (n = 5).
L (μm)Conventional TFTSCBG TFT
Vth (V)ro (MΩ)VA (V)Vth (V)ro (MΩ)VA (V)
5−0.19 ± 0.1713.5 ± 2.556.1 ± 10.40.66 ± 0.12475 ± 521159 ± 173
7.50.11 ± 0.1223.3 ± 2.356.0 ± 8.50.92 ± 0.09848 ± 831275 ± 150
100.22 ± 0.1132.7 ± 2.354.1 ± 5.51.07 ± 0.131329 ± 841226 ± 81
150.23 ± 0.1153.6 ± 3.355.4 ± 4.51.09 ± 0.12290 ± 1361292 ± 86
Disclaimer/Publisher’s Note: The statements, opinions and data contained in all publications are solely those of the individual author(s) and contributor(s) and not of MDPI and/or the editor(s). MDPI and/or the editor(s) disclaim responsibility for any injury to people or property resulting from any ideas, methods, instructions or products referred to in the content.

Share and Cite

MDPI and ACS Style

Jeon, J.-H. Enhanced Current Saturation in IGZO Thin Film Transistors Using a Source-Connected Bottom Gate Structure. Coatings 2026, 16, 161. https://doi.org/10.3390/coatings16020161

AMA Style

Jeon J-H. Enhanced Current Saturation in IGZO Thin Film Transistors Using a Source-Connected Bottom Gate Structure. Coatings. 2026; 16(2):161. https://doi.org/10.3390/coatings16020161

Chicago/Turabian Style

Jeon, Jae-Hong. 2026. "Enhanced Current Saturation in IGZO Thin Film Transistors Using a Source-Connected Bottom Gate Structure" Coatings 16, no. 2: 161. https://doi.org/10.3390/coatings16020161

APA Style

Jeon, J.-H. (2026). Enhanced Current Saturation in IGZO Thin Film Transistors Using a Source-Connected Bottom Gate Structure. Coatings, 16(2), 161. https://doi.org/10.3390/coatings16020161

Note that from the first issue of 2016, this journal uses article numbers instead of page numbers. See further details here.

Article Metrics

Article metric data becomes available approximately 24 hours after publication online.
Back to TopTop